Home Journals Acta Academiae Medicinae Sinicae
Acta Academiae Medicinae Sinicae

Abbreviation (ISO4): Acta Academiae Medicinae Sinicae      Editor in chief: Xuetao CAO

About  /  Aim & scope  /  Editorial board  /  Indexed  /  Contact  / 
Original Articles

Validity and Cost-Consequence Analysis of the Brief Version of the Montreal Cognitive Assessment for Discriminating Cognitive Impairment in a Community-Based Middle-Aged and Elderly Population

  • Ting PANG 1, 2, 3 ,
  • Yaping ZHANG 1, 2 ,
  • Renwei CHEN 1, 2 ,
  • Aiju MA 1, 2 ,
  • Xiaoyi YU 1 ,
  • Yiwen HUANG 1 ,
  • Yichun LU 1 ,
  • Xin XU , 1, 2, 3
Expand
  • 1School of Public Health,Zhejiang University,Hangzhou 310000,China
  • 2Key Laboratory of Intelligent Preventive Medicine of Zhejiang Province,Hangzhou 310000,China
  • 3The Second Affiliated Hospital,Zhejiang University School of Medicine,Hangzhou 310058,China
XU Xin Tel:0571-88981368,E-mail:

Received date: 2024-06-27

  Online published: 2025-07-29

Abstract

Objective To evaluate the reliability and validity and perform cost-consequence analysis of the brief version of the Montreal cognitive assessment(MoCA)for identifying cognitive impairment in a community-based population ≥50 years of age.Methods The internal consistency and retest reliability of the brief version of the MoCA were analyzed,and the area under the curve(AUC),sensitivity,and specificity were determined to discriminate mild cognitive impairment(MCI)and dementia with the clinical dementia rating(CDR)as the diagnostic criterion.The consistency between the brief version and the full version was analyzed by the Kappa test and the Bland-Altman method,and the number of individuals entering the diagnostic assessment and the overall assessment time were estimated and compared between the two versions.Results A total of 303 individuals were included in this study,of whom 192,94,and 17 had normal cognitive function,MCI,and dementia,respectively.The Cronbach’s α and re-test coefficients of the brief version of MoCA were 0.754 and 0.711(P<0.001),respectively.The brief version showed the AUC,sensitivity,and specificity of 0.889,74.5%,and 93.8% for identifying MCI,and 0.994,100%,and 93.8% for identifying dementia,respectively.When the brief version of MoCA was used to identify 94 patients with MCI in 303 individuals,107 individuals required additional diagnostic assessment,with an overall assessment time of 142.4 h,which represented decreases of 21.3% and 32.7%,respectively,compared with those of the full version.When the brief version of MoCA was used to identify 17 patients with dementia in 303 individuals,35 individuals required additional diagnostic assessment,with an overall assessment time of 70.4 h,a decrease of 29.5% in the time cost compared with the full version.Conclusions The brief version of MoCA can identify cognitively impaired individuals in a community-based middle-aged and elderly population,with diagnostic validity comparable to that of the full version but less time cost and fewer individuals needing additional diagnostic assessment to detect true-positive cases.It could be expanded for use in the community-based primary screening setting.

Cite this article

Ting PANG , Yaping ZHANG , Renwei CHEN , Aiju MA , Xiaoyi YU , Yiwen HUANG , Yichun LU , Xin XU . Validity and Cost-Consequence Analysis of the Brief Version of the Montreal Cognitive Assessment for Discriminating Cognitive Impairment in a Community-Based Middle-Aged and Elderly Population[J]. Acta Academiae Medicinae Sinicae, 2025 , 47(3) : 382 -389 . DOI: 10.3881/j.issn.1000-503X.16242

Cognitive impairment is a syndrome characterized primarily by impaired cognitive function, including mild cognitive impairment (MCI) and dementia[1]. Currently, the number of dementia patients aged 60 years and above in China exceeds 15 million, accounting for one-fourth of the global total. This figure is expected to reach 28.98 million by 2050[2-3]. Existing research has confirmed that early identification and prevention can effectively delay the progression of cognitive decline and reduce the risk of developing dementia[4]. The Montreal Cognitive Assessment (MoCA) is one of the most widely used cognitive assessment scales. Because it covers a comprehensive range of cognitive domains, it is more suitable for MCI screening[5-6]. However, the visuospatial and executive function tests included in this scale are difficult for elderly individuals with visual impairments or limited writing experience to complete, often resulting in a floor effect and requiring a relatively long time for assessment[7]. To address this issue, the National Institute of Neurological Disorders and Stroke-Canadian Stroke Network (NINDS-CSN) proposed a 5-minute neuropsychological screening protocol in 2006. This protocol is a simplified version derived from the four core cognitive domains of MoCA and is also known as the short version of MoCA[8], having already been validated in several countries[9-12]. Previous studies on the short version of MoCA in China have primarily focused on clinical patient populations, mainly applying it to the assessment of vascular dementia and post-stroke cognitive impairment[13-15]. However, this version has not yet been validated among middle-aged and elderly populations in Chinese communities. Therefore, this study aims to evaluate the reliability and validity of the short version of MoCA in identifying cognitive impairment among individuals aged 50 years and older in Hangzhou communities, while also conducting a cost-outcome analysis, to provide scientific evidence for large-scale early screening of cognitive impairment in community settings.

1 Objects and Methods

1.1 Objects

The short version of MoCA consists of 9 items. This study was based on a sample size ten times the total number of test items[16-18], and considering a possible 20·non-response rate, the final estimated sample size should be no less than 108 participants. Data were obtained from the Zhejiang Province Community-based Cognitive Screening and Intervention Project. A convenience sampling method was used to recruit participants from two communities and two community health service centers in Hangzhou, Zhejiang Province between December 2020 and July 2021. Inclusion criteria: age ≥50 years; willingness to participate in all assessments during the study period and provision of informed consent. Exclusion criteria: inability to cooperate due to severe visual, auditory, or communication impairments; self-reported history of major depression or other psychiatric disorders. A total of 353 eligible participants were recruited, with 50 withdrawing midway from the study, and ultimately 303 participants were included in the analysis. This study was approved by the Medical Ethics Committee of the School of Public Health, Zhejiang University (Ethics Review Number: ZGL202101-1).

1.2 Evaluation Tools

1.2.1 Demographic Survey

Demographic information of participants was collected through questionnaires, including age, gender, ethnicity, educational level, and so on.

1.2.2 Cognitive Assessment Scales

Cognitive function assessments were conducted face-to-face with participants who met the recruitment criteria, using the MoCA by trained investigators who had undergone standardization training. These assessments specifically included the following: (1) Full MoCA: composed of 8 items including visuospatial and executive function, memory, and orientation, with a total score of 30 points[19]; (2) Shortened MoCA: composed of four cognitive domains from the full MoCA (immediate recall, verbal fluency, delayed recall, and orientation), with a total score of 12 points[8][5,20] (Table 1). Two raters scored, verified, and entered the results of the full MoCA test, and extracted the corresponding cognitive domain scores for the shortened MoCA[12,14,20-21]. Two to four weeks after completing the initial assessment, the same participants were invited to retake the shortened MoCA test to evaluate its test-retest reliability.
表1 完整版MoCA和简短版MoCA的比较
Project Full Version of MoCA Brief MoCA
Total score 30 points 12 points
Evaluation time 12~15 min 5~8 min
Cognitive Domain and Scoring Method (1) Visuospatial and executive function (5 points); (2) Naming (3 points); (3) Immediate memory (0 points); (4) Attention (6 points); (5) Language function and fluency (3 points); (6) Abstraction (2 points); (7) Delayed recall (5 points); (8) Orientation (6 points) (1) Immediate memory (0 points): Participants are asked to recall five words immediately, no score is given; (2) Verbal fluency (1 point): Name as many animal names as possible within 1 minute, 1 point is given if ≥12 animals are named, otherwise no score; (3) Delayed recall (5 points): Participants are asked to recall the five words after a 5-minute delay, 1 point is given for each correct answer; (4) Orientation (6 points): Six orientation questions about year, month, day, weekday, city, and address are asked, 1 point is given for each correct answer.

注:MoCA:蒙特利尔认知评估量表

The cognitive function and its severity of participants were clinically diagnosed by clinical doctors with professional qualifications and rich experience using the Clinical Dementia Rating (CDR) scale[23]. The assessment included memory, orientation, judgment and problem-solving abilities, social activities, family and hobbies, and personal self-care abilities. A final CDR global score was obtained by integrating these six categories. A score of 0 indicates no cognitive impairment (NCI), 0.5 indicates mild cognitive impairment (MCI), and 1 or higher indicates dementia. During the diagnostic process, the clinical doctors were blinded to the screening results of the participants to ensure the objectivity of the assessment.

1.3 Statistical Analysis

Data analysis was performed using SPSS 26.0 software. Normality of measurement data was tested using the Kolmogorov-Smirnov test. Measurement data conforming to a normal distribution were expressed as mean ± standard deviation, and intergroup comparisons were conducted using one-way analysis of variance (ANOVA) with equal variances assumed or Welch's test with unequal variances assumed. Count data were expressed as frequencies and percentages, and intergroup comparisons were performed using the χ2 test or Fisher's exact probability method. A P value less than 0.05 was considered statistically significant.
In the reliability test, the internal consistency reliability and test-retest reliability of the brief version of MoCA were evaluated using Cronbach's alpha coefficient and Pearson correlation coefficient. Generally, a Cronbach's alpha coefficient > 0.7 indicates good internal consistency, and a correlation coefficient ≥ 0.7 is considered to represent high test-retest reliability[17]. In the validity test, the discriminative ability of the brief version of MoCA was analyzed by plotting the receiver operating characteristic (ROC) curve and calculating the area under the curve (AUC), combined with indicators such as sensitivity, specificity, positive predictive value (PPV), negative predictive value (NPV), and overall accuracy. Typically, an AUC > 0.7 is considered to indicate good accuracy, and > 0.9 indicates high accuracy[24]. Additionally, using the full version of MoCA as the reference tool, the discriminative consistency between the brief and full versions was analyzed using Kappa testing and the Bland-Altman method.
In the sampled population, two versions were simulated as initial screening tools to identify cases in the evaluation scenario, calculating and comparing the number of additional evaluations required (i.e., the number entering diagnostic evaluation) and the total evaluation time. Assuming the average evaluation times per person for CDR, the full version of MoCA, and the brief version of MoCA are 1 h[25], 15 min[7], and 7 min[8,13], respectively, the specific calculation formulas are as follows: (1) Number of false positives = [Number of screening evaluations × (1 - sample prevalence)] × (1 - screening tool specificity); (2) Number entering diagnostic evaluation = Number of true positives + Number of false positives; (3) Total evaluation time = Number of screening evaluations × average evaluation time per person for the screening tool + Number entering diagnostic evaluation × average diagnostic evaluation time per person[26-27].

2 Results

2.1 Basic Situation

A total of 303 participants were included, with an age range of 51 to 94 years and an average age of (71.7±8.1) years. Most participants were female (71.3%), Han ethnicity (99.7%), and had an educational level of junior high school or below (80.1%). Among them, 192 participants (63.4%) were diagnosed with NCI, 94 cases (31.0%) with MCI, and 17 cases (5.6%) with dementia. There were statistically significant differences among the three groups in age (P<0.001), gender (P=0.042), education level (P<0.001), full version MoCA scores (P<0.001), and brief version MoCA scores (P<0.001). Both the MCI group and dementia group scored significantly lower on the full version MoCA, brief version MoCA, and their cognitive domains compared to the NCI group (all P<0.001) (Table 2).
表2 研究对象的人口学特征
Feature NCI(n=192) MCI(n=94) Dementia (n=17) Total number of people (n=303) P
Age (x-±s(years old) 69.6±6.7 74.5±8.6 79.8±10.1 71.7±8.1 <0.001
Female[n(%)] 146( 76.0) 58(61.7) 12( 70.6) 216(71.3) 0.042
Han Chinese[n(%)] 192(100.0) 93(98.9) 17(100.0) 302(99.7) 0.366
Education leveln(%)] <0.001
Primary school or below 46( 24.0) 57(60.6) 14( 82.4) 117(38.6)
Junior high school 96( 50.0) 30(31.9) 2( 11.8) 128(42.2)
High school or above 50( 26.0) 7( 7.4) 1( 5.9) 58(19.1)
Full MoCA scoring (x-±s, points) 23.2±3.6 16.9±4.2 11.7±3.7 20.6±5.2 <0.001
Brief Version of MoCA Scorex-±s, points) 10.1±1.6 6.9±2.0 4.5±1.6 8.8±2.5 <0.001
Orientation 5.7±0.6 5.3±1.0 4.2±1.5 5.56±0.9 <0.001
Fluency of language 0.8±0.4 0.5±0.5 0.1±0.2 0.7±0.5 <0.001
Memory 3.6±1.3 1.1±1.5 0.2±0.4 2.6±1.9 <0.001

注:NCI:无认知障碍;MCI:轻度认知障碍

2.2 Reliability and Discriminant Validity Analysis

The Cronbach's alpha coefficient of the short version of MoCA was 0.754. The scores of the three sub-cognitive domains, including memory, orientation, and language fluency, showed significant positive correlations with the total score, with correlation coefficients of 0.918, 0.592, and 0.580 respectively (all P <0.001). Test-retest reliability was assessed in 24 participants, yielding a correlation coefficient of 0.711 (P <0.001).
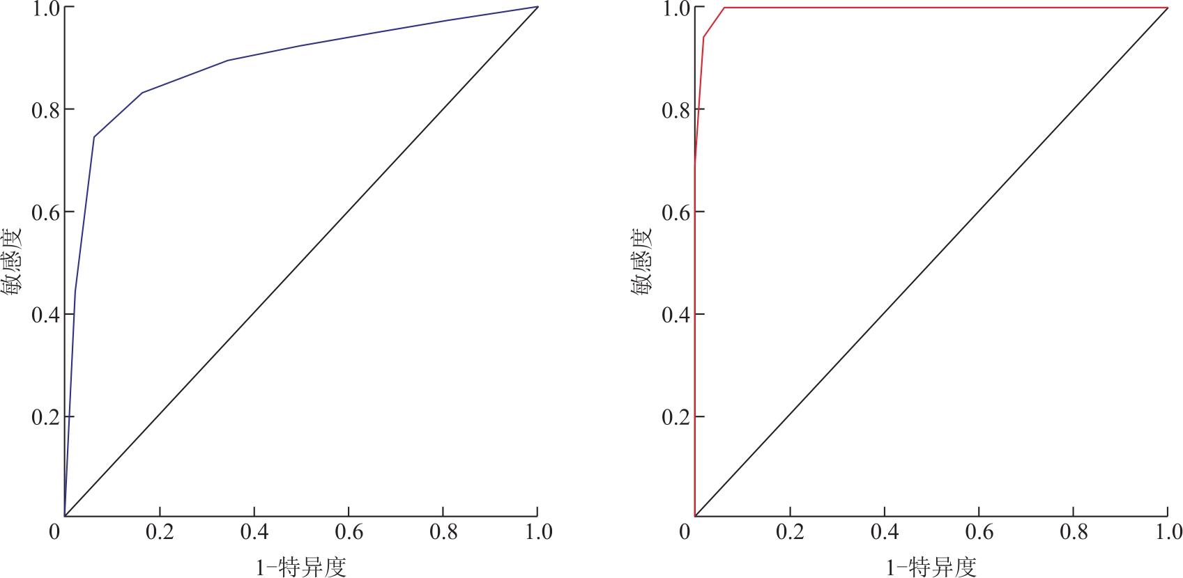
ROC curve analysis showed that the AUC value of the short version of MoCA for distinguishing NCI from MCI was 0.889 (95%CI=0.943~0.934), with a sensitivity of 74.5%, specificity of 93.8%, and accuracy of 87.4%; the AUC value for distinguishing NCI from dementia was 0.994 (95%CI=0.987~1.002), with a sensitivity of 100%, specificity of 93.8%, NPV of 100%, and accuracy of 94.3% (Figure 1, Table 3).
图1 简短版MoCA判别MCI(A)和痴呆(B)的受试者工作特征曲线
表3 简短版MoCA判别MCI和痴呆的诊断参数
Diagnostic Grouping Area under the curve (95%CI) Critical value
(n)
Sensitivity
(%)
Specificity
(%)
Positive predictive value
(%)
Negative Predictive Value
(%)
Accuracy
(%)
Accurate diagnosis of cases
Proportion (n/n)
Correctly identifying healthy individuals
Proportion (n/n)
MCI and NCI 0.889(0.843-0.934) 7/8 74.5 93.8 85.4 88.2 87.4 70/94 180/192
Dementia and NCI 0.994(0.987-1.002) 7/8 100.0 93.8 58.6 100.0 94.3 17/17 180/192

2.3 Consistency Test

The total scores of the short-form MoCA and the full-length MoCA are highly correlated (r = 0.838, P < 0.001). The Kappa values for distinguishing MCI and dementia between the two forms are 0.574 and 0.774, respectively (P < 0.001 for both). Bland-Altman analysis showed that the mean difference in total scores between the two versions was 11.73, with 95% limits of agreement ranging from 5.04 to 18.42 (Figure 2).
图2 简短版MoCA与完整版MoCA测试总分均数差异Bland-Altman图

2.4 Cost Result Analysis

The estimation and comparison were conducted by simulating the following two assessment scenarios: (1) Scenario 1: screening was performed using the full version of MoCA, and individuals who tested positive were diagnosed using CDR; (2) Scenario 2: screening was performed using the brief version of MoCA, and individuals who tested positive were diagnosed using CDR. Both scenarios aimed to identify 94 cases of MCI and 209 non-MCI individuals, as well as 17 cases of dementia and 286 non-dementia individuals among 303 participants.
The cutoff value of the full-length MoCA for identifying MCI was 20/21, with a sensitivity of 81.9% and a specificity of 79.7%. In Scenario 1, 136 cases (94 true positives and 42 false positives) were identified for diagnostic evaluation, with a total evaluation time of 211.8 hours (screening 303 cases × 15 minutes per case + diagnosis 136 cases × 1 hour per case). In Scenario 2, 107 cases (94 true positives and 13 false positives) were identified for diagnostic evaluation, with a total evaluation time of 142.4 hours (screening 303 cases × 7 minutes per case + diagnosis 107 cases × 1 hour per case). Compared with Scenario 1, the number of individuals requiring diagnostic evaluation and the total evaluation time in Scenario 2 were reduced by 29 cases (21.3%) and 69.4 hours (32.7%), respectively.
The cutoff value of the full MoCA for identifying dementia was 15/16, with a sensitivity of 94.1% and specificity of 97.4%. In Scenario 1, 24 cases (17 true positives and 7 false positives) were identified for diagnostic evaluation, with a total evaluation time of 99.8 hours. In Scenario 2, 35 cases (17 true positives and 18 false positives) were identified for diagnostic evaluation, with a total evaluation time of 70.4 hours. Compared with Scenario 1, Scenario 2 involved 11 additional cases for diagnostic evaluation, but the total evaluation time decreased by 29.4 hours (29.5%).

3 Discussion

Existing studies indicate that the abbreviated version of the MoCA can effectively identify cognitive impairment in patients with mild stroke, transient ischemic attack, and cerebral infarction[7,13-14,21-22], and its effectiveness and feasibility in clinical settings have been validated. This study aims to further apply the abbreviated MoCA among middle-aged and elderly individuals in the community, verify its reliability and validity in identifying cognitive impairment within community settings, and conduct a cost-outcome analysis, thereby exploring the potential application value of this brief cognitive screening tool in community-based initial screening scenarios, providing theoretical support and evidence-based references for large-scale early screening of cognitive impairment in communities in China.
The results of this study indicate that the abbreviated version of the MoCA demonstrates good reliability and discriminant validity. According to the reliability test results, the Cronbach's alpha coefficient and test-retest correlation coefficient of the abbreviated MoCA both exceed 0.7, suggesting satisfactory internal consistency and test-retest reliability, confirming the reliability and stability of results provided by this scale as a screening tool, which is consistent with findings from studies conducted in regions such as Singapore and Tanzania[10-11]. This study used CDR as the diagnostic standard to analyze the effectiveness of the abbreviated MoCA in identifying cognitive impairment among middle-aged and elderly individuals in the community. The results show that the AUC value of this tool for identifying MCI is 0.889 (95% CI=0.943~0.934), higher than the validation results in Singapore's elderly population reported by Kan et al.[28] (AUC=0.73, 95% CI=0.68~0.77); furthermore, this tool demonstrates high specificity (93.8%) in identifying MCI, indicating its effectiveness in excluding individuals with low cognitive risk in large-scale community screenings, thereby reducing the overall screening pool and consequently minimizing the time and resource costs associated with additional assessments. The abbreviated MoCA performs even better in identifying individuals with dementia, showing an AUC value of 0.994 (95% CI=0.987~1.002) with both sensitivity and NPV reaching optimal levels (100%), which is close to the findings reported by Kan et al.[28] (AUC=0.92, 95% CI=0.87~0.96). In addition, by analyzing test scores across different cognitive levels, it was found that as cognitive function declines, participants' total test scores and scores in sub-cognitive domains also decrease correspondingly, with significant differences observed between each group, indicating that this tool can effectively distinguish individuals with varying degrees of cognitive impairment.
The full version of MoCA demonstrates significant superiority in identifying early cognitive impairment[5-6]. In this study, it was used as a criterion tool to assess the discriminative consistency between the brief and full versions. The results showed a correlation coefficient of 0.838 between the total scores of the two versions (P·<0.001), indicating a high level of correlation. The findings of Wong et al.[21] also support this conclusion (r·=·0.87, P·<·0.001). The Kappa values for distinguishing MCI and dementia between the two versions were 0.574 and 0.774 respectively (P all <0.001), indicating a high level of consistency in identifying MCI and dementia, which aligns with previous studies[9-12,15,28]. Therefore, the brief version of MoCA demonstrates equivalent effectiveness in identifying cognitive impairment among middle-aged and elderly individuals within communities as the full version, making it a valid alternative screening tool for the full MoCA.
Compared with the full version of MoCA, the brief version of MoCA has the following advantages: (1) the average implementation time of the brief version is about 7 minutes per person, significantly shortening the screening time and largely reducing the time and labor costs of implementing screening at the community level; (2) the brief version is a simplified assessment derived from the full version, suitable for middle-aged and elderly people with lower educational levels, strong resistance to writing, or severe visual impairments; (3) this version can be used for screening via telephone or artificial intelligence technologies, making it an important tool for tracking cognitive status and applicable in all stages of the closed-loop health management of cognitive disorders. Currently, some scholars have developed and validated intelligent assessment tools based on this simplified version. Wong et al.[21] effectively identified cognitive impairments in stroke patients through telephone implementation of the brief MoCA without physical contact; Zhao et al.[29-30] developed the world's first voice recognition-based intelligent cognitive screening tool using the brief MoCA as a paradigm, incorporating artificial intelligence technologies such as speech recognition and natural language processing, with an average overall testing time of (5.9±0.8) minutes. To some extent, these intelligent screening tools can significantly improve population reach and screening efficiency, better meeting post-pandemic screening needs[31].
This study estimated the number of individuals requiring further diagnostic evaluation and the total assessment time needed when different evaluation tools are used as screening tools in real-world settings, thereby conducting a cost outcome analysis[26-27,32-33]. The findings revealed that using the abbreviated MoCA among a sample of 303 individuals identified 9 cases of MCI, with a 21.3% reduction in the number of people needing additional assessment and a 32.7% decrease in total assessment time compared to the full version. When identifying 17 cases of dementia among the same sample, the number of individuals requiring diagnostic evaluation slightly increased due to a rise in false positives, yet the total assessment time was reduced by 29.5% compared to the full version. Therefore, compared to the full MoCA, the abbreviated version shortens the assessment time by nearly one-third, potentially alleviating the workload for community and primary healthcare institutions organizing large-scale cognitive screenings, and also mitigating participants' resistance caused by prolonged assessment durations and cumbersome procedures.
This study has several limitations. First, the study was conducted during the coronavirus disease 2019 (COVID-19) pandemic, and the recruited participants may have been inclined toward individuals actively engaging in self-health management, which could influence the representativeness of the sample and statistical power. Due to the relatively fixed sample, the generalizability of the brief version of the Montreal Cognitive Assessment (MoCA) in other settings or populations remains to be verified. Second, scores on the brief MoCA were extracted from corresponding sub-cognitive domain items of the full MoCA, potentially leading to an overestimation of the agreement between the two versions to some extent. In the test-retest evaluation, participants' performance might have been biased due to prior exposure to the full version. Although this study attempted to minimize the impact of learning effects by implementing a 2–4-week interval, such effects may still exist. Finally, the number of dementia cases included in this study was small and relatively mild in severity. This selection bias might have overestimated the diagnostic performance of the brief MoCA in identifying individuals with dementia. Future studies may consider including more participants with moderate-to-severe dementia to further validate the accuracy of this tool in detecting dementia cases within community settings.
In conclusion, our findings indicate that the abbreviated version of the MoCA is a reliable and valid tool for identifying cognitive impairment among middle-aged and elderly individuals in community settings. Its discriminative performance is comparable to that of the full-length MoCA, while requiring less time to identify true positive cases and fewer additional assessments. Its application in community screening scenarios can effectively identify individuals who are more likely to benefit from further evaluation, thereby enhancing overall screening efficiency.
Conflict of Interest All authors declare no conflict of interest
Author Contribution Statement Pang Ting: Topic selection, research design, data collection and cleaning, data analysis, and manuscript writing; Zhang Yaping, Chen Renwei, Ma Aiju: Data collection and cleaning, manuscript review and editing; Yu Xiaoyi, Huang Yiwen, Lu Yichun: Data collection and cleaning; Xu Xin: Topic selection, research design, and overall responsibility for the quality and integrity of the research.
[1]
中华医学会神经病学分会痴呆与认知障碍学组. 阿尔茨海默病源性轻度认知障碍诊疗中国专家共识2021[J]. 中华神经科杂志, 2022, 55(5):421-440.DOI:10.3760/cma.j.cn113694-20211004-00679.

[2]
卢添欢, 宇传华. 基于全球视角的中国痴呆症疾病负担现状及趋势分析[J]. 中华疾病控制杂志, 2022, 26(6):684-690.DOI:10.16462/j.cnki.zhjbkz.2022.06.012.

[3]
Jia L, Du Y, Chu L, et al. Prevalence,risk factors,and management of dementia and mild cognitive impairment in adults aged 60 years or older in China:a cross-sectional study[J]. Lancet Public Health, 2020, 5(12):e661-e671.DOI:10.1016/S2468-2667(20)30185-7.

[4]
中华医学会神经病学分会痴呆与认知障碍学组, 中国医师协会神经内科医师分会认知障碍疾病专业委员会. 前驱期阿尔茨海默病的简易筛查中国专家共识(2023年版)[J]. 中华神经医学杂志, 2023, 22(5):433-444.DOI:10.3760/cma.j.cn115354-20230330-00191.

[5]
Nasreddine ZS, Phillips NA, Bédirian V, et al. The Montreal cognitive assessment,MoCA:a brief screening tool for mild cognitive impairment[J]. J Am Geriatr Soc, 2005, 53(4):695-699.DOI:10.1111/jgs.15925.

[6]
夏安琪, 李军, 岳玲, 等. 蒙特利尔认知评估量表在中国社区老人中的应用[J]. 上海交通大学学报(医学版), 2021, 41(12):1662-1667,1661.DOI:10.3969/j.issn.1674-8115.2021.12.017.

[7]
Feng Y, Zhang J, Zhou Y, et al. Concurrent validity of the short version of Montreal cognitive assessment(MoCA)for patients with stroke[J]. Sci Rep, 2021, 11(1):7204.DOI:10.1038/s41598-021-86615-2.

[8]
Hachinski V, Iadecola C, Petersen RC, et al. National Institute of Neurological Disorders and Stroke-Canadian Stroke Network vascular cognitive impairment harmonization standards[J]. Stroke, 2006, 37(9):2220-2241.DOI:10.1161/01.STR.0000237236.88823.47.

[9]
Gallagher R, Ouyang ML, Tofler G, et al. Sensitivity and specificity of 5 min cognitive screening tests in patients with acute coronary syndrome[J]. Eur J Cardiovasc Nurs, 2023, 22(2):166-174.DOI:10.1093/eurjcn/zvac026.

[10]
Chew KA, Chong EJY, Chen CLH, et al. Psychometric properties of the National Institute of Neurological Disorders and Stroke and Canadian Stroke Network neuropsychological battery in an asian older adult sample[J]. J Am Med Dir Assoc, 2020, 21(6):879-883.e1.DOI:10.1016/j.jamda.2020.03.022.

[11]
Masika GM, Yu DSF, Li PWC, et al. Psychometrics and diagnostic properties of the Montreal cognitive assessment 5-min protocol in screening for mild cognitive impairment and dementia among older adults in Tanzania:a validation study[J]. Int J Older People Nurs, 2021, 16(1):e12348.DOI:10.1111/opn.12348.

[12]
Dujardin K, Duhem S, Guerouaou N, et al. Validation in French of the montreal cognitive assessment 5-minute,a brief cognitive screening test for phone administration[J]. Rev Neurol(Paris), 2021, 177(8):972-979.DOI:10.1016/j.neurol.2020.09.002.

[13]
Wong A, Xiong YY, Wang D, et al. The NINDS-Canadian stroke network vascular cognitive impairment neuropsychology protocols in Chinese[J]. J Neurol Neurosurg Psychiatry, 2013, 84(5):499-504.DOI:10.1136/jnnp-2012-304041.

[14]
Chen X, Han Y, Zhou J, et al. Diagnostic accuracy of cognitive screening tools under different neuropsychological definitions for poststroke cognitive impairment[J]. Brain Behav, 2020, 10(8):e01671.DOI:10.1002/brb3.1671.

[15]
Kennedy RE, Wadley VG, McClure LA, et al. Performance of the NINDS-CSN 5-minute protocol in a national population-based sample[J]. J Int Neuropsychol Soc, 2014, 20(8):856-867.DOI:10.1017/S1355617714000733.

[16]
Anthoine E, Moret L, Regnault A, et al. Sample size used to validate a scale:a review of publications on newly-developed patient reported outcomes measures[J]. Health Qual Life Outcomes, 2014,12:176.DOI:10.1186/s12955-014-0176-2

[17]
何梦霏, 王梦寰, 高婧, 等. 中文版卒中认知评估量表在非失语脑卒中患者中的信效度和临床应用[J]. 中国康复医学杂志, 2024, 39(12):1797-1803.

[18]
于文华, 李建国, 段文燕, 等. 老年人功能受损评估量表在社区老年人中的信效度检验[J]. 中国全科医学, 2024.DOI:10.12114/j.issn.1007-9572.2024.0311.

[19]
郭佳翔. 蒙特利尔认知评估量表中文版的初步应用[D]. 北京: 北京协和医学院, 2011.

[20]
张嘉祺, 马迪, 阚来弟, 等. 五分钟蒙特利尔认知评估对脑卒中患者认知筛查的研究进展[J]. 中国老年保健医学, 2018, 16(5):25-28.DOI:10.3969/j.issn.1672-2671.2018.05.005.

[21]
Wong A, Nyenhuis D, Black SE, et al. Montreal cognitive assessment 5-minute protocol is a brief,valid,reliable,and feasible cognitive screen for telephone administration[J]. Stroke, 2015, 46(4):1059-1064.DOI:10.1161/STROKEAHA.114.007253.

[22]
彭一念, 殷樱, 冯雅丽. 两种五分钟蒙特利尔认知评估方案评估脑卒中患者的对比研究[J]. 重庆医科大学学报, 2020, 45(10):1497-1500.DOI:10.13406/j.cnki.cyxb.002634.

[23]
Lim WS, Chong MS, Sahadevan S. Utility of the clinical dementia rating in Asian populations[J]. Clin Med Res, 2007, 5(1):61-70.DOI:10.3121/cmr.2007.693.

[24]
Sun Y, Kong Z, Song Y, et al. The validity and reliability of the PHQ-9 on screening of depression in neurology:a cross sectional study[J]. BMC Psychiatry, 2022, 22(1):98.DOI:10.1186/s12888-021-03661-w.

[25]
Miller JM, Pliskin NH. The clinical utility of the Mattis dementia rating scale in assessing cognitive decline in Alzheimer’s disease[J]. Int J Neurosci, 2006, 116(5):613-627.DOI:10.1080/00207450600592164.

[26]
Pang T, Chong EJY, Wong ZX, et al. Validation of the informant quick dementia rating system(QDRS)among older adults in Singapore[J]. J Alzheimers Dis, 2022, 89(4):1323-1330.DOI:10.3233/JAD-220520.

[27]
Pang T, Xia B, Zhao X, et al. Cost-benefit and discriminant validity of a stepwise dementia case-finding approach in an Asian older adult community[J]. Gen Psychiatr, 2023, 36(5):e101049.DOI:10.1136/gpsych-2023-101049.

[28]
Kan CN, Zhang L, Cheng CY, et al. The informant AD8 can discriminate patients with dementia from healthy control participants in an Asian older cohort[J]. J Am Med Dir Assoc, 2019, 20(6):775-779.DOI:10.1016/j.jamda.2018.11.023.

[29]
Zhao X, Hu R, Wen H, et al. A voice recognition-based digital cognitive screener for dementia detection in the community:development and validation study[J]. Front Psychiatry, 2022,13:899729.DOI:10.3389/fpsyt.2022.899729.

[30]
Zhao X, Wen H, Xu G, et al.Validity,feasibility,and effectiveness of a voice-recognition based digital cognitive screener for dementia and mild cognitive impairment in community-dwelling older Chinese adults:a large-scale implementation study[J]. Alzheimers Dement, 2024, 20(4):2384-2396.DOI:10.1002/alz.13668.

[31]
李晗, 李霞. 老年人认知障碍的智能化认知筛查工具研究进展[J]. 中国医学科学院学报, 2024, 46(1):104-110.DOI:10.3881/j.issn.1000-503X.15519.

[32]
Tanaka T, Ruifen JC, Nai YH, et al. Head-to-head comparison of amplified plasmonic exosome Aβ42 platform and single-molecule array immunoassay in a memory clinic cohort[J]. Eur J Neurol, 2021, 28(5):1479-1489.DOI:10.1111/ene.14704.

[33]
Wimo A, Belger M, Bon J, et al. A cost-consequence analysis of different screening procedures in Alzheimer’s disease:results from the MOPEAD project[J]. J Alzheimers Dis, 2021, 83(3):1149-1159.DOI:10.3233/JAD-210303.

Outlines

/