Home Journals Progress in Chemistry
Progress in Chemistry

Abbreviation (ISO4): Prog Chem      Editor in chief: Jincai ZHAO

About  /  Aim & scope  /  Editorial board  /  Indexed  /  Contact  / 
Review

Hypochlorous Acid/Hypochlorite (HOCl/ClO-) Specific Fluorescent Probes: Recognition Mechanism and Biological Applications

  • Zhiqiang Zhang 1 ,
  • Haichao Li 1 ,
  • Ying Long , 2, *
Expand
  • 1 School of Chemistry and Materials Science, Qinghai Minzu University, Xining 810007, China
  • 2 School of Nationality Educators, Qinghai Normal University, Xining 810016, China

Received date: 2024-08-19

  Revised date: 2024-10-27

  Online published: 2025-06-15

Supported by

Key R&D and Transformation Program of Qinghai(2022-QY-210)

Abstract

Hypochlorous acid/hypochlorite (HOCl/ClO-) are important participants in various physiological and pathological processes in the organisms. Both contribute immune defense throughinflammatory responses, but their overproduction and generation at inappropriate sites will result in oxidative damage of cell membranes, DNA, and proteins. Therefore, in view of the important physiopathological significance of HOCl/ClO-, its specific identification and detection have been an important research topic for researchers. Fluorescence and fluorescent probe methods stand out among many traditional detection methods due to their many advantages. In this paper, some representative research works on HOCl/ClO- specific fluorescent probes for organic small molecules are reviewed from the first case to the present day, categorized according to the recognition mechanisms between fluorescent probes and HOCl/ClO-. The recognition mechanisms and biological applications of HOCl/ClO- specific fluorescent probes are highlighted, and the prospects for the chemical and biological development of HOCl/ClO- specific fluorescent probes are discussed.

Contents

1 Introduction

2 Oxidation reaction mechanism

2.1 Oxidation of phenol/aniline analogs

2.2 Oxidation of oximes

2.3 Oxidation of pyrroles

2.4 Oxidation of dibenzoylhydrazines

2.5 Sulphur/selenium ether/ester oxidation

3 Electrophilic chlorination reaction mechanism

4 HOCl-mediated cyclization mechanisms

5 Cleavage reaction mechanism based on C=C/C=N bonds

6 Deprotection mechanism based on dimethyl thiocarbamate

6.1 Based on the BODIPY fluorophore

6.2 Based on the coumarin fluorophore

6.3 Based on the naphthalene fluorophore

6.4 HBT derivatives as fluorophores

6.5 Based on the resorufin fluorophore

6.6 Based on the cyano fragment fluorophore

6.7 Based on the hemicyanine xanthene and cyanine fluorophores

7 Deprotection mechanisms based on oxathiolones/dithiolones

8 Mechanism of desulfurization reactions based on C=S bonds

9 Based on other reaction mechanisms

10 Conclusion and outlook

Cite this article

Zhiqiang Zhang , Haichao Li , Ying Long . Hypochlorous Acid/Hypochlorite (HOCl/ClO-) Specific Fluorescent Probes: Recognition Mechanism and Biological Applications[J]. Progress in Chemistry, 2025 , 37(6) : 918 -933 . DOI: 10.7536/PC240803

1 Introduction

HOCl/ClO- is widely encountered in daily life as the main component of household bleach and disinfectants for swimming pools and drinking water. More importantly, they play a crucial role in various physiological and pathological processes within multiple organisms. Under physiological pH conditions, HOCl and ClO- are always in equilibrium (HOCl, pKa = 7.53). They are endogenously produced in living cells via the reaction between H2O2 and Cl-, catalyzed by myeloperoxidase (MPO, commonly overexpressed in neutrophils and macrophages), and function as one of the most important reactive oxygen species (ROS, generally including •OH, O2-, ONOO-, 1O2, HOCl/ClO-, and H2O2). In various physiological and pathological processes, HOCl/ClO- often plays a dual role. Within a regulatable concentration range, HOCl/ClO- participates in immune defense through inflammatory responses, serving to eliminate invading bacteria and pathogens; however, uncontrolled or inappropriately localized HOCl/ClO- can modify nucleic acids, proteins, and lipids via oxidation and/or chlorination, causing tissue damage and thereby inducing a variety of diseases ranging from inflammatory diseases to cancer, especially immune and neurological disorders such as Alzheimer's disease, Parkinson's disease, stroke, cerebral ischemia, multiple sclerosis, depression, and schizophrenia.
Considering the important role of HOCl/ClO- in living cells and tissues, the detection of HOCl/ClO- both in vitro and in vivo is highly significant. Compared with other traditional detection methods, fluorescent probes have been proven to possess many advantageous features, such as high sensitivity, rapid response, and ease of operation. More importantly, combined with high-resolution confocal microscopy, fluorescent probes enable direct observation of dynamic information of HOCl/ClO- in living cells, tissues, and even whole animals, achieving high temporal and spatial resolution[1,9-11]. Moreover, with the continuous development of fluorescence microscopy and imaging techniques, fluorescent probes featuring ratiometric response, two-photon (or three-photon) excitation, near-infrared emission (near-infrared I: λem > 650 nm; near-infrared II: λem = 650–900 nm), and advanced imaging modalities such as two-photon/super-resolution/photoacoustic imaging have experienced unprecedented development in recent years. In terms of biological applications, many reported fluorescent probes have already achieved a qualitative leap, transitioning from simple in vitro imaging of cells and tissues to real-time in vivo tracking of complex pathological signals at their original locations.
Significant progress has been made in the development of highly specific fluorescent probes for HOCl/ClO- through research conducted by chemists and biologists[1,12-13]. Since the pioneering work on HOCl fluorescent probes reported by the groups of Nagano and Libby[14-15], various fluorescent chemical sensors have been developed over the past few decades to detect HOCl/ClO- in biological systems[1,16-17]. These sensors are primarily constructed using six strategies: (1) oxidation of substituted phenol analogs, oximes, pyrroles, benzoyl hydrazides, and sulfides/esters/selenides; (2) chlorination; (3) HOCl/ClO--mediated cyclization reactions; (4) cleavage of C=N/C=C bonds; (5) deprotection of N,N-dimethylamino dithiocarbamate (DMTC) and cyclic monothioacetals/ketones; and (6) desulfurization of C=S bonds and thiolactones.
This article classifies the recognition mechanisms of probes for HOCl/ClO-, and provides a comprehensive review of representative fluorescent probes for HOCl/ClO- developed in recent decades. Furthermore, it discusses the future chemical development directions and biological application prospects of HOCl/ClO--specific fluorescent probes.

2 Oxidation Reaction Mechanism

2.1 Oxidation of Phenol/Aniline Analogs

In 2008, the Yang group at the University of Hong Kong[18] successfully developed a fluorescent probe named HKOCl-1 for HOCl detection based on the specific oxidation reaction of para-methoxyphenol by hypochlorous acid (HOCl). This probe was applied for HOCl detection in non-biological systems, enzymatic systems (MPO/H2O2/Cl- system), and live macrophages. In 2014, the same research group[19] further developed the HKOCl-2 series as new fluorescent probes for detecting intracellular HOCl in live cells based on HKOCl-1 (Figure 1). Among the HKOCl-2 molecular probes, HKOCl-2b could rapidly and selectively detect endogenous HOCl in both human and mouse macrophages. Subsequently, in 2016[20] and 2020[21], using fluorescein as the core skeleton and introducing two chlorine atoms into the para-methoxyphenol recognition group, they designed a series of probes named HKOCl-3 and HKOCl-4 (Figure 1), which showed improved performance compared to previous probe series. Therefore, the HKOCl series probes can serve as efficient tools for HOCl detection, aiding in elucidating the biological functions of HOCl.
图1 HOCl荧光探针HKOCl系列的分子结构及识别机制[19]

Fig.1 The molecular structures and recognition mechanism of the HOCl fluorescent probes HKOCl series[19]

In 2011, the Yang group[22] introduced the HOCl recognition moiety, a para-methoxyphenol structure, into the central position of a terphenyl conjugated system, constructing a ratiometric fluorescent probe 1 (Figure 2) for HOCl detection. This detection process was carried out in aqueous solution, avoiding interference from other ROS. Similar to para-methoxyphenol, the para-methoxyaniline structure is also easily oxidized by HOCl, leading to elimination of the 1,4-benzoquinone imine and subsequent release of the fluorophore of the probe molecule. In 2013, the Qian group[23] developed a novel dual-emission fluorescent probe 2 (Figure 2) based on HOCl oxidation of para-methoxyaniline for specific and sensitive detection of HOCl; however, the detection process was susceptible to interference from ONOO-. Using a hydroxynaphthyl-benzothiazole fluorescent scaffold with para-methoxyaniline as the recognition site, the Yu group[24] and Guo group[25] developed "OFF-ON" fluorescent probes 3 and 4 (Figure 2) for monitoring HOCl. These probes showed higher selectivity and sensitivity toward HOCl compared to other ROS and were loaded into cell culture media for HOCl imaging, with probe 4 being applied to two-photon imaging of HOCl in HeLa cells. In 2022, the Chen group[26] utilized para-aminophenol as both a HOCl-specific reactive site and a linker unit, integrating methylene blue and 7-hydroxycoumarin into a single molecular structure to construct a HOCl/ClO- probe 5 (Figure 2) for dual-channel imaging of HOCl/ClO- in live cells and zebrafish.
图2 基于氧化对甲氧基苯酚/胺机理的HOCl荧光探针的分子结构

Fig.2 Molecular structures of the HOCl fluorescent probes based on the mechanism of oxidation of p-methoxy phenol/amine

2.2 Oxidation of Oximes

In 2009, the Lin group developed a ratiometric fluorescent probe for ClO- based on an oxidative deprotection strategy (Figure 3). This probe exhibited high selectivity for ClO-. However, its response under alkaline conditions (pH=9) limited its biological applications.
图3 首例基于氧化脱肟反应的ClO-探针分子结构及识别机制[27]

Fig.3 Molecular structure and recognition mechanism of the first hypochlorite probe based on oxidative deoxime reaction[27]

2.2.1 Using BODIPY as a Fluorophore

Karakus group[28], Peng group[29], Wu group[30], and Yin group[31] designed BODIPY-based fluorescent probes 6, 7, 8, and 9 (Figure 4) for hypochlorous acid through oxidation-induced oxime cleavage, respectively, and applied them to hypochlorous acid imaging in cells. However, these probes exhibit a significant drawback, namely small Stokes shifts, which can lead to severe spectral overlap between excitation and emission spectra, resulting in low signal-to-noise ratios and significant fluorescence self-quenching during imaging.
图4 次氯酸氧化脱肟型荧光探针的分子结构

Fig.4 Molecular structures of hypochlorite oxidized deoxime fluorescent probes

2.2.2 Other fluorophores

In 2016, the Zhang group[32] developed a naphthalene diimide-based fluorescent probe 10 (Figure 5) with a large Stokes shift through an oxidative deoximation reaction, for highly sensitive (detection limit of 2.88 nmol/L), selective, and ultrafast (response time less than 3 s) detection of ClO-. The excellent response time and detection limit of this probe establish its potential value in studying intracellular endogenous ClO- in pathological and physiological contexts. In 2020, the Wang group[33] developed a tropinone-based ratiometric fluorescent probe 11 (Figure 5) for ClO- detection. This probe can not only detect ClO- concentration in water samples but also monitor ClO- in living cells. In 2022, the Iyer team[34] designed probe 12 (Figure 5) based on a phenanthridine fluorophore, investigated its practicality for detecting OCl- in test strips and real water samples, and demonstrated the capability of probe 12 to detect ClO- in live Escherichia coli through fluorescence bioimaging experiments. In 2022, the Wang group[35] developed a simple and efficient camphor-based fluorescent probe 13 (Figure 5) based on an oxime recognition receptor and an anthracene fluorophore, for quantitative determination of HOCl content in environmental water samples and for exogenous and endogenous HOCl imaging in cells as well as exogenous HOCl imaging in zebrafish.
图5 基于其他荧光团的次氯酸氧化脱肟型荧光探针的分子结构

Fig.5 Molecular structures of hypochlorite oxidized deoxime fluorescent probes based on other fluorophores

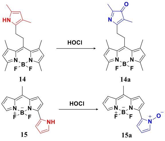
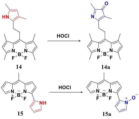
2.3 Pyrrole Oxidation

In 2014 and 2015, the Peng group reported two HOCl probes (14 and 15) based on a pyrrole oxidation mechanism (Figure 6). Both probes enable ultrafast response to HOCl within 1 s and exhibit excellent sensitivity and high selectivity. Probe 14 was first applied to imaging basal HOCl in tumor cells and to visualize time-dependent HOCl generation in MCF-7 cells stimulated by the experimental anticancer drug erismodegib. Probe 15 displays a ratiometric fluorescent response to HOCl and was also successfully applied to cell imaging.
图6 基于吡咯氧化机制的HOCl探针

Fig.6 HOCl probes based on pyrrole oxidation mechanism

2.4 Oxidation of Dibenzoyl Hydrazines

In 1956, the research by Leffler and Bond[38] demonstrated that ClO- can selectively oxidize benzoyl hydrazide to benzoyl diimide, which further decomposes in certain nucleophilic solvents (see Scheme 1).
图式1 ClO- 氧化二苯甲酰肼为二苯甲酰二亚胺并进一步分解过程[38]

Scheme 1 ClO--oxidation of dibenzoyl hydrazide to dibenzoyl diimide and further decomposition process[38]

In 2008, the Ma group designed the first ClO- probe 16 based on this response mechanism using rhodamine B as the fluorophore[39] (Figure 7). This probe exhibited excellent spectroscopic response and high selectivity toward ClO-. However, all performance tests of this probe were conducted under strongly basic conditions at pH=12, which might limit its application under physiological pH conditions. In 2013, Long et al. designed a ratiometric fluorescent probe 17 by connecting coumarin with rhodamine B via dihydrazide[40] (Figure 7), which was applied to detect ClO- in real water samples. In 2014, the Yu group introduced triphenylphosphonium salt and pyridinium salt fragments into rhodamine B via dihydrazide to design probes 18 and 19[41] (Figure 7), both of which were successfully applied for ClO- imaging in HeLa cell mitochondria and in live mice. In 2020, the Liu group and in 2022, the James group designed probes 20 and 21[42][43] respectively based on modified rhodamine dyes (Figure 7), which were successfully applied for hypochlorous acid imaging in mouse models of traumatic brain injury and cerebral ischemia-reperfusion, respectively.
图7 基于氧化二苯甲酰肼机理的次氯酸荧光探针的分子结构

Fig.7 Molecular structures of fluorescent hypochlorite probes based on the mechanism of dibenzoylhydrazine oxidation

2.5 Sulfur/Selenium Ether/Ester Oxidation

2.5.1 Oxidative "Ring-Opening" of Sulfides/Sultones

The Nagano group[14,44], the McCarrol group[45], the Yoon group[46-47], the Feng group[48], and the Ma group[49] as well as the Song group[50], using rhodamine or fluorescein core skeletons as fluorescent platforms, have designed a series of HOCl-specific fluorescent probes based on the "ring-opening" reaction of HOCl oxidizing sulfides/lactones: 22, 23, 24, 25, 26, 27, 28, 29 (Figure 8), which have been applied to HOCl detection in cells and other biological analytical systems.
图8 基于罗丹明/荧光素骨架氧化开环的HOCl荧光探针的分子结构

Fig.8 The molecular structures of HOCl fluorescent probes based on the oxidation of the rhodamine/fluorescein skeleton to open the ring

2.5.2 Oxidation of Sulfides to Sulfoxides

Kim group[51], Wu group[52], Zhao group[53], Kim team[54], and Liu group[55] have successively utilized BODIPY as a fluorophore to design probes 30, 31, 32, 33, and 34 (Figure 9) for the specific detection of HOCl, based on the mechanism of HOCl oxidizing sulfides to sulfoxides. However, the drawback is that these probes exhibit relatively long response times to HOCl, making real-time monitoring of HOCl in biological systems truly unachievable.
图9 基于氧化硫醚为亚砜的HOCl荧光探针的分子结构

Fig.9 Molecular structures of HOCl fluorescent probes based on oxidized thioether to sulfoxide

Wang group[56], Lin group[57], Yu group[58], Zhang group[59], and He group[60] designed a series of probes based on the oxidization of sulfides to sulfoxides by HOCl, using phenothiazine fragments: 35, 36, 37, 38, and 39 (Figure 9). Building upon previous work, this series of probes showed improved performance in various aspects and are applicable to pathological model studies in cells and mice.
In 2023, the Zhou research group designed probe 40 (Figure 9), which, using the overexpressed HOCl in tumors as a key, unlocked "three locks"—near-infrared fluorescence signal, photothermal signal, and photoacoustic signal—enabling multimodal diagnosis and treatment of tumors. In 2024, the Zhang research group utilized a mitochondria-targeted probe (photosensitizer) 41 (Figure 9) to ablate tumor cells. After reacting with HOCl, 41 generated a more efficient photosensitizer (sulfoxide product), together forming a "two-stage rocket propulsion" photosensitization system capable of efficiently inducing apoptosis and ferroptosis in cancer cells. In the same year, the Lu research team proposed a ratiometric near-infrared fluorescent probe 42 (Figure 9), and for the first time visualized, using 42, the real-time fluctuations of HOCl in mitochondria during ferroptosis in hepatocellular carcinoma cells.

2.5.3 Oxidation of Selenoethers to Selenoxides

In 2013, the Han group[64] and the Wu group[65] designed fluorescent probes 43 and 44 (Figure 10), using BODIPY as the fluorophore based on the mechanism of oxidation of diphenyl selenide to diphenyl sulfoxide by HOCl. Both probes can be applied for HOCl imaging in RAW 264.7 cells. In 2022, the Zhang group[66] designed probe 45 based on a cyanine dye (Figure 10), which self-assembled with a mitochondria-targeted copolymer to form an organic nanosensor. The latter could not only successfully detect elevated ClO- levels in mitochondria of macrophages but also monitor anti-inflammatory responses and evaluate the therapeutic efficacy of drugs for rheumatoid arthritis (such as selenocysteine and methotrexate) in a BALB/c mouse model.
图10 基于氧化硒醚为硒亚砜的HOCl荧光探针的分子结构

Fig.10 Molecular structures of HOCl fluorescent probes based on oxidation of selenyl ether to selenyl sulfoxide

3 Electrophilic Chlorination Reaction Mechanism

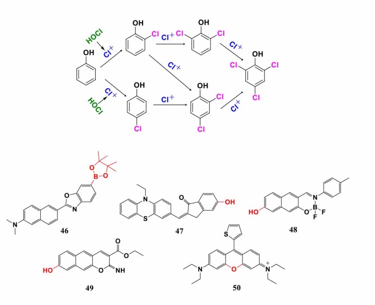
As early as 2006, the research work of Zhu et al.[67] reported that ClO- could selectively and sensitively chlorinate phenols at ortho and/or para positions (Figure 11). Based on this principle, in 2017, the Wei group[68] synthesized a unique arylboronate-based fluorescent probe 46 (Figure 11). Detailed mechanistic studies indicated that 46 selectively and sensitively detects ClO- through an "oxidation-chlorination" reaction with ClO-. In 2021, Zhao et al.[69] designed and synthesized a novel HOCl fluorescent probe 47 (Figure 11) with a simple phenothiazine-indanone conjugated structure based on the unique electrophilic chlorination reaction mechanism triggered by chlorine cation (Cl+), successfully detecting intracellular and extracellular HOCl using fluorescence imaging techniques. In 2022, the Song group[70] developed a new strategy for rationally designing ClO- two-photon ratiometric fluorescent probes 48 (Figure 11) based on ClO--selectively triggered chlorination reaction and subsequent reduction of phenolic pKa, which was successfully applied to imaging ClO- in live cells and lipopolysaccharide (LPS)-induced acute lung injury in mice under two-photon excitation. In 2023, the Song group[71] synthesized a hydroxynaphthyl coumarin probe 49 (Figure 11), which can selectively detect ClO- in a ratiometric mode based on the electrophilic chlorination reaction. Using this fluorescent probe, changes in ClO- concentration were successfully monitored in a mouse model of LPS-induced acute lung injury. In 2024, the Li research team[72] synthesized a rhodamine-thiophene compound 50 (Figure 11) via a one-step reaction. Unexpectedly, the thiophene structure does not cause fluorescence quenching of the xanthene group. After HOCl addition, ClO- attacks the carbon 9 position of 50, and Cl+ chlorinates the xanthene ring, resulting in fluorescence and absorption quenching of 50. Finally, 50 was successfully applied for detecting HOCl in live cells and in mice.
图11 苯酚连续氯化途径[67]及基于氯化酚机制HOCl探针的分子结构

Fig.11 Continuous chlorination pathway of phenol[67] and molecular structures of HOCl probes based on chlorinated phenol mechanism

4 HOCl/ClO--Mediated Cyclization Reaction Mechanism

In 2012, Yuan and Lin et al.::[73] found in their research work that rhodamine thiocarbohydrazide reacts with NaOCl at room temperature to form rhodamine-1,3,4-oxadiazole (Scheme 2).
图式2 罗丹明硫代氨基脲与NaOCl反应生成罗丹明-1,3,4-噁二唑

Scheme 2 Rhodamine thiocarbamide reacts with NaOCl to produce Rhodamine-1,3,4-oxadiazole

Thiourea can be converted to oxadiazole under very mild conditions mediated by NaOCl, suggesting that this reaction holds promise as a new platform for developing HOCl fluorescent probes. Based on probe 51[73] (Figure 12), the research group further introduced coumarin to develop ratiometric HOCl fluorescent probes 52 and 53 based on the FRET fluorescence mechanism[73] (Figure 12), which were successfully applied for HOCl imaging in cells. In 2015, the Zhao group[74] introduced a naphthalene ring into rhodamine and designed probe 54 based on the TBET fluorescence mechanism (Figure 12). In 2016, the same group[75] designed probe 55 based on the FRET mechanism (Figure 12). In 2021, the Ahn group[76] further extended the above response mechanism and designed probe 56 (Figure 12). The group proposed that the nucleophilic reagent thiourea reacts with HOCl via a Cl+ transfer mechanism to form the corresponding chlorosulfinyl intermediate, which is then intramolecularly attacked by an adjacent amine to form a guanidine-like compound. This probe was applied for HOCl imaging in mouse neuroinflammation and maternal immune activation inflammation models. In 2023, the Xu group[77] developed a near-infrared fluorescent HOCl sensing probe 57 based on Changsha dye (Figure 12). This probe has been successfully used for detecting endogenous HOCl produced in RAW 264.7 cells and for in vivo imaging in osteoarthritic mice.
图12 基于HOCl介导的环化反应机制的探针分子结构

Fig.12 Molecular structures of probes based on HOCl-mediated cyclization mechanism

5 Cleavage Reaction Mechanism Based on C=C/C=N Double Bonds

In organic synthesis, the C=C double bond of alkenes can undergo oxidative cleavage reactions with HOCl under mild conditions. This leads to a variety of double bond cleavage products, including relatively unstable chlorinated products, which can be further oxidized into more stable non-chlorinated products, such as aldehydes and carboxylic acids[17]. As shown in Scheme 3, based on the concept that the conjugation of the C=C bond can be disrupted by HOCl, resulting in spectral changes, researchers have developed various probes for the detection of HOCl.
图式3

Scheme 3 HOCl诱导C=C双键裂解[17]

HOCl induced C=C double bond cleavage<sup>[<a href="javascript:;" class="mag_content_a" onclick="piaofuRef(this,'b17')" rid="b17">17</a>]</sup>
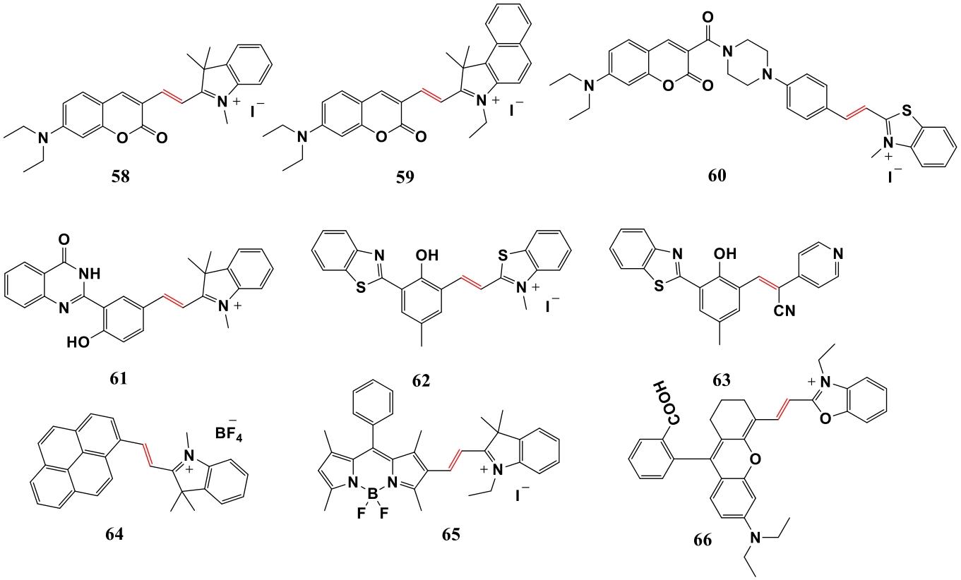
In 2014, the Hu group[78], in 2016, the Bao group[79], and in 2017, the Zhao group[80] designed HOCl probes: 58, 59, and 60 (Figure 13), using coumarin as the fluorophore based on the cleavage of unsaturated C=C double bonds via HOCl oxidation. In 2016, Zhou et al.[81] and in 2020-2021, the Yin group[82-83] designed fluorescent probes 61, 62, and 63 (Figure 13) using fluorophores based on the ESIPT mechanism and also utilizing the cleavage mechanism of HOCl oxidation of unsaturated C=C double bonds. Additionally, in 2015-2016, the Wu group[84] and the Peng group[85] designed HOCl probes 64 and 65 (Figure 13) using pyrene and BODIPY as fluorophores with the same response mechanism. In 2022, the Liu group[86] developed a ratiometric probe 66 (Figure 13) to evaluate liver and kidney damage. 66 enables anatomical diagnosis of liver and kidney injury through fluorescent ratiometric imaging of HOCl in inflamed mouse tissues. The above-mentioned HOCl probes based on the oxidative cleavage mechanism of C=C double bonds exhibit fluorescence changes from long wavelength to short wavelength or even quenching before and after responding to HOCl, which poses limitations in biological applications. Moreover, most of these probes have relatively long response times, making real-time monitoring in living samples less favorable.
图13 基于氧化不饱和C=C双键断裂的HOCl探针分子结构

Fig.13 Molecular structures of HOCl probes based on oxidized unsaturated C=C double bond fracture

In 2011, the Yang group, based on previous experience in organic synthesis, hypothesized that the reaction in which 2,4-dinitrophenylhydrazone is oxidized by an oxidizing agent, leading to C=N bond cleavage and conversion into aldehydes (Scheme 4), could be applied to the design of a ratiometric ClO- probe.
图式4 氧化剂氧化不饱和2,4-二硝基苯腙转化为醛类[87]

Scheme 4 Oxidation of unsaturated 2,4-dinitrophenylhydrazones to aldehydes by oxidizing agents[87]

The research group selected coumarin as the fluorophore and 2,4-dinitrophenylhydrazone as the recognition site, initially designing probe 67 (Figure 14); however, spectral testing revealed that 67 itself exhibited no fluorescence, making it unsuitable for constructing a ratiometric fluorescent probe. Subsequently, they developed probe 68 (Figure 14) by replacing 2,4-dinitrophenylhydrazone with a diaminomaleonitrile fragment. As expected, 68 successfully achieved a ratiometric fluorescent response to HOCl, showing high selectivity toward HOCl and being successfully applied in imaging of MCF-7 cells. In 2019, the Kim research group[88] designed an endoplasmic reticulum-targeted HOCl fluorescent probe 69 (Figure 14) using the same fluorophore and principle. In 2018, the Zhang research group[89] designed probes 70 and 71 (Figure 14), with probe 71 being applied for HOCl imaging in cellular and zebrafish inflammation models as well as a mouse arthritis model. Also in 2018, the Wang research group[90] designed a two-photon HOCl fluorescent probe 72 (Figure 14), which was successfully applied for in vivo HOCl imaging in zebrafish.
图14 基于氧化不饱和C=N双键的断裂的HOCl探针分子结构

Fig.14 Molecular structures of HOCl probes based on oxidized unsaturated C=N double bond fracture

6 Deprotection Mechanism Based on Dimethylthiocarbamate Esters

In 2016, the Tang research group developed the first two-photon fluorescent probe, NDMTC, based on dimethylthiocarbamate (DMTC) protection, through the electrophilic addition reaction of Cl+ with sulfides, and further derived a lysosome-targeted probe named Lyso-NDMTC (Figure 15). This study not only achieved the first highly specific detection of HOCl (no response to ClO-), but also realized the detection of HOCl at the picomolar level using a fluorescent probe for the first time. Moreover, the designed probes could be used to image HOCl in cellular basal levels and in mouse tumor tissues.
图15 HOCl荧光探针NDMTC和Lyso-NDMTC分子结构、识别机制及应用[91]

Fig.15 Molecular structure, recognition mechanism and application of HOCl fluorescent probes NDMTC and Lyso-NDMTC[91]

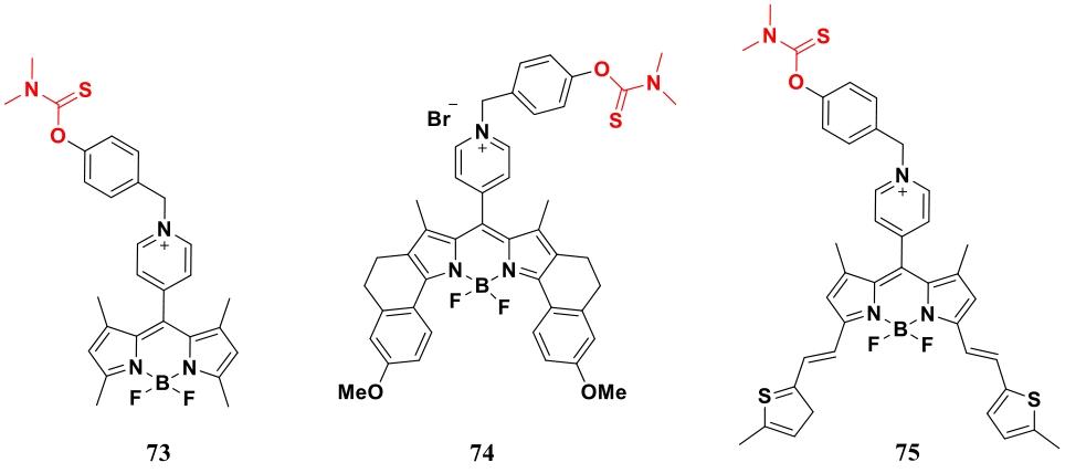
6.1 Using BODIPY as a Fluorophore

Later, at the end of 2017, the Qiao group[92] synthesized a mitochondria-targeted fluorescent probe 73 (Figure 16) based on a BODIPY fluorophore for selective detection of ClO-. The BODIPY phenolic hydroxyl group was protected by DMTC, and the recognition of exogenous and endogenous ClO- was achieved through deprotection of the hydroxyl group. This probe was successfully applied to visualize endogenous ClO- in zebrafish embryos. In 2022, the Zhao group[93] developed a near-infrared fluorescent probe 74 (Figure 16), also based on a BODIPY-derived fluorophore, which exhibited selective and sensitive response to HOCl. Probe 74 could diagnose and visualize drug-induced liver injury by monitoring fluctuations in HOCl concentrations both in vitro and in vivo, and evaluate the detoxification effects of hepatoprotective agents. In 2024, the Zhang group[94] constructed a near-infrared fluorescent probe 75 (Figure 16). Probe 75 was successfully utilized to monitor HOCl concentration fluctuations induced by various stimuli both in vitro and in vivo. Most importantly, with the aid of 75, the overproduction of HOCl in type I, type II diabetic, and diabetic hepatopathy mouse models could be visualized and accurately evaluated.
图16 基于BODIPY荧光团的二甲基硫代氨基甲酸酯HOCl荧光探针分子结构

Fig.16 Molecular structures of the dimethylthiocarbamate HOCl fluorescent probes based on the BODIPY fluorophores

6.2 Coumarin as a Fluorophore

In 2018, the Liu group employed coumarin as a fluorescent scaffold to develop two HOCl fluorescent probes, **76** [95] and **77** [96] (Figure 17), in which the hydroxyl groups were protected by DMTC. Probe **76** could sensitively detect HOCl through multiple fluorescent sensing mechanisms, including PET, ICT, and chlorination reactions, with a detection limit of 17 pM. Probes **76** and **77** exhibited an immediate response to HOCl (<3 s), enabling real-time detection of HOCl. Finally, probes **76** and **77** were successfully applied to monitor fluctuations in endogenous and exogenous HOCl levels in living cells. In the same year, the Lin group [97] developed a two-photon fluorescent probe **78** (Figure 17). This probe, with membrane permeability, was successfully used for one-photon confocal imaging of exogenous HOCl in HeLa cells and endogenous HOCl in RAW 264.7 cells, as well as two-photon imaging of exogenously added NaOCl in fresh rat liver slices. In 2019, Gong et al. [98] rationally designed a novel dual-activatable fluorescent probe **79** (Figure 17) by integrating both an HOCl recognition site and a pH-sensitive group with lysosome-targeting properties into a coumarin fluorophore. It has been successfully applied to high spatial resolution imaging of exogenous or endogenous HOCl in lysosomes. Feng et al. [99] and Liu et al. [100] successively designed probes **80** and **81** (Figure 17). Probe **80**, using a hybrid coumarin-dicyanisoflavanone as the reporting unit and dimethylthiocarbamate as the reactive site, was developed for rapid detection of HOCl. **80** was successfully applied to imaging HOCl in living cells, zebrafish, and live mice. Probe **81**, constructed based on ICT and FRET mechanisms, utilized a coumarin derivative as the energy donor, a naphthalimide fluorophore as the energy acceptor, and a dimethylthiocarbamate group as the HOCl recognition unit. It was effectively used for ratiometric fluorescent imaging of HOCl in HeLa cells. In 2023, the Pu group [101] designed a mitochondria-targeted probe **82** (Figure 17) for detecting HOCl in living cells, which was successfully applied to imaging HOCl in mitochondria of living cells and zebrafish.
图17 基于香豆素荧光团的二甲基硫代氨基甲酸酯HOCl荧光探针分子结构

Fig.17 Molecular structures of the dimethylthiocarbamate HOCl fluorescent probes based on the coumarin fluorophores

6.3 with Naphthalene Ring as Fluorophore

In 2018, the Ho research group designed two HOCl fluorescent probes, 83 and 84, in which the naphthol hydroxyl groups were protected by dimethylthiocarbamate groups. 84 exhibited ultra-high sensitivity toward HOCl and has been applied to fluorescent imaging of HOCl in living cells. In 2022, the Lu research group utilized the specific reaction between HOCl and dimethylthiocarbamate to design and synthesize a new naphthalene derivative fluorescent probe 85, which has been successfully used for the detection of spiked HOCl in tap water, medical wastewater, and fetal bovine serum with good recovery rates. 85 was also successfully developed as a portable test strip for the in-situ semi-quantitative detection of HOCl in tap water. Moreover, 85 enabled the detection and imaging of HOCl within living cells.
图18 基于萘荧光团的二甲基硫代氨基甲酸酯HOCl荧光探针分子结构

Fig.18 Molecular structures of the dimethylthiocarbamate HOCl fluorescent probes based on the naphthalene fluorophores

6.4 Fluorescent Group Based on 2-(2′-Hydroxyphenyl)benzothiazole (HBT) Derivatives

In 2018, the James research group developed a fluorescent probe TCBT-OMe based on the ESIPT mechanism (Figure 19). TCBT-OMe enables rapid detection of HOCl/ClO- under biologically relevant concentrations (LOD=0.16 nM) within 10 seconds. The probe was tested in living cells and successfully demonstrated its ability to detect HOCl/ClO- in HeLa cells.
图19 HOCl/ClO-荧光探针TCBT-OMe的分子结构和识别机理[104]

Fig.19 Molecular structure and recognition mechanism of HOCl/ClO- fluorescent probe TCBT-OMe[104]

In 2019, the Guo group designed a series of probes based on a dimethylthiocarbamate deprotection mechanism. Among them, probe 86 (Figure 20) exhibited turn-on signals at biologically relevant concentrations (LOD1=18 nM) and high-risk pathogenic concentrations (LOD2=0.47 μM), offering higher reliability compared to single signals and avoiding crosstalk caused by the combined use of multiple probes. Probe 86 was employed to monitor the oxidative stress process induced by irinotecan in hepatocellular carcinoma cells, and further utilization of this probe revealed that an evodiamine derivative could stimulate cancer cells to produce HOCl. Subsequently, between 2021 and 2022, the Guo group and the Chen group developed two HOCl fluorescent probes, 87 and 88 (Figure 20), based on an HBT core framework, and successfully applied them for HOCl detection in cells and zebrafish. In 2022, the Liang group and in 2023, the Chen group designed probes 89 and 90 (Figure 20), respectively, for the detection of HOCl in cells, zebrafish, and mice.
图20 基于ESIPT机制荧光团的二甲基硫代氨基甲酸酯HOCl荧光探针分子结构

Fig.20 Molecular structures of the dimethylthiocarbamate HOCl fluorescent probes based on the ESIPT mechanism fluorophores

6.5 Using Thioxanthone as a Fluorophore

In 2019, Wang et al.[110], in 2020, Feng et al.[111], and in 2021, Wu et al.[112] successively synthesized a series of HOCl probes based on resorufin and its analog fluorophores, based on the protection of hydroxyl groups by N,N-dimethylthiocarbamate recognition groups: 91, 92, and 93 (Figure 21). These probes not only exhibit high sensitivity and selectivity towards HOCl in vitro, but can also be applied for the detection of HOCl in environmental water samples, test strips, living cells, zebrafish, and mice.
图21 基于试卤灵荧光团的二甲基硫代氨基甲酸酯HOCl荧光探针分子结构

Fig.21 Molecular structures of the dimethylthiocarbamate HOCl fluorescent probes based on the resorufin fluorophores

6.6 Fluorophores Based on Polycyanide Fragments

In recent years, multicyanide fragments, due to their strong electron-withdrawing ability, have been incorporated into the design of fluorophores and widely applied in the development of fluorescent probes with various ICT response mechanisms. In 2019, the Zhu group[113] developed a simple, highly water-soluble, two-photon long-wavelength fluorescent probe 94 (Figure 22), for the detection of HOCl. Probe 94 exhibits excellent sensing performance, enabling intracellular basal HOCl tracking and the differentiation of cancer cells from normal cells. Moreover, probe 94 was successfully applied to distinguish tumor tissues from normal tissues in mice via two-photon excitation microscopy. In 2022, She et al.[114] designed and synthesized a novel deep-red fluorescent probe 95 (Figure 22) for hypochlorous acid determination. 95 has been successfully used for HOCl imaging in living HeLa cells. Furthermore, a 95-based composite paper sensor was fabricated, showing potential as a portable device for widespread environmental applications. Subsequently, the Wang group[115-116], the Li group[117], and the Lin group[118] successively designed a series of structurally similar HOCl probes based on dicyanide fragments protected by N,N-dimethylthiocarbamate: 96, 97, 98/99, 100 (Figure 22). These probes all demonstrate favorable spectroscopic response performance toward HOCl and have been successfully applied in cellular or in vivo imaging.
图22 基于多氰基片段荧光团的二甲基硫代氨基甲酸酯HOCl荧光探针分子结构

Fig.22 Molecular structures of the dimethylthiocarbamate HOCl fluorescent probes based on the cyano fragment fluorophores

In addition, in 2024, the Lin group successfully developed a fluorescent probe 101, specifically designed for the detection of senescent cells and HOCl in vivo. Probe 101, for the first time, effectively identified HOCl in senescent cells, demonstrating that doxorubicin (DOX) and ROS-induced senescent cells exhibited higher levels of HOCl compared to non-induced normal cells. In vivo imaging of zebrafish showed that D-galactose and ROS-stimulated senescent zebrafish displayed higher HOCl levels than normal zebrafish. When applied to mouse tissues and organs, the fluorescence in senescent mouse organs was stronger than that in non-senescent mouse organs. The study indicated that probe 101 possesses the capability to detect changes in HOCl levels before and after senescence in live mice.

6.7 as Hemicyanine Oxazone and Cyanine Fluorophores

Lin group[120], Liu group[121], He group[122], and Ding group[123] have designed structurally similar fluorescent probes for HOCl, based on a semi-cyanine oxaxanthene hybrid near-infrared fluorescent scaffold: 102, 103, 104, 105 (Figure 23). These probes are all suitable for HOCl imaging in cellular and living pathological models.
图23 基于半花菁氧杂蒽和花菁荧光团的二甲基硫代氨基甲酸酯HOCl荧光探针分子结构

Fig.23 Molecular structures of the dimethylthiocarbamate HOCl fluorescent probes based on the hemicyanine xanthene and cyanine fluorophores

In 2024, the Wang group reported a near-infrared fluorescent probe based on a cyanine fluorophore, designated as 106, for the detection of early inflammatory bowel disease (IBD) and HOCl in feces (Figure 23). In the molecular structure of 106, due to the modification with D-mannosamine, 106 was efficiently taken up by intestinal inflammatory cells after intravenous administration, enabling non-invasive visualization of endogenous HOCl in a lipopolysaccharide-induced IBD mouse model with a high fluorescence contrast ratio of 6.8/1. Moreover, 106 has also been successfully applied to ex vivo fecal optical analysis, showing a 3.4-fold increase in fluorescence intensity in feces excreted from IBD mice.

7 Based on the Deprotection Mechanism of Oxathiolane/Dithiolane

In 2014, the Chang group[125], using 1-(6-dimethylaminonaphthalen-2-yl)ethanone (Acedan) as the fluorophore and oxathiane as the HOCl recognition unit, designed the first two-photon HOCl fluorescent probe 107, which was further extended to probes 108 and 109 (Figure 24). These probes exhibited second-level response, high selectivity, and sensitivity toward HOCl, and were successfully applied for subcellular organelle localization and two-photon imaging of HOCl in a mouse inflammation model. In 2017, the Zhang group[126], using a para-phenylene vinylene backbone as the two-photon fluorophore and two oxathiane moieties as HOCl recognition sites, developed a highly selective and fast-responsive two-photon fluorescent HOCl probe 110 (Figure 24), which was successfully applied for two-photon imaging of HOCl in microglial BV-2 cells. In 2017, the Chen group[127], and in 2018, the Liu group[128], designed probes 111 and 112 (Figure 24), respectively. Both probes displayed ratiometric fluorescent responses to HOCl, and probe 112 was successfully applied for two-photon imaging of HOCl in injured mouse tissue. In 2022, the Dong group[129] synthesized a novel red-emitting fluorescent probe 113 based on diethyl isophorone dicyanide (Figure 24), which was successfully used for imaging exogenous and LPS-induced endogenous ClO- in live cells and zebrafish. In 2024, the Yang group[130] developed a highly stable ratiometric probe 114 capable of long-term continuous monitoring of endogenous HOCl bursts (Figure 24). Probe 114 enabled imaging of HOCl generated in a mouse model of rheumatoid arthritis. In the same year, the Yang group[131] designed another ratiometric fluorescent probe 115 (Figure 24) for super-resolution imaging of lysosomal HOCl. Probe 115 could also detect HOCl fluctuations in mice models of inflammation and ferroptosis and assess the inhibitory effect of ferroptosis on mouse tumors.
图24 基于去氧硫缩酮/二硫缩酮保护的HOCl探针分子结构

Fig.24 Molecular structures of the HOCl probes based on deoxysulfone/disulfone protection

8 Desulfurization Reaction Mechanism Based on C=S Bond

In 2012, based on previous experience in organic synthesis, the Chang group[132] applied the strategy of oxidizing a thiocarbonyl group to a carbonyl group in fluorescent probe design and developed the first HOCl probe 116 (Figure 25) based on the mechanism of HOCl oxidizing C=S to form C=O. However, this probe was significantly interfered by Hg2+ and operated at pH 4.8, making it unsuitable for HOCl detection in biological systems. In 2018, building on the work of the Chang group, the Song group[133] designed a tetrahydroquinoline thiochromone probe 117 (Figure 25), which responded well to HOCl under physiological pH conditions and was successfully applied to HOCl imaging in HeLa and RAW 264.7 cells. However, this probe still could not avoid interference from Hg2+ and Ag+. In 2020, the Yoon group[134] designed probe 118 (Figure 25) by linking thiochromone with carbazole, which completely avoided interference from Hg2+ and Ag+ and was successfully applied to HOCl imaging in HeLa cells. In 2021, the same group[135] developed HOCl probes 119 and 120 (Figure 25), which were successfully applied in photodynamic therapy.
图25 基于HOCl氧化C=S脱硫成C=O机制的HOCl探针的分子结构

Fig.25 Molecular structures of the HOCl probes based on the mechanism of HOCl oxidation C=S desulfurization to C=O

9 Based on Other Reaction Mechanisms

In 2018, the Yi research team[136] reported an NIR-emissive turn-on probe based on a methylene blue derivative, 121 (Figure 26), which can rapidly detect HOCl through a newly discovered deformylation mechanism. 121 was applied to detect HOCl in both in vitro and in vivo mouse arthritis models. Subsequently, in 2019, the same research group[137] continued to utilize the methylene blue fluorophore and the deformylation mechanism to develop a series of novel HOCl probes with combined detection, imaging, and therapeutic functions (represented by molecule 122, Figure 26). These probes can rapidly release amino or carboxyl compounds from the parent drug during HOCl detection and imaging, thereby achieving therapeutic effects. In 2022, the Tang group[138] developed an HOCl-triggered multifunctional fluorescent platform 123 (Figure 26) for simultaneous delivery of neurotransmitters/antidepressants and evaluation of therapeutic efficacy. When encountering excessive HOCl in the brains of depressed mice, 123 releases the corresponding antidepressants along with methylene blue, which exhibits anti-inflammatory properties and bright fluorescence. By alleviating oxidative stress and inflammation while simultaneously increasing neurotransmitter levels, 123 produces better antidepressant effects and fewer side effects compared to clinical antidepressants.
图26 基于HOCl对甲基蓝衍生物去甲酰化机制的HOCl探针的分子结构

Fig.26 Molecular structures of the HOCl probes based on the mechanism of HOCl deformylation of methyl blue derivatives

It is worth noting that the probe 5 mentioned in the section "2.1 Oxidation of phenol/aniline analogs" also involves a demethylation mechanism of methylene blue, in addition to the oxidation mechanism of HOCl on aminophenol.
In 2015, the Peng research group designed a probe named AC-ClO based on the oxidative dehydrogenation mechanism [139] and successfully applied it to exogenous and endogenous cellular imaging of ClO⁻.
图27 探针AC-ClO识别次氯酸的机理[139]

Fig.27 Recognition mechanism of probe AC-ClO for HOCl[139]

In 2016, Pang and Zhou et al.[140] utilized hydroxycoumarin as a fluorescent probe. Under the oxidative action of hypochlorous acid, coumarin undergoes intermolecular dehydration coupling (Figure 28), extending the conjugated structure and leading to a change in the fluorescent signal.
图28 羟基香豆素在次氯酸氧化作用下发生分子间脱水偶联反应[140]

Fig.28 The intermolecular dehydration coupling reaction of hydroxy-coumarin occurred under hypochlorite oxidation[140]

In 2015, the Yoon research group designed a ClO- fluorescent probe named PIS based on imidazoline-2-thione, which was successfully applied for two-photon hypochlorous acid imaging in cells and hippocampal slices of rats.
图29 ClO-荧光探针PIS的分子结构及响应机制[141]

Fig.29 Molecular structure and response mechanism of ClO- fluorescent probe PIS[141]

10 Conclusion and Prospect

HOCl/ClO-, as an important disinfectant and oxidizing agent, not only has extensive practical applications in environmental monitoring, food safety, medicine, and other fields, but also plays significant roles in various physiological and pathological processes within organisms. Organic small-molecule fluorescent probes, serving as key tools for the detection and monitoring of HOCl/ClO-, have attracted increasing attention in recent years. Based on recognition mechanisms, this article reviews the current research progress on organic small-molecule fluorescent probes for HOCl/ClO-, with an emphasis on summarizing and evaluating their biological application capabilities. This review aims to provide researchers with insights for developing novel HOCl/ClO- probes with improved performance.
For the future development trends of organic small-molecule HOCl/ClO- specific fluorescent probes, the focus may mainly lie in the following aspects: (1) In terms of probe molecular structure design, it is necessary to further explore new fluorescent groups and recognition groups, and optimize the sensitivity and selectivity of probes to address HOCl/ClO- concentration variations and detection requirements in different environments. (2) Multi-functionality and application expansion: an increasing number of organic small-molecule fluorescent probes have already achieved simultaneous discrimination and detection of multiple analytes in vivo, and this trend will continue to expand in the future. Fluorescent probes for HOCl/ClO- detection will possess multiple analytical functions, and their applications will further extend into the pharmaceutical field. (3) With the increasing popularity of optical microscopes, advancements in microscopic imaging technologies, and continuous updates in optical instruments, fluorescent probes will be able to achieve visualization and differentiation of cellular and organismal fine structures (super-resolution imaging) in future biological imaging applications, thereby enabling real-time visualization of HOCl/ClO-. (4) Emerging imaging technologies, such as photoacoustic imaging, will also see significant application and development in HOCl/ClO- probes.
In conclusion, the research and application prospects of organic small-molecule fluorescent probes for HOCl/ClO- are broad. With technological advancements and increasing demand, their potential in environmental monitoring and life sciences will be further explored and utilized.
[1]
Wu D, Chen L Y, Xu Q L, Chen X Q, Yoon J. Acc. Chem. Res., 2019, 52(8): 2158.

[2]
Klebanoff S J. J.Leukoc. Biol., 2005, 77(5): 598.

[3]
Kubera M, Grygier B, Wrona D, Rogoz Z, Roman A, Basta-Kaim A, Budziszewska B, Leskiewicz M, Jantas D, Nowak W, Maes M, Lason W.J. Neuroimmunol., 2011, 240-241: 34.

[4]
Maes M, Fišar Z, Medina M, Scapagnini G, Nowak G, Berk M. Inflammopharmacology, 2012, 20 (3): 127.

[5]
Fang F C. Nat. Rev. Microbiol., 2004, 2(10): 820.

[6]
Andersen J K. Nat. Med., 2004, 10(S7): S18.

[7]
Hu J J, Ye S, Yang D. Isr. J. Chem., 2017, 57 (3-4): 251.

[8]
Pattison D, Davies M. Curr. Med. Chem., 2006, 13(27): 3271.

[9]
Sedgwick A C, Wu L, Han H H, Bull S D, He X P, James T D, Sessler J L, Tang B Z, Tian H, Yoon J. Chem. Soc. Rev., 2018, 47 (23): 884.

[10]
Wu D, Sedgwick A C, Gunnlaugsson T, Akkaya E U, Yoon J, James T D. Chem. Soc. Rev., 2017, 46(23): 7105.

[11]
Wu L, Sedgwick A C, Sun X, Bull S D, He X P, James T D. Acc. Chem. Res., 2019, 52 (9): 258.

[12]
Zhang Y R, Liu Y, Feng X, Zhao B X. Sens. Actuat. B Chem., 2017, 240: 18.

[13]
Kwon N, Chen Y H, Chen X Q, Kim M H, Yoon J. Dyes Pigm., 2022, 200: 110132.

[14]
Kenmoku S, Urano Y, Kojima H, Nagano T. J. Am. Chem. Soc., 2007, 129(23): 7313.

[15]
Shepherd J, Hilderbrand S A, Waterman P, Heinecke J W, Weissleder R, Libby P. Chem. Biol., 2007, 14(11): 1221.

[16]
Dong S Q, Zhang L J, Lin Y J, Ding C F, Lu C. Anal., 2020, 145(15): 5068.

[17]
Yue Y K, Huo F J, Yin C X, Escobedo J O, Strongin R M. Anal., 2016, 141(6): 1859.

[18]
Sun Z N, Liu F Q, Chen Y, Tam P K H, Yang D. Org. Lett., 2008, 10(11): 2171.

[19]
Hu J J, Wong N K, Gu Q S, Bai X Y, Ye S, Yang D. Org. Lett., 2014, 16(13): 3544.

[20]
Hu J J, Wong N K, Lu M Y, Chen X M, Ye S, Zhao A Q, Gao P, Yi-Tsun Kao R, Shen J G, Yang D. Chem. Sci., 2016, 7(3): 2094.

[21]
Bai X Y, Yang B W, Chen H S, Shen J G, Yang D. Org. Chem. Front., 2020, 7(8): 993.

[22]
Zhang W J, Guo C, Liu L H, Qin J G, Yang C L. Org. Biomol. Chem., 2011, 9(15): 5560.

[23]
Guo T, Cui L, Shen J N, Wang R, Zhu W P, Xu Y F, Qian X H. Chem. Commun., 2013, 49(18): 1862.

[24]
Liao Y X, Wang M D, Li K, Yang Z X, Hou J T, Wu M Y, Liu Y H, Yu X Q. RSC Adv., 2015, 5(24): 18275.

[25]
Zhou X H, Jiang Y R, Zhao X J, Guo D. Talanta, 2016, 160: 470.

[26]
Hou P, Li G F, Li Z Q, Yue L L, Liu L K, Sun J W, Wang H J, Chen W Q, Song X Z, Chen S. Sens. Actuat. B Chem., 2022, 359: 131562.

[27]
Lin W Y, Long L L, Chen B B, Tan W. Chem., 2009, 15(10): 2305.

[28]
Emrullahoğlu M, Üçüncü M, Karakuş E. Chem. Commun., 2013, 49(71): 7836.

[29]
Cheng G H, Fan J L, Sun W, Sui K, Jin X, Wang J Y, Peng X J. Anal., 2013, 138(20): 6091.

[30]
Wu G F, Zeng F, Wu S Z. Anal. Methods, 2013, 5(20): 5589.

[31]
Kang J, Huo F J, Yue Y K, Wen Y, Chao J B, Zhang Y B, Yin C X. Dyes Pigm., 2017, 136: 852.

[32]
Guo B P, Nie H L, Yang W, Tian Y, Jing J, Zhang X L. Sens. Actuat. B Chem., 2016, 236: 459.

[33]
Jiang Q, Wang Z, Li M, Song J, Yang Y, Xu X, Xu H, Wang S. Analyst, 2020, 145(3): 10.

[34]
Enbanathan S, Manickam S, Munusamy S, Jothi D, Manoj Kumar S, Kulathu Iyer S. New J. Chem., 2022, 46(14): 6570.

[35]
Wang Z L, Zhang Y, Liang Y Y, Li M X, Meng Z Y, Gong S, Yang Y Q, Xu X, Wang S F. Anal., 2022, 147(10): 2080.

[36]
Zhu H, Fan J L, Wang J Y, Mu H Y, Peng X J. J. Am. Chem. Soc., 2014, 136(37): 12820.

[37]
Fan J, Mu H, Zhu H, Du J, Jiang N, Wang J, Peng X. Ind. Eng. Chem. Res., 2015, 54 (36): 884.

[38]
Leffler J E, Bond W B. J. Am. Chem. Soc., 1956, 78(2): 335.

[39]
Chen X Q, Wang X C, Wang S J, Shi W, Wang K, Ma H M. Chem., 2008, 14(15): 4719.

[40]
Long L L, Zhang D D, Li X F, Zhang J F, Zhang C, Zhou L P. Anal. Chim. Acta, 2013, 775: 100.

[41]
Hou J T, Wu M Y, Li K, Yang J, Yu K K, Xie Y M, Yu X Q. Chem. Commun., 2014, 50(63): 8640.

[42]
Song X J, Li C C, Wang Y, Wang D H, Liu Z H. Sens. Actuat. B Chem., 2020, 311: 127895.

[43]
Hu W, Qiang T T, Li C C, Ren L F, Cheng F, Wang B S, Li M L, Song X J, James T D. Chem. Sci., 2022, 13(37): 11140.

[44]
Koide Y, Urano Y, Hanaoka K, Terai T, Nagano T. J. Am. Chem. Soc., 2011, 133(15): 5680.

[45]
Best Q A, Sattenapally N, Dyer D J, Scott C N, McCarroll M E. J. Am. Chem. Soc., 2013, 135(36): 13365.

[46]
Xu Q L, Lee K A, Lee S Y, Lee K M, Lee W J, Yoon J. J. Am. Chem. Soc., 2013, 135(26): 9944.

[47]
Chen X Q, Lee K A, Ren X T, Ryu J C, Kim G, Ryu J H, Lee W J, Yoon J. Nat. Protoc., 2016, 11(7): 1219.

[48]
Ding S S, Zhang Q, Xue S H, Feng G Q. Anal., 2015, 140(13): 4687.

[49]
Zhou J, Li L H, Shi W, Gao X H, Li X H, Ma H M. Chem. Sci., 2015, 6(8): 4884.

[50]
Liang Q, Chen W Q, Ren X J, Song X Z. Tetrahedron, 2022, 127: 133020.

[51]
Kim T I, Park S, Choi Y, Kim Y. Chem., 2011, 6(6): 1358.

[52]
Liu S R, Vedamalai M, Wu S P. Anal. Chim. Acta, 2013, 800: 71.

[53]
Wang X Z, Zhou L, Qiang F, Wang F Y, Wang R, Zhao C C. Anal. Chim. Acta, 2016, 911: 114.

[54]
Duan C, Won M, Verwilst P, Xu J, Kim H S, Zeng L, Kim J S. Anal. Chem., 2019, 91(6): 417.

[55]
Ye Z, Ji M X, Wu K F, Yang J, Liu A A, Sun W, Ding D, Liu D B. Angew. Chem. Int. Ed., 2022, 61(29): e202204518.

[56]
Xiao H D, Xin K, Dou H F, Yin G, Quan Y W, Wang R Y. Chem. Commun., 2015, 51(8): 1442.

[57]
Deng B B, Ren M G, Kong X Q, Zhou K, Lin W Y. Sens. Actuat. B Chem., 2018, 255: 963.

[58]
Hou J T, Wang B Y, Zou Y X, Fan P W, Chang X P, Cao X H, Wang S, Yu F B. ACS Sens., 2020, 5(7): 1949.

[59]
Liu Y J, Li Y B, Yu L, Yang Z Y, Ding J, Wang K N, Zhang Y R. Anal. Chem., 2022, 94(2): 811.

[60]
Li S J, Wang P P, Liu Y, Yang K, Zhong R B, Cheng D, He L W. Anal. Chim. Acta, 2023, 1239: 340731.

[61]
Zhang Y Z, Ni Y Y, Zhao X, Wang T, Zhu X J, Sun X S, Wang S, Li D D, Wang J J, Zhou H P. Anal. Chem., 2023, 95(42): 15636.

[62]
Yang X C, Zhang X X, Yang Z Y, Cheng L L, Liu X, Cao S X, Yue H Y, Cao Y, Wang K N, Zhang Y R. ACS Appl. Mater. Interfaces, 2024, 16(8): 9816.

[63]
Zhao B, Xu X, Wen X, Liu Q, Dong C, Yang Q, Fan C, Yoon J, Lu Z. Anal. Chem., 2024, 96(15): 599.

[64]
Wang B S, Li P, Yu F B, Song P, Sun X F, Yang S Q, Lou Z R, Han K L. Chem. Commun., 2013, 49(10): 1014.

[65]
Liu S R, Wu S P. Org. Lett., 2013, 15(4): 878.

[66]
Zhang S Y, Ning L L, Song Z H, Zhao X Y, Guan F, Yang X F, Zhang J J. Anal. Chem., 2022, 94(15): 5805.

[67]
Ge F, Zhu L, Chen H. J. Hazard. Mater., 2006, 133(1-3): 99.

[68]
Shi L L, Li X, Zhou M, Muhammad F, Ding Y B, Wei H. Anal., 2017, 142(12): 2104.

[69]
Zhao Y, Li Y F, Li R X, Wang Y Q, Fan X X. Chinese J. Org. Chem., 2021, 41(5): 1974

(赵云, 李艳芳, 李蓉晓, 王雅卿, 樊晓霞. 有机化学, 2021, 41(5): 1974).

[70]
Han S H, Ding B H, Xiong H Q, Zuo B J, Ye Y, Li H P, Song X Z. Anal., 2022, 147(23): 5300.

[71]
Ding B H, Han S H, Xiong H B, Wang B H, Zuo B J, Song X Z. Chinese J. Org. Chem., 20, 43(8): 2878

(丁炳辉, 韩少辉, 熊海青, 王本花, 左伯军, 宋相志. 有机化学, 20, 43(8): 2878).

[72]
Liu C, Jiang Y, Xiang J, Xu Y, Lu Q, Chen X, Liu J, Sun Y, Yu M, Liu D, Yang Y, Wang P, Li R. Dyes Pigm., 2024, 227: 11218.

[73]
Yuan L, Lin W Y, Xie Y N, Chen B, Song J Z. Chem.-Eur. J, 2012, 18(9): 2700.

[74]
Zhang Y R, Meng N, Miao J Y, Zhao B X. Chem.-Eur. J., 2015, 21(52): 19058.

[75]
Zhang Y R, Zhao Z M, Miao J Y, Zhao B X. Sens. Actuat. B Chem., 2016, 229: 408.

[76]
Kim K H. Kim S J, Singha S, Yang Y J, Park S K, Ahn K H. ACS Sens., 2021, 6(9): 325.

[77]
Jiang J, Wang S C, Wang S, Yang Y S, Zhang X L, Wang W J, Zhu X, Fang M X, Xu Y Z. Anal. Methods, 2023, 15(26): 3188.

[78]
Zha J Y, Fu B Q, Qin C Q, Zeng L T, Hu X C. RSC Adv., 2014, 4(81): 43110.

[79]
Xu J C, Yuan H Q, Qin C Q, Zeng L T, Bao G M. RSC Adv., 2016, 6(109): 107525.

[80]
Wu W L, Zhao X, Xi L L, Huang M F, Zeng W H, Miao J Y, Zhao B X. Anal. Chim. Acta, 2017, 950: 178.

[81]
Zhou L Y, Lu D Q, Wang Q Q, Hu S Q, Wang H F, Sun H Y, Zhang X B. Spectrochim . Acta Part A Mol. Biomol. Spectrosc., 2016, 166: 129.

[82]
Huang Y F, Zhang Y B, Huo F J, Liu Y M, Yin C X. Dyes Pigm., 2020, 179: 108387.

[83]
Ren H X, Huo F J, Yin C X. New J. Chem., 2021, 45(10): 4724.

[84]
Wu Y L, Wang J, Zeng F, Huang S L, Huang J, Xie H T, Yu C M, Wu S Z. ACS Appl. Mater. Interfaces, 2016, 8(2): 1511.

[85]
Wang X, Song F L, Peng X J. Dyes Pigm., 2016, 125: 89.

[86]
Shangguan L N, Wang J, Qian X L, Wu Y Q, Liu Y. Anal. Chem., 2022, 94(34): 11881.

[87]
Yuan L, Lin W Y, Song J Z, Yang Y T. Chem. Commun., 2011, 47(47): 12691.

[88]
Hou J T, Kim H S, Duan C, Ji M S, Wang S, Zeng L, Ren W X, Kim J S. Chem Commun, 2019, 55(17): 25.

[89]
Feng H, Zhang Z, Meng Q, Jia H, Wang Y, Zhang R. Adv. Sci., 2018, 5(8): 1800397.

[90]
Feng Y, Li S Q, Li D X, Wang Q, Ning P, Chen M, Tian X H, Wang X. Sens. Actuat. B Chem., 2018, 254: 282.

[91]
Zhu B C, Li P, Shu W, Wang X, Liu C Y, Wang Y, Wang Z K, Wang Y W, Tang B. Anal. Chem., 2016, 88(24): 12532.

[92]
Ji D D, Li G, Zhang S M, Zhu M Y, Li C, Qiao R Z. Sens. Actuat. B Chem., 2018, 259: 816.

[93]
Fan G W, Wang N N, Zhang J, Ji X, Qin S C, Tao Y F, Zhao W L. Dyes Pigm., 2022, 199: 110073.

[94]
Fan G W, Zhang B, Wang J M, Wang N N, Qin S C, Zhao W L, Zhang J. Talanta, 2024, 268: 125298.

[95]
Zhu B, Wu L, Zhang M, Wang Y, Zhao Z, Wang Z, Duan Q, Jia P, Liu C. Sens. Actuators B: Chem., 2018, 263: 10.

[96]
Zhu B C, Wu L, Zhu H C, Wang Z K, Duan Q X, Fang Z T, Jia P, Li Z L, Liu C Y. Sens. Actuat. B Chem., 2018, 269: 1.

[97]
Zhou K, Ren M G, Wang L, Li Z H, Lin W Y. Anal. Methods, 2018, 10(22): 2546.

[98]
Shi L, Yang S, Hong H J, Li Y, Yu H J, Shao G, Zhang K, Gong S Z. Anal. Chim. Acta, 2020, 1094: 1.

[99]
Zhang H Y, Yin X Y, Hong J X, Deng Y Z, Feng G Q. Talanta, 2021, 223: 121768.

[100]
Li L K, Hou Y M, Liu X C, Tian M J, Ma Q J, Zhu N N, Liu S Z. New J. Chem., 2022, 46(14): 6596.

[101]
Huo Y D, Ji Y, Chen D G, Pu S Z. Dyes Pigm., 2023, 209: 110940.

[102]
Jiang Y, Zheng G S, Duan Q Y, Yang L, Zhang J, Zhang H T, He J, Sun H Y, Ho D. Chem. Commun., 2018, 54(57): 7967.

[103]
Hu W D, Zhao M, Gu K Y, Xie L W, Liu M, Lu D Q. RSC Adv., 2021, 12(2): 777.

[104]
Wu L L, Yang Q Y, Liu L Y, Sedgwick A C, Cresswell A J, Bull S D, Huang C S, James T D. Chem. Commun., 2018, 54(61): 8522.

[105]
Shi D L, Chen S Q, Dong B, Zhang Y H, Sheng C Q, James T D, Guo Y. Chem. Sci., 2019, 10(13): 3715.

[106]
Tang H Y, Qiang X Y, Gao Y, Teng H, Chen X, Zhang Y H, Tian J Y, Qin B, Guo Y. Dyes Pigm., 2021, 188: 109219.

[107]
Kafuti Y S, Zeng S, Qian M, Zhang C, Liu X S, Wang J Y, Chen Q X. Dyes Pigm., 2022, 199: 110067.

[108]
Chen M, Chen X Y, Wang Y, Fan X H, Chen T S, Liang Z H. Sens. Actuat. B Chem., 2022, 371: 132545.

[109]
Chen M, Lin S L, Chen X Y, Wang Y, Zhang J, Chen T S. Sens. Actuat. B Chem., 2023, 386: 133749.

[110]
Wang J, Men Y, Niu L, Luo Y, Zhang J, Zhao W, Wang J. Chem.-Asian J., 2019, 14(21): 389.

[111]
Deng Y Z, Feng S M, Xia Q F, Gong S Y, Feng G Q. Talanta, 2020, 215: 120901.

[112]
Wang X B, Zhang D L, Li H J, Lu X, Liu Q, Wu Y C. J. Mat. Chem. B, 2021, 9(42): 879.

[113]
Liu C Y, Jia P, Wu L, Li Z L, Zhu H C, Wang Z K, Deng S, Shu W, Zhang X, Yu Y M, Zhu B C. Sens. Actuat. B Chem., 2019, 297: 126731.

[114]
Fang X L, Jin X L, Ma X H, Guan L, Chen W X, She M Y. Anal. Bioanal. Chem., 2022, 414(19): 5887.

[115]
Zhang Y Y, Ma Y F, Wang Z, Zhang X Y, Chen X, Hou S C, Wang H M. Anal., 2020, 145(3): 939.

[116]
Zhang Y Y, Chen X Z, Liu X Y, Zhang X Y, Gao G, Hou S C, Wang H M. Anal. Chim. Acta, 2019, 1078: 135.

[117]
He M, Ye M, Wang Z, Liu P, Li H, Lu C, Wang Y, Liang T, Li H, Li C. Sens. Actuators B: Chem., 2021, 343: 13006.

[118]
Huang H W, Yue L Z, Chen Z H, Li H, Lin W Y. Anal. Chim. Acta, 2022, 1232: 340480.

[119]
Li Z H, Huang P, Wu G L, Lin W Y. Anal. Chem., 2024, 96(29): 12189.

[120]
Gao W J, Ma Y Y, Liu Y Y, Ma S H, Lin W Y. Sens. Actuat. B Chem., 2021, 327: 128884.

[121]
Qian X L, Yu H, Zhu W C, Yao X F, Liu W W, Yang S K, Zhou F Y, Liu Y. Dyes Pigm., 2021, 188: 109218.

[122]
Fang H B, Chen Y C, Geng S S, Yao S K, Guo Z J, He W J. Anal. Chem., 2022, 94(51): 17904.

[123]
Zhang F, Yan H Z, Liu C M, Yang Y Q, Zhang Q, Li Z F, Zhang P, Ding C F. Sens. Actuat. B Chem., 2024, 415: 135995.

[124]
Yang K R, Tian Y, Zheng B B, Wu F P, Hu T, Yang Y X, Pan J Y, Xiong H, Wang S. Anal. Chem., 2024, 96(29): 12065.

[125]
Yuan L, Wang L, Agrawalla B K, Park S J, Zhu H, Sivaraman B, Peng J J, Xu Q H, Chang Y T. J. Am. Chem. Soc., 2015, 137(18): 5930.

[126]
Cao J J, Jiang D M, Ren X, Li T, Gong X T, Yang Y R, Xu Z G, Sun C L, Shi Z F, Zhang S X, Zhang H L. Dyes Pigm., 2017, 146: 279.

[127]
Chang C C, Wang F, Qiang J, Zhang Z J, Chen Y H, Zhang W, Wang Y, Chen X Q. Sens. Actuat. B Chem., 2017, 243: 22.

[128]
Mao Z Q, Ye M T, Hu W, Ye X X, Wang Y Y, Zhang H J, Li C Y, Liu Z H. Chem. Sci., 2018, 9(28): 6035.

[129]
Kong X Y, Shuang S M, Zhang Y T, Wang Y, Dong C. Talanta, 2022, 242: 123293.

[130]
Chen W Q, Xu W J, Xing J Y, Liu Q X, Wang J S, Meng M J, Sheng J R, Xiao Q, Zeng L T, Yang L. Anal. Chem., 2024, 96(10): 4129.

[131]
Zheng H Y, Peng W K, Liu M M, Zhang S S, Song X Z, Yang L. Anal. Chem., 2024, 96(28): 11581.

[132]
Moon J O, Lee J W, Choi M G, Ahn S, Chang S K. Tetrahedron Lett., 2012, 53(48): 6594.

[133]
Fang Q, Tian H H, Yang L, Chen S, Liu X J, Song X Z. Sens. Actuat. B Chem., 2018, 260: 146.

[134]
Nguyen V N, Heo S, Kim S, Swamy K M K, Ha J, Park S, Yoon J. Sens. Actuat. B Chem., 2020, 317: 128213.

[135]
Pham T C, Heo S, Nguyen V N, Lee M W, Yoon J, Lee S Y. ACS Appl. Mater. Interfaces, 2021, 13(12): 13949.

[136]
Wei P, Yuan W, Xue F F, Zhou W, Li R H, Zhang D T, Yi T. Chem. Sci., 2018, 9(2): 495.

[137]
Wei P, Liu L, Wen Y, Zhao G, Xue F, Yuan W, Li R, Zhong Y, Zhang M, Yi T. Angew. Chem. Int. Ed., 2019, 131(14): 4595.

[138]
Wang X, Wang R Y, Ding Q, Wu W, Che F D, Li P, Zhang W, Zhang W, Liu Z Z, Tang B. Anal. Chem., 2022, 94(27): 9811.

[139]
Fan J L, Mu H Y, Zhu H, Wang J Y, Peng X J. Anal., 2015, 140(13): 4594.

[140]
Pang L F, Zhou Y M, Gao W L, Song H H, Wang X, Wang Y. RSC Adv., 2016, 6(107): 105795.

[141]
Xu Q L, Heo C H, Kim G, Lee H W, Kim H M, Yoon J. Angew. Chem. Int. Ed., 2015, 54(16): 4890.

Outlines

/