Home Journals Progress in Chemistry
Progress in Chemistry

Abbreviation (ISO4): Prog Chem      Editor in chief: Jincai ZHAO

About  /  Aim & scope  /  Editorial board  /  Indexed  /  Contact  / 
Review

Electrocatalytic CO2 Reduction to Methanol and Machine Learning Assistance

  • Sun Ruyu 1 ,
  • Qi Man 1 ,
  • Zhao Yawen 1 ,
  • Lv Yongli 2 ,
  • Wang Li , 1, * ,
  • Yan Wei 1
Expand
  • 1 School of Energy and Power Engineering, Xi'an Jiaotong University, Xi'an 710049, China
  • 2 Sinopec Shengli Oilfield Branch, Research Institute of Petroleum Engineering Technology, Dongying 257000, China

Received date: 2025-03-19

  Revised date: 2025-04-15

  Online published: 2025-09-01

Supported by

The National Natural Science Foundation of China(51908457)

Abstract

With the increasing global emphasis on carbon dioxide emissions reduction, electrocatalytic carbon dioxide reduction (ECO2R) to methanol has garnered significant attention within the context of carbon neutrality. However, existing ECO2R catalysts still suffer from limitations in activity, selectivity, and stability, thereby constraining their practical applications. This underscores the urgent need for the development of highly efficient catalysts, which remains a central research focus in this field. Traditional catalyst design predominantly relies on trial-and-error approaches, which are inherently inefficient. Therefore, novel strategies are required to accelerate catalyst discovery and optimization. With the rapid advancement of artificial intelligence, machine learning has emerged as a powerful tool to drive catalyst development. This review systematically summarizes the reaction mechanisms underlying ECO2R to methanol and highlights recent advancements in catalyst research, encompassing Cu-based, non-Cu-based, and phthalocyanine-based catalysts. Furthermore, the fundamental framework of machine learning applications in this domain is introduced, covering key stages from data acquisition to model validation. Particular emphasis is placed on machine learning-driven predictions of catalytic activity, catalyst design, and performance optimization. Although machine learning has made remarkable progress in ECO2R research, there are still several challenges, including data scarcity, insufficient model interpretability, and the lack of a universal prediction framework. Future research should focus on the establishment of high-quality catalyst databases, enhancement of model interpretability, and improvement of generalization capabilities. This review aims to provide a comprehensive perspective on ECO2R catalyst design while emphasizing the pivotal role of machine learning in facilitating breakthroughs in this field.

Contents

1 Introduction

2 Reaction mechanism of electrochemical carbon dioxide reduction to methanol

2.1 Reduction of carbon dioxide to two‑electron products

2.2 Further conversion of carbon monoxide intermediates

3 Electrocatalysts for the reduction of carbon dioxide to methanol

3.1 Copper‑based catalysts

3.2 Non‑copper‑based catalysts

3.3 Phthalocyanine‑based catalysts

3.4 Design principles and performance regulation of catalysts

4 Machine learning-assisted electrocatalytic reduction of carbon dioxide to methanol

4.1 Basic procedures of machine learning application

4.2 Machine learning empowering the design of carbon dioxide to methanol catalysts

5 Challenges and prospects

5.1 Improve catalyst stability

5.2 In-depth analysis of reaction mechanisms

5.3 Optimize reactor structure

5.4 Machine learning-assisted catalyst design

Cite this article

Sun Ruyu , Qi Man , Zhao Yawen , Lv Yongli , Wang Li , Yan Wei . Electrocatalytic CO2 Reduction to Methanol and Machine Learning Assistance[J]. Progress in Chemistry, 2025 , 37(9) : 1274 -1289 . DOI: 10.7536/PC20250311

1 Introduction

In recent years, with the rapid development of society, the combustion of fossil fuels and industrial activities have led to a sharp increase in CO2 emissions. The accumulation of CO2 in the atmosphere has triggered a series of environmental problems, including land desertification, rising sea levels, global warming, and frequent extreme weather events. To address this global challenge, China proposed the goals of "carbon peaking" and "carbon neutrality" in 2020, and reducing greenhouse gas emissions has become a global consensus.
Currently, three main approaches are adopted internationally to control CO2 emissions: first, reducing the use of fossil fuels to lower emissions at the source; second, capturing and storing atmospheric CO2 to mitigate its impact on the climate; third, utilizing CO2 through resource conversion to transform it into renewable fuels and chemicals, thereby establishing a carbon-neutral circular system[1-4] and providing technological support for sustainable development. Currently, CO2 conversion technologies include electrocatalysis, thermal catalysis, photocatalysis, and photoelectrocatalysis[5-8]. Among these, electrocatalytic CO2 reduction is regarded as a cutting-edge strategy for achieving carbon cycling due to its unique advantages. On one hand, this method enables the controlled synthesis of various chemicals under mild conditions, including alcohols[9], alkanes[10], carboxylic acids[11], and more. On the other hand, the reaction does not require the use of explosive H2, as protons are derived from water electrolysis. Furthermore, the electrocatalytic process can be integrated with renewable energy sources such as solar, wind, and tidal power, reducing reliance on fossil fuels. The resulting products have high energy density, and their properties are highly dependent on the catalyst characteristics, allowing for the controlled preparation of specific products through material selection and design[12].
In the electrocatalytic carbon dioxide reduction (ECO2R) process, the main products include carbon monoxide, methanol, formic acid, methane, ethanol, ethylene, and others. Methanol, due to its ease of storage and transportation, is considered one of the most promising products. It can not only serve as an alternative energy source directly applied in internal combustion engines, stoves, and turbines[13]but also acts as a core raw material for producing various chemicals, accounting for approximately 30% of global industrial chemical production[14-16]. Moreover, methanol is a low-pollution clean energy source, and its single-carbon structure helps reduce pollutants generated during combustion. Therefore, in the context of carbon neutrality, methanol, as an important fuel and chemical feedstock, has seen increasing attention on its green synthesis technologies.
In the ECO2R methanol synthesis reaction, the catalytic system is diversified. The efficiency of catalyst screening through experimental trial-and-error methods is low, severely limiting the rapid development of new catalytic materials. To address this issue, researchers have established a high-throughput computational screening system that completes a preliminary evaluation of catalyst activity before experiments. This new model of computation-guided experimentation significantly reduces the experimental workload and markedly enhances the efficiency of catalyst development[17].
High-throughput screening methods include density functional theory (DFT), machine learning (ML), and Monte Carlo simulations, which provide crucial theoretical foundations for catalyst design. Taking DFT calculations as an example, they can optimize the geometric structure of catalysts and help guide catalyst design; however, in large-scale screening and complex reaction systems, computational resource consumption increases exponentially. As an emerging computational approach, machine learning's core mechanism lies in enabling computers to learn patterns and rules from data, extracting potential information from vast amounts of data, and subsequently predicting material properties[18-20]. Machine learning can identify various descriptors in catalytic reactions, thereby avoiding cumbersome and resource-intensive quantum mechanical calculations. Therefore, introducing machine learning into the ECO2R reaction for catalyst design is essential, as it can rapidly identify catalysts with high catalytic activity, significantly enhancing catalyst development efficiency[21]. More importantly, machine learning can also design and optimize the composition of new catalysts, providing a more accurate and feasible pathway for exploring novel catalytic materials[22].
Although review articles have already covered multiple research directions of ECO2R, a systematic summary of methanol catalysts for ECO2R and the application of machine learning in this process is still lacking. This paper, for the first time, combines these two aspects, systematically reviewing recent advances in catalyst research for CO2electroreduction to methanol, summarizing the current status of various machine learning methods applied in this field, and deeply exploring their future development potential and challenges. This paper aims to provide researchers in this field with a cross-disciplinary perspective, promoting the collaborative advancement of efficient catalyst development and intelligent design for the conversion of CO2to methanol.

2 Reaction Mechanism of Electrocatalytic Carbon Dioxide Reduction to Methanol

The reaction mechanism of electrocatalytic CO2reduction to methanol is at the core of catalyst design. Figure 1illustrates the typical reaction pathways for this process, where paths (1~5) correspond to the reduction of CO2into formic acid, carbon monoxide, methanol, methane, and C2+products, respectively[23]. The differences in reaction pathways arise from variations in the electronic structure, surface state, and catalytic active sites of the catalysts. For instance, copper-based catalysts can effectively promote the reduction of CO2to *CO, which is further converted into methanol. In contrast, other catalysts such as silver, cobalt, and iron, although also proceeding via *CO, often tend to produce CO or other C1products as their final products[24]. Next, we will explore each reaction pathway in detail, aiming to gain a deeper understanding of the transformation processes of reaction intermediates and the mechanisms of electron transfer.
图1 ECO2R反应机理图,改编自文献[23]

Fig.1 The reaction mechanism diagram of ECO2R. Adapted with modification from Ref 23

2.1 Carbon dioxide reduction to two-electron products

In the electrocatalytic reduction of carbon dioxide, CO and HCOOH are the simplest products formed via a two-electron transfer process. The formation of these products involves the activation of CO2, leading to the generation of *CO and *OCHO intermediates, which subsequently yield CO and HCOOH[25]. Generally, when the C atom of CO2 is adsorbed onto the catalyst surface, it favors the CO pathway, whereas adsorption of the O atom of CO2 on the catalyst more readily leads to the formation of HCOOH[26-27]. Notably, HCOOH is difficult to further reduce and is therefore typically considered the final product (Path 1)[28]. In contrast, *CO can either desorb from the catalyst surface to form the final product CO (Path 2)[29], or serve as an intermediate for further reduction (Paths 3–5). By adjusting the adsorption energy of *CO on the catalyst surface, it is possible to effectively control the reaction pathways.

2.2 Further Conversion of Carbon Monoxide Intermediates

The pathway for methanol generation is: CO2→*CO→ *CHO→*OCH3→CH3OH. To achieve high Faraday efficiency for methanol, it is necessary to regulate the adsorption energy of *CO on the electrode surface. An ideal catalyst should possess properties that not only effectively retain *CO for further protonation but also efficiently suppress C-C coupling reactions. By precisely controlling the electronic structure and surface geometry of the catalyst, the adsorption energy of *CO can be optimized, thereby significantly promoting the selective generation of methanol.
If the catalyst surface has a low adsorption energy for *CO, the surface cannot retain *CO for further reduction reactions, and *CO will directly desorb as CO. Additionally, when the catalyst surface exhibits an optimal binding energy for *CO, it can facilitate its further reduction, leading to the formation of more C1and even C2+products. The C-C coupling step forming *CO dimers is generally considered the rate-limiting step in the formation of C2+products[30]. However, when the catalyst surface has an excessively strong adsorption energy for *CO, the active sites will be occupied by *CO, preventing its desorption and resulting in poisoning of the active sites. Therefore, the adsorption energy of *CO on the catalyst surface plays a decisive role in determining the final products[31]. Numerous density functional theory studies have shown that *CO is a key intermediate in the reaction, capable of competitively undergoing hydrogenation or C-C coupling. The process of *CO protonation to form *CHO or *COH intermediates is a critical step determining whether the final product is methanol (path 3) or methane (path 4)[32]; thus, inhibiting the formation of *COH is crucial for enhancing methanol selectivity. When *CO undergoes C-C coupling to form the *OCCO intermediate, it tends to produce C2+products (path 5)[33].
Currently, the detailed reaction mechanism for the conversion of *CHO intermediates into methanol remains controversial. Some studies suggest that *CHO is more conducive to methanol formation[34]; for instance, Nie et al.[35-36]demonstrated that the *CHO intermediate can be further reduced to *OCH3, making methanol formation more favorable compared to methane. The methane formation pathway involves hydrogenation of the *COH intermediate, which is consistent with previous experimental observations by Schouten et al.[37]. Additionally, Zhai et al.[38]proposed through DFT calculations that methanol formation requires an HCOO* intermediate, which is subsequently hydrogenated into H2COOH*, followed by protonation and dehydration steps to form *OCH3and ultimately produce methanol. These findings further support the conclusion that the conversion of *CHO intermediates to *OCH3is more favorable for methanol production. However, other studies have indicated that *CHO intermediates promote methane formation[39-40]. Peterson et al.[41]pointed out through thermodynamic analysis that methane can be formed via the *CHO intermediate. Protons in solution can abstract the methyl group from *OCH3to generate methane (dashed reaction pathway in the figure). Dai et al.[42]theoretically verified through partial substitution of nitrogen atoms at Cu-N4sites that enhancing the adsorption capacity of *CO and *CHO intermediates is beneficial for promoting methane formation.
Although the subsequent conversion of *CHO is uncertain, numerous studies have provided valuable references for further elucidating the pathway of the *OCH3 intermediate. Kuhl et al.[43] revealed the similarities in the formation mechanisms of methane and methanol, finding that metals with higher oxygen affinity (such as Fe) tend to stabilize oxygen-adsorbed species, thereby promoting complete cleavage of the C—O bond and favoring the formation of deeply reduced products (such as methane), whereas metals with lower oxygen affinity (such as Au) are more likely to retain the C―O bond, leading to the production of higher oxidation state products (such as methanol). Back et al.[44] pointed out that catalysts with weaker OH binding energies tend to produce methanol, while those with stronger OH binding energies are more inclined to generate methane. In the electrocatalytic reduction of carbon dioxide, the formation of *CHO or *COH requires overcoming a high energy barrier, representing the rate-limiting step in the reactions leading to methanol or methane. In the later stages of the reaction, the protonation of the *CH3O intermediate is a crucial step determining selectivity, where H combines with the O atom to form methanol, or with the C atom accompanied by a dehydration step to form methane.
Thus, it is evident that electrocatalytic reduction of carbon dioxide to methanol involves complex proton-coupled electron transfer steps and is accompanied by various competitive side reactions. In addition to the reaction pathways mentioned above, a common and significant competing pathway in the system is the hydrogen evolution reaction (HER). Particularly in aqueous electrolyte environments, the high concentration of proton donors readily promotes HER, leading to preferential hydrogen gas generation and consequently reducing the Faraday efficiency and product selectivity of CO2reduction. Fundamentally, suppressing HER hinges on regulating the electronic structure and surface physicochemical properties of the catalyst. Therefore, designing and developing highly efficient catalysts that can simultaneously lower the kinetic barriers for CO2reduction while effectively inhibiting side reactions is crucial for achieving high selectivity and efficiency in methanol production.

3 Electrocatalytic carbon dioxide reduction to methanol catalyst

The reaction mechanism provides a theoretical basis for catalyst design. In recent years, numerous catalyst systems have been extensively studied, including copper-based catalysts, non-copper-based catalysts, and emerging phthalocyanine-based catalysts. Table 1compares the key electrochemical parameters of various catalyst systems, including overpotential, current density, and Faraday efficiency. These parameters not only reflect differences in catalyst activity but also indirectly reveal their feasibility and optimization potential in practical applications.
表1 ECO2R制甲醇催化剂性能比较

Table 1 Comparison of Catalyst Performance for Producing Methanol by ECO2R

Type Catalyst Potential [V (vs RHE)] J (mA·cm-2 FEMethanol (%) Ref
Cu-based CuOx-based Cu2O/CuO -1.3 (vs Ag/AgCl) 46 6.46 51
CuO NWs -1.4 (vs Ag/AgCl/Sat. KCl) - 66.4 52
Cu2O-o -0.3 - 4.9 53
Sn1/Vo-CuO-90 -2.0 (vs Ag/AgCl) 67.0 88.6 54
Copper alloy Ag,S-Cu2O/Cu - 122.7 67.4 55
Cu-Co PBA-VCN -0.9 10.8 39.2 56
Other copper-based Ti3(Al1-xCux)C2 -1.4 21.3 59.1 34
Cu-g-C3N4/MoS2 -1.4 (vs Ag/AgCl) 78 19.7 57
CuO-ZnO-MoS2 -0.6 38 24.6 58
-1.2 (vs Ag/AgCl) 121 -
Cu2O/NC -0.55 - 52 59
CuGa2 -0.3 21.4 77.26 60
np-Cu(Se-5%) -0.5 - 58 61
Cu58-I NC -0.7 - 54 62
Cu2NCN - 92.3 Sel.=70% 63
Non-Cu-based PtxZn/C -0.9 - 81.4 64
Pd1.80%/MnO2 3.2 V (cell voltage) 250.8 77.6 65
CoO/CN/Ni -0.7 10.6 70.7 66
C-Py-Sn-Zn -0.5 - 59.9 67
Mo2C/N-CNT -1.1 (vs SHE) - 80.4 68
Pyr-CP-800 -0.60 7.14 32.46 69
C3SH-ZnO -0.9 - 92 70
Phthalocyanine-based CoPc/CNT -0.94 10.6 44 71
CoTAPc/GCNT - >150 - 72
CoPc/SWCNTs -0.9 66.8 31.3 73
CoTAPc/SW -0.95 6 51.5 74
It is worth noting that the performance of electrocatalysts is influenced not only by their composition and morphology but also closely related to key experimental parameters such as electrolyte composition, electrode type, current density, testing time, and iR compensation. Currently, there are significant differences in testing conditions reported in the literature, so caution should be exercised when making lateral comparisons of different catalyst performances. In addition, Jaramillo's research group[45]has proposed a minimum dataset that should be reported in CO2reduction studies to promote data transparency and the lateral comparability of research results. To enhance the comparability and reference value of data, it is recommended that future studies should report experimental parameters in detail and prioritize the ternary performance evaluation system consisting of Faraday efficiency, reaction rate, and catalytic stability.

3.1 copper-based catalyst

Copper, as a metal capable of reducing CO2into various high-value products such as methanol and ethanol, occupies a central position in electrocatalytic CO2reduction to methanol due to its unique 3d104s1electronic configuration. It can effectively regulate the reaction pathway, thereby promoting the reduction of CO2into methanol. Compared with other metal catalysts, copper exhibits moderate adsorption strength for *CO intermediates and possesses characteristics of tunability and ease of synthesis, making it an ideal candidate material for electrocatalytic reduction reactions. Copper-based catalysts can be classified into several types[46-50], including copper oxide-based catalysts, copper alloy catalysts, and other copper-based catalysts. Copper oxide-based catalysts, owing to their excellent activity, have become one of the most extensively studied categories. In copper alloy catalysts, copper exhibits synergistic effects with other metallic elements, further optimizing catalytic performance and achieving high stability and Faraday efficiency. In addition, other copper-based catalysts, such as copper nanoclusters and copper-based composites, demonstrate unique advantages in catalytic reactions due to their special structures and surface properties. This section will delve into the research progress of these three categories of copper-based catalysts, analyzing the advantages, disadvantages, and application prospects of each type.

3.1.1 Copper oxide-based catalyst

Copper oxide-based catalysts are widely used in electrocatalytic CO2reduction reactions due to their unique surface chemical properties. During the reaction, copper oxide catalysts can rely on their inherent oxidation state stability, avoiding structural degradation caused by surface redox changes, which is one of the common deactivation mechanisms of metal catalysts. As a metal oxide, copper oxide exhibits typical alkaline characteristics, effectively enhancing CO2adsorption and further improving catalytic activity. Cu2O and CuO are the two most common forms of copper oxide catalysts, exhibiting different catalytic activities at different reduction potentials, and the adsorption strength of *CO increases with the increase of copper oxidation state[75].
Synergistic effects can significantly enhance catalyst performance beyond that of individual components. Roy et al.[51]prepared Cu2O/CuO thin-film catalysts on conductive nickel foam via electrodeposition and investigated their performance in the CO2reduction reaction. When subjected to a 120-minute reduction reaction at -1.3 V (vs Ag/AgCl) in KHCO3solution, Cu2O/CuO exhibited high electrocatalytic activity, with a maximum current density reaching 46 mA/cm², and demonstrated high selectivity toward methanol. The high activity is likely due to the synergistic effect arising from the Cu2O/CuO heterostructure formed by Cu(I) and Cu(II), which helps enhance the functional properties of the material. The surface copper oxide provides an appropriate hydrogen overpotential and CO adsorption energy, facilitating efficient methanol production.
The specific catalyst structure can significantly enhance its performance. Azenha et al.[52]studied a CuO nanowire catalyst, achieving high selectivity for methanol production without the use of precious metals, and effectively suppressing the competitive hydrogen evolution reaction. This nanowire structure not only provides a large specific surface area, increasing the number of active sites, but also its unique electronic properties further reduce the overpotential of the reaction. The methanol Faraday efficiency reached 66.4%, with a yield of 1.27×10-4 mol·m-2·s-1, representing a 6.7% improvement over previous catalysts and demonstrating excellent selectivity under mild conditions.
The facet effect plays an important role in the regulation of catalyst performance. Liu et al.[53]synthesized Cu2O nanostructures with tunable facets via a hydrothermal method (Figure 2a) and investigated the influence of different crystal facets on the CO2reduction reaction. The octahedral Cu2O (Cu2O-o) exhibited the optimal CO2reduction performance, achieving a total Faraday efficiency of 35.4% for alcohol products, with methanol accounting for 4.9%. This study indicated that differences in oxygen vacancy defects and Cu—O bond lengths on various crystal facets are key factors influencing catalytic activity. Additionally, doping and defect engineering are effective strategies for enhancing the CO2reduction performance of copper oxide-based catalysts, further improving their electrochemical properties and boosting their stability and efficiency in long-term reactions. Guo et al.[54]developed a novel catalyst composed of atomically dispersed tin and defective CuO, achieving a methanol Faraday efficiency as high as 88.6% at a current density of 67.0 mA/cm2. The introduction of defects significantly enhanced CO2adsorption and electron transfer processes, thereby improving catalytic efficiency and demonstrating that the tin-doped CuO catalyst exhibits excellent stability and selectivity in the CO2reduction reaction.
图2 典型铜基催化剂性能及结构示意图:(a) 不同Cu2O催化剂的TEM图像及对应产物的FE[53];(b) 不同双掺杂催化剂的性能及甲醇分电流密度与催化剂吉布斯自由能差关系图[55];(c) SA-Cu-MXene作为单原子铜催化剂实现二氧化碳高效制甲醇及其FE图[34];(d) Cu2NCN表面反应示意图及其在MEA的电解槽中ECO2R产物分布[63]

Fig.2 Schematic diagram of typical copper based catalyst performance and structure. (a) TEM images of different Cu2O catalysts and FE of corresponding products[53]. Copyright 2021, American Chemical Society. (b) The properties of different double-doped catalysts and the relationship between methanol partial current density and catalyst Gibbs free energy difference[55]. (c) SA-Cu-MXene as a single atomic copper catalyst to achieve efficient methanol production from carbon dioxide and its FE pattern[34]. Copyright 2021, American Chemical Society. (d) Schematic diagram of Cu2NCN surface reaction and its distribution of ECO2R products in an electrolytic cell of MEA[63]

Copper oxide-based catalysts exhibit high methanol selectivity due to their abundant oxygen vacancies and tunable oxidation states (Cu+/Cu2+). However, they still suffer from issues such as low electrical conductivity, easy loss of active sites, and susceptibility to reduction to Cu0under strongly reducing conditions, leading to decreased selectivity. Therefore, optimizing the electrical conductivity of copper oxide catalysts, enhancing their resistance to reduction, and improving their interfacial stability are important directions for future research.

3.1.2 Copper alloy catalyst

Copper alloys regulate the position of the d-band center by introducing a second or multiple metals (such as Ag, Co, etc.), optimizing CO2 adsorption, activation, and the subsequent stability of intermediates. A notable feature of these catalysts is their ability to enhance the adsorption capacity for specific reaction intermediates through synergistic effects by adjusting alloy composition and surface structure, thereby improving methanol Faraday efficiency.
Han Buxing's team[55]employed an in-situ dual-doping strategy, introducing silver and sulfur elements to optimize the CO2reduction performance of the Cu2O/Cu catalyst. As shown in the left panel of Figure 2b, the dual-doping strategy regulates the electronic structure of the catalyst through synergistic effects, enabling the Ag,S-Cu2O/Cu catalyst to achieve a methanol Faraday efficiency as high as 67.4% and a current density of 122.7 mA/cm2. Both theoretical calculations and experimental results indicate that the introduction of Ag significantly increases the reaction energy barrier for HER, effectively suppressing the HER process and enhancing methanol selectivity and catalyst activity. Meanwhile, the doping of S further modulates the surface electronic structure of the catalyst, improving the adsorption and conversion efficiency of key intermediates and synergistically boosting overall catalytic performance. The right panel shows that when ΔG *CHOG *COis close to 0.6 eV, the Ag,S-Cu2O/Cu exhibits the highest methanol current density, indicating that this free energy difference favors the preferential formation of CH3OH.
The synergistic effect of copper alloys can also enhance the stability of the catalyst, enabling it to exhibit superior resistance to deactivation during prolonged electrolysis. Peng et al.[56]synthesized a Cu-Co PBA-VCNcatalyst using wet chemical methods and hydrogen-cooled plasma etching, demonstrating outstanding CO2electroreduction performance. At -0.9 V (vs RHE), the total Faraday efficiency for methanol and ethanol reached 83.8%. During a 100-hour long-term test, the low-carbon alcohol FE remained at approximately 75%, indicating excellent stability and durability. This study provides new insights into the development of highly efficient and durable ECO2R catalysts.

3.1.3 Other copper-based catalysts

In addition to the commonly used copper oxide-based catalysts and copper alloy catalysts, other copper-based catalysts (such as copper single atoms, copper nanoclusters, copper intermetallic compounds, etc.) have also made significant progress in electrocatalytic CO2reduction reactions. By employing methods such as preparing single atoms, elemental doping, defect engineering, and surface reconstruction, these catalysts demonstrate potential advantages in catalytic efficiency and selectivity.
(1) Single-atom catalysts (SACs)
SACs, with their maximized atom utilization and uniform active sites, have emerged as an important strategy for enhancing methanol selectivity. Zhao et al.[34]prepared a single-atom copper-immobilized MXene (Ti3C2Cl x) catalyst by selectively etching a quaternary MAX phase, as illustrated in the structural diagram shown in Figure 2c. As seen in the right panel of Figure 2c, this catalyst achieves a Faraday efficiency (FE) for methanol of 59.1% at -1.4 V (vs RHE). The strong interaction between the single-atom copper sites and the MXene support material is considered key to its high efficiency, promoting the highly selective generation of methanol.
(2) Composite material catalyst
Designing composite catalysts aims to further enhance catalytic performance through synergistic interactions between materials. Hussain et al.[57]reported the synthesis of a Cu-g-C3N4/MoS2composite catalyst via a hydrothermal method. This composite catalyst exhibits superior electrocatalytic performance due to the synergistic effects among its components. At a potential of -1.4 V (vs Ag/AgCl), the current density reaches 78 mA/cm2. Electrochemical impedance spectroscopy and chronoamperometry tests demonstrate that the composite material possesses better charge transfer capability and greater stability compared to individual Cu-g-C3N4and Cu-MoS2, highlighting its advantages in long-term reactions. In addition, the ternary composite catalyst CuO-ZnO-MoS2synthesized by them[58]exhibits a higher current density (121 mA/cm2) at a lower onset potential. The introduction of MoS2not only prevents the aggregation of CuO and ZnO but also enhances the overall catalytic performance through synergistic effects, demonstrating high Faraday efficiency in the production of methanol and ethanol. Banerjee et al.[59]prepared a copper oxide/nitrogen-doped carbon (Cu xO/NC) composite catalyst via a microwave-assisted synthesis method, achieving a Faraday efficiency as high as 95% (primarily for formic acid and methanol) at -0.55 V (vs RHE). The synergistic interaction between nitrogen-doped carbon and copper oxide significantly boosts the electrochemical activity of the catalyst, showcasing the potential of the Cu xO/NC composite catalyst in CO2reduction.
(3) Intermetallic compound catalyst
Bagchi et al[60]designed a novel Cu-Ga intermetallic compound catalyst (CuGa2and Cu9Ga4). At a low potential of -0.3 V (vs RHE), the FE of methanol over the CuGa2catalyst can reach 77.26%. This high selectivity is attributed to the unique two-dimensional structure of CuGa2, where surface and subsurface oxide species (Ga2O3) are retained under reducing conditions, thereby promoting the selective formation of methanol.
(4) Surface-reconstructed catalyst
Lin et al.[61]developed a nanoporous Cu2- xSe-derived np-Cu (Se-5%) catalyst, which enhances catalytic performance through a surface reconstruction mechanism. In-situ and quasi-in-situ spectroscopic analyses indicate that the Cu (Se-5%) layer serves as the active phase, achieving a FE of 58% for methanol at -0.5 V (vs RHE). Furthermore, density functional theory calculations demonstrate that the reconstructed Cu (Se-5%) facilitates charge transfer and COOH adsorption, reducing the energy barrier for the CO2electroreduction intermediate CHO and promoting the highly selective generation of methanol.
(5) Defect-engineered catalyst
Biswas et al[62]reported a defect-engineered copper nanocluster (Cu NCs) catalyst. By removing Cu atoms at the vertices of Cu NCs to introduce defects, the geometric structure and edge modifications of the catalyst were altered, effectively improving the product selectivity of electrochemical reactions. At -0.7 V (vs RHE), the FE of Cu NCs for methanol reached 54%.
(6) Electron Delocalization Catalyst
Kong et al.[63]proposed a novel Cu2NCN catalyst, which achieves selective control over the CO2reduction pathway by regulating the electron delocalization state. The surface interactions of the catalyst are illustrated in Figure 2d. In this catalyst, Cu(I) ions strongly coordinate with NCN2 -, resulting in a highly delocalized electronic state. This leads to a methanol selectivity of up to 70%, a methanol production rate of 0.160 μmol·s-1·cm-2, and an outstanding methanol partial current density (92.3 mA·cm-2)).
Overall, copper-based catalysts have emerged as a core material system for electrocatalytic CO2reduction to methanol, owing to their excellent CO2activation capability, moderate intermediate adsorption properties, diverse structural modulation approaches, abundant resource availability, and strong resistance to deactivation. Among these, copper oxide-based catalysts have demonstrated remarkable effectiveness in optimizing CO2adsorption and enhancing methanol production efficiency. Copper alloy catalysts improve the Faraday efficiency of methanol generation by tuning alloy composition and surface structure, particularly excelling in long-term stability. Meanwhile, other copper-based catalysts further enhance catalytic efficiency and selectivity through defect engineering and composite material design. Therefore, each type of copper-based catalyst has its unique advantages and challenges. The key to research lies in optimizing the electronic structure, stability, and reaction pathways of the catalysts to achieve efficient and stable methanol synthesis.

3.2 Non-copper-based catalyst

As research on copper-based catalytic systems gradually improves, non-copper-based catalysts have also increasingly attracted attention. Non-copper-based catalysts can typically effectively avoid the formation of C2+products, reduce competition from by-products, and enhance methanol selectivity. They can also achieve CO2reduction at lower overpotentials, improving energy utilization efficiency. Therefore, researchers have begun exploring non-copper-based catalysts, aiming to leverage the advantages of other metals or materials to enhance methanol selectivity and improve catalyst durability.

3.2.1 Precious metal-based catalyst

Precious metal catalysts exhibit significant advantages in the field of CO2electroreduction due to their high catalytic activity. The structure and interfaces of nanoalloys play a crucial role in the catalytic performance of CO2reduction reactions. For instance, Payra et al.[64]reported a C-supported PtZn nanoalloy catalyst, where different structures of PtZn/C, Pt3Zn/C, and Pt xZn/C series catalysts were constructed by adjusting the ratio of Pt to Zn, achieving highly efficient catalytic reduction of CO2to methanol. DFT calculations indicated that compared to single-phase alloys, mixed-phase Pt xZn catalysts with cubic and tetragonal structures facilitate single-electron transfer to adsorbed CO2and exhibit better binding energies for carbon dioxide intermediates. At -0.90 V, the Pt xZn/C catalyst achieved a methanol Faraday efficiency of 81.4%. Furthermore, by tuning the electronic structure between different catalyst components and providing additional active sites, the formation of key reaction intermediates can be promoted, thereby enhancing methanol yield. Zhu et al.[65]developed a composite catalyst consisting of MnO2nanosheets and Pd nanoparticles (Pd NPs/MnO2 NSs). The interaction between Pd nanoparticles and MnO2nanosheets at the interface effectively modulated the electronic structure of MnO2, introduced additional active sites, and reduced the activation energy of CO2, promoting the formation of *CO intermediates. As shown in Figure 3a, this catalyst achieved a methanol Faraday efficiency as high as 77.6% and exhibited a partial current density of 250.8 mA/cm2during electrolysis. The study also highlighted that the morphology of the catalyst significantly influences the selectivity of CO2reduction products. Using nickel foam or copper foam as substrates helps form well-ordered MnO2nanosheets, which in turn promotes uniform deposition of Pd nanoparticles, improving methanol selectivity and catalytic activity.
图3 典型非铜基催化剂性能及结构示意图:(a) Pd1.80%/MnO2在MEA电解槽中耦合OER的电催化性能[65];(b) CoO/CN/Ni和CoO/CN催化剂的机理示意图[66];(c) Mo2C/N-CNT制备流程图[68];(d) Pyr-CP-600和Pyr-CP-800材料的合成路线的示意图[69]

Fig.3 Schematic diagram of properties and structures of typical non-copper based catalysts. (a) Electrocatalytic performance of Pd1.80%/MnO2 in an MEA electrolyzer by coupling OER[65]. Copyright 2023, American Chemical Society. (b) Schematic show about the mechanism of the catalysts CoO/CN/Ni and CoO/CN[66]. (c) Mo2C/N-CNT preparation flow chart[68]. (d) Schematic illustration of the synthetic route of Pyr-CP-600 and Pyr-CP-800 materials[69]

3.2.2 Heterostructured Catalyst

Heterostructured catalysts enhance catalytic performance by optimizing the electronic distribution on the catalyst surface and the synergistic effects between components. Wang et al.[66]developed a novel ternary heterostructured catalyst CoO/CN/Ni. Figure 3billustrates the structural diagrams and reaction mechanisms of the two catalysts. The main product over the CoO/CN catalyst is formic acid, while methanol is the primary product over the CoO/CN/Ni catalyst. The introduction of nickel alters the surface electronic state of the cobalt species at the catalytic center by donating electrons to the CN layer, further enhancing catalytic activity and suppressing hydrogen generation. Ultimately, the CoO/CN/Ni catalyst achieves a methanol Faraday efficiency of 70.7%. Huang et al.[67]reported a novel composite heterogeneous catalyst C-Py-Sn-Zn, which successfully immobilizes 4-aminopyridine (Py) and bimetallic Sn-Zn onto pure carbon paper through electrochemical oxidation and electrodeposition. The synergistic effect between Sn and Zn, as well as the interaction between Sn-Zn and Py, plays a crucial role in the electrochemical reduction of CO2. At a potential of -0.5 V (vs RHE), the C-Py-Sn-Zn catalyst exhibits a methanol Faraday efficiency as high as 59.9%, maintaining stable catalytic activity over an extended electrolysis period of up to 26 hours.

3.2.3 Carbon-material-supported composite catalyst

Carbon materials, as supports, offer high conductivity and dispersibility. Surface modification of these materials can further enhance the adsorption of active sites and intermediates, thereby improving catalytic performance. To reduce particle aggregation and increase the number of active sites, the team led by Gong Jinlong at Tianjin University[68]loaded Mo2C particles onto nitrogen-doped carbon nanotubes, constructing a Mo2C/N-CNT catalyst (Figure 3c). This structure leverages the strong metal-support interaction between Mo and N sites, effectively achieving spatial dispersion of particles and thus enhancing catalytic activity. Moreover, electron hybridization between the d-orbitals of molybdenum and the s-orbitals of carbon strengthens the catalyst's surface adsorption capacity for oxygen species, promoting the conversion of oxygen-containing intermediates along the methanol formation pathway rather than participating in the hydrogen evolution reaction. In other words, by optimizing the electronic structure of the catalyst surface, the adsorption energy and configuration of key intermediates are regulated, thereby suppressing HER and improving methanol selectivity. In a high-pressure continuous CO2reduction system, the Mo2C/N-CNT catalyst achieved a methanol Faraday efficiency of 80.4% at -1.1 V (vs SHE). Chongdar et al.[69]reported a nickel-based hollow zero-dimensional (0D) carbon superstructure catalyst for low-potential CO2reduction to methanol. As shown in Figure 3d, this catalyst was successfully synthesized by pyrolyzing Ni-MOF precursors, resulting in 0D porous hollow carbon superstructures Pyr-CP-600 and Pyr-CP-800 anchored with Ni nanoparticles. This unique structure provides the material with a high specific surface area and surface roughness, effectively enhancing its catalytic performance for the selective electroreduction of CO2to CH3OH. In a 1.0 mol/L KOH solution, Pyr-CP-800 achieved a methanol Faraday efficiency of 32.46% at -0.60 V (vs RHE), the highest among currently known nickel-based electrocatalysts.

3.2.4 Self-assembled monolayer modified electrode

Self-assembled monolayer-modified electrodes exhibit numerous advantages in electrocatalytic carbon dioxide reduction reactions due to their molecular-level precision control, optimized electronic structure, and interfacial regulation effects. Akter et al.[70]reported a metal and metal oxide electrode modified by a self-assembled monolayer. The study found that the thiol self-assembled monolayer-modified ZnO electrode (C3SH-ZnO) significantly enhanced the selectivity of the catalyst through synergistic effects between surface sites. In a tandem flow electrolyzer, the C3SH-ZnO electrode achieved a methanol Faraday efficiency as high as 92%.
In summary, non-copper-based catalysts have demonstrated significant catalytic potential, exhibiting high activity and stability during electrolysis by adjusting the catalyst's structure or surface properties.

3.3 Phthalocyanine-based catalyst

Phthalocyanine-based catalysts, as an emerging system in the field of electrocatalytic materials, have attracted widespread attention due to their unique electronic configuration, tunable central metal sites, and excellent stability. Their macrocyclic conjugated structure can effectively regulate the electronic properties of the catalyst, optimizing CO2 adsorption and activation. Moreover, phthalocyanine-based catalysts exhibit strong inhibition of the hydrogen evolution side reaction, maintaining high catalytic efficiency over a broad potential range. Their good chemical stability ensures minimal degradation during prolonged electrolysis, and they can further enhance catalytic activity and electron transport capabilities by being supported on carbon materials, metal oxides, or metal-organic frameworks. These characteristics make phthalocyanine-based catalysts one of the most promising candidates in the field of electrocatalytic CO2 reduction.
Rooney et al.[71]revealed the dispersion mechanism of CoPc molecules on the surface of CNTs, highlighting the efficiency of electron transfer and the importance of multi-electron reduction reactions in the CO2reduction process. Further studies showed that Co(I) is the primary active site of CoPc, and under negative potentials, the coordination environment of Co changes, forming a non-centrosymmetric Co coordination structure, likely due to the formation of Co-CO adducts. Ultimately, at -0.94 V (vs RHE), the methanol Faraday efficiency reached 44%.
Potential-induced structural changes can enhance the stability of intermediate adsorption. Yang et al.[72]further investigated the electrocatalytic performance of cobalt phthalocyanine molecules supported on carbon nanotubes in the CO2/CO reduction reaction. As shown in Figure 4a,they found that applying a cathodic potential induces a transformation in the planar CoN4center of CoPc molecules, resulting in a non-planar distorted configuration. This potential-induced structural change enhances the linear binding stability of CO at the CoN4center, promotes CO bridging, and improves methanol production efficiency. Experiments demonstrated that this structural change enables a methanol current density exceeding 150 mA·cm⁻², significantly enhancing the electrocatalytic activity of the catalyst. This finding provides new insights for catalyst design, indicating that tuning the electronic structure can effectively improve catalytic performance.
图4 典型酞菁催化剂性能及结构示意图:(a) 两种CoTAPc@1V-Gr模型的示意图,对应的*CO结合构型以及主要产物[72];(b) CoPc/SWCNTs催化剂表面反应示意图[73];(c) 催化剂电催化二氧化碳还原性能[74];(d) *CoTAPc和FePc不同界面构型的CO结合能[74]

Fig.4 Properties and structure diagram of typical phthalocyanine catalysts. (a) Schematic illustration of two CoTAPc@1V-Gr models, their corresponding *CO binding configurations, and the predominant products[72] (Haozhou Yang et al, Potential-driven structural distortion in cobalt phthalocyanine for electrocatalytic CO2/CO reduction towards methanol. Nature Communications, published 2024, Springer Nature). (b) Diagram of surface reaction of CoPc/SWCNTs catalyst[73]. (c) Electrocatalytic carbon dioxide reduction performance of catalyst[74]. (d) *CO binding energy of different interface configurations of CoTAPc and FePc[74]

The molecular curvature of the catalyst and the choice of support significantly influence catalytic performance and play an important role in regulating product selectivity. Su et al.[73]proposed a strategy using cobalt phthalocyanine molecular catalysts supported on carbon nanotubes for the electrochemical reduction of CO2to methanol. As shown in Figure 4b, the molecular curvature strain induced by loading CoPc molecules onto single-walled carbon nanotubes (SWCNTs) can enhance the electrocatalytic performance of the catalyst. The strong interaction between the curved CoPc and carbon nanotubes facilitates the adsorption and conversion of CO2, thereby improving methanol production efficiency. In a flow cell, the catalyst demonstrated a methanol generation current density of 66.8 mA·cm⁻² and a methanol Faraday efficiency of 31.3%.
Similarly, Xin et al.[74]explored the application of Fe/CoPc molecular catalysts in electrocatalytic CO2reduction in their study. By introducing molecular curvature, cobalt tetraaminophthalocyanine (CoTAPc/SW) exhibited remarkable catalytic activity in multi-electron reduction reactions, achieving a Faraday efficiency for methanol as high as 51.5% (Figure 4c). Figure 4dsummarizes the binding energies of *CO for different configurations. The curved CoPc has a lower binding energy for *CO, which facilitates stable adsorption of *CO and subsequent hydrogenation, thereby promoting methanol formation. In contrast, FePc, whether in a flat or curved configuration, exhibits a higher binding energy for *CO, which is unfavorable for *CO hydrogenation; consequently, methanol production was not observed experimentally. Overall, the application of phthalocyanine-based catalysts in electrocatalytic CO2reduction is relatively new. Although preliminary results indicate significant potential, the active sites are limited to the central metal and structure, resulting in a low density of active sites per unit mass. Further research is still needed to evaluate their practical application effectiveness.

3.4 Principles of Catalyst Design and Performance Regulation

In the electrocatalytic CO₂ reduction to methanol, different types of catalysts generally exhibit a significant "structure-performance" correlation, gradually forming a set of universally applicable design and development principles. Factors such as the crystal facet structure, particle size, morphological features, and defect effects of the catalyst significantly influence the adsorption behavior of intermediates, reaction pathways, and product distribution, thereby regulating catalytic activity and the selectivity of the desired product.

3.4.1 Crystal surface structure

Different crystal facets expose different atomic arrangements, leading to variations in intermediate adsorption behavior and reaction pathways. For example, the Cu(100) facet favors the formation of C—C bonds and is more inclined to produce C2products[76],while the Cu(111) facet tends to favor the production of C1products[40].Therefore, by constructing specific crystal morphologies (such as nanocubes, octahedra, etc.), it is possible to achieve controllable regulation of crystal facet exposure.

3.4.2 Nanometer scale

The particle size of a catalyst significantly influences its catalytic activity. Smaller-sized catalysts expose more low-coordinated metal atom sites, resulting in stronger adsorption capacity for *CO intermediates; however, they may also promote the formation of by-products such as hydrogen and carbon monoxide, and excessively small sizes could compromise catalyst stability. Conversely, excessively large particles reduce the number of edge-active sites, thereby diminishing reaction activity. Therefore, appropriately optimizing catalyst size is crucial for the efficient production of target products.

3.4.3 Morphological characteristics

The morphology of the catalyst also significantly influences its performance. By constructing high-surface-area, porous structures such as nanowires, nanosheets, or foam-like architectures, not only is the diffusion of CO2 in the electrolyte and the release of products facilitated, but local concentration gradients can also be effectively reduced, thereby enhancing reaction efficiency at high current densities. Meanwhile, these structures may expose specific crystal facets and modulate the local reaction environment, positively impacting product selectivity.

3.4.4 defect effect

The introduction of defects can effectively regulate the electronic structure of catalysts, thereby adjusting the adsorption strength of intermediates. An appropriate amount of defects helps stabilize intermediates, preventing excessive adsorption or premature desorption, and thus promoting the selective generation of target product pathways. Defect engineering can also modulate the local electronic environment, providing new means to enhance catalytic performance.
In addition, strategies such as alloying, elemental doping, and valence state engineering also demonstrate great potential in optimizing catalytic performance. In the process of catalyst design, achieving a balance between activity and product selectivity remains a critical challenge that urgently needs to be addressed. Although introducing highly active sites (such as low-coordinated atoms or defect structures) can enhance CO2activation and increase the reaction rate, it often also strengthens the adsorption of reaction intermediates, thereby inhibiting subsequent hydrogenation or desorption steps and reducing the efficiency of target product formation. Therefore, achieving a dynamic balance between activity and selectivity is a key objective in catalyst design. By employing various approaches, including alloying, crystal facet engineering, strain modulation, and localized reaction environment adjustment, it is possible to precisely control the adsorption energy of intermediates and the reaction pathways, enhancing catalytic activity while ensuring high methanol selectivity, thus realizing an efficient and synergistic CO2reduction catalytic process.
In summary, whether copper-based catalysts, non-copper-based catalysts, or phthalocyanine-based catalysts, certain breakthroughs have been achieved in improving methanol Faraday efficiency and catalytic stability. However, the current systems still face key challenges such as insufficient catalytic activity, complex reaction pathways, limited structural stability, and competition from side reactions. Future research can focus on multi-scale catalyst design, interface engineering optimization, precise regulation of reaction pathways, and machine learning-assisted screening, aiming to develop an efficient, low-energy-consumption, and stable CO2reduction system for methanol production. The introduction of data-driven methods such as machine learning is expected to accelerate the rational design of high-performance catalysts, providing new insights for the resource utilization of CO2and promoting the field toward efficient and sustainable development.

4 Machine Learning-Assisted Electrocatalytic Reduction of Carbon Dioxide to Methanol

Machine learning, as an emerging tool, is becoming an important approach in ECO2R research. It can extract underlying patterns from vast amounts of experimental data and computational results, effectively revealing the key factors influencing catalytic performance and thus advancing catalyst design. Currently, commonly used machine learning model types (such as support vector machines, neural networks, decision trees, etc.) have been extensively documented in the literature[77-79]. Therefore, this chapter will focus on the specific applications of machine learning in predicting catalyst activity and designing catalysts for the ECO2R methanol synthesis reaction.

4.1 Basic Procedure for Machine Learning Applications

Machine learning applied to the ECO2R process typically involves four main steps: data collection, feature engineering, model training, and model evaluation (Figure 5) [80]. Data collection is fundamental, requiring the acquisition of relevant catalyst performance and reaction condition data from experiments, computations, or literature. After data collection, feature engineering is employed to screen, extract, and transform key parameters, enhancing the model's interpretability and predictive accuracy. Next, model training is conducted, where an appropriate machine learning algorithm is selected based on data characteristics and task requirements, and a predictive model is established. Finally, model evaluation is performed using methods such as cross-validation and error analysis to ensure the model's generalization ability and accuracy. These steps provide the technical support for machine learning to advance the prediction and design of catalyst activity.
图5 ML技术在催化材料开发中的工作流程[80]

Fig.5 The workflow of ML technology in the development of catalytic materials[80]. Copyright 2022, American Chemical Society

4.2 Machine Learning Empowers Catalyst Design for Methanol Production from Carbon Dioxide

With the continuous advancement of algorithms, machine learning is increasingly being applied in electrocatalysis. Compared to traditional quantum chemical calculation methods, machine learning can predict catalytic performance at a lower computational and time cost. It not only efficiently predicts catalyst activity but also provides a scientific basis for catalyst design and optimization.

4.2.1 Catalyst Activity Prediction

In the study of electrocatalytic CO2reduction to methanol, accurately predicting catalyst activity is crucial for developing highly efficient catalysts. In recent years, researchers have developed various machine learning models to identify key descriptors for CO2conversion, such as binding energy, free energy, limiting potential, and electronegativity. Among these, binding energy is one of the most widely studied descriptors for predicting catalyst activity. Yohannes et al.[81]obtained 10,300 sets of adsorption energy data through DFT calculations and used this data to train machine learning regression models, with the extreme gradient boosting regression model (XGBR) performing the best. By predicting the binding energies of key intermediates (*CHO, *OH, *CO, *H) on transition metal nitride catalysts, the screening process for catalysts has been accelerated. Furthermore, feature importance analysis indicates that the group number of transition metals significantly affects the *OH binding energy, thereby determining the stability of the catalyst. In this study, DFT primarily revealed the excellent catalytic performance of Co-, Cr-, and Ti-based transition metal nitrides, while machine learning played a supporting and accelerating role in the screening process.
In addition to binding energy, free energy is also a key parameter for predicting catalytic activity. For example, Song et al.[82]used active learning combined with DFT calculations to achieve efficient screening of single-atom alloy catalysts. Through four rounds of active learning iterations, a high-precision machine learning model was successfully trained, with gradient boosting regression (GBR) and XGBR performing best. This model predicted the free energies of key surface intermediates (*CHO, *COH, *CO, *H) for 380 catalysts, significantly accelerating the catalyst screening process and ultimately identifying 8 high-performance catalysts. As shown in Figure 6a,the orange region represents the highly active area for CO2reduction, where Ti@Cu(100), Au@Pt(100), and Ag@Pt(100) exhibit the optimal catalytic activity for producing methanol or methane.
图6 (a) ECO2R催化剂活性筛选[82];(b) SAC@UiO-66-X催化剂上生成HCOOH、CO和CH4/CH3OH的计算极限电位[83]

Fig.6 (a) Screening of ECO2R catalyst activity[82]. Copyright 2024, American Chemical Society. (b) The calculated limiting potentials for the formation of HCOOH, CO, and CH4/CH3OH on the SAC@UiO-66-X catalyst[83]. Copyright 2024, American Chemical Society

Compared to binding energy and free energy predictions, the limiting potential can more intuitively reflect the catalyst's activity and has higher experimental comparability. Mou et al.[83]used machine learning to predict the limiting potential, enabling rapid screening of novel SACs@MOF catalysts. This study employed physicochemical features obtained from DFT calculations as input, training a series of GBR models to accurately predict the limiting potential of C1products (Figure 6b). Different background colors indicate catalyst grouping based on their preferred C1products, with yellow, blue, and pink corresponding to formic acid, carbon monoxide, methane, or methanol, respectively. The model identified W@UiO-66-H as the most favorable catalyst for methanol production. This model can be extrapolated to 48 new systems with X = CH3, OH, and NO2, and the reliability of the predicted results was verified through DFT calculations.
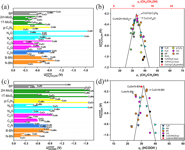
Predicting the limiting potential provides an efficient strategy for catalyst screening; however, constructing a universal descriptor to reveal the structure-activity relationship in complex electrocatalytic systems remains a key breakthrough for enhancing the predictive capability of catalyst activity. Ren et al.[84]used the GBR algorithm to assess feature importance and developed a general-purpose descriptor φ, which is composed of intrinsic atomic properties such as electronegativity, electron type, and quantity—properties that can be directly obtained in the laboratory—and is used to predict the catalytic activity of diatomic catalysts (DACs@2D). As shown in Figure 7a, c, the higher the onset potential (U HCOOH onset), i.e., the closer it is to 0, the better the catalytic activity typically is. Figures 7b and dillustrate the relationship between the onset potential and φ, with the volcano peak corresponding to the region of optimal catalytic activity. This method not only accelerates the discovery of high-performance catalysts but can also be extended to other electrocatalytic reaction fields such as nitrogen reduction and oxygen reduction.
图7 (a) DACs@2D对CH4/CH3OH产物的计算起始电位(UCH4/CH3OHonset);(b) UCH4/CH3OHonset与描述符φiφ1的火山图;(c) DACs@2D对HCOOH产物的计算起始电位(UHCOOHonset);(d) UHCOOHonset与描述符φ2的火山图[84]

Fig.7 (a) Calculated onset potentials of DACs@2D toward the CH4/CH3OH product (UCH4/CH3OHonset); (b) volcano plot for UCH4/CH3OHonset versus the descriptor φi and φ1; (c) calculated onset potentials of DACs@2D toward HCOOH product (UHCOOHonset); (d) volcano plot for UHCOOHonset versus the descriptor φ2[84]. Copyright 2022, American Chemical Society

4.2.2 Catalyst Design and Optimization

Catalyst activity prediction provides important guidance for the screening of efficient electrocatalytic CO2reduction catalysts for methanol production. However, to truly achieve the design and optimization of high-performance catalysts, further exploration and innovation are still needed. Machine learning can reveal the deep-level relationships between catalyst performance and its structural and electronic properties, offering a more efficient and precise pathway for catalyst optimization. In this context, Zhang et al.[85]conducted feature importance analysis on graphene-supported binary catalysts using machine learning (random forest regression), identifying electronegativity, atomic number, and the number of d-electrons as the three most critical factors influencing catalyst stability. These three factors aid in catalyst design and optimization, accelerating the optimization process. By analyzing the adsorption energies of key intermediates, exploring linear scaling relationships, and calculating the minimum potentials for different catalysts, catalyst screening was performed. The results indicated that CrRh and MnIr are most favorable for the efficient generation of CH3OH.
For multicomponent catalyst systems, Roy et al.[86]employed a high-throughput screening approach assisted by machine learning (Gaussian process regression, support vector regression, kernel ridge regression, random forest regression), combined with DFT calculations, to systematically screen alloy catalysts composed of Cu, Co, Ni, Zn, and Mg. Figure 8aclearly illustrates the workflow for screening active and selective catalysts, where the best-fit algorithm trained on the dataset was used to predict the adsorption energies of *H, *O, *CO, *HCO, *H2CO, and *H3CO intermediates. Ultimately, seven highly active catalysts were identified, among which the CuCoNiZn quaternary alloy exhibited excellent methanol selectivity. Similarly, as shown in Figure 8b,they predicted the adsorption energies of various high-entropy alloys composed of Cu, Co, Ni, Zn, and Sn in another study[87]. From 36,750 catalysts, 35 candidates with high activity and selectivity for methanol synthesis were screened out, providing important references for catalyst design.
图8 (a) 通过微观结构筛选催化剂流程图[86];(b) 通过不同吸附位点间的关联筛选催化剂流程图[87]

Fig. 8 (a) Flow chart of catalyst screening by microstructure[86]. Copyright 2021, American Chemical Society. (b) Flowchart of catalyst screening through the correlation between different adsorption sites[87]. Copyright 2022, American Chemical Society

In addition, Rittiruam et al.[88]used machine learning to predict adsorption energy (linear regression, Gaussian process regression, support vector regression, kernel ridge regression, gradient boosting regression, and extreme gradient boosting regression), efficiently screening out Cu-Mn-Ni-Zn high-entropy alloy catalysts superior to Cu(111) from 11,920 data sets. Combined with Gibbs free energy calculations, machine learning not only accelerated the screening process (reducing DFT calculation time by approximately 635,880 hours) but also revealed that Mn is the optimal active site, enabling rational design and precise control of the catalyst. The above research indicates that gradient boosting regression is the most widely used machine learning model for electrochemical CO2reduction to methanol. Machine learning has expanded beyond simple activity prediction to include rational catalyst design, providing a powerful tool for the development of highly efficient catalytic materials.
In terms of catalyst activity prediction, machine learning has achieved efficient prediction of intermediate adsorption energies, free energies, and limiting potentials by training models based on experimental data or DFT calculations. In particular, the development of data-driven universal descriptors has significantly improved the efficiency and accuracy of catalyst screening. Moreover, by integrating active learning strategies, machine learning can still efficiently optimize models under limited data conditions, accelerating the discovery of novel catalysts. Regarding catalyst design, machine learning further combines generative models to accomplish tasks such as catalyst composition design and optimization, providing design principles across different material categories for various catalytic systems. Therefore, the deep integration of machine learning with high-throughput computing will further promote the intelligent development of CO2reduction catalysts, enabling efficient and cost-effective optimization of catalytic systems.

5 Challenges and Prospects

From the perspective of market demand, with the continuous growth in global demand for sustainable energy and environmentally friendly chemicals, methanol, as an important chemical feedstock and a potential clean energy carrier, demonstrates broad application prospects. However, to achieve the transition from laboratory research to industrial-scale applications, numerous key technological bottlenecks still need to be addressed.

5.1 Enhancing catalyst stability

Currently, most catalyst performance tests are still conducted in static experimental systems, making it difficult to meet the industrial-level current density and long-term operational stability requirements. Under actual working conditions, catalysts may experience structural reconstruction, loss of active sites, or surface poisoning, leading to a decline in catalytic activity and severely limiting their industrial applications.
Therefore, enhancing the structural and performance stability of catalysts under industrial conditions is a key direction for achieving technological breakthroughs. We should fully utilize in-situ characterization techniques (such as in-situ X-ray absorption spectroscopy and in-situ Raman spectroscopy) to monitor in real time the dynamic evolution of the catalyst's structure and electronic state during the electrolysis process, thereby deeply revealing its deactivation mechanisms and providing theoretical guidance and technical support for subsequent material design and stability optimization.

5.2 In-depth analysis of the reaction mechanism

ECO2R involves complex multi-electron and multi-proton coupling processes, with numerous intermediate species and intricate reaction pathways. Currently, our understanding of electric fields and ionic effects at the reaction interface is insufficient, which limits the precise control of catalytic processes. To address this issue, we can combine advanced spectroscopic characterization, theoretical calculations, and machine learning to achieve a multidimensional analysis of reaction pathways, gain deeper insights into key reaction steps and rate-limiting processes, and thereby provide theoretical guidance for the rational design of highly efficient catalysts.

5.3 Optimize reactor structure

Laboratory studies are typically conducted under idealized conditions; however, in actual industrial processes, issues such as mass transfer efficiency, uneven current distribution, and energy conversion efficiency in electrolyzers can severely limit reaction performance and system stability. Therefore, in the future, reactor design should be optimized through cross-scale simulations combined with experimental validation. For example, constructing membrane electrode assemblies (MEAs) with excellent interfacial contact and ion transport properties, and developing flow-type electrolyzer structures, can reduce concentration polarization, enhance reaction rates and product selectivity, and comprehensively improve the energy efficiency and scalability of CO2electroreduction systems.

5.4 Machine Learning-Assisted Catalyst Design

Machine learning can accelerate the prediction and design of catalyst activity, but it is currently limited by data quality, model generalizability, and interpretability. The training data used mostly come from experiments, computations, and published literature, lacking high-quality, standardized databases. In the future, we should jointly build automated high-throughput experimental and computational platforms, promote data sharing, enhance the accuracy and applicability of machine learning models, and support catalyst design.
In addition to the challenges mentioned above, machine learning holds great research potential in ECO2R. Combining machine learning with high-throughput screening strategies will open up new avenues for catalyst design. It is worth noting that recent research has focused on embedding physical information and developing explainable tools to overcome the "black box" effect. In the future, as databases continue to improve and algorithms keep innovating, machine learning is expected to provide stronger theoretical and technical support for the commercialization and large-scale application of CO2reduction technologies.
[1]
Nitopi S, Bertheussen E, Scott S B, Liu X, Engstfeld A K, Horch S, Seger B, Stephens I E L, Chan K, Hahn C, Norskov J K, Jaramillo T F, Chorkendorff I. Chem. Rev., 2019, 119(12): 7610.

[2]
Wang X Y, Jiang Z W, Wang P, Chen Z, Sheng T, Wu Z C, Xiong Y J. Angew. Chem. Int. Ed., 2023, 62(48): e202313646.

[3]
Huang X F, Shen Q, Liu J B, Yang N J, Zhao G H. Energy Environ. Sci., 2016, 9(10): 3161.

[4]
Liu S, Fan Y P, Wang Y, Jin S, Hou M C, Zeng W J, Li K, Jiang T L, Qin L, Yan Z H, Tao Z L, Zheng X H, Shen C Y, Liu Z C, Ahmad T, Zhang K, Chen W. Nano Lett., 2022, 22(22): 9107.

[5]
Wang P P, Wang X, Chandra S, Lielpetere A, Quast T, Conzuelo F, Schuhmann W. Angew. Chem. Int. Ed., 2025, 64(12): e202422882.

[6]
Zhang Q, Wang S, Shi X R, Dong M, Chen J G, Zhang J, Wang J G, Fan W B. Appl. Catal. B Environ. Energy, 2024, 346: 123748.

[7]
Deng X, Zhang J, Qi K, Liang G, Xu F, Yu J. Nat. Commun., 2024, 15(1): 4807.

[8]
Liu S Q, Guo Z Y, Yang Y, Wu P D, Li Z Y, Wang K P, Zhang H, Li H, Yang S. Environ. Chem. Lett., 2024, 22(2): 463.

[9]
Suliman M H, Usman M, Al Naji H, Abdinejad M, Ullah N, Helal A, Abdelnaby M M, Díaz-Sainz G, Centi G. Carbon Capture Sci. Technol., 2025, 14: 100355.

[10]
Cai R M, Zhu H, Yang F, Ju M, Huang X Z, Wang J, Gu M D, Gao J L, Yang S H. Angew. Chem. Int. Ed., 2025, 64(15): e202424098.

[11]
Manjunath H, Singh C, Sudhakaran A, Torrejos R E, Norrrahim M N F, Samal A K, Jadhav A H. Sustain. Mater. Technol., 2025, 43: e01260.

[12]
Ahmad T, Liu S, Sajid M, Li K, Ali M, Liu L, Chen W. Nano Res. Energy, 2022, 1: e9120021.

[13]
Tian Z, Wang Y, Zhen X D, Liu Z B. Fuel, 2022, 320: 123902.

[14]
Seo M J, Jeong Y J, Ju S-B, Kim D M, Seo H R, Son H F, Sung B H, Park J B, Yeom S J. ACS Sustainable Chem. Eng., 2025, 13(7): 2694.

[15]
Chen W Y, Zuo J, Sang K, Qian G, Zhang J, Chen D, Zhou X G, Yuan W K, Duan X Z. Angew. Chem. Int. Ed., 2024, 63(1): e202314288.

[16]
Wu X Q, Xu S T, Zhang W N, Huang J D, Li J Z, Yu B W, Wei Y X, Liu Z M. Angew. Chem. Int. Ed., 2017, 56(31): 9167.

[17]
Zhang L L, Huang Q H, Li L F, Yan Y L, Yuan X Y, Liang H, Li S H, Wang B F, Qiao Z W. ACS EST Eng., 2024, 4(1): 115.

[18]
Chen Y X, Zhao C Q, Tan W, Gong S N, Pan H H, Liu X X, Huang S Y, Shi Q. Environ. Res., 2025, 267: 120747.

[19]
Zaza L, Rankovic B, Schwaller P, Buonsanti R. J. Am. Chem. Soc., 2025, 147(7): 6116.

[20]
Hu Y G, Yu C, Wang S, Wang Q, Reinhard M, Zhang G Z, Zhan F, Wang H, Skoien D, Kroll T, Su P Y, Li L, Chen A B, Liu G Y, Lv H F, Sokaras D, Gao C, Jiang J, Tao Y, Xiong Y J. Nat. Catal., 2025, 8: 126.

[21]
Yu H M, Wu H, Chow Y L, Wang J, Zhang J. Energy Environ. Sci., 2024, 17(15): 5336.

[22]
Sun M Z, Huang B L. Adv. Energy Mater., 2024, 14(13): 2400152.

[23]
Lee H, Park N, Kong T H, Kwon S, Shin S, Cha S G, Lee E, Cha J, Sultan S, Kwon Y. Nano Energy, 2024, 130: 110099.

[24]
Li K, Zhang S B, Zhang X L, Liu S, Jiang H S, Jiang T L, Shen C Y, Yu Y, Chen W. Nano Lett., 2022, 22(4): 1557.

[25]
Cheng T, Xiao H, Goddard W A III. J. Am. Chem. Soc., 2016, 138(42): 13802.

[26]
Vijay S, Ju W, Brückner S, Tsang S-C, Strasser P, Chan K. Nat. Catal., 2021, 4(12): 1024.

[27]
Yuan W Y, Ma Y Y, Wu H, Cheng L F. J. Energy Chem., 2022, 65: 254.

[28]
Hori Y, Murata A, Takahashi R. J. Chem. Soc., Faraday Trans. 1, 1989, 85(8): 2309.

[29]
Zhang Z K, Li S J, Rao Y F, Yang L, Yan W, Xu H. Chem. Eng. J., 2024, 479: 147376.

[30]
Gong Y, Wang Y, He T. Catal. Rev.-Sci. Eng., 2024, 66(5): 1828.

[31]
Sultan S, Lee H, Park S, Kim M M, Yoon A, Choi H, Kong T H, Koe Y J, Oh H S, Lee Z, Kim H, Kim W, Kwon Y. Energy Environ. Sci., 2022, 15(6): 2397.

[32]
Hori Y, Takahashi R, Yoshinami Y, Murata A. J. Phys. Chem. B, 1997, 101(36): 7075.

[33]
Lu J, Xia M, Liang J, Zou L, Liang X, Gao Y, Li F, Gao J, Liu J. Chem. Eng. J., 2025, 506: 160284.

[34]
Zhao Q, Zhang C, Hu R M, Du Z G, Gu J N, Cui Y, Chen X, Xu W J, Cheng Z J, Li S M, Li B, Liu Y F, Chen W H, Liu C T, Shang J X, Song L, Yang S B. ACS Nano, 2021, 15(3): 4927.

[35]
Nie X, Luo W, Janik M J, Asthagiri A. J. Catal., 2014, 312: 108.

[36]
Nie X W, Esopi M R, Janik M J, Asthagiri A. Angew. Chem. Int. Ed., 2013, 52(9): 2459.

[37]
Schouten K J P, Kwon Y, Van Der Ham C J M, Qin Z, Koper M T M. Chem. Sci., 2011, 2(10): 1902.

[38]
Zhai L, Cui C, Zhao Y, Zhu X, Han J, Wang H, Ge Q. J. Phys. Chem. C, 2017, 121(30): 16275.

[39]
Roy S, Li Z Y, Chen Z W, Mata A C, Kumar P, Sarma S C, Teixeira I F, Silva I F, Gao G H, Tarakina N V, Kibria M G, Singh C V, Wu J J, Ajayan P M. Adv. Mater., 2024, 36(13): 2300713.

[40]
Xu W, Chen J, Liu C, Xu J, Wang X, Li T, Wang J, Xiao R. Appl. Catal. B-Environ. Energy, 2025, 363: 124825.

[41]
Peterson A A, Abild-Pedersen F, Studt F, Rossmeisl J, Nrskov J K. Energy Environ. Sci., 2010, 3(9): 1311.

[42]
Dai Y Z, Li H, Wang C H, Xue W Q, Zhang M L, Zhao D H, Xue J, Li J W, Luo L H, Liu C X, Li X, Cui P X, Jiang Q, Zheng T T, Gu S Q, Zhang Y, Xiao J P, Xia C, Zeng J. Nat. Commun., 2023, 14(1): 3382.

[43]
Kuhl K P, Hatsukade T, Cave E R, Abram D N, Kibsgaard J, Jaramillo T F. J. Am. Chem. Soc., 2014, 136(40): 14107.

[44]
Back S, Kim H, Jung Y. ACS Catal., 2015, 5(2): 965.

[45]
Clark E L, Resasco J, Landers A, Lin J, Chung L T, Walton A, Hahn C, Jaramillo T F, Bell A T. ACS Catal., 2018, 8(7): 6560.

[46]
Wang Q N, Duan R, Feng Z, Zhang Y, Luan P, Feng Z, Wang J, Li C. ACS Catal., 2024, 14(3): 1620.

[47]
Huang K, Tang K, Wang M H, Wang Y J, Jiang T T, Wu M Z. Adv. Funct. Mater., 2024, 34(24): 2315324.

[48]
Yu J F, Sun X T, Tong X, Zhang J X, Li J, Li S Y, Liu Y F, Tsubaki N, Abe T, Sun J. Nat. Commun., 2021, 12: 7209.

[49]
Zhang J, Wang Y, Li Y. J. Am. Chem. Soc., 2024, 146(22): 14954.

[50]
Deng N P, Wang Y L, Feng Y, Shui Y W, Wang G, Kang W M, Cheng B W. J. Colloid Interface Sci., 2025, 678: 162.

[51]
Roy A, Jadhav H S, Gil Seo J. Electroanalysis, 2021, 33(3): 705.

[52]
Azenha C, Mateos-Pedrero C, Alvarez-Guerra M, Irabien A, Mendes A. Electrochim. Acta, 2020, 363: 137207.

[53]
Liu B Q, Yao X, Zhang Z J, Li C H, Zhang J Q, Wang P Y, Zhao J Y, Guo Y F, Sun J, Zhao C W. ACS Appl. Mater. Interfaces, 2021, 13(33): 39165.

[54]
Guo W W, Liu S J, Tan X X, Wu R Z, Yan X P, Chen C J, Zhu Q G, Zheng L R, Ma J Y, Zhang J, Huang Y Y, Sun X F, Han B X. Angew. Chem. Int. Ed., 2021, 60(40): 21979.

[55]
Li P S, Bi J H, Liu J Y, Zhu Q G, Chen C J, Sun X F, Zhang J F, Han B X. Nat. Commun., 2022, 13: 1965.

[56]
Peng J Y, Zhang Q, Zhou Y, Yang X H, Guo F, Xu J Q. J. Energy Chem., 2023, 85: 108.

[57]
Hussain N, Abdelkareem M A, Alawadhi H, Elsaid K, Olabi A. Chem. Eng. Sci., 2022, 258: 117757.

[58]
Hussain N, Abdelkareem M A, Alawadhi H, Begum S, Elsaid K, Olabi A. J. Power Sources, 2022, 549: 232128.

[59]
Banerjee A, Jain S, Dastider S G, Biswas R, Das S, Mondal K, Vishal V, Lahiri G K, Dutta A. Small, 2025, 21(7): 2406765.

[60]
Bagchi D, Raj J, Singh A K, Cherevotan A, Roy S, Manoj K S, Vinod C P, Peter S C. Adv. Mater., 2022, 34(19): 2109426.

[61]
Lin X, Liu X L, Zhao Y, Lan J, Jiang K, Liu Z X, Xie F, Tan Y W. J. Energy Chem., 2022, 71: 514.

[62]
Biswas S, Tanaka T, Song H H, Ogami M, Shingyouchi Y, Hossian S, Kamiyama M, Kosaka T, Nakatani R, Niihori Y, Das S, Kawawaki T, Jiang D E, Negishi Y. Small Sci., 2025, 5(2): 2400465.

[63]
Kong S Y, Lv X M, Wang X, Liu Z Z, Li Z C, Jia B Q, Sun D, Yang C, Liu L J, Guan A X, Wang J C, Zheng G F, Huang F Q. Nat. Catal., 2023, 6(1): 6.

[64]
Payra S, Shenoy S, Chakraborty C, Tarafder K, Roy S. ACS Appl. Mater. Interfaces, 2020, 12(17): 19402.

[65]
Zhu N N, Zhang X Y, Chen N N, Zhu J H, Zheng X Y, Chen Z, Sheng T, Wu Z C, Xiong Y J. J. Am. Chem. Soc., 2023, 145(45):24852.

[66]
Wang L W, Xu Y D, Chen T, Wei D L, Guo X F, Peng L M, Xue N H, Zhu Y, Ding M N, Ding W P. J. Catal., 2021, 393: 83.

[67]
Huang W J, Yuan G Q. Electrochem. Commun., 2020, 118: 106789.

[68]
Zhang G, Wang T, Zhang M M, Li L L, Cheng D F, Zhen S Y, Wang Y T, Qin J, Zhao Z J, Gong J L. Nat. Commun., 2022, 13: 7768.

[69]
Chongdar S, Chatterjee R, Reza S, Pal S, Thapa R, Bal R, Bhaumik A. Adv. Energy Mater., 2025, 15(15): 2403809.

[70]
Akter T, Kuster C M, Padovan Q A, Odoh S O, Barile C J. ACS Appl. Mater. Interfaces, 2024, 16(48): 66230.

[71]
Rooney C L, Lyons M, Wu Y S, Hu G F, Wang M Y, Choi C, Gao Y Z, Chang C W, Brudvig G W, Feng Z X, Wang H L. Angew. Chem. Int. Ed., 2024, 63(2): e202310623.

[72]
Yang H Z, Guo N, Xi S B, Wu Y, Yao B Q, He Q, Zhang C, Wang L. Nat. Commun., 2024, 15: 7703.

[73]
Su J J, Musgrave C B III, Song Y, Huang L B, Liu Y, Li G, Xin Y E, Xiong P, Li M M, Wu H R, Zhu M H, Chen H M, Zhang J Y, Shen H C, Tang B Z, Robert M, Goddard W A III, Ye R Q. Nat. Catal., 2023, 6(9): 818.

[74]
Xin Y E, Musgrave C B III Su J J, Li J T, Xiong P, Meng-Jung Li M, Song Y, Gu Q F, Zhang Q, Liu Y, Guo W H, Cheng L, Tan X F, Jiang Q, Xia C, Tang B Z, Goddard W A III, Ye R Q. Angew. Chem. Int. Ed., 2025, 64(8): e202420286.

[75]
Xu L, Papanikolaou K G, Lechner B A J, Je L, Somorjai G A, Salmeron M, Mavrikakis M. Science, 2023, 380(6640): 70.

[76]
Yao K L, Li J, Ozden A, Wang H B, Sun N, Liu P Y, Zhong W, Zhou W, Zhou J S, Wang X, Liu H Q, Liu Y C, Chen S H, Hu Y F, Wang Z Y, Sinton D, Liang H Y. Nat. Commun., 2024, 15: 1749.

[77]
Li G, Ma Z R, Lu F, Peng S P, Tong Z W. Mater. Rep., 2025, 39(01): 160

( 李歌, 马子然, 闾菲, 彭胜攀, 佟振伟. 材料导报, 2025, 39(01): 160).

[78]
Butler K T, Davies D W, Cartwright H, Isayev O, Walsh A. Nature, 2018, 559(7715): 547.

[79]
Zhang N, Yang B P, Liu K, Li H M, Chen G, Qiu X Q, Li W Z, Hu J H, Fu J W, Jiang Y, Liu M, Ye J H. Small Methods, 2021, 5(11): 2100987.

[80]
Mai H X, Le T C, Chen D H, Winkler D A, Caruso R A. Chem. Rev., 2022, 122(16): 13478.

[81]
Yohannes A G, Lee C, Talebi P, Mok D H, Karamad M, Back S, Siahrostami S. ACS Catal., 2023, 13(13): 9007.

[82]
Song X, Pu P X, Feng H S, Ding H, Deng Y, Ge Z, Zhao S Q, Liu T Y, Yang Y S, Wei M, Zhang X. ACS Appl. Mater. Interfaces, 2024, 16(41):55416.

[83]
Mou L H, Du J H, Li Y B, Jiang J, Chen L J. ACS Catal., 2024, 14(17): 12947.

[84]
Ren C J, Lu S H, Wu Y L, Ouyang Y X, Zhang Y H, Li Q, Ling C Y, Wang J L. J. Am. Chem. Soc., 2022, 144(28): 12874.

[85]
Zhang Y W, Yao Z Q, Yang Y M, Zhai X W, Zhang F, Guo Z R, Liu X H, Yang B, Liang Y X, Ge G X, Jia X. Chem. Sci., 2024, 15(33): 13160.

[86]
Roy D, Mandal S C, Pathak B. ACS Appl. Mater. Interfaces, 2021, 13(47): 56151.

[87]
Roy D, Mandal S C, Pathak B. J. Phys. Chem. Lett., 2022, 13(25): 5991.

[88]
Rittiruam M, Khamloet P, Ektarawong A, Atthapak C, Saelee T, Khajondetchairit P, Alling B, Praserthdam S, Praserthdam P. Appl. Surf. Sci., 2024, 652: 159297.

Outlines

/