Home Journals Progress in Chemistry
Progress in Chemistry

Abbreviation (ISO4): Prog Chem      Editor in chief: Jincai ZHAO

About  /  Aim & scope  /  Editorial board  /  Indexed  /  Contact  / 
Review

Chemically Synthetic Strategies for Bicyclic Peptides and Their Application in Drug Development

  • Shuxian Zhang ,
  • Kang Jin , *
Expand
  • Department of Medicinal Chemistry,Shandong Key Laboratory of Druggability Optimization and Evaluation for Lead Compounds,School of Pharmaceutical Sciences,Cheeloo College of Medicine,Shandong University,Jinan 250012,China

Received date: 2024-06-21

  Revised date: 2024-10-17

  Online published: 2025-05-22

Supported by

Shandong Provincial Key Research and Development Program(Major Technological Innovation Project)(2021CXGC010501)

National Natural Science Foundation of China(22007059)

Abstract

In recent decades,along with the improvement of peptide synthetic strategies,the development about bicyclic peptides have been accelerated vigorously,and as a result,more and more bicyclic peptide compounds have entered the clinical trial stage. Through high-throughput screening of peptide compound libraries,the efficiency of obtaining target structures has been greatly increased,further promoting the development of the bicyclic peptide field. Compared with linear and monocyclic peptides,bicyclic peptides have much larger structures and greater structural rigidity,which results in higher affinity and selectivity of the binding to their targets. The absence of terminally free amine and carboxyl groups can also increase the stability of bicyclic peptides against proteolytic enzymes significantly. In addition,the facility of bicyclic peptides to cross cell membranes contributes the improved bioavailability. With the sustainable development and wide application of synthetic technologies,more and more potential bicyclic peptides have been developed successively,laying the foundation for the researches of bicyclic peptide drugs. However,in terms of druggability,there are still many limitations in solubility,conformational stability and in vivo activity,which are urgently need to be solved by means of pharmaceutical preparation and chemically structural modification. This review mainly focuses on the chemical preparation strategies of bicyclic peptides and their applications in drug discovery in recent years.

Contents

1 Introduction

2 Introduction of bicyclic peptides

2.1 Structural characteristics

2.2 Natural bicyclic peptide

3 Synthesis of bicyclic peptides

4 Construction of bicyclic peptide libraries

4.1 Chemical construction of bicyclic peptide libraries

4.2 Biological construction of bicyclic peptide libraries

5 Applications of bicyclic peptides

5.1 Bicyclic peptide coupling(targeted delivery)

5.2 PPIs

5.3 Enzyme inhibitors/agonists

5.4 Receptor Inhibitors

5.5 Antimicrobial bicyclic peptides

5.6 Imaging and contrast

6 Outlook and discussion

Cite this article

Shuxian Zhang , Kang Jin . Chemically Synthetic Strategies for Bicyclic Peptides and Their Application in Drug Development[J]. Progress in Chemistry, 2025 , 37(5) : 649 -669 . DOI: 10.7536/PC240613

1 Introduction

Whether it is the "old drug" insulin and actinomycin D, or recent hot drugs such as semaglutide and tirzepatide, peptide-based therapeutics have consistently been a focal area in new drug research and development. Peptide drugs demonstrate broad biological activities, including anti-tumor, anti-drug-resistant bacteria, anti-angiogenesis, and anticoagulant effects, along with pharmacological features such as low toxicity, high specificity, and low immunogenicity, which have greatly promoted the development of modern novel therapeutics[1]. Currently, small molecule drugs widely used in clinics typically target only those with clearly defined binding pockets. Additionally, due to their inherently small size, small molecule drugs often fail to fully occupy flat and extensive target surfaces during binding[2]. Statistics show[3] that among numerous disease-related protein targets in the body, small molecule drugs can only target about 10% of these with affinity and selectivity. Particularly for protein-protein interaction (PPI) targets, small molecule drugs struggle to bind effectively, making them "undruggable." In contrast, peptide drugs offer promising solutions to these challenges. Peptide drugs can be divided into two major categories: linear peptides and cyclic peptides. Most early developed peptide drugs were natural linear peptides, such as insulin, calcitonin, and antidiuretic hormone. These peptide drugs essentially serve as "replacement therapy," aiming to supplement insufficient or absent endogenous peptide levels[4]. Linear peptides have certain limitations, including physicochemical instability, susceptibility to enzymatic degradation in vivo, and low oral bioavailability[5]. To overcome these drawbacks, researchers began applying medicinal chemistry techniques to chemically modify peptides, leading to the development of various cyclic peptide compounds. Compared with antibody and protein-based drugs, cyclic peptides have smaller molecular weights, and some are capable of crossing cell membranes[6]. The cleavage sites in cyclic peptides are less accessible to exopeptidases, and the reduced flexibility of the backbone hinders enzyme activity site interactions[7], resulting in increased stability against exopeptidases and prolonged duration of action in vivo. Moreover, structural rigidity of cyclic peptides can reduce entropy loss in Gibbs free energy, thereby enhancing binding affinity to targets[8]. However, as the peptide ring enlarges, its conformation becomes more flexible, making it vulnerable to degradation by hydrolases. Conformational changes also decrease target affinity and may even lead to off-target effects. The optimal solution is to convert single rings into bicyclic structures; this halves the ring size, increases rigidity, and further improves chemical and hydrolytic stability[9].
Bicyclic peptides combine the advantageous features of monoclonal antibodies (high affinity and capability to act on PPIs) and small molecule drugs (ability to cross biological membranes), further enhancing their affinity and selectivity for targets. Additionally, the two peptide rings in their structure can exhibit distinct properties: one ring can improve cell-penetrating ability while the other binds to the target; alternatively, each ring can bind to different targets, thereby exhibiting bifunctional characteristics, which is a unique advantage of bicyclic peptides. Owing to these benefits, bicyclic peptides have become a promising area in the development of novel therapeutics.

2 Introduction of Bicyclic Peptides

2.1 Structural Characteristics

Bicyclic peptides, as the name suggests, are peptides containing two rings in their structure. Currently, there is no clear definition for the structural classification of bicyclic peptides. This article categorizes common types of bicyclic peptides based on their structures, specifically divided into the following four categories ( Figure 1).
图1 双环肽的分类(类型I:a,连接体是小分子;b,连接体是肽链。类型II:c,连接体是小分子;d,连接体是肽链)

Fig. 1 Classification of bicyclic peptides(Type I: a,linker is a small molecule; b,linker is a peptide chain. Type II: c,linker is a small molecule; d,linker is a peptide chain.)

Type I, two single-ring peptides connected. The linker can be a linear peptide chain or a small molecule linker, but the latter is more common, such as actinomycin D.
(2) Type II, where the bridging occurs within a macrocyclic peptide connected head-to-tail. This results in bicyclic peptides with shared segments between the two peptide rings; similarly, the bridging part can be a peptide chain or a small molecule rigid linker. Bicyclic peptides of Type II are predominant in nature, such as α-Amanitin and theonellamide F, and they can also be chemically synthesized through a two-step cyclization process.
(3) Type III, bicyclic peptides with a handle structure. Small molecules are used as the scaffold to connect the peptide chains, forming a structure similar to a "steering wheel". Various small molecules can be selected, and the construction of bicyclic peptides is relatively fast and convenient, making it more suitable for rapid large-scale synthesis. It is widely applied in the construction of bicyclic peptide libraries, especially those generated by biological methods.
Type IV, stapled peptides. Stapled peptides refer to linear peptides whose backbone has been modified by introducing cross-linkable groups, which are cyclized through methods such as olefin metathesis or click chemistry. Stapled peptides exhibit advantages including a high degree of α-helicity, enhanced cell membrane permeability, resistance to protease degradation, and a prolonged half-life in vivo[12].

2.2 Natural Bicyclic Peptides

Structural modification of natural products as lead compounds is an important approach in the development of new drugs. Natural bicyclic peptides are widely distributed in nature and exhibit diverse biological activities, continuously inspiring the development of bicyclic peptide-based therapeutics.
Actinomycin D is an antitumor polypeptide antibiotic (Scheme 1a), a traditional drug for cancer treatment that was approved for tumor therapy in the 1960s[13]. In 2016, Liu et al.[14] combined Actinomycin D with RG1718 (an immunotoxin targeting mesothelin) and found that the two produced synergistic effects, enhancing antitumor activity in humans. Another naturally occurring bicyclic peptide already on the market is romidepsin, isolated from Chromobacterium violaceum found in Japanese soil samples. Romidepsin is a histone deacetylase inhibitor approved in 2009 for the treatment of cutaneous T-cell lymphoma. Its structure contains one natural amino acid, three non-natural amino acids, and one non-amino acid building block (Scheme 1b)[15]. α-Amanitin is a highly toxic bicyclic octapeptide isolated from death cap mushrooms (Scheme 1c), which can selectively inhibit RNA polymerase II, producing toxicity toward eukaryotic cells and ultimately leading to apoptosis[16]. In 2018, Matinkhoo et al.[17] completed the total synthesis of α-amanitin, overcoming key challenges such as the enantioselective synthesis and diastereoselective sulfoxidation of the 6-hydroxytryptophan sulfoxide bridge, (2S, 3R, 4R)-4,5-dihydroxyisoleucine. α-Amanitin is now increasingly studied as an antibody-drug conjugate (ADC) in cancer therapy. For example, by conjugating an anti-EpCAM monoclonal antibody with α-amanitin, the resulting antibody-drug conjugate chiHEA125-Ama[18] effectively eradicates experimental pancreatic cancer with low risk of systemic toxicity, potentially serving as a novel anticancer agent for pancreatic cancer and EpCAM-overexpressing tumors. In 2004, Potterat et al.[19] isolated a new bicyclic 19-membered peptide, BI-32169 (Scheme 1d), from Streptomyces cultures, which showed strong inhibitory activity against human glucagon receptors. Kim et al.[20] isolated six compounds from Bacillus sphaericus KCTC 12796BP cultures, including four bicyclic peptides (Scheme 1e) and two monocyclic peptides. Bioactivity testing revealed only the bicyclic peptides exhibited anti-allergic activity, while the monocyclic peptides were inactive, offering a new direction for developing anti-allergy drugs. Karim et al.[21] discovered two bicyclic peptides, nyuzenamides A and B (Scheme 1f, Nyuzenamide A, B), from Streptomyces isolated from deep-sea sediments of the Sea of Japan; both compounds displayed antifungal activity and cytotoxicity. Subsequently, An et al.[22] identified another bicyclic peptide, nyuzenamide C (1) (Scheme 1f), from the same source. Further bioactivity testing revealed that nyuzenamide C (1) exhibited antiangiogenic activity in human umbilical vein endothelial cells.
图式1 微生物来源的天然双环肽结构示例(a:放线菌素D;b:罗米地辛;c:α-Amanitin;d:BI-32169 e:KCTC 12796BP;f:NyuzenamideA、B、C)

Scheme 1 Summary of structures of natural bicyclic peptides of microbial origin(a: Actinomycin D; b: Romidepsin; c: α-Amanitin; d: BI-32169 e: KCTC 12796BP; f: NyuzenamideA,B,C)

In addition to bicyclic peptides derived from microorganisms, many plants have also been found to contain bicyclic peptides. In 1989, a bicyclic peptide named theonellamide F[23] (Scheme 2a), bridged by histidine and alanine residues, was reported. This peptide was isolated from secondary metabolites of marine plant sponges and exhibits antifungal activity and cytotoxicity. Subsequently, further separation and purification of the antifungal fraction from sponge extracts yielded five related peptides. Bioactivity assays demonstrated that all five peptides showed varying degrees of antifungal activity and cytotoxicity[24]. Sunflower trypsin inhibitor-1 (SFTI-1) (Scheme 2b), extracted from sunflower seeds, is one of the smallest disulfide-bridged cyclic peptides discovered in nature[25], as well as one of the smallest and most potent Bowman-Birk inhibitors (BBI)[26]. Its structure is divided into two rings by a single disulfide bridge: one functional trypsin inhibitory ring (TI) and one non-functional secondary loop (SL), the latter of which can be replaced by bioactive peptides[27]. SFTI-1 also exhibits antibacterial activity[26] and pro-angiogenic activity[27]. A bicyclic hexapeptide named RA-VII (Scheme 2c) was isolated from the roots of Rubia cordifolia L. and Rubia argyi (H. lsamv.). Studies have shown that this bicyclic peptide exerts potent antitumor activity by interacting with eukaryotic ribosomes and subsequently inhibiting protein synthesis[28]. Celosia seed refers to the dried mature seeds of the plant Celosia argentea L., which belongs to the Amaranthaceae family. It is a commonly used traditional Chinese medicine for treating various eye diseases. A bicyclic octapeptide called moroidin[29] (Scheme 2d) has been extracted from celosia seeds. Moroidin exhibits antitumor activity by inhibiting tubulin polymerization, with greater inhibitory activity on tubulin polymerization than colchicine[30].
图式2 植物来源的天然双环肽结构示例(a:theonellamide F;b:SFTI-1;c:RA-VII;d:Moroidin)

Scheme 2 Summary of the structures of natural bicyclic peptides of plant origin(a: theonellamide F; b: SFTI-1; c: RA-VII; d: Moroidin)

3 Synthesis of Bicyclic Peptides

The various biological activities exhibited by natural bicyclic peptides have greatly inspired and encouraged medicinal chemists to synthesize and explore more bicyclic peptides, leading to a large number of synthetic bicyclic peptides entering the drug development market. In 1978, Zanotti et al.[31] synthesized the first bicyclic heptapeptide. The first cyclization step formed an intramolecular thioether bond between L-cysteine and an oxidized tryptophan derivative; subsequently, a second cyclization step (head-to-tail linkage) was carried out in a mixed anhydride system, yielding bicyclic tryptophan heptapeptides and octapeptides (Scheme 3). CD spectra indicated that their structures resembled those of mycotoxin and botulinum toxin, respectively. With the development of synthetic techniques, an increasing number of methods have become available for the synthesis of bicyclic peptides.
图式3 首例合成双环肽

Scheme 3 The first synthetic bicyclic peptide

Peptides containing disulfide bonds are widely found in nature, and these bonds provide good thermal stability, resistance to hydrolytic enzymes, and structural diversity.[32] Inspired by this, the strategy of forming disulfide bonds via thiol groups of cysteine residues is particularly prominent in methods for constructing bicyclic peptides and has become a commonly used approach for artificial synthesis of such peptides. In 2001, Sun et al.[33] reported an effective method for synthesizing amphiphilic bicyclic peptides. The linear peptide molecule contains a cysteine (Cys) residue at the N-terminus, a thioester structure at the C-terminus, and another internal Cys residue. The first cyclization step involves the formation of an intramolecular thioester between the N-terminal Cys and the C-terminal thioester, followed by spontaneous S,N-acyl transfer to generate a stable lactam. In aqueous buffer at pH 5–6, dimethyl sulfoxide (DMSO) mediates the second cyclization step, during which the terminal Cys forms an extrinsic intramolecular disulfide bond with the internal Cys, creating the second ring (Scheme 4a). Using this method, four bicyclic peptides were synthesized, successfully generating a library of bicyclic peptides composed of 14 amino acids constrained by both lactam and intramolecular disulfide bonds. These bicyclic peptides all exhibited expected properties of amphiphilic peptides, such as excellent water solubility and membrane affinity. The disulfide bond-mediated synthesis of bicyclic peptides has now become well established. Recently, Rayala et al.[34] optimized the solid-phase synthesis of peptides containing two disulfide bridges and successfully synthesized the bicyclic peptide OL-CTOP. OL-CTOP exhibits nose-to-brain delivery capability; bioactivity assays demonstrated that intranasal administration of OL-CTOP dose-dependently antagonizes morphine-induced analgesia and prevents morphine-induced respiratory depression, opening new avenues for developing clinical antidotes against acute morphine intoxication.
图式4 双环肽合成方法示例(a:通过树脂上分子内硫酯连接和树脂外二甲基亚砜介导的二硫键形成的合成方法;b:Trt-StBu策略用于硫醚双环肽的合成;c:Michael加成法合成双环肽;d:3个正交保护基团(Fmoc、Mtt和Tbe)的二氨基二酸法;e:头尾相连构建双环肽;f:烯烃复分解法;g:烯烃、炔烃复分解法相结合)

Scheme 4 Summary of bicyclic peptide synthesis methods(a: Synthesis via intramolecular thioester linkage on the resin and dimethyl sulfoxide mediated disulfide formation outside the resin; b: Trt-StBu strategy for the synthesis of thioether bicyclic peptides; c: Michael addition for the synthesis of bicyclic peptides; d: diaminodicarboxylic acid method of three orthogonal protecting groups(Fmoc,Mtt,and Tbe); e: head-to-tail linkage to construct a bicyclic peptide; and f: alkyne reductomerisation method; g: combination of olefinic and alkynic complexation.)

However, under in vivo reducing conditions (e.g., glutathione), and in the presence of disulfide isomerases, disulfide bonds are highly susceptible to structural rearrangement, leading to reduced biological activity[35]. To overcome this issue, more stable structural motifs have been widely adopted as alternatives to disulfide bridges, such as sulfide bridges, amides, alkenes, triazoles, and hydrocarbon bridges. Replacing disulfide bonds typically enhances peptide stability while maintaining their structure and activity. Among these, sulfide bonds are the most commonly used substitutes due to their similar structural parameters to disulfide bonds. Common synthetic approaches mainly include thiol dialkylation reactions, Michael additions, and solid-phase peptide synthesis of diaminodisulfonic acids. In 2021, Zhu et al.[36] reported a novel method for synthesizing bicyclic peptides via sulfide bonds (Scheme 4b). This approach involves using Cys residues protected with Trt and S-StBu groups to prepare bicyclic peptides. After assembling all designated amino acids, the peptide was cleaved from the resin using 88% TFA, simultaneously removing the Trt protecting group and exposing a pair of thiols, which then underwent a thiol dialkylation reaction to form a monocyclic intermediate. Subsequently, TCEP was used in situ to remove the StBu protecting groups, thereby exposing another pair of thiols, followed by a second thiol dialkylation reaction to achieve the final bicyclic product. This strategy not only avoids the cumbersome deprotection steps required in traditional methods but also reduces costs. More importantly, the formation of both sulfide bonds occurs in solution and can be readily monitored by high-performance liquid chromatography.
Michael addition is a common type of reaction in organic synthesis. Elduque et al.[37] utilized an intramolecular Michael addition reaction to obtain two types of bicyclic peptides (Scheme 4c). This method combines free and protected maleimide groups with two orthogonally protected Cys residues, yielding bicyclic peptides containing either separated rings (two rings are distinct, resembling eyeglasses, peptide 1) or fused rings (two rings share a portion of the chain, peptide 2). Notably, this approach employs maleimide derivatized peptides protected by 2,5-dimethylfuran. Cyclization and maleimide deprotection can occur simultaneously, resulting in high yields and minimal formation of oligomers.
In the synthesis methods of sulfide bonds, solid-phase peptide synthesis (SPPS) based on diamino dicarboxylic acids offers an efficient and versatile approach, which reduces synthetic steps and enhances the overall yield of the final product. More importantly, using the same synthetic strategy, various diamino dicarboxylic acids can be readily incorporated into peptides, thereby enabling the synthesis of different molecular architectures of disulfide mimetics through the same strategy. The diamino dicarboxylic acids used in this strategy contain two amino groups and one carboxyl group, which require temporary protection. In 2018, Wang et al.[38] developed a new protecting method for diamino dicarboxylic acids (Scheme 4d), containing three orthogonal protecting groups (Fmoc, Mtt, and Tbe). This approach overcame previous issues of heavy metal contamination and poor compatibility with Fmoc chemistry, providing a practical route for the efficient preparation of peptide disulfide bond mimetics.
Another method, very similar to the thioether bond strategy, is briefly referred to as the head-to-tail cyclization approach. Chen et al.[39] reported a new mode for constructing bicyclic helical peptides via the head-to-tail cyclization method (Scheme 4e). This approach yields termini cross-linked bicyclic octapeptides featuring a termini cross-linking arm and a C-terminal i, i + 4 cross-linking arm. Specifically, a pair of Cys residues are introduced at positions i, i + 3 or i, i + 4 in the linear peptide sequence and cross-linked using 1,3-dibromomethylbenzene to form the first ring; subsequently, the N- and C-terminal amino acids are modified and then connected with 1,4-dibromomethylbenzene to generate the second ring. The resulting bicyclic helical peptide, SHAP-II, exhibits high protease stability, considerable gastric cancer inhibitory activity (IC50 value of 3.8 μg/mL), and low toxicity.
Due to the limited metabolic stability of sulfide bonds, replacing sulfide bonds with olefin and alkane bridges can further enhance metabolic stability. Ghalit et al.[40] employed ring-closing metathesis (RCM) (Scheme 4f) to synthesize a series of bicyclic analogs of the antibiotic Nisin, using olefin and alkane bridges to mimic the natural sulfide covalent constraints in Nisin. Compared with native Nisin, although these obtained Nisin analogs showed reduced affinity for the target, they still exhibited certain activity and could serve as first-generation lead compounds for designing novel Nisin-based peptide antibiotics. Cromm et al.[41] combined orthogonal cyclization via alkyne-alkene cross-metathesis (RCAM/RCM), successfully evolving a monocyclic peptide inhibitor of the small GTPase Rab8 into a bicyclic ligand (Scheme 4g). This bicyclic peptide displayed the highest affinity for Rab GTPase reported so far. Using these two approaches, "stapled peptides" can be generated, enhancing the α-helical content of peptides, thereby improving membrane permeability and metabolic stability.
In addition to the aforementioned methods, a straightforward approach for synthesizing bicyclic peptides involves connecting two monocyclic peptides using different linkers. For example, Mendive et al.[42] prepared unique constrained peptides connected by covalent bonds between tryptophan and phenylalanine or tyrosine residues through an intramolecular palladium-catalyzed (Pd(OAc)2) C-H activation process. Palladium-catalyzed coupling is a powerful method for synthesizing cyclic peptides; furthermore, bicyclic peptides can also be constructed by inserting couplable groups into the monocyclic peptide sequences, such as via click chemistry[43]. In cell-penetrating peptides (CPPs), cyclic peptides offer greater advantages due to their higher serum stability. Studies have shown that positively charged arginine and hydrophobic tryptophan significantly enhance cell-penetrating capability because of their interaction with phospholipid membranes[44]. Oh et al.[45] synthesized two bicyclic peptides composed of tryptophan and arginine residues based on monocyclic peptides. The bicyclic peptides linked by triazole and beta-alanine exhibited 7.6- and 19.3-fold enhanced cellular delivery capacity in human ovarian adenocarcinoma cells, respectively. In contrast, the two parent monocyclic peptides [R5] and [WR]4 only improved cellular delivery by 1.3- and 3.7-fold, respectively. These bicyclic peptides can serve as a new class of cell-penetrating peptides and cellular delivery tools, holding further application potential in drug delivery.
Most traditional methods for obtaining bicyclic peptides involve modifying Cys residues using alkylating reagents. Although these methods have achieved significant success, they are neither selective nor biocompatible. Ullrich et al.[46] reported a novel approach for peptide bicyclization that does not require a catalyst and is biocompatible and orthogonal to all canonical amino acids. This strategy is based on a selective condensation reaction between 1,2-aminothiols and 2,6-dicyanopyridine, enabling the direct synthesis of complex bicyclic peptides in high yields. Using this strategy, it is also possible to further synthesize tricyclic peptides based on bicyclic peptides.
In recent years, a large number of novel synthetic methods have emerged for the construction of bicyclic peptides. Chen et al.[47] reported a Cys-directed proximity-driven strategy for building bicyclic peptides from simple natural peptide precursors. This method employs a novel chlorooxime-based crosslinker, whereby peptide bicyclization is achieved through rapid Cys coupling followed by proximity-driven intramolecular amide bond formation, enabling controlled synthesis of bicyclic peptides by utilizing reaction rate gradients. The method features mild reaction conditions, allowing rapid bicyclization at room temperature in aqueous solution under neutral pH, offering excellent biocompatibility, fast reaction kinetics, and high efficiency. Wu et al.[48] utilized bipyridine as a new multifunctional short-chain linker to synthesize various complex bicyclic peptides. The embedded bipyridine can be converted into fluorescent BODIPY dyes for cancer-selective targeting protein imaging in vitro, or directly used as selective metal sensors in aqueous media.
However, with the increase of bicyclic peptide sequences, the rigidity of the molecule is often difficult to maintain, especially for some bicyclic peptides lacking secondary structure and hydrophobic core, which greatly limits the binding affinity of bicyclic peptides to their targets. Lin et al.[49] discovered a novel bicyclic peptide scaffold constrained by cystine bridges and proline residues, which exhibits good rigidity, enabling bicyclic peptides to adopt stable ordered structures.

4 Construction of a Bicyclic Peptide Library

With the increasing market demand for bicyclic peptides, traditional synthetic methods alone can no longer meet such a large requirement. Therefore, screening from peptide libraries has become an efficient and feasible approach, leading to the development of bicyclic peptide libraries. Bicyclic peptide libraries can be constructed using two methods: chemical synthesis and biological synthesis.

4.1 Construction of Bicyclic Peptide Libraries by Chemical Methods

As previously mentioned, Sun et al. [33] constructed the first chemically synthesized small library containing 9 bicyclic peptides by using intramolecular thioester linkage on resin and dimedone-mediated disulfide formation off resin.
At present, the most commonly used method for constructing bicyclic peptide libraries via chemical approaches is the one-bead-one-compound (OBOC) high-throughput screening technique (Scheme 5). This technique was initially proposed by Lam et al. in 1992[50], and involves performing a series of efficient chemical syntheses on microbeads, enabling each bead to display only one peptide. This allows rapid and large-scale synthesis and screening of peptides to obtain those with specific targets. Unlike biological libraries, OBOC libraries are more inclusive. They not only allow natural amino acids but also permit the inclusion of other compounds such as radioactive isotopes, fluorescent dyes, and D-amino acids within the library[51]. In 2023, Yan et al.[52] utilized the OBOC technique to develop an in vivo localization-targeted peptide library-on-bead (LIB) screening method, making in vivo screening using OBOC technology feasible and further expanding its range of applications.
图式5 一株一化合物肽库的构建流程

Scheme 5 Flow of constructing a peptide library of one strain and one compound

However, after screening OBOC libraries, the structures of the hit bicyclic peptides cannot be determined. To address this limitation, Joo et al. reported a dual-compound method (OBTC). In the OBTC library, resin beads are separated into two distinct layers; the bead surface displays one cyclic peptide for screening against macromolecular receptors, while the interior contains a linear peptide with the same sequence serving as an encoding tag. During screening of the compound library, the target only binds to the outer bicyclic peptides, and the inner linear sequences do not cause interference. The selected bicyclic peptides can be sequenced via Edman degradation or mass spectrometry. In the construction of the OBTC library, bicyclic peptide cyclization is mediated by three amide bonds formed between a rigid small molecule scaffold, trimesic acid (TMA), an N-terminal amine, lysine protected with a monomethoxytrityl (Mmt) group, and the side chain of C-terminal L-2,3-diaminopropionic acid (Dap).
Lian et al.[55] synthesized an OBTC library on ChemMatrix resin to screen for specific inhibitors targeting protein tyrosine phosphatase 1B (PTP1B), but the hit peptides obtained exhibited poor cell penetration. Subsequently, researchers fused cyclic peptides with cyclic cell-penetrating peptides to generate bicyclic peptides, which demonstrated improved cellular permeability while retaining the ability to recognize specific intracellular targets. This approach remained effective in testing cell-permeable inhibitors based on peptide-prolyl cis-trans isomerase (Pin1), indicating a certain degree of universality.

4.2 Construction of Bicyclic Peptide Libraries via Biological Methods

The main methods for the biosynthesis of bicyclic peptide libraries include phage display, ribosome display, and mRNA display. Phage display is the most commonly used method; Heinis et al.[56] designed a peptide library composed of two sequences, containing six random amino acids and three cysteines, displayed on (non-disulfide) filamentous phage. The three cysteine residues were linked with the small molecule compound 1,3,5-tris(bromomethyl)benzene (TBMB) to construct bicyclic peptides (Scheme 6). The resulting chemical entities can be further modified and mutated selectively through enzymatic reactions (such as proteolysis). After multiple rounds of screening, a lead inhibitor (PK15) was successfully synthesized, capable of specifically targeting human plasma kallikrein and effectively blocking the intrinsic coagulation pathway in human plasma.
图式6 a:噬菌体展示构建双环肽库;b: PK15结构

Scheme 6 a: Phage display constructing a bicyclic peptide library; b: PK15 structure

In addition to TBMB as a cyclic linker for peptides, Chen et al. [57] investigated the activity of the same peptide using different linkers (Scheme 7), and found that combining different linkers with random libraries might be a promising strategy for generating highly structurally diverse macrocyclic libraries based on the significant differences in obtained IC50 values. The 1,3,5-triacryloylhexahydro-1,3,5-triazine (TATA), N,N',N''- (benzene-1,3,5-triyl)tris(2-bromoacetamide) (TBAB), and N,N',N''-(benzene-1,3,5-triyl)triacrylamide (TAAB) linkers developed in this report, along with TBMB, can be applied to phage peptide libraries containing >4×109 different peptides to create >1.2×1010 peptide macrocycle libraries.
图式7 小分子连接体

Scheme 7 Small molecule linkers

Sako et al.[58] reported a novel peptide scaffold containing one Cys and three non-proteinogenic amino acids that selectively forms the desired crosslinks, suitable for the preparation of bicyclic peptide libraries with uniform backbones. Hacker et al.[59] utilized the orthogonality between cysteine side chain alkylation with bis(bromoethyl)benzene and click chemistry to synthesize a series of cyclic or bridged bicyclic peptides. This strategy employs mRNA display technology to produce high-constraint bicyclic peptide libraries comprising >1013 precisely oriented topological structures. The bicyclization method is scaffold-free, thus allowing diverse ring attachment points and multiple bicyclic topologies.
SICLOPPS generates cyclic peptide libraries in cells by using protein trans-splicing. Its biggest advantage is the ability to easily, quickly, and effortlessly create libraries containing hundreds of millions of cyclic peptides. Moreover, this library can be combined with any cell-based assay to screen for members exhibiting desired phenotypes.[60] Since STCLOPPS cyclic peptide libraries are generated within cells, functional analyses can be performed against various targets, enabling not only assessment of the affinity of each compound in the library but also its functionality toward specific targets.[61]
Bicyclic peptide libraries have demonstrated significant application potential and research value. In both academia and industry, various bicyclic peptide libraries have been successfully applied to the screening of specific target molecules, the discovery of drug lead compounds, and the study of intermolecular interactions.

5 Applications of Bicyclic Peptides

Due to their good target affinity, high stability, and excellent cell membrane permeability, bicyclic peptides have promising prospects for clinical applications. Bicyclic peptides exhibit a variety of bioactivities, such as anti-tumor, antibacterial, anti-angiogenic, and anticoagulant properties.

5.1 Bicyclic Peptide Conjugates (Targeted Drug Delivery)

The method of forming conjugates between bicyclic peptides and drugs or toxins for targeted drug delivery has become a promising approach in oncology. The concept of bicyclic peptide conjugates originates from antibody-drug conjugates (ADCs), which have become a mainstream strategy for improving the pharmacodynamics of small molecule drugs. ADCs refer to highly potent small molecule therapeutic agents conjugated with monoclonal antibodies directed against specific targets, forming antibody-drug complexes[62]. However, ADCs have several disadvantages, primarily including: 1) antibodies possess certain immunogenicity[63], potentially causing immune responses such as allergic reactions, respiratory symptoms, and anaphylactic hypotension[64], thus it is recommended to co-administer ADCs with antihistamines; 2) the large size of monoclonal antibodies (approximately 150 kDa) makes it difficult for ADCs to enter cells to exert their effects[65], and it is estimated that only about 0.1% of the administered drug can reach the tumor tissue, representing the most critical drawback of ADCs; 3) ADCs have a long half-life in vivo[66]. Although prolonged exposure may compensate for their poor tissue penetration, extended exposure also renders them susceptible to enzymatic degradation by circulating plasma proteases, gradually releasing the payload systemically[67], thereby likely inducing systemic side effects; 4) antibodies are typically metabolized and eliminated via the liver, resulting in payload release in the liver and gastrointestinal tract, making hepatotoxicity and gastrointestinal toxicity common adverse effects associated with ADCs[68]. The emergence of bicyclic peptide conjugates effectively addresses these drawbacks of ADCs. First, bicyclic peptides contain two peptide rings, both capable of target binding, offering higher affinity. Additionally, due to their much smaller molecular weight compared to antibodies, their tissue penetration capability is significantly enhanced, enabling rapid and effective delivery of drugs to tumor tissues. Second, bicyclic peptide ligands are easy to synthesize and conjugate, making the development process more time- and labor-efficient. Finally, the properties of peptides result in a shorter in vivo half-life and primarily renal elimination, limiting systemic exposure to the payload and minimizing damage to normal tissues caused by the conjugated drugs or toxins[69]. Moreover, since the degradation products of bicyclic peptides are amino acids, they cause almost no toxic effects on the human body. Based on these advantages, we believe that bicyclic peptides hold great promise for application in the field of conjugate-based targeted therapy. Currently, bicyclic peptide conjugates have become a platform technology at Bicycle Therapeutics, used for selective delivery of chemotherapeutic agents or other therapeutics to disease sites. Bicyclic peptide conjugates can be further categorized into bicyclic drug conjugates (BDCs), bicyclic toxin conjugates (BTCs), and tumor-targeted immune cell agonists (TICAs), which differ essentially only in the type of payload conjugated, while sharing similar fundamental characteristics.

5.1.1 Bicyclic Peptide Drug Conjugates (BDCs)

In 2005, Chen et al.[70] reported the antitumor activity of paclitaxel (PTX) conjugated with a dimeric RGD peptide (Scheme 8) in a metastatic breast cancer cell line (MDA-MB-435). Dimeric RGD is an effective αvβ3 integrin antagonist, and PTX is a widely used antitumor drug in clinical practice, commonly administered for the treatment of advanced metastatic breast cancer. Using RGD as a carrier for PTX can enhance tumor recognition of PTX through the integrin receptor binding effect. In vitro and in vivo experimental results indicated that the presence of RGD peptides may facilitate the localization and internalization of PTX and exert its function as an antiangiogenic compound. Paclitaxel-RGD conjugates can improve the tumor specificity and targeting ability of paclitaxel, thereby reducing the systemic dose and toxicity.
图式8 紫杉醇(PTX)结合二聚体RGD肽结构式(红色部分为紫杉醇结构式)

Scheme 8 Structural formula of the paclitaxel(PTX)-binding dimeric RGD peptide(Red part is the paclitaxel structural formula)

5.1.2 Bicyclic Peptide Toxin Conjugates (BTCs)

Compared with BDCs, BTCs have developed more rapidly. As mentioned earlier[14], the combination of actinomycin D and RG1718 (a mesothelin-targeted immunotoxin) produces a synergistic effect, enhancing antitumor activity in humans. Additionally, BT1718, BT5528, and BT8009 have entered phase I/II clinical trials. The indications, target sites, conjugates, linkers, and clinical progress of these BTCs are summarized in Table 1, and their structural formulas are summarized in Scheme 9.
表1 BTCs总结

Table 1 Summary of BTCs

Name Structure Application Target Coupling Linker Clinical trial phase
BT1718[71-73] Scheme 9 a Non-small cell lung cancer、Breast cancer and other solid malignancies MT1-MMP DM1 Disulfide bond Clinical Phase II
BT5528[74-75] Scheme 9 b Ovarian and uroepithelial cancers EphA2 MMAE Val-Cit Clinical Phase II
BT8009[69,76] Scheme 9 c Advanced solid tumours associated with Nectin-4 expression Nectin-4 MMAE Val-Cit Clinical Phase I
图式9 BTCs结构式汇总(a:BT1718,DM1为美登木素生物碱;b:BT5528,MMAE为单甲基澳瑞他汀E;c:BT8009)

Scheme 9 Summary of structural formulae of BTCs(a: BT1718,DM1 is medenomucoid alkaloids; b: BT5528,MMAE is monomethyl auristatin E; c: BT8009)

5.1.3 Tumor-Targeted Immune Cell Agonists (TICAs)

CD137 is an immune co-stimulatory receptor and a member of the tumor necrosis factor (TNF) receptor superfamily, primarily involved in the activation of T cells, natural killer cells, and other immune cells[77]. CD137 can prolong the anti-tumor activity, proliferation, and survival of T cells. There are two main types of tumor-targeted immune cell agonists (TICAs)—BT7480 and BT7455—both of which are CD137 agonists. BT7480[78] (Figure 2) is a highly potent Nectin-4-dependent CD137 agonist that entered clinical trials in 2021. The success of BT7480 in clinical trial data has inspired researchers to further develop TICAs, leading to the subsequent development of the second TICA—BT7455. BT7455[79] (Figure 2) is a highly potent EphA2 expression-dependent CD137 agonist that demonstrates efficient CD137 activation in preclinical studies for EphA2-positive cancers, exhibiting optimal target binding, pharmacological, and pharmacokinetic properties, and will proceed into phase I clinical investigation.
图2 BT7480和BT7455结构

Fig.2 BT7480 and BT7455 Structure

5.2 PPIs

PPIs play important roles in various physiological processes, and selective modulation of PPIs has emerged as a novel therapeutic intervention strategy. Due to the large, flat, and featureless binding surfaces of PPI targets, small molecule compounds find it difficult to bind to them. Peptide drugs offer greater advantages in targeting PPIs, and bicyclic peptides have attracted significant interest from researchers because they exhibit higher affinity and specificity for PPIs compared to linear and monocyclic peptides.
Epidermal growth factor (EGF) has been shown to be involved in many types of solid tumors, including head and neck cancer, breast cancer, colon cancer, ovarian cancer, and non-small cell lung cancer[80]. Therefore, the EGF-EGFR pathway has become a focus for cancer treatment. Although EGFR inhibitors are already available in clinical settings, most patients develop resistance, leading to reduced efficacy with long-term use. Moreover, drugs targeting EGFR are highly limited due to issues related to bioavailability and toxic side effects. In this context, Guardiola et al.[81] reported that directly inhibiting EGF may produce better therapeutic outcomes, and peptide-based drugs can achieve this goal. Subsequently, this research group proposed the design of structure-based bicyclic constrained peptides and mimicked an interaction domain of EGFR[82]. In addition to studying their interactions with EGF at the molecular level, the group also confirmed their potential to block the EGF-EGFR interaction in a specific receptor-ligand assay, and further demonstrated their therapeutic potential in human cancer cells overexpressing EGFR.
Screening PPIs from peptide libraries is a rapid and efficient approach. Lian et al.[83] first selected planar structures as scaffolds to synthesize bicyclic peptide libraries. The planar scaffolds led the resulting bicyclic peptides toward an overall planar geometry, maximizing molecular surface area and thereby enabling interactions with flat protein surfaces. This type of bicyclic peptide may offer a general solution for inhibiting PPIs. Subsequently, this research group identified an effective antagonist, Anticachexin C1, through screening of a bicyclic peptide library targeting tumor necrosis factor alpha (TNFα), which inhibits the TNFα-TNFα receptor interaction and protects cells from TNFα-induced death.
Strategies to inhibit the interaction of p53 with murine double minute 2 (MDM2) and murine double minute X (MDMX) have proven to be a promising approach for cancer therapy[84]. Utilizing bicyclic peptides to inhibit the PPIs between p53 and MDM2/MDMX offers greater advantages. Li et al.[85] synthesized a bicyclic stapled peptide, p53-16, by combining an all-hydrocarbon stapling strategy with lactam bridges (Scheme 10), significantly improving its α-helicity and proteolytic stability. p53-16 exhibits nanomolar binding affinity toward MDM2 and MDMX, can penetrate cell membranes, and activates the p53 pathway to selectively inhibit tumor cell activity. RAS represents an attractive target for anticancer drugs; however, as a protein involved in intracellular PPIs, RAS has remained a highly challenging target. Trinh et al.[86] screened a library of bicyclic peptides targeting the G12V mutant KRAS and optimized hits, yielding a moderately potent cell-permeable KRAS inhibitor capable of physically blocking RAS effector interactions and inducing apoptotic death of cancer cells. This compound may serve as a lead for further structural optimization, providing a powerful tool for the development of RAS inhibitors.
图式10 P53-16结构式

Scheme 10 P53-16 structural formula

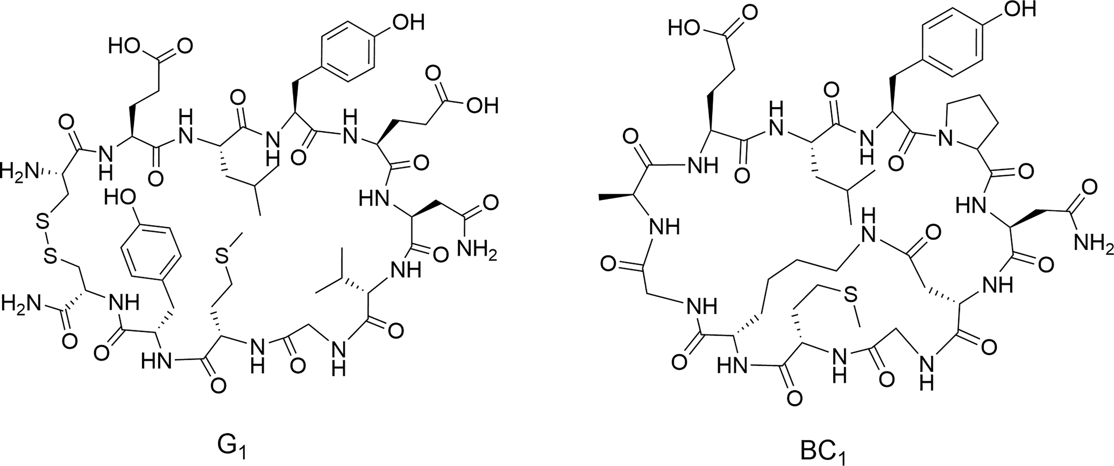
Peptide G1 (Scheme 11) is an 11-amino acid residue peptide macrocycle targeting the Src homology 2 (SH2) domain of growth factor receptor-bound protein 2 (Grb2). Quartararo et al.[87] used G1 as a starting point to generate bicyclic peptides with higher affinity, selectivity, and resistance to degradation through a peptide stapling approach. After two rounds of iterative design, the bicyclic peptide BC1 was obtained (Scheme 11), exhibiting 60-fold greater potency and 200-fold higher selectivity than G1. Moreover, under conditions where G1 was completely degraded, BC1 remained fully intact after 24 h and showed less than 15% degradation after 48 h in buffered human serum. This indicates that BC1 possesses strong resistance to degradation and can achieve long-lasting effects in vivo. This peptide cyclization approach holds promise for the development of selective inhibitors targeting SH2 domains and other phosphotyrosine (pTyr) binding proteins, as well as numerous other PPI inhibitors.
图式11 由肽G1经2轮迭代设计产生双环肽BC1

Scheme 11 Generation of bicyclic peptide BC1 from peptide G1 by two rounds of iterative design

Although many bicyclic peptides have shown good affinity and activity towards PPIs and can serve as lead compounds for further development, membrane permeability remains a challenging issue. Currently, common strategies to address this involve coupling bicyclic peptides with CPPs or incorporating cyclic CPPs, which are metabolically stable and significantly enhance cytoplasmic entry efficiency.

5.3 Enzyme Inhibitors/Agonists

Bicyclic peptides have been found to be highly effective enzyme inhibitors/activators, particularly against extracellular enzymes, where the requirement for membrane permeability is low. In our discussion of natural bicyclic peptides, we mentioned many naturally occurring bicyclic peptides with enzyme inhibitory activity, such as α-Amanitin[16], Romidepsin[15], SFTI-1[25], and others. In addition to natural bicyclic peptides, numerous synthetic bicyclic peptides also exhibit enzyme inhibition/activation activity.
First, it is worth mentioning Plecanatide, a guanylate cyclase agonist and one of the latest prosecretory compounds, which has been approved by the U.S. Food and Drug Administration for the treatment of adult chronic idiopathic constipation (Scheme 12)[88]. After oral administration, Plecanatide exhibits biological activity only within the intestine without being systemically absorbed, thereby offering high safety and favorable therapeutic efficacy; it also represents one of the few currently available bicyclic peptide agonists.
图式12 普卡那肽结构式

Scheme 12 Structural formula of Plecanatide

Then, the main focus is on enzyme inhibitors. Plasma kallikrein (PKal), a member of the kinin–kallikrein system, is a serine protease that catalyzes the release of the bioactive peptide bradykinin, thereby causing inflammation, vasodilation, increased vascular permeability, and pain. PKal has been identified as a potential target for the treatment of diabetic macular edema (DME)[89]. Using a technology combining phage display with chemical cyclization, Teufel et al.[90] have identified highly selective bicyclic peptide inhibitors with nanomolar and picomolar potency (core structure shown in Scheme 13a) by incorporating unnatural amino acids and non-peptide bonds to enhance stability in biological matrices. This peptide inhibits bradykinin release in vitro and has demonstrated in vivo efficacy in a rat paw edema model and a diabetes-induced retinal permeability rodent model, making it a promising new therapeutic agent for diabetic retinopathy and diabetic macular edema. Recently, an effective and stable inhibitor was selected from a library of bicyclic peptide PKal inhibitor analogs. Named THR-149, preclinical experiments have shown that this bicyclic peptide can prevent diabetes-induced retinal leakage in diabetic rat models. Van et al.[91] further demonstrated through a series of preclinical studies that repeated administration of THR-149 can reduce several key pathologies associated with DME in diabetic rats, such as retinal thickening and neuronal cell damage. These experiments confirmed that THR-149 is suitable for further clinical development and holds promise as a novel therapeutic agent for diabetes.
图式13 酶抑制剂双环肽结构式汇总(a:Pkal;b:UK18;c:FXII618;d:PTP1B)

Scheme 13 Summary of structural formulae for enzyme inhibitor bicyclic peptides(a: Pkal; b: UK18; c: FXII618; d: PTP1B)

Urokinase-type plasminogen activator (uPA) is a trypsin-like serine protease involved in the turnover of extracellular matrix (ECM) proteins and associated with tumor growth and invasion. It remains challenging to develop highly potent and specific small-molecule inhibitors targeting uPA, while macromolecular inhibitors such as monoclonal antibodies exhibit poor penetration into tumor cells. Therefore, peptide-based drugs can be prioritized for development. Angelini et al.[92] isolated a bicyclic peptide inhibitor named UK18 (Scheme 13b) from a combinatorial peptide library, which exhibited a binding affinity toward human uPA that was 200-fold higher than that of the previously identified best monocylic peptide, upain-1. As a small, highly constrained bicyclic peptide (<2 kDa), UK18 possesses typical protein-like characteristics, including a large interaction interface with its target, along with favorable binding affinity and specificity. Harman et al.[93] obtained a series of constrained bicyclic peptides by screening a highly diverse phage display library, which were further used to design bicyclic peptides with enhanced affinity and stronger inhibitory activity against angiotensin-converting enzyme 2 (ACE2). This novel class of bicyclic ACE2 inhibitors represents one of the most potent ACE2 inhibitors reported so far in vitro, and will serve as a powerful tool for further exploring ACE2 function and its potential therapeutic applications. Factor XII (FXII) inhibitors are important for studying proteases in the intrinsic coagulation pathway and suppressing contact activation during coagulation assays, and they also hold potential for antithrombotic therapy. However, synthetic FXII inhibitors developed to date have shown weak binding affinity and/or poor selectivity. Baeriswyl et al.[94] generated and screened a new combinatorial library containing billions of structurally diverse bicyclic peptides to identify synthetic FXIIa inhibitors. The optimal bicyclic structure, FXII618 (Scheme 13c), showed an inhibition constant (Ki) of 22 nmol/L and exhibited over 2000-fold selectivity over other proteases. It effectively and selectively inhibited the initiation of the intrinsic coagulation pathway in both plasma and whole blood without affecting the extrinsic pathway. Protein tyrosine phosphatases (PTPs) mediate the execution and regulation of numerous cellular processes, such as signal transduction. Designing PTP inhibitors has long been a challenging goal due to the highly conserved positively charged active site structure shared among all PTPs, which requires negatively charged moieties for tight binding. However, negatively charged substances typically lack cell membrane permeability. Liao et al.[95] directly screened a combinatorial library and developed a cell-penetrating bicyclic peptide-based inhibitor, PTP1B, specifically targeting T-cell PTP (TCPTP) (Scheme 13d). One of its rings contains a cell-penetrating motif (CPP), while the second ring harbors a target-binding sequence. This bicyclic peptide shows promise for development as a PTP inhibitor.

5.4 Receptor Inhibitor

Some bicyclic peptides also exhibit receptor inhibitor activity; for example, BI-32169 mentioned previously19 (Scheme 1d) demonstrates strong inhibitory activity against the human glucagon receptor. Neuropilin-1 (NP-1) is a receptor for vascular endothelial growth factor A165 (VEGF-A165) in endothelial cells. Jia et al.[96] developed a specific peptide antagonist that blocks the binding of VEGF to NP-1. The bicyclic peptide EG3287 effectively inhibited the binding of VEGF-A165 to both porcine aortic endothelial cells expressing NP-1 and breast cancer cells expressing only the NP-1 receptor.
Dysregulation of Notch signaling is associated with several human diseases, including cancer[97]. Therefore, the development of drugs targeting Notch holds great promise. Urech et al.[98] utilized phage display technology to isolate from a combinatorial library a bicyclic peptide, FL-NRR17, which exhibits high-affinity binding to the NRR domain of the human Notch1 receptor (Scheme 14). Abnormal expression of the epidermal growth factor receptor Her2 is linked to various malignancies, including breast cancer. Diderich et al.[99] screened a library of 66 bicyclic peptides and identified several bicyclic peptide ligands specifically targeting the epidermal growth factor receptor Her2. The best obtained bicyclic peptide binds to Her2 with a KD (equilibrium dissociation constant) value of 304 nmol/L. Unfortunately, the aforementioned bicyclic peptide ligands did not exhibit the desired activity in cell-based experiments. However, these peptide ligands could be used to modulate the conformation of other disease-related targets and hold potential applications in tumor imaging and therapy.
图式14 双环肽FL-NRR17结构

Scheme 14 Structure of the bicyclic peptide FL-NRR17

5.5 Antimicrobial Bicyclic Peptides

The issue of traditional antimicrobial drug resistance has severely hindered the progress of modern medicine. Both new antimicrobial agents and novel action targets represent key focal points for future antimicrobial drug development. As next-generation therapeutics for treating multidrug-resistant bacterial infections, antimicrobial peptides (AMPs) have their applications limited due to disadvantages such as susceptibility to proteolytic degradation and significant hemolytic activity[100]. Strategies to enhance protease stability include substitution with D- or non-proteinogenic amino acids, N- or C-terminal acetylation or amidation modifications, pegylation, lipidation, and peptide cyclization[101-102], among which peptide cyclization is the most widely applied strategy.
In 2019, Imai et al.[103] identified a novel antibiotic named Darobactin, which possesses a unique bicyclic structure, by screening Photorhabdus isolates. This compound is highly effective against various Gram-negative pathogens and exhibits no activity against common commensal intestinal bacteria or human cell lines, indicating minimal impact on the human body and high safety. Adaligil et al.[104] discovered peptide antibiotics composed of D-amino acids using the "mirror phage display technique"[105]. Among them, the most active bicyclic peptide P14 (Scheme 15a) demonstrated good antibacterial activity against Staphylococcus aureus and MRSA, with MIC values of 8 ·g/mL and 32 ·g/mL, respectively. Although certain natural or designed antimicrobial peptides exhibit cytotoxicity toward mammalian cells, the bicyclic antimicrobial peptide P14 does not cause erythrocyte lysis nor show significant toxicity toward mammalian cells even at concentrations as high as 256 ·g/mL. These findings suggest that P14 could be further developed as a promising antimicrobial bicyclic peptide.
图式15 抗菌双环肽结构式汇总(a:P14;b:Bicyclic peptide 6;c:62b;d:SrtA)

Scheme 15 Summary of structural formulae of antimicrobial bicyclic peptides(a: P14; b: Bicyclic peptide 6; c: 62b; d: SrtA)

Cationic antimicrobial peptides (CAMPs) exert bactericidal activity through a membrane disruption mechanism, and bacteria must completely redesign the structure of their cell membranes to develop mutations, a process that requires a long time. Therefore, few bacterial strains have evolved resistance to CAMPs[106]. He et al.[107] synthesized four bicyclic peptides with different lysine sites using the cationic antimicrobial peptide OH-CM6 as a lead compound and 1,3,5-trimethylbenzene as a small-molecule scaffold to crosslink the ε-amino groups of three lysine residues. Among them, bicyclic peptide 6 (Scheme 15b) exhibited optimal serum stability and antimicrobial activity against Gram-negative bacteria, Gram-positive bacteria, and multidrug-resistant bacteria. Additionally, bicyclic peptide 6 showed no hepatotoxicity or nephrotoxicity in vivo and holds promise as a novel therapeutic agent for treating multidrug-resistant bacterial infections.
In addition to the widely used screening of bicyclic peptide libraries, some new methods have been developed to obtain antimicrobial bicyclic peptides. For example, Di et al.[108] applied the concept of chemical space, which is extensively utilized in small-molecule drug discovery, and employed a novel 2DP approach to calculate the chemical space (2DP can generate topological shapes and pharmacophore fingerprints of peptides), leading to the identification of antibacterial bridged bicyclic peptide 62b with activity against Gram-negative bacteria Pseudomonas aeruginosa (Scheme 15c). Compound 62b exhibits strong biofilm inhibition and dispersal activity and can enhance the effectiveness of polymyxins. The findings of this study are significant for addressing serious bacterial infections in hospital settings. Furthermore, the chemical space approach provides a general strategy for discovering bioactive peptides with unusual topologies, thereby expanding the structural diversity of peptide-based therapeutics.
Another direction in the development of antibacterial agents is to identify novel therapeutic targets. Sortase, a transpeptidase, represents a potential target for developing anti-infective drugs. Rentero et al.[109] screened a large library of billions of bicyclic peptides targeting sortase and identified effective and selective inhibitors of sortase A (SrtA). Studies on the cocrystal structures of bicyclic peptides and their targets revealed that the shape of the bicyclic peptides perfectly complements the target, enabling high-affinity and highly selective binding to the target. The peptide 2 synthesized by this group (Scheme 15d) exhibited a Ki value of (2.4±0.3) μmol/L, significantly better than the best selective small-molecule SrtA inhibitors developed thus far.
Although antimicrobial peptides have improved resistance compared to traditional antibiotics, the development of bacterial resistance is inevitable. Continuous research and development of new antimicrobial compounds and discovery of novel antimicrobial mechanisms will help limit antibiotic resistance. At the same time, strictly restricting the use of antimicrobial agents in non-essential cases and appropriately combining different types of antimicrobial agents will further reduce the risk of drug-resistant bacteria.

5.6 Imaging and Contrast Enhancement

Molecular imaging techniques play a crucial role in medical diagnostic research. Peptide molecules, after labeling, become a class of molecular probes that can be used for disease diagnosis, treatment, and post-treatment tracking. Bicyclic peptides are highly promising positron emission tomography (PET) tracers and other diagnostic imaging agents. Bicyclic peptides possess rapid tumor penetration characteristics, combined with high efficiency and chemical diversity, enabling excellent signal-to-background ratios and shorter delays between administration and imaging. Therefore, they provide high-contrast imaging probes for clinical diagnostics and demonstrate convincing additional potential in targeted therapy.
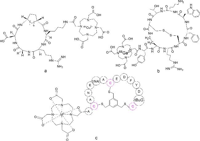
To detect early tumor cells, tumor-targeting peptides such as RGDs must be incorporated into imaging probes. Park et al.[110] synthesized two new bicyclic RGD peptides by grafting aminocyclopentane (ACP) and aminocyclohexane (ACH) onto a tetrapeptide (RGDK) sequence, which were then conjugated with DOTA (Scheme 16a). These conjugates were radiolabeled with the radioactive metal 64Cu and both showed high affinity for U87MG glioblastoma cells, superior to that of the monocyclic c(RGDyK), making them suitable as PET imaging agents. Fani et al.[111] designed a bicyclic somatostatin analog, which was conjugated with DOTA (1,4,7,10-tetraazacyclododecane-1,4,7,10-tetraacetic acid) and labeled with 177Lu and 68Ga for in vitro internalization, efflux, pharmacokinetics, and imaging studies on tumor xenografts expressing somatostatin receptor subtypes 2 and 3. Biodistribution and PET/CT studies were performed on corresponding nude mouse models. The optimal conjugate, 68Ga-AM3 (Scheme 16b), demonstrated clear tumor localization within 1 h after injection, visible kidneys, and negligible background, indicating its potential as an excellent imaging tracer, particularly for PET. Melemenidis et al.[112] synthesized a cyclic RGD variant [c(RGDyK)] with high affinity for αvβ3, which was multivalently conjugated to iron oxide microparticles (MPIO). Under in vitro flow conditions, the binding properties of c(RGDyK)-MPIO to endothelial cells expressing αvβ3 were tested, followed by quantification of the contrast-enhancing effect of c(RGDyK)-MPIO in colon cancer and melanoma animal models, providing opportunities for early tumor detection and determining the suitability of specific therapies. Eder et al.[113] identified a bicyclic peptide with subnanomolar affinity for MT1-MMP, a matrix metalloproteinase overexpressed in tumors. This peptide was conjugated via its N-terminus to the chelator DOTA, and after multiple experiments, the optimal imaging agent BCY-C2 (Scheme 16c) was obtained. In vivo studies showed high tumor uptake in mouse models.
图式16 成像双环肽结构式汇总(a:双环RGD肽;b:68Ga-AM3;c:BCY-C2)

Scheme16 Summary of structural formulae for imaging bicyclic peptides(a: bicyclic RGD peptide; b: 68Ga-AM3; c: BCY-C2)

For imaging-capable bicyclic peptide conjugates, tumor uptake can be further increased by enhancing the proteolytic stability of the peptides and prolonging the serum half-life through fatty acid conjugation. Certainly, tumor signals and in vivo selectivity can be further optimized by altering the position, composition, and size of the molecular spacer, as well as by using fatty acid derivatives with a certain affinity for albumin. These examples strongly demonstrate that bicyclic peptides have significant potential for application in imaging and contrast enhancement.

6 Prospects and Discussions

With the rapid development of the field of bicyclic peptides, they have attracted increasing attention. This article discusses bicyclic peptide synthesis and applications, and systematically summarizes and prospects their current status and future development.
In the acquisition of bicyclic peptides, various synthetic methods combined with peptide library screening have further expanded the available approaches. Bicyclic peptides offer advantages such as simplicity and ease of preparation. Peptides containing disulfide bonds are widely present in nature, and these bonds confer good thermal stability and resistance to hydrolytic enzymes on bicyclic peptides. Therefore, disulfide bond-mediated synthesis has become a commonly used strategy. Considering the instability of disulfide bonds, other small molecule linkers, such as thioether bonds, alkenes, and alkynes, are now frequently employed as alternatives. Small molecule-mediated bicyclic peptides represent common strategies in both chemical and biological synthesis, and developing small molecule linkers with improved structural stability, better biocompatibility, and reduced toxicity remains a current research hotspot in this field. In addition to utilizing small molecule linkers, simpler methods like intramolecular amide bonds and head-to-tail cyclization are also widely applied. However, challenges still exist in bicyclic peptide synthesis, including low synthetic efficiency, cumbersome operations, and high costs associated with large-scale production. Future efforts will focus on developing more efficient and cost-effective synthetic methodologies.
In terms of the activity of bicyclic peptides, first, bicyclic peptides exhibit higher affinity, stability, and cell membrane permeability. Therefore, linear peptides or monocyclic peptides with certain activity can be cyclized into bicyclic peptides in the future to enhance their activity and bioavailability. Second, compared with antibodies, which have disadvantages such as large molecular weight and immunogenicity, the drawbacks of ADCs can be effectively addressed by bicyclic peptide conjugates. We anticipate the successful market launch of bicyclic peptide conjugates, which will likely become a hotspot for targeted therapy using bicyclic peptides in the future. Based on the series of advantages displayed by bicyclic peptides, we boldly speculate that in the future, bicyclic peptides may replace antibodies in applications for therapeutic and diagnostic reagents. Third, for small molecule drugs, some targets considered "undruggable" could potentially be addressed by bicyclic peptides, offering promise for targeting challenging sites and providing potential value in treating diseases yet to be resolved in humans. However, there are still several limitations of bicyclic peptides that require further overcoming. First, the solubility of peptide-based drugs has always been an important issue, as solubility directly affects cellular permeability and bioavailability. Although current formulation strategies can partially resolve solubility problems, completely solving this issue without affecting activity requires further exploration by researchers. Second, compared with linear and monocyclic peptides, bicyclic peptides possess increased conformational rigidity, which reduces entropy penalties upon receptor binding and is favorable for target binding. However, greater rigidity means lower degrees of freedom, which may result in unfavorable energetic and spatial positions when the molecule binds to its target, potentially leading to off-target effects. Finally, although some bicyclic peptides demonstrate high affinity toward receptors, they do not exhibit the expected activity in activity experiments, highlighting a key challenge that needs to be addressed in future development of bicyclic peptides.
Although bicyclic peptides still have some disadvantages, this does not negate their enormous potential in drug development. We believe that in the future, bicyclic peptides are very likely to become a powerful driving force for pharmaceutical advancements and receive increasing attention.
[1]
Basith S, Manavalan B, Hwan Shin T, Lee G. Med. Res. Rev., 2020, 40(4): 1276.

[2]
Robinson J A, DeMarco S, Gombert F, Moehle K, Obrecht D. Drug Discov. Today, 2008, 13(21/22): 944.

[3]
Verdine G L, Hilinski G J. Methods Enzymol., 2012, 503: 3.

[4]
Lau J L, Dunn M K. Bioorg. Med. Chem., 2018, 26(10): 2700.

[5]
Sharma K, Sharma K K, Sharma A, Jain R. Drug Discov. Today, 2023, 28(2): 103464.

[6]
Qian Z Q, Dougherty P G, Pei D H. Curr. Opin. Chem. Biol., 2017, 38: 80.

[7]
Baeriswyl V, Heinis C. ChemMedChem, 2013, 8(3): 377.

[8]
Joo S H. Biomol. Ther. (Seoul)., 2012, 20: 19.

[9]
Rhodes C A, Pei D H. Chem., 2017, 23(52): 12690.

[10]
Ahangarzadeh S, Kanafi M M, Hosseinzadeh S, Mokhtarzadeh A, Barati M, Ranjbari J, Tayebi L. Drug Discov. Today, 2019, 24(6): 1311.

[11]
Quartararo J S, Eshelman M R, Peraro L, Yu H T, Baleja J D, Lin Y S, Kritzer J A. Bioorg. Med. Chem., 2014, 22(22): 6387.

[12]
Lau Y H, de Andrade P, Wu Y T, Spring D R. Chem. Soc. Rev., 2015, 44(1): 91.

[13]
Farber S, D’Angio G, Evans A, Mitus A. Ann. N Y Acad. Sci., 1960, 89(2): 421.

[14]
Liu X F, Xiang L M, Zhou Q, Carralot J P, Prunotto M, Niederfellner G, Pastan I. Proc. Natl. Acad. Sci. U. S. A., 2016, 113(38): 10666.

[15]
VanderMolen K M, McCulloch W, Pearce C J, Oberlies N H. J. Antibiot., 2011, 64(8): 525.

[16]
Siegert M J, Knittel C H, Süssmuth R D. Angew. Chem. Int. Ed., 2020, 59(14): 5500.

[17]
Matinkhoo K, Pryyma A, Todorovic M, Patrick B O, Perrin D M. J. Am. Chem. Soc., 2018, 140(21): 6513.

[18]
Moldenhauer G, Salnikov A V, Lüttgau S, Herr I, Anderl J, Faulstich H. JNCI J. Natl. Cancer Inst., 2012, 104(8): 622.

[19]
Potterat O, Wagner K, Gemmecker G, Mack J, Puder C, Vettermann R, Streicher R. J. Nat. Prod., 2004, 67(9): 1528.

[20]
Kim G J, Li X, Kim S H, Yang I, Hahn D, Chin J, Nam S J, Nam J W, Nam D H, Oh D C, Chang H W, Choi H. Org. Lett., 2018, 20(23): 7539.

[21]
Karim M R U, In Y, Zhou T, Harunari E, Oku N, Igarashi Y. Org. Lett., 2021, 23(6): 2109.

[22]
An J S, Kim M S, Han J, Jang S C, Im J H, Cui J S, Lee Y, Nam S J, Shin J, Lee S K, Yoon Y J, Oh D C. J. Nat. Prod., 2022, 85(4): 804.

[23]
Matsunaga S, Fusetani N, Hashimoto K, Walchli M. J. Am. Chem. Soc., 1989, 111(7): 2582.

[24]
Matsunaga S, Fusetani N. J. Org. Chem., 1995, 60(5): 1177.

[25]
de Veer S J, White A M, Craik D J. Angew. Chem. Int. Ed., 2021, 60(15): 8050.

[26]
Malik U, Silva O N, Fensterseifer I C M, Chan L Y, Clark R J, Franco O L, Daly N L, Craik D J. Antimicrob. Agents Chemother., 2015, 59(4): 2113.

[27]
Qiu Y B, Taichi M, Wei N, Yang H, Luo K Q, Tam J P. J. Med. Chem., 2017, 60(1): 504.

[28]
Hitotsuyanagi Y. J. Nat. Med., 2021, 75(4): 752.

[29]
Kobayashi J, Suzuki H, Shimbo K, Takeya K, Morita H. J. Org. Chem., 2001, 66(20): 6626.

[30]
Dahiya R, Dahiya S, Fuloria N K, Mourya R, Dahiya S, Fuloria S, Kumar S, Shrivastava J, Saharan R, Chennupati S V, Patel J K. Mini Rev. Med. Chem., 2022, 22(13): 1772.

[31]
Zanotti G, Birr C, Wieland T. Int. J. Pept. Protein Res., 1978, 12(4): 204.

[32]
Qi Y-K, Qu Q, Bierer D, Liu L. Chem., 2020, 15(18): 2793.

[33]
Sun Y, Lu G S, Tam J P. Org. Lett., 2001, 3(11): 1681.

[34]
Rayala R, Tiller A, Majumder S A, Stacy H M, Eans S O, Nedovic A, McLaughlin J P, Cudic P. Molecules, 2023, 28(4): 1822.

[35]
Chang J Y, Lu B Y, Li L. Anal. Biochem., 2005, 342(1): 78.

[36]
Zhu H Y, Wu M, Yu F Q, Zhang Y N, Xi T K, Chen K, Fang G M. Tetrahedron Lett., 2021, 67: 152875.

[37]
Elduque X, Pedroso E, Grandas A. Org. Lett., 2013, 15(8): 2038.

[38]
Wang T, Fan J, Chen X X, Zhao R, Xu Y, Bierer D, Liu L, Li Y M, Shi J, Fang G M. Org. Lett., 2018, 20(19): 6074.

[39]
Chen K, Tang Y, Wu M, Wan X C, Zhang Y N, Chen X X, Yu F Q, Cui Z H, Ma J M, Zhou Z C, Fang G M. Org. Lett., 2022, 24(1): 53.

[40]
Ghalit N, Reichwein J F, Hilbers H W, Breukink E, Rijkers D T S, Liskamp R M J. ChemBioChem, 2007, 8(13): 1540.

[41]
Cromm P M, Schaubach S, Spiegel J, Fürstner A, Grossmann T N, Waldmann H. Nat. Commun., 2016, 7: 11300.

[42]
Mendive-Tapia L, Preciado S, García J, Ramón R, Kielland N, Albericio F, Lavilla R. Nat. Commun., 2015, 6: 7160.

[43]
Li Z H, Shao S Q, Ren X D, Sun J N, Guo Z L, Wang S W, Song M M, Chang C A, Xue M. J. Am. Chem. Soc., 2018, 140(44): 14552.

[44]
Lättig-Tünnemann G, Prinz M, Hoffmann D, Behlke J, Palm-Apergi C, Morano I, Herce H D, Cardoso M C. Nat. Commun., 2011, 2: 453.

[45]
Oh D, Darwish S A, Shirazi A N, Tiwari R K, Parang K. ChemMedChem, 2014, 9(11): 2449.

[46]
Ullrich S, George J, Coram A E, Morewood R, Nitsche C. Angew. Chem. Int. Ed., 2022, 61(43): e202208400.

[47]
Chen F J, Pinnette N, Yang F, Gao J M. Angew. Chem. Int. Ed., 2023, 62(31): e202306813.

[48]
Wu Y, Chau H F, Thor W, Chan K H Y, Ma X, Chan W L, Long N J, Wong K L. Angew. Chem. Int. Ed., 2021, 60(37): 20301.

[49]
Lin P, Yao H W, Zha J, Zhao Y B, Wu C L. ChemBioChem, 2019, 20(12): 1514.

[50]
Lam K S, Salmon S E, Hersh E M, Hruby V J, Kazmeierski W M, Knapp R J. Nature, 1992, 358(6385): 434.

[51]
David A. Drug. Deliv. Rev., 2017, 119: 120.

[52]
Yan Y Q, Wang J Q, Zhang L Z, Yang P P, Ye X W, Liu C, Hou D Y, Lai W J, Wang J, Zeng X Z, Xu W H, Wang L. ACS Nano, 2023, 17(2): 1381.

[53]
Joo S H, Xiao Q, Ling Y, Gopishetty B, Pei D H. J. Am. Chem. Soc., 2006, 128(39): 13000.

[54]
Yan Y Q, Wang L, Wang H. Chem. Res. Chin. Univ., 2023, 39(1): 83.

[55]
Lian W L, Jiang B S, Qian Z Q, Pei D H. J. Am. Chem. Soc., 2014, 136(28): 9830.

[56]
Heinis C, Rutherford T, Freund S, Winter G. Nat. Chem. Biol., 2009, 5(7): 502.

[57]
Chen S Y, Morales-Sanfrutos J, Angelini A, Cutting B, Heinis C. ChemBioChem, 2012, 13(7): 1032.

[58]
Sako Y, Morimoto J, Murakami H, Suga H. J. Am. Chem. Soc., 2008, 130(23): 7232.

[59]
Hacker D E, Hoinka J, Iqbal E S, Przytycka T M, Hartman M C T. ACS Chem. Biol., 2017, 12(3): 795.

[60]
Tavassoli A, Benkovic S J. Nat. Protoc., 2007, 2(5): 1126.

[61]
Tavassoli A. Curr. Opin. Chem. Biol., 2017, 38: 30.

[62]
Beck A, Goetsch L, Dumontet C, Corvaïa N. Nat. Rev. Drug Discov., 2017, 16(5): 315.

[63]
Fu C, Yu L F, Miao Y X, Liu X L, Yu Z J, Wei M J. Acta Pharm. Sin. B, 2023, 13(2): 498.

[64]
Wolska-Washer A, Robak T. Drug Saf., 2019, 42(2): 295.

[65]
Thurber G M, Dane Wittrup K. J. Theor. Biol., 2012, 314: 57.

[66]
Li C Z, Zhang C, Li Z, Samineni D, Lu D, Wang B, Chen S C, Zhang R, Agarwal P, Fine B M, Girish S. mAbs, 2020, 12(1): 1699768.

[67]
Saber H, Leighton J K. Regul. Toxicol. Pharmacol., 2015, 71(3): 444.

[68]
Lambert J M, Morris C Q. Adv. Ther., 2017, 34(5): 1015.

[69]
Mudd G E, Scott H, Chen L H, van Rietschoten K, Ivanova-Berndt G, Dzionek K, Brown A, Watcham S, White L, Park P U, Jeffrey P, Rigby M, Beswick P. J. Med. Chem., 2022, 65(21): 14337.

[70]
Chen X Y, Plasencia C, Hou Y P, Neamati N. J. Med. Chem., 2005, 48(4): 1098.

[71]
Gowland C, Berry P, Errington J, Jeffrey P, Bennett G, Godfrey L, Pittman M, Niewiarowski A, Symeonides S N, Veal G J. Bioanalysis, 2021, 13(2): 101.

[72]
Bennett G, Harrison H, Campbell S, Teufel D, Langford G, Watt A, Bonny C. Eur. J. Cancer, 2016, 69: S21.

[73]
Cook N, Banerji U, Evans J, Biondo A, Germetaki T, Randhawa M, Godfrey L, Leslie S, Jeffrey P, Rigby M, Bennett G, Blakemore S, Koehler M, Niewiarowski A, Pittman M, Symeonides S N. Ann. Oncol., 2019, 30: v174.

[74]
No authors. Cancer Discovery, 2021, 11: 2950.

[75]
Bennett G, Brown A, Mudd G, Huxley P, Van Rietschoten K, Pavan S, Chen L H, Watcham S, Lahdenranta J, Keen N. Mol. Cancer Ther., 2020, 19(7): 1385.

[76]
Rigby M, Bennett G, Chen L, Mudd G E, Harrison H, Beswick P J, Rietschoten K, Watcham S M, Scott H S, Brown A N, Park P U, Campbell C, Haines E, Lahdenranta J, Skynner M J, Jeffrey P, Keen N, Lee K. Mol. Cancer. Ther., 2022, 21: 1747.

[77]
Upadhyaya P, Lahdenranta J, Hurov K, Battula S, Dods R, Haines E, Kleyman M, Kristensson J, Kublin J, Lani R, Ma J, Mudd G, Repash E, Van Rietschoten K, Stephen T, You F L, Harrison H, Chen L H, McDonnell K, Brandish P, Keen N. J. ImmunoTherapy Cancer, 2021, 9(1): e001762.

[78]
Hurov K, Lahdenranta J, Upadhyaya P, Haines E, Cohen H, Repash E, Kanakia D, Ma J, Kristensson J, You F L, Campbell C, Witty D, Kelly M, Blakemore S, Jeffrey P, McDonnell K, Brandish P, Keen N. J. ImmunoTherapy Cancer, 2021, 9(11): e002883.

[79]
Hurov K, Luus L, Lahdenranta J, Upadhyaya P, Cohen H, Shah C, Kristensson J, Brown P, Mudd G, Campbell C, Repash E, Haines E, Battula S, Kelly M, Jeffrey P, Beswick P, Chen L, McDonnell K, Brandish P, Keen N. In Regular and Young Investigator Award Abstracts, 2022, 9: 1389.

[80]
Yewale C, Baradia D, Vhora I, Patil S, Misra A. Biomaterials, 2013, 34(34): 8690.

[81]
Guardiola S, Díaz-Lobo M, Seco J, García J, Nevola L, Giralt E. ChemBioChem, 2016, 17(8): 702.

[82]
Guardiola S, Seco J, Varese M, Díaz-Lobo M, García J, Teixidó M, Nevola L, Giralt E. ChemBioChem, 2018, 19(1): 76.

[83]
Lian W L, Upadhyaya P, Rhodes C A, Liu Y S, Pei D H. J. Am. Chem. Soc., 2013, 135(32): 11990.

[84]
Gupta A, Shah K, Oza M J, Behl T. Biomed. Pharmacother., 2019, 109: 484.

[85]
Li H J, Chen X Y, Wu M H, Song P P, Zhao X. Chin. Chemical Lett., 2022, 33(3): 1254.

[86]
Trinh T B, Upadhyaya P, Qian Z Q, Pei D H. ACS Comb. Sci., 2016, 18(1): 75.

[87]
Quartararo J S, Wu P P, Kritzer J A. ChemBioChem, 2012, 13(10): 1490.

[88]
Rao S S C. Ther. Adv. Gastroenterol., 2018, 11: 1756284818777945.

[89]
Bhatwadekar A D, Kansara V S, Ciulla T A. Expert Opin. Investig. Drugs, 2020, 29(3): 237.

[90]
Teufel D P, Bennett G, Harrison H, van Rietschoten K, Pavan S, Stace C, Le Floch F, Van Bergen T, Vermassen E, Barbeaux P, Hu T T, Feyen J H M, Vanhove M. J. Med. Chem., 2018, 61(7): 2823.

[91]
Van Bergen T, Hu T T, Little K, De Groef L, Moons L, Stitt A W, Vermassen E, Feyen J H M. Invest. Ophthalmol. Vis. Sci., 2021, 62(13): 18.

[92]
Angelini A, Cendron L, Chen S Y, Touati J, Winter G, Zanotti G, Heinis C. ACS Chem. Biol., 2012, 7(5): 817.

[93]
Harman M A J, Stanway S J, Scott H, Demydchuk Y, Bezerra G A, Pellegrino S, Chen L H, Brear P, Lulla A, Hyvönen M, Beswick P J, Skynner M J. J. Med. Chem., 2023, 66(14): 9881.

[94]
Baeriswyl V, Calzavarini S, Chen S Y, Zorzi A, Bologna L, Angelillo-Scherrer A, Heinis C. ACS Chem. Biol., 2015, 10(8): 1861.

[95]
Liao H, Pei D H. Org. Biomol. Chem., 2017, 15(45): 9595.

[96]
Jia H Y, Bagherzadeh A, Hartzoulakis B, Jarvis A, Löhr M, Shaikh S, Aqil R, Cheng L L, Tickner M, Esposito D, Harris R, Driscoll P C, Selwood D L, Zachary I C. J. Biol. Chem., 2006, 281(19): 13493.

[97]
Andersson E R, Lendahl U. Nat. Rev. Drug Discov., 2014, 13: 357.

[98]
Urech-Varenne C, Radtke F, Heinis C. ChemMedChem, 2015, 10(10): 1754.

[99]
Diderich P, Heinis C. Tetrahedron, 2014, 70(42): 7733.

[100]
Mahlapuu M, Björn C, Ekblom J. Crit. Rev. Biotechnol., 2020, 40(7): 978.

[101]
Rezende S B, Oshiro K G N, Júnior N G O, Franco O L, Cardoso M H. Chem. Commun., 2021, 57(88): 11578.

[102]
He T, Qu R, Zhang J Q. J. Pept. Sci., 2022, 28(6): e3387.

[103]
Imai Y, Meyer K J, Iinishi A, Favre-Godal Q, Green R, Manuse S, Caboni M, Mori M, Niles S, Ghiglieri M, Honrao C, Ma X Y, Guo J J, Makriyannis A, Linares-Otoya L, Böhringer N, Wuisan Z G, Kaur H, Wu R R, Mateus A, Typas A, Savitski M M, Espinoza J L, O’Rourke A, Nelson K E, Hiller S, Noinaj N, Schäberle T F, D’Onofrio A, Lewis K. Nature, 2019, 576(7787): 459.

[104]
Adaligil E, Patil K, Rodenstein M, Kumar K. ACS Chem. Biol., 2019, 14(7): 1498.

[105]
Schumacher T N M, Mayr L M, Minor D L Jr, Milhollen M A, Burgess M W, Kim P S. Science, 1996, 271(5257): 1854.

[106]
Marr A K, Gooderham W J, Hancock R E. Curr. Opin. Pharmacol., 2006, 6(5): 468.

[107]
He T, Xu L, Hu Y C, Tang X M, Qu R, Zhao X J, Bai H, Li L X, Chen W Y, Luo G L, Fu G, Wang W, Xia X F, Zhang J Q. J. Med. Chem., 2022, 65(15): 10523.

[108]
Di Bonaventura I, Jin X, Visini R, Probst D, Javor S, Gan B H, Michaud G, Natalello A, Doglia S M, Köhler T, van Delden C, Stocker A, Darbre T, Reymond J L. Chem. Sci., 2017, 8(10): 6784.

[109]
Rentero Rebollo I, McCallin S, Bertoldo D, Entenza J M, Moreillon P, Heinis C. ACS Med. Chem. Lett., 2016, 7(6): 606.

[110]
Park J A, Lee Y J, Lee J W, Lee K C, An G I, Kim K M, Kim B I, Kim T J, Kim J Y. ACS Med. Chem. Lett., 2014, 5(9): 979.

[111]
Fani M, Mueller A, Tamma M L, Nicolas G, Rink H R, Cescato R, Reubi J C, Maecke H R. J. Nucl. Med., 2010, 51(11): 1771.

[112]
Melemenidis S, Jefferson A, Ruparelia N, Akhtar A M, Xie J, Allen D, Hamilton A, Larkin J R, Perez-Balderas F, Smart S C, Muschel R J, Chen X Y, Sibson N R, Choudhury R P. Theranostics, 2015, 5(5): 515.

[113]
Eder M, Pavan S, Bauder-Wüst U, Rietschoten K, Baranski A C, Harrison H, Campbell S, Stace C L, Walker E H, Chen L, Bennett G, Mudd G, Schierbaum U, Leotta K, Haberkorn U, Kopka K, Teufel D P. Cancer. Res., 2019, 79: 841.

Outlines

/