Home Journals Progress in Chemistry
Progress in Chemistry

Abbreviation (ISO4): Prog Chem      Editor in chief: Jincai ZHAO

About  /  Aim & scope  /  Editorial board  /  Indexed  /  Contact  / 
Review

Research Progress of High Temperature CO2 Corrosion Inhibitors

  • Wenying Yuan 1 ,
  • Shuang Jiang 1, 2 ,
  • Xiaoou Zhang 1 ,
  • Tianyong Zhang 1 ,
  • Ruitao Wang , 1, 2, 3, * ,
  • Huaiyuan Wang , 1, 2, 3, *
Expand
  • 1 School of Chemical Engineering and Technology, Tianjin University, Tianjin 300350, China
  • 2 Tianjin Key Laboratory of Chemical Process Safety and Equipment Technology, Tianjin University, Tianjin 300072, China
  • 3 Ningbo Key Laboratory of Green Petrochemical Carbon Emission Reduction Technology and Equipment, Ningbo 315200, China
* (Ruitao Wang);
(Huaiyuan Wang)

Received date: 2025-04-21

  Revised date: 2025-07-08

  Online published: 2025-10-15

Supported by

National Natural Science Foundation of China(22378309)

Abstract

Carbon dioxide corrosion is one of the most common corrosion types of steel materials in the exploitation of oil and gas fields. Surprisingly, the corrosion caused by carbonic acid at the same pH is even more severe than hydrochloric acid, which has become an important factor limiting the development of the oil and gas industry. The use of corrosion inhibitors is the most economical and effective method to control CO2 corrosion. With the development of oil and gas drilling operations to deeper wells, CO2 corrosion under high temperature and pressure environment becomes increasingly prominent. This paper introduces the mechanism of high-temperature CO2 corrosion of carbon steel. The paper reviews the domestic and foreign research on corrosion inhibitors for high temperature CO2 and high S environment, mainly including imidazolines, quaternary ammonium salts, natural extracts and other corrosion inhibitors and analyzes corresponding characteristics. Finally, the future development direction of high temperature CO2 inhibitor was prospected.

Contents

1 Introduction

2 Corrosion mechanism of carbon dioxide on carbon steel at high temperature

3 Types of high-temperature CO2 corrosion inhibitors

3.1 Imidazoline high-temperature corrosion inhibitor

3.2 Quaternary ammonium salt high-temperature corrosion inhibitor

3.3 Natural extract high-temperature corrosion inhibitor

4 High temperature corrosion inhibitor in high S environment

5 Conclusion and outlook

Cite this article

Wenying Yuan , Shuang Jiang , Xiaoou Zhang , Tianyong Zhang , Ruitao Wang , Huaiyuan Wang . Research Progress of High Temperature CO2 Corrosion Inhibitors[J]. Progress in Chemistry, 2025 , 37(10) : 1428 -1437 . DOI: 10.7536/PC20250413

1 Introduction

Pipes and casings play a crucial role in oil and gas production, and the sustainable production of reservoirs heavily relies on the integrity of these downhole tubular strings. Corrosion is one of the major threats to well integrity, potentially leading to production shutdowns, explosions, and high-risk accidents[1]. Given the critical importance and sensitivity of oil wells as the core of upstream oil and gas production, any loss or production halt directly impacts downstream processes. Meanwhile, reports of industrial accidents and environmental disasters caused by tubing corrosion are not uncommon, resulting in negative impacts and highlighting the significance of this issue.
Carbon dioxide (CO2) corrosion is one of the most prevalent and damaging types of corrosion in oil and gas production wells, and it is a primary cause of tubing failure in the industry. This type of corrosion occurs when steel-based structural materials come into contact with aqueous solutions containing CO2, and is also referred to as “sweet corrosion.” The core hazard of this corrosion lies in its propensity to induce localized corrosion (such as pitting and terraced erosion) on the inner walls of steel pipelines, leading to localized thinning or even perforation of the pipe wall. This can ultimately result in pipeline leaks, releasing flammable, explosive, or toxic hydrocarbon fluids and posing a serious threat to safe production and environmental protection. The 2012 Global Corrosion Survey by NACE International indicates that metal corrosion causes direct economic losses of up to US$2.2 trillion annually[2], highlighting its enormous economic burden. Focusing on China, the comprehensive research report “The Cost of Corrosion in China” notes that, according to estimates, the total cost of corrosion in China in 2014 accounted for approximately 3.34% of the country’s gross domestic product (GDP)[3]. Among these, the petroleum and chemical industries are particularly hard-hit by corrosion, accounting for 31% of the total losses. CO2 corrosion in oil and gas extraction and gathering systems, as an important component of corrosion in the petrochemical sector, is undoubtedly a key factor contributing to this substantial cost. Painful lessons from engineering practice are all too common: for example, a high-temperature, high-pressure gas field in the South China Sea experienced severe localized corrosion and perforation of subsea flowlines due to a highly CO2- and chloride-ion-rich environment, resulting in production interruptions and costly underwater repair operations. In the Tarim Oilfield, certain high-producing gas wells have seen the service life of their tubing strings fall far short of design expectations due to CO2 corrosion, with frequent workover operations significantly increasing development costs. Despite these severe challenges, steel materials, owing to their superior overall performance, remain the material of choice for manufacturing oil well pipelines. Consequently, as long as oil and gas production activities continue, CO2 corrosion will remain an unavoidable engineering reality in the foreseeable future. Moreover, with the large-scale application and promotion of CO2 enhanced oil recovery (EOR) technology worldwide[4], the high concentrations of CO2 injected into reservoirs exacerbate the corrosive environment in downhole and surface gathering systems during the production phase, making the risks of material failure and economic losses caused by CO2 corrosion increasingly pronounced and placing more urgent demands on the development of efficient, long-life corrosion protection technologies.
Adding corrosion inhibitors is the most cost-effective method for preventing or slowing down corrosion, and has evolved into a commonly used technical approach in the field of metal corrosion protection, with organic corrosion inhibitors generally exhibiting better inhibition performance[5].In industrial applications, CO2corrosion inhibitor formulations typically contain a primary active ingredient, blended with surfactants, synergists, and other compounds. There are also research reports on the synergistic effects of multiple corrosion inhibitors in inhibiting corrosion. The adsorption mechanism of corrosion inhibitors on steel substrates primarily involves physicochemical interactions between polar functional groups and the metal interface: their molecular structures generally contain electron-donating groups such as N, O, and S, or aromatic rings with π-electron conjugated systems, which can be firmly anchored to the metal surface via coordination bonds or electrostatic adsorption. At the same time, the hydrophobic chain segments of the molecules (such as alkyl or phenyl groups) are oriented and arranged at the solution interface, forming a dense monomolecular barrier layer. This hydrophobic barrier effectively inhibits the diffusion and migration of corrosive media (such as Cl-, H2O, O2, etc.) to the metal/solution interface through steric hindrance, thereby significantly slowing down the electrochemical corrosion process[6].
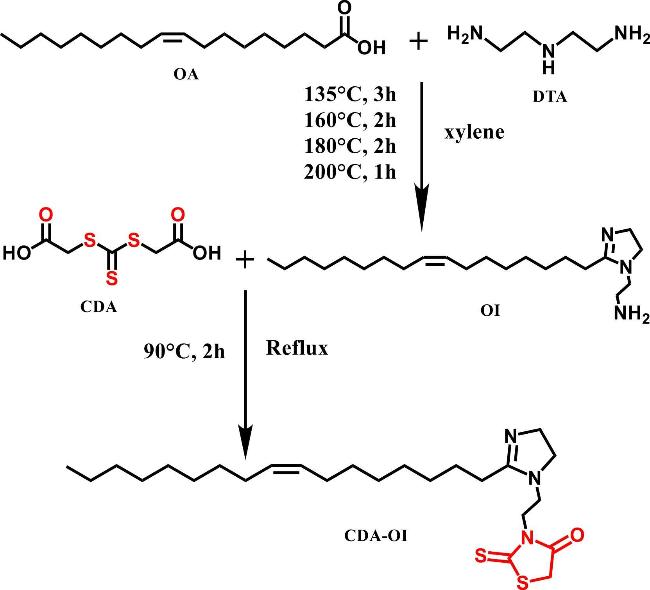
Investigations show that the CO2corrosion inhibitors currently in widespread use are primarily designed for operating conditions ranging from ambient to moderate temperatures (typically wellbore temperatures ≤90 ℃), such as in shallow wells. Within this temperature range, the molecular structure of the inhibitors remains stable, allowing them to adsorb effectively onto the metal surface to form a protective film, thereby ensuring high corrosion inhibition efficiency[7-9]. However, when the temperature exceeds 90 ℃, the situation deteriorates significantly. On the one hand, the inhibitor molecules themselves may become thermodynamically unstable: for example, the most common imidazoline-based inhibitors undergo ring-opening reactions at high temperatures between 90 and 150 ℃, forming aminoamines, while their amide groups are prone to hydrolysis, producing acids and diethylenetriamine[10]. This leads to the destruction of the inhibitor’s molecular structure and the loss of its corrosion-inhibiting function (Fig. 1). On the other hand, under high-temperature conditions, the growth rate of the FeCO3corrosion product layer (scaling layer) formed on the steel surface accelerates, and the layer becomes more compact, making it difficult for inhibitor molecules to penetrate or stably adsorb onto this layer, exhibiting incompatibility with the corrosion product layer[11]. These two factors act in concert, causing the corrosion inhibition efficiency of conventional inhibitors to decline sharply at high temperatures.
图1 咪唑啉的两步水解:(步骤1)咪唑啉1开环生成氨基胺2; (步骤2)酰胺基裂解生成化合物3和化合物4123的伯胺和仲胺基团可被化合物4质子化形成有机盐5[10]

Fig.1 Two-step hydrolysis of imidazoline: (Step 1) Imidazoline 1

This high-temperature failure issue poses a severe challenge to the petroleum industry. As easily accessible shallow reserves are depleted, exploration and development activities are increasingly shifting to deeper formations characterized by higher temperatures (typically >150°C), higher pressures, and higher salinities. Conventional (low-temperature) corrosion inhibitors are designed with molecular structures optimized for solubility, dispersion, and adsorption kinetics at lower temperatures; however, their molecular frameworks often lack sufficient thermal stability at elevated temperatures. In contrast, high-temperature corrosion inhibitors must exhibit enhanced thermal stability (with molecular structures resistant to thermal decomposition), stronger adsorption capacity (allowing for robust adsorption even under high-temperature, high-flow conditions without easy desorption), and good compatibility with high-temperature FeCO3layers (enabling effective or synergistic film formation on dense scaling layers). Therefore, the development of CO2corrosion inhibitors that can maintain high efficiency and long-term performance in the harsh operating environments of deep wells—characterized by high temperature, high pressure, and high salinity—is not only imperative but also presents significant scientific and engineering challenges due to the multiple complex factors that must be overcome.
In light of the above, this article elaborates on the high-temperature CO2 corrosion mechanism of carbon steel, reviews the latest domestic and international advances in corrosion inhibitors for high-temperature CO2 and S-containing environments, and focuses on inhibitors such as imidazoline-based, quaternary ammonium salt-based, and naturally derived extract-based inhibitors, analyzing the characteristics of each type. It also provides a forward-looking perspective on the prospects and future development directions of high-temperature CO2 corrosion inhibitors.

2 Corrosion Mechanism of CO2 on Carbon Steel at High Temperatures

With the large-scale application of CO2-enhanced oil recovery technology and the exploitation of numerous carbonate reservoirs, the hazards of CO2corrosion have become increasingly significant. Many scholars have conducted extensive research on the CO2corrosion mechanisms of carbon steel and have proposed a variety of mechanisms[12-14].However, most of these mechanisms are either not widely accepted or apply only to specific conditions in the CO2corrosion process, and the exact mechanisms controlling CO2corrosion remain a subject of debate. The generally accepted CO2corrosion mechanism is as follows.
CO2(g) ↔ CO2(aq)
CO2(aq) + H2O(l) ↔ H2CO3(aq)
H2CO3(aq) + e- → H+(aq) + HCO-3(aq) (pH 4~6)
HCO-3(aq) + e- → H+(aq) + CO2-3(aq) (pH ≥ 6)
2H+(aq) + 2 e- → H2(g) (pH < 4)
Fe2+(aq) + CO2-3(aq) → FeCO3(s)
feCO3(s)continuously deposits on the steel surface to form a protective layer, thereby reducing the corrosion rate to some extent. However, under complex environmental conditions in actual production, the corrosion product layer is unstable and tends to form a loose structure, leading to localized corrosion that can cause pipeline perforation. This type of corrosion is particularly hazardous in production environments where the water contains Cl- [15].

3 High-temperature CO2Types of Corrosion Inhibitors

3.1 Imidazoline High-Temperature Corrosion Inhibitors

Imidazoline is an N-heterocyclic organic compound composed of a nitrogen-containing five-membered ring, a hydrophilic side chain R2,and a longer hydrophobic alkyl chain R1,with the basic structure shown in Figure 2.The imidazoline molecule can form coordination bonds with the vacant orbitals of Fe atoms on the steel surface via the N atom on its five-membered ring, while the hydrophobic alkyl chain extends into the solution to form a hydrophobic barrier that isolates the metal substrate from the corrosive medium, thereby inhibiting corrosion. The hydrophilic side chain enhances the solubility of the imidazoline molecule, enabling it to adapt to different operating conditions. Since the 1940s, low-temperature CO2 corrosion inhibitors based on the imidazoline structure have been recognized and are the most widely used.
图2 咪唑啉及其衍生物的基本结构

Fig.2 Basic structure of imidazoline and its derivatives

Jovancicevic et al.[16]investigated the effect of hydrocarbon chain length on the inhibition behavior of imidazoline derivatives at high temperatures. At 150 ℃, a CO2 partial pressure of 15 psi, and a rotational speed of 6000 r/min, 50 mg/L of imidazoline reduced the corrosion rate of C1018 steel to 0.0508 mm/a. The corrosion inhibition efficiency of imidazoline compounds increases with increasing alkyl chain length. Longer alkyl chains promote the formation of larger, more stable lamellar micelles, which exhibit stronger interactions with the steel surface. This finding provides a theoretical basis for the application of imidazoline compounds in high-temperature CO2-corrosive environments.
Swidzinski et al.[17]reported on the performance of an imidazoline-based CO2corrosion inhibitor on C1018 carbon steel in a multiphase flow loop, to investigate the effect of gas flow velocity on the inhibitor's performance. At 95 ℃ and a CO2partial pressure of 0.8 MPa, the flow velocity of the brine–oil mixture could reach 25 m/s, and the performance of a 200 mg/L imidazoline inhibitor improved with increasing flow velocity. At 23 m/s, the corrosion rate was 1.143 mm/a, whereas at 15 m/s, the corrosion rate was 1.7018 mm/a. Over time, the inhibitor's effectiveness also improved. Imidazoline can adsorb immediately onto the steel surface to form a protective film, indicating that the corrosion rate decreases promptly after the inhibitor is injected. When the inhibitor concentration is approximately 100 mg/L and the gas velocity is 23 m/s, the corrosion rate is less than 0.0508 mm/a, with a corrosion inhibition efficiency of 96%. This study highlights the adaptability and high efficiency of imidazoline in dynamic fluid environments.
Yang et al.[18]found that Gemini imidazoline also exhibits good inhibition against high-temperature CO2corrosion. At a concentration of 500 mg/L, researchers conducted bubble cup tests, and the results showed that in a brine solution at 100 ℃ with a CO2partial pressure of 15 psi, the corrosion rate of C1018 carbon steel was 0.05 mm/a, demonstrating excellent high-temperature corrosion inhibition performance. Such gemini molecular structures enhance adsorption stability on metal surfaces by increasing intermolecular forces, making them one of the important directions for optimizing imidazoline structures.
Han Mina et al.[19]developed a thiourea-based dimeric acid imidazoline high-temperature solid corrosion inhibitor. Through orthogonal experiments, the synthesis conditions of the main agent were optimized. For N80 steel, dynamic coupon weight-loss tests were conducted in a high-pressure reactor under experimental conditions of a main agent concentration of 50 mg/L, a temperature of 90 ℃, and a CO2partial pressure of 0.58 MPa, yielding a corrosion inhibition rate of 85.4%. The resulting solid corrosion inhibitor was subjected to a six-month field trial in the Yulin Gas Field, where the corrosion inhibition rate remained above 88.6%, meeting the high-temperature corrosion requirements of the gas field and demonstrating promising application prospects.
Chen Zhan et al.[20]prepared furfurylidene imidazoline oleamide, furfurylidene imidazoline lauramide, and thienyl imidazoline thiourea. A long hydrophobic chain was employed to enhance hydrophobicity, and the additional N atoms, amide functional groups, and thiourea components incorporated into the original imidazole structure all increased the adsorption sites on the carbon steel surface. Corrosion inhibition tests showed that in a 3% NaCl solution containing 1 MPa CO2 at 120 ℃, the static corrosion inhibition efficiencies of the three inhibitors at a concentration of 100 mg/L for N80 steel were 77.98%, 67.47%, and 86.75%, respectively, indicating that functionalization modifications can further enhance the corrosion inhibition performance of imidazolines under high-temperature and high-salt conditions.
Li et al.[21]investigated the synergistic corrosion inhibition effect of imidazoline and thiourea, using electrochemical impedance spectroscopy to study the corrosion behavior of carbon steel in a simulated solution (Figure 3). The synergistic effect of the two inhibitors significantly reduced the migration of corrosive anions such as Cl-and S2-to the steel surface, thereby slowing down the pitting corrosion process. The results showed that the composite inhibitor achieved a maximum corrosion inhibition rate of 95.67% for Q235 steel, which was superior to the performance of imidazoline or thiourea used alone, fully demonstrating the synergistic corrosion inhibition effect of imidazoline and thiourea and providing new insights into the multifunctionalization of imidazoline-based corrosion inhibitors.
图3 Q235钢在含和不含复合缓蚀剂的封闭溶液中的电化学阻抗谱[21]

Fig.3 Electrochemical impedance spectra of the Q235 steel tested in the occluded solution with and without compound corrosion inhibitors[21]

Lei et al.[22]Using fatty acids, o-phenylenediamine, and 1,6-dichlorohexane as raw materials, a novel bis-benzimidazole derivative was synthesized and compounded with the surfactant AEO-5 to yield a composite corrosion inhibitor with outstanding inhibitory performance. In a 1% NaCl solution at 80 ℃ and 0.4 MPa, a corrosion inhibitor concentration of 100 mg/L was added, and weight-loss coupon tests and potentiodynamic polarization curve measurements were conducted, yielding inhibition efficiencies of 90.12% and 98%, respectively. Corrosion morphology analysis indicated that the inhibitor can effectively adsorb onto the N80 carbon steel surface, forming a dense, uniform barrier layer. This barrier layer effectively prevents corrosive media from attacking the N80 carbon steel substrate.
Borko et al.[23]reported that oleic acid imidazoline and CeCl3exhibit a synergistic corrosion-inhibiting effect on AISI 1018 carbon steel in saturated CO2salt solutions. Most testing methods indicate that a mixture of 15 mg/L oleic acid imidazoline and 15 mg/L CeCl3yields the lowest corrosion rate (0.03–0.05 mm/a) and the highest corrosion inhibition efficiency (94.92%–97.94%). In this system, oleic acid imidazoline forms a porous film on the steel surface via physical adsorption and chemical bonding, while CeCl3is transformed into cerium carbonate during the corrosion process and fills the pores of the film, thereby making the protective film formed by the corrosion inhibitor molecules more compact. In addition, Pejic et al.[24]also explored the synergistic mechanism of inorganic–organic corrosion inhibitors, combining cysteine with CeCl3to develop a novel green corrosion inhibitor. This system has demonstrated excellent performance in corrosion protection for AA7049 aluminum alloy. The above research results not only validate the synergistic effect between inorganic salts and organic corrosion inhibitors but also provide new research ideas and technical pathways for developing efficient and environmentally friendly corrosion inhibitor systems.
Tang Zewei et al.[25]have developed a corrosion and scale inhibitor, CQ-HS, whose main components include thiourea-imidazole-based benzoic acid, phosphate ester-imidazoline, quaternary ammonium salts of quinoline, and polyepoxysuccinate. In a supercritical CO2environment (80 ℃, CO2partial pressure of 9 MPa), CQ-HS can significantly increase the self-corrosion potential of carbon steel and inhibit the corrosion process: at an addition level of 200 mg/L, the corrosion rate drops below 0.076 mm/a; when the CO2partial pressure is ≤3.0 MPa, a dose of 100 mg/L can further reduce the corrosion rate to 0.068 mm/a. This agent also exhibits highly effective scale-inhibiting performance against barium sulfate and strontium sulfate scales in produced water from oilfields, achieving a scale-inhibition rate of over 80% at a field application dose of 200 mg/L, thereby successfully realizing a synergistic function of corrosion inhibition and scale prevention. It is worth noting that thiazole derivatives[26]and pyrimidine derivatives[27],among other sulfur-containing organic compounds, have also been shown to possess excellent corrosion-inhibiting properties in similar supercritical CO2environments.
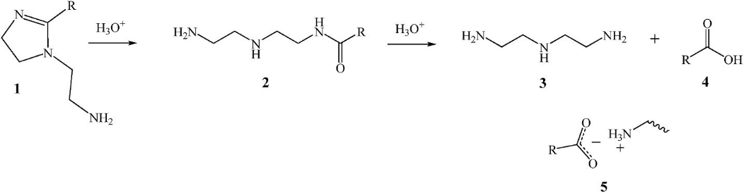
Peng et al.[28]reported a novel imidazoline derivative corrosion inhibitor (CDA-OI), which is synthesized by modifying oleic acid imidazoline (OI) with bis(carboxymethyl) trithiocarbonate (CDA), as shown in Figure 4.The corrosion inhibition effect of CDA-OI on carbon steel was evaluated through electrochemical tests, surface analysis, and weight-loss tests in a CO2environment. The results indicate that the inhibition performance of CDA-OI is significantly enhanced. Under supercritical CO2conditions (8 MPa CO2, 90 ℃, 1.5 m/s), the corrosion rate of carbon steel is only 0.0791 mm/a, and the corrosion inhibition efficiency of CDA-OI (0.35 mmol/L) reaches 99.67%, demonstrating a remarkable inhibition effect. Further quantum chemical calculations reveal that the CDA-OI molecule possesses multiple potential adsorption sites, facilitating the formation of stable coordination or antibonding interactions with the steel surface via electrophilic or nucleophilic reaction mechanisms. Combined with first-principles computational results, it can be confirmed that the imidazoline ring and the five-membered heterocyclic ring in the CDA-OI molecule undergo chemical adsorption onto the carbon steel surface through N atoms and S atoms, respectively, thereby achieving efficient corrosion protection. The innovation of this study lies in the introduction of sulfur-containing heterocycles through molecular structure design, which not only enhances the adsorption capacity of imidazoline-based inhibitors but also expands their application potential in supercritical CO2corrosion environments, providing new ideas and theoretical foundations for the development of efficient and environmentally friendly corrosion inhibitors.
图4 CDA-OI缓蚀剂的合成路线[28]

Fig.4 Synthesis route of CDA-OI corrosion inhibitor[28]

In recent years, imidazoline-based high-temperature corrosion inhibitors have made numerous innovative advances in structural design and functional expansion. First, by extending the hydrophobic alkyl chain or introducing a dual-imidazoline structure (such as Gemini imidazolines), the adsorption capacity of inhibitor molecules on metal surfaces and the stability of the protective film have been significantly enhanced, thereby improving their corrosion inhibition efficiency under high-temperature conditions[18]. Second, functional modification has become a research hotspot; for example, introducing functional groups such as thiourea, amide, and thiophene into the imidazoline structure[19-20]not only increases the interaction sites with the metal surface but also improves solubility and dispersibility in complex media such as high-salt and high-acid environments. In addition, the combined use of imidazolines with other corrosion-inhibiting components (such as CeCl3and thiourea) has demonstrated a significant synergistic effect, effectively suppressing the concurrent occurrence of pitting and uniform corrosion[23]. Innovations in formulation form are also noteworthy; for instance, the development of solid imidazoline-based corrosion inhibitors has addressed the issue of traditional liquid inhibitors being prone to volatilization and instability at high temperatures, thereby expanding their application potential in extreme operating conditions[19]. These structural and functional improvements have laid a solid foundation for the practical application of imidazoline-based corrosion inhibitors in high-temperature, high-pressure CO2corrosion environments.
The above structural optimization, functional compounding, and morphological innovation have significantly enhanced the performance and applicability of imidazoline-based corrosion inhibitors in high-temperature CO2corrosion environments. However, as oil and gas resource development increasingly extends into deep wells, high-pressure gas fields, and other high-temperature, high-pressure operating conditions, imidazoline-based corrosion inhibitors still face challenges in terms of performance stability under extreme conditions, film durability, and adaptability to real fluid dynamic environments. Future research should focus on the behavior of corrosion inhibitors under even higher temperatures (>150 °C) and higher CO2partial pressures (>1 MPa), systematically evaluating their thermal decomposition trends, adsorption kinetics, and evolution of film structures at elevated temperatures. At the same time, experimental studies under realistic fluid dynamic turbulent environments are urgently needed to explore the adsorption mechanisms of corrosion inhibitors under dynamic conditions such as high flow rates and multiphase flows, as well as the ability of the inhibitor films to resist hydrodynamic erosion. In addition, by integrating molecular simulations, surface characterization, and electrochemical techniques, an in-depth analysis of the interfacial interaction mechanisms of corrosion inhibitor molecules in high-temperature, high-pressure, and complex media will provide both theoretical support and technical pathways for developing novel imidazoline-based corrosion inhibitors with higher thermal stability, stronger adsorption capacity, and superior anti-erosion performance. This will further promote their efficient application in high-temperature CO2corrosion protection in the oil and gas industry.

3.2 Quaternary ammonium salt high-temperature corrosion inhibitors

Quaternary ammonium salt corrosion inhibitors are another important class of film-forming adsorptive CO2corrosion inhibitors. Similar to imidazoline compounds, the N atom in quaternary ammonium salts serves as the active center for adsorption onto the steel surface, while the alkyl chains extend into the solution to form a hydrophobic layer that repels the ingress of corrosive media. Compared with imidazoline corrosion inhibitors, they are more cost-effective and affordable film-forming inhibitors, and their water solubility is improved after salt formation.
Yin Chengxian et al.[29]A class of bicyclic imidazolinium quaternary ammonium salts was synthesized using different dicarboxylic acids and diethylenetriamine as raw materials, with the imidazolinium quaternary ammonium salt synthesized from dimer acid exhibiting the best corrosion inhibition performance. Using N80 steel as the test material, a weight-loss test was conducted in a dynamic high-temperature, high-pressure autoclave. In a corrosive medium containing saturated CO2 at 120 ℃ and a rotation speed of 60 r/min, the corrosion inhibition rate of this inhibitor can reach over 80%. For the first time, the molecular stability of imidazolinium quaternary ammonium salts was enhanced through a bicyclic structural design, significantly improving their corrosion inhibition efficiency in a high-temperature CO2 corrosive environment at 120 ℃.
Li Jiyong et al.[30]Using low-cost raw materials (oleic acid, diethylenetriamine, and dichloromethane), they synthesized an imidazoline quaternary ammonium salt and further reacted it with a thiourea group to obtain a thiourea-functionalized imidazoline quaternary ammonium salt (S-WM). In a high-temperature (90 ℃) and highly mineralized simulated oilfield water environment, when the S-WM corrosion inhibitor is added at a concentration of 1000 mg/L, it can form a dense protective film on the metal surface, achieving a corrosion inhibition efficiency of 91%. This inhibitor primarily suppresses the anodic reaction and effectively addresses the poor film-forming properties and insufficient corrosion inhibition performance of traditional imidazoline inhibitors in harsh extraction environments characterized by high temperature and high salinity, thereby significantly enhancing the corrosion protection performance of metals.
Liu Dongmei et al.[31]studied an imidazoline quaternary ammonium salt corrosion inhibitor that significantly enhances high-temperature resistance through an innovative compounding system (potassium iodide + methylbutynol). At a temperature of 170 ℃, a CO2 partial pressure of 2 MPa, and a concentration of 100 mg/L, the inhibitor achieves a corrosion inhibition rate of 83.5% for Q235 steel; when the concentration is increased to 575 mg/L and the operating conditions are pushed to an extreme of 200 ℃, it provides excellent protection for various types of steel. Thermodynamic analysis indicates that this inhibitor conforms to the Langmuir adsorption isotherm, with △G < 0. Its innovation lies in forming a high-temperature-resistant isolation film through strong chemical adsorption, thereby addressing the technical bottleneck of traditional corrosion inhibitors failing in high-temperature, high-pressure CO2 environments.
Wang Hu et al.[32]developed three types of corrosion inhibitors: imidazolinium quaternary ammonium salts, quinolinium quaternary ammonium salts, and pyridinium quaternary ammonium salts. By utilizing the double bonds and N heteroatoms in the imidazoline ring, quinoline ring, and pyridine ring as adsorption sites, and leveraging the high water solubility of quaternary ammonium salts to exert a corrosion-inhibiting effect, they simulated the electrochemical behavior of N80 steel under 90 ℃ conditions mimicking oil and gas field environments. The optimal corrosion inhibition rates for the three quaternary ammonium salts were 87.7%, 63.2%, and 54.7%, respectively. At 120 ℃, the quinolinium quaternary ammonium salt exhibited the highest corrosion inhibition rate, at 53.8%, revealing the critical regulatory mechanism of heterocyclic structures on high-temperature corrosion inhibition performance.
Liu Hanmei et al.[33]developed an imidazoline quaternary ammonium salt corrosion inhibitor and investigated the corrosion inhibition behavior of N80 steel under high-temperature and high-pressure conditions using electrochemical methods, morphology characterization, and elemental analysis. Under experimental conditions of 150 ℃, a total pressure of 4 MPa, a CO2 partial pressure of 2 MPa, and a corrosion inhibitor concentration of 10 mg/L, the corrosion inhibition performance was tested. The experimental results showed that the maximum corrosion inhibition rate was 97.3% after 48 hours, with a high inhibition rate still observed within 72 hours. Under the same conditions, when this corrosion inhibitor was compounded with thiourea (TU) at a ratio of 5:1, the corrosion inhibition rate could reach up to 99.5%. SEM/EDS characterization revealed a synergistic mechanism of the bilayer film induced by TU: thiourea molecules preferentially adsorb to form the bottom layer, while quaternary ammonium salt molecules assemble directionally to form the top layer. This innovative structure significantly reduces the corrosion current density.
Studies on the synergistic effects of quaternary ammonium salt corrosion inhibitors in high-temperature, high-pressure CO2 environments have shown that by using synergists such as thiourea (TU) to preferentially adsorb and form a dense underlying film, quaternary ammonium salt molecules can be directionally assembled into a hydrophobic upper film, forming a bilayer structure that enhances corrosion inhibition performance[33].The underlying mechanism involves synergists filling the gaps between quaternary ammonium salt molecules to enhance the compactness of the film, while heterocyclic quaternary ammonium salts (imidazoline/quinoline/pyridine), through their N heteroatoms, provide primary adsorption sites[32].The synergistic effect results in the superposition of adsorption energies and spatial complementarity between the two components, enabling the compounded system to maintain a corrosion inhibition efficiency of over 95% even at high temperatures of 150–170 ℃. In the future, research should focus on the synergistic adsorption kinetics of multiple synergists, molecular structure design for temperatures above 200 ℃, and the self-healing mechanisms of the protective film, in order to address the technical challenges of protection in ultra-high-temperature environments.

3.3 Natural Extract-Based High-Temperature Corrosion Inhibitors

In general, molecules of natural extract-based corrosion inhibitors are typically rich in highly electronegative atoms such as oxygen (O) and nitrogen (N). These atoms can form an adsorption film on the metal surface through coordination interactions, thereby effectively inhibiting the corrosion process of the metal. Compared with traditional corrosion inhibitors, natural extracts exhibit good biodegradability, are easy to handle, and pose a relatively low potential hazard to the ecological environment, making them regarded as an environmentally friendly alternative. However, since most natural extracts have poor thermal stability, they are prone to structural degradation or performance deterioration under high temperatures—such as the high-temperature operating conditions commonly encountered in CO2corrosion systems—resulting in relatively limited research on their application in high-temperature environments.
Zhao et al.[34]synthesized two Schiff base chitosan derivatives, CHC and CAHC, using citral and cinnamaldehyde as green CO2-specific corrosion inhibitors for P110 steel. The inhibition efficiencies were evaluated using electrochemical techniques and weight-loss methods, and the inhibition mechanisms were investigated through analytical methods such as SEM-EDS and atomic force microscopy (AFM) (Figure 5).The inhibitory effects of the inhibitors were studied in a CO2-saturated solution at 80 ℃ with inhibitor concentrations ranging from 0 to 100 mg/L. Potentiodynamic polarization analysis showed that at an inhibitor concentration of 100 mg/L, CHC and CAHC exhibited the highest inhibition efficiencies, at 85.55% and 93.44%, respectively. In electrochemical impedance spectroscopy (EIS) tests, at 100 mg/L, the charge-transfer resistance (Rct) values for CHC and CAHC were the highest, with inhibition efficiencies of 87.97% and 93.95%, respectively. In weight-loss experiments, the corrosion-inhibiting ability of both inhibitors increased with concentration, reaching a maximum at 100 mg/L, with inhibition efficiencies of 82.14% and 89.67%, respectively. SEM-EDS characterization revealed a significant reduction in corrosion products formed on the metal surface after the addition of the inhibitors. AFM 3D surface maps and surface roughness images showed that the surface height of the blank steel specimens was 100 nm lower than that of the inhibitor-treated specimens; after the addition of CHC and CAHC, the surface height differences were 80 nm and 45 nm, respectively. All experimental results consistently demonstrate that CAHC exhibits superior corrosion-inhibiting performance compared to CHC.
图5 壳聚糖及其衍生物的缓蚀机理[34]

Fig.5 Corrosion inhibition mechanism of chitosan and its derivatives [34]

Zhang Yu et al.[35]used natural macromolecular chitosan oligosaccharides, glycidyl trimethyl ammonium chloride, and benzaldehyde as raw materials to synthesize a chitosan derivative corrosion inhibitor. Under experimental conditions of 140 ℃ temperature, 15 MPa total pressure, 1 MPa H2S partial pressure, and 5 MPa CO2 partial pressure, they investigated the effects of temperature, time, and reactant mass ratio on the corrosion inhibition efficiency of the product and determined the optimal reaction conditions. A self-made high-temperature, high-pressure reactor was used to conduct weight-loss coupon tests on P110 steel. As the concentration of the corrosion inhibitor increased from 30 mg/L to 100 mg/L, the corrosion inhibition efficiency continuously improved, reaching a maximum of 85.62%. SEM and AFM analyses revealed that the corrosion inhibitor exhibits excellent corrosion-inhibiting performance; after the addition of the inhibitor, the contact angle on the steel surface significantly increased, the hydrophobicity of the film layer was enhanced, and corrosion was more effectively mitigated. Calculations showed that the adsorption of inhibitor molecules on the steel surface conforms to the Langmuir adsorption isotherm and is a spontaneous chemical adsorption, which is more robust than physical adsorption. Polarization curve tests indicated that the inhibitor is a mixed-type inhibitor with a predominantly cathodic effect.
Reyes-Dorantes et al. synthesized fatty amide corrosion inhibitors using crude rice bran oil as the raw material. The corrosion inhibition performance of the fatty amides on X70 steel was evaluated using electrochemical techniques such as real-time corrosion monitoring and potentiodynamic polarization curves[36].A CO2-saturated solution containing 3.5% NaCl was used as the corrosion medium at three temperatures (30, 50, and 70 ℃) and at different inhibitor concentrations (0, 5, 10, 25, 50, and 100 mg/L). The results showed that the inhibitors exhibited corrosion inhibition at all tested temperatures, with a corrosion inhibition rate of at least 95% at the optimal inhibitor concentration.
Pustaj et al.[37]investigated the corrosion-inhibiting behavior of olive leaf extract in a CO2-saturated aqueous solution containing 3% NaCl + 0.01% NaHCO3 + 0.01% CaCO3 on N80 carbon steel at 25 ℃ and 65 ℃. Under dynamic conditions (300 r/min), the corrosion inhibitor was tested at three different concentrations (100, 200, and 300 mg/L), yielding corrosion inhibition efficiencies of 98% at 25 ℃ and 94% at 65 ℃. The study found that the addition of the inhibitor significantly increased the polarization resistance, and a dense protective layer formed on the sample surface, with no pores or other defects.
Zhao et al.[38]investigated the inhibitory effects of berberine and Coptis extract separately, then studied their synergistic formulation with the enhancer thiourea. The experiments used L360 carbon steel as the material, immersed in a CO2-saturated 3% NaCl solution at 60 ℃. Berberine was tested at three different concentrations (10, 50, and 100 mg/L), and Coptis was also tested at three different concentrations (10, 30, and 50 mg/L). A synergistic formulation of 50 mg/L Coptis with 10 mg/L thiourea achieved a corrosion inhibition rate of up to 95%, showing better corrosion inhibition performance compared to the formulation of berberine with thiourea.
Abbasov et al.[39]investigated the synthesis process of nitrated cottonseed oil and its corrosion-inhibiting performance in a CO2corrosion system. Under constant temperature conditions of 50 ℃ and a system pressure of 0.9 bar, a simulated corrosive medium containing 1% NaCl was used as the study system. Over a 5-hour continuous monitoring period, the corrosion protection effect of this compound on S1018 carbon steel in a CO2-saturated environment was evaluated. The experimental results show that nitrated cottonseed oil exhibits excellent corrosion-inhibiting performance across the tested concentration range. Specifically, when the addition level reaches 100 mg/L, electrochemical test data indicate that the maximum corrosion inhibition efficiency reaches 98.8%. Mechanistic analysis further confirms that this compound is a mixed-type corrosion inhibitor, which suppresses both metal anodic dissolution and cathodic hydrogen evolution reactions through a physicochemical adsorption mechanism.
Most studies on the performance of natural extract-based corrosion inhibitors are conducted under low-temperature and atmospheric-pressure conditions. At high temperatures and pressures, bioactivity may be lost or the structure may decompose. How to maintain activity under high-temperature conditions is the key to developing natural extract-based high-temperature CO2corrosion inhibitors.

4 High-Temperature Corrosion Inhibitor in S-Containing Environments

In actual oil and gas extraction processes, in addition to corrosion caused by CO2,formation water may contain aggressive anions such as H2S, Cl-, and S²-. Meanwhile, the high-temperature and high-pressure environment of the formation further complicates the corrosion process. The corrosion mechanism in the presence of both CO2 and H2S differs from that of CO2 corrosion alone, exhibiting a stronger tendency toward localized corrosion (such as pitting). Therefore, developing highly effective corrosion inhibitors suitable for such environments is of significant practical and engineering importance. Ren et al.[40] used electrochemical measurement techniques, X-ray diffraction, and scanning electron microscopy to study the corrosion behavior of N80 pipeline steel in CO2 and H2S solutions containing chlorides at 100 ℃. When a very small partial pressure of H2S is added, CO2 corrosion occurs, and under these conditions, corrosion is uniform; the added H2S merely accelerates the corrosion rate. When the partial pressure of H2S increases to 0.01 MPa, acid-induced corrosion becomes dominant, and the overall corrosion rate drops rapidly, but severe pitting occurs. Therefore, it is essential to develop corrosion inhibitors specifically designed for high-temperature, high-pressure operating conditions involving CO2/H2S.
Yang Mingdi et al.[41]successfully developed a fluorine-containing imidazoline corrosion inhibitor and systematically evaluated its performance under high-temperature corrosion conditions through static coupon tests. In the experiments, at 150 ℃, a mixed corrosive gas containing H2S, CO2, CH₄, and C2H₆ was introduced into the system until saturation was reached. The results showed that when the inhibitor concentration was 800 mg/L, its corrosion inhibition efficiency for N80 steel reached as high as 92.9%. Further studies indicated that the adsorption behavior of this inhibitor conforms to the Langmuir adsorption isotherm model, suggesting that it may adsorb onto the metal surface in a monolayer form and exhibits excellent corrosion inhibition performance and stability.
Zeng Wenguang et al.[42]synthesized a fluorine-containing decanoic acid imidazoline corrosion inhibitor. Through orthogonal experiments, the reaction conditions for three factors—raw material ratio, temperature, and time—were optimized. Using the weight-loss method, coupon tests were conducted in a high-temperature and high-pressure reactor with P110 steel under experimental conditions of 150 ℃ temperature, 5 MPa pressure, 0.9 MPa H2S partial pressure, and 0.2 MPa CO2partial pressure. The corrosion inhibition performance of the inhibitor was tested at concentrations ranging from 20 to 120 mg/L. After data analysis and comprehensive consideration, the optimal performance was achieved at an inhibitor dosage of 80 mg/L, with a corrosion inhibition rate of 92.99%. This study innovatively introduces fluorine elements and long-chain decanoic acid groups, enhancing the inhibitor's adsorption capacity and protective efficiency under complex corrosion conditions. The experimental design closely mirrors actual operating conditions, the methodology is systematic and reliable, and the study holds promising application prospects and significant research value.
Zeng Wenguang et al.[43]mixed imidazoline corrosion inhibitors, quinoline quaternary ammonium salt corrosion inhibitors, and Mannich base corrosion inhibitors in proportion, and compounded them with potassium iodide to obtain a composite corrosion inhibitor. Under experimental conditions of 140 ℃, 5 MPa pressure, 0.9 MPa H2S partial pressure, and 0.2 MPa CO2 partial pressure, a magnetic-drive high-temperature, high-pressure reactor was used for coupon weight-loss tests. The corrosion-inhibiting performance of the commercially available imidazoline inhibitor was compared with that of the composite inhibitor for P110 steel. The composite inhibitor achieved a corrosion inhibition rate of over 90% for both uniform corrosion and pitting corrosion. Surface morphology studies, polarization curve tests, and impedance spectroscopy all indicated that its corrosion-inhibiting performance was superior to that of the commercially available imidazoline inhibitor. This study significantly enhanced corrosion inhibition efficiency and stability through the synergistic compounding of multi-component inhibitors and the introduction of potassium iodide; at the same time, by combining multiple characterization methods, the approach is systematic and comprehensive, the data are more convincing, and the study demonstrates both the innovation and practicality of its research design.
Zhang et al.[44]investigated the corrosion inhibition performance of thiourea (TU), L-cysteine (CYS), sodium dodecyl sulfate (SDS), tetradecyltrimethylammonium bromide (TTAB), N-benzylpyridinium chloride (BPC), and imidazoline quaternary ammonium salt (IAS) in brine solutions saturated with CO2and in brine solutions containing both CO2and H2S. The experimental results indicate that in a CO2environment, TU, CYS, and SDS exhibit good corrosion inhibition; however, their performance significantly declines in the CO2/H2S coexisting system. In contrast, the cationic inhibitors TTAB, BPC, and IAS retain excellent inhibition capabilities in the CO2/H2S environment, with their superior performance attributed to the strong interaction between cations and HS-. By comparing the performance of different types of corrosion inhibitors under various corrosive environments, this study reveals the advantages of cationic inhibitors in CO2/H2S coexisting systems. Combining multiple molecular structure analyses, the methodology is systematic and innovative, providing a reference basis for the screening and design of corrosion inhibitors.
Jiang Weimin et al.[45]developed a composite corrosion inhibitor composed of imidazoline-based and alkynyl oxy-methylamine-based inhibitors, suitable for complex oilfield environments characterized by high temperature, high sulfur content, and high salinity. Under experimental conditions of 90 ℃, X65 steel, and a sulfide concentration of 500 mg/L, a static weight-loss test on hanging coupons was used to screen polyethylene polyamine, oleic acid, and benzyl chloride as reaction precursors. An orthogonal experiment was then employed to optimize the synthesis process, yielding imidazoline and alkynyl oxy-methylamine corrosion inhibitors separately. The experiments demonstrated that when the two inhibitors are compounded in a 3:1 ratio and an emulsifying dispersant is added, the corrosion inhibition performance is optimal, with a static inhibition rate of 93.50% and a dynamic inhibition rate of 95.12%. This composite corrosion inhibitor has been applied in the field at the Badra Oilfield in Iraq, where it has performed well and met actual production requirements. This study innovatively combines the advantages of imidazoline and alkynyl oxy-methylamine corrosion inhibitors, optimizes the synthesis process through orthogonal experimentation, and determines the optimal compounding ratio, thereby enhancing the overall performance of the corrosion inhibitor in harsh environments. At the same time, the introduction of an emulsifying dispersant improves its dispersibility and enhances its practical application performance, giving it strong engineering applicability and research value.
In the study of high-temperature CO2 corrosion inhibitors in S-containing environments, several innovative aspects deserve attention. First, by introducing fluorine elements and decanoic acid long-chain groups, researchers have significantly enhanced the inhibitor’s adsorption capacity and protective efficiency under high-temperature and high-pressure conditions, thereby improving its stability in complex corrosive media[41]. Second, a synergistic compounding strategy using multi-component inhibitors—combining imidazoline, quinoline quaternary ammonium salts, Mannich bases, and other inhibitor types—has effectively enhanced the inhibitor’s dual ability to suppress both uniform corrosion and pitting corrosion[43]. In addition, orthogonal experiments have been employed to optimize raw material ratios and reaction conditions, further improving the synthesis efficiency and performance consistency of the inhibitors[42]. Some studies have also introduced emulsifying dispersants to improve the inhibitor’s dispersibility and application performance in highly mineralized environments[45]. Finally, the research has extensively utilized multi-method characterization techniques, including surface morphology analysis, polarization curve testing, and impedance spectroscopy, to systematically evaluate inhibitor performance, thereby enhancing the reliability of experimental data and the scientific rigor of the study. These innovations not only advance the performance of corrosion inhibitors but also provide effective theoretical foundations and engineering solutions for corrosion protection in actual oil and gas extraction operations.
Although in recent years, corrosion of oil and gas wells in environments where CO2 and H2S coexist has gradually attracted attention, systematic research in this field remains relatively limited compared to that in single-gas environments. CO2 corrosion primarily promotes oxidation reactions on metal surfaces through an acidic environment, while H2S may trigger complex mechanisms such as sulfide deposition, localized corrosion, and microbiologically influenced corrosion[46-48]. The corrosion behavior under the combined action of these two gases is even more challenging. Although some studies have focused on the application of corrosion inhibitors in this mixed environment—such as the development and performance evaluation of imidazoline-based, organic amine-based, and quaternary ammonium salt-based inhibitors—the in-depth exploration of their mechanisms of action remains insufficient. In particular, issues such as the adsorption behavior of inhibitors on metal surfaces, the film-forming process, and their stability under complex operating conditions have not yet been fully elucidated. Moreover, as corrosion environments become increasingly severe, the multifunctionality of corrosion inhibitors (e.g., antibacterial, antiscaling, and anti-sulfide deposition properties) has also gradually become a research hotspot; however, related studies are still in the preliminary stages, lacking systematic summaries and mechanistic analyses. Therefore, it is necessary to strengthen fundamental research on CO2/H2S coexisting corrosion systems while delving into the multi-effect synergistic mechanisms of corrosion inhibitors, with the aim of providing theoretical support for the development and optimization of corrosion control strategies in practical engineering applications.

5 Conclusion and Outlook

CO2Corrosion poses a severe challenge to the oil and gas industry. Currently, corrosion inhibitors capable of withstanding downhole high-temperature and high-pressure conditions have not yet been commercialized, which limits the development of oilfields. This article introduces the high-temperature CO2corrosion mechanism of carbon steel and reviews domestic and international research on corrosion inhibitors for high-temperature CO2and high-S environments, focusing primarily on imidazoline-based, quaternary ammonium salt-based, and natural extract-based inhibitors. However, these inhibitors are typically studied under conditions where the temperature is below 200 ℃ and the CO2partial pressure is below 10,000 psi, leaving significant knowledge gaps in the development of inhibitors for even higher temperatures.
Based on the current research status of high-temperature CO2 corrosion inhibitors for carbon steel both domestically and internationally, this paper proposes development directions for such inhibitors. First, the development of intelligent, responsive corrosion inhibitors is promising; for example, temperature-sensitive responsive inhibitors could be designed such that rising temperatures trigger self-assembly or other reactions in the smart material, enabling the formation of an adaptive protective film with rapid repair capabilities. Second, research on multi-parameter coupling mechanisms is needed. By leveraging density functional theory and molecular dynamics simulations, atomic-level corrosion interface models under high-temperature conditions can be constructed to clarify the high-temperature corrosion mechanisms. More importantly, high-throughput screening and machine learning optimization should be pursued. A corrosion kinetics database can be established using reported high-temperature corrosion inhibitors, and three-dimensional prediction models can be built using algorithms such as random forests. These models can guide the design of inhibitor molecules, and theoretical calculations can enable more precise molecular design, potentially leading to the development of highly adsorptive, high-performance corrosion inhibitors. Finally, research on inhibitor molecules that can withstand supercritical CO2 corrosion is still in its infancy, and much work remains to be done.
[1]
Teodoriu C, Bello O. J. Petrol. Sci. Eng., 2020, 187: 106736.

[2]
Gu L, Ding J H, Yu H B. Prog. Chem., 2016, 28(5): 737

(顾林, 丁纪恒, 余海斌. 化学进展, 2016, 28(5): 737).

[3]
Hou B R, Xu B S, Xu H B. The cost of corrosion in China. Beijing: Science Press, 2017

(侯保荣, 徐滨士, 徐惠彬. 中国腐蚀成本. 北京: 科学出版社, 2017).

[4]
Ikeda A, Mukai S, Ueda M. Corrosion, 1985, 41(4): 185.

[5]
Yang X G, Chen S H, Ma H Y, Quan Z L, Li D G. Prog. Chem., 2003, 15(2): 123

(杨学耕, 陈慎豪, 马厚义, 全贞兰, 李德刚. 化学进展, 2003, 15(2): 123).

[6]
Khaled K F. Electrochim. Acta, 2003, 48(17): 2493.

[7]
Zhang Q H, Hou B S, Li Y Y, Lei Y, Wang X, Liu H F, Zhang G A. Corros. Sci., 2021, 189: 109596.

[8]
Zheng Z Q, Hu J Y, Eliaz N, Zhou L, Yuan X, Zhong X K. Corros. Sci., 2022, 194: 109930.

[9]
Obot I B, Onyeachu I B, Umoren S A. Corros. Sci., 2019, 159: 108140.

[10]
Amir S, Evgeny B, Trevor L. J. Petrol. Sci. Eng., 2022, 208: 109235.

[11]
Nesic S, Lee K J, Ruzic V. Corrosion, 2002, 58: 1.

[12]
Crolet J L, Bonis M R. Corrosion, 1983, 39(2): 39.

[13]
De Waard C, Milliams D E. Corrosion, 1975, 31(5): 177.

[14]
Sun W, Nešić S. Corrosion, 2008, 64(4): 334.

[15]
Obot I B, Onyeachu I B, Umoren S A, Quraishi M A, Sorour A A, Chen T, Aljeaban N, Wang Q W. J. Petrol. Sci. Eng., 2020, 185: 106469.

[16]
Jovancicevic V, Ramachandran S, Prince P. Corrosion, 1999, 55(5): 449.

[17]
Swidzinski M, Fu B, Kelly A. P&GJ., 2000, 71.

[18]
Yang J, Jovancicevic V. US0181867, 2009.

[19]
Han M N, Yu H J, Zhou J M. Guangzhou Chem. Ind., 2016, 44(19): 159

(韩敏娜, 于洪江, 周建猛. 广州化工, 2016, 44(19): 159).

[20]
Chen Z, Ahmed A F, Chen T Q. J. Mol. Liquids., 2021, 332: 115852.

[21]
Li S J, Wang Z K, He H X, Wu P F. Int. J. Electrochem. Sci., 2023, 18(7): 100194.

[22]
Lei Y, Dou R, Zhu H R, Zhao Y G, Zhou L, Peng H P, Yu P F. J. Mol. Struct., 2025, 1322: 140499.

[23]
Borko T, Bilić G, Žbulj K, Otmačić Ćurković H. Coatings, 2025, 15(1): 93.

[24]
Pejic J N, Jegdic B V, Radojkovic B M. Corros. Sci., 2022, 209: 110815.

[25]
Tang Z W, Mu L J, Zhou Z P, Huang W, Fan X L, Zhou P, He M, Li M X. Oilfield Chem., 2019, 36(3): 472

(唐泽玮, 慕立俊, 周志平, 黄伟, 范希良, 周佩, 何淼, 李明星. 油田化学, 2019, 36(3): 472).

[26]
Li Y Y, Jiang Z N, Wang X, Zeng X Q, Dong C F, Liu H F, Zhang G A. Corros. Sci., 2022, 209: 110695.

[27]
Hou B S, Zhang Q H, Li Y Y, Zhu G Y, Liu H F, Zhang G A. Corros. Sci., 2020, 164: 108334.

[28]
Peng S Y, Jiang Z N, Li Y R, Dong C F, Liu H F, Zhang G A. Corros. Sci., 2025, 245: 112663.

[29]
Yin C X, Ruan L H, Ding W C, Lan X Z, Feng Y R, Bai Z Q. Mater. Prot., 2006, 39(2): 1

(尹成先, 阮林华, 丁万成, 兰新哲, 冯耀荣, 白真权. 材料保护, 2006, 39(2): 1).

[30]
Li J Y, Zhao J Q, Shao H Y, Zhang Y Z, Dong J, Xia L Y, Hu S Q. Oilfield Chem., 2021, 38(1): 152

(李继勇, 赵俊桥, 邵红云, 张云芝, 董洁, 夏凌燕, 胡松青. 油田化学, 2021, 38(1): 152).

[31]
Liu D M. J. Xi'an Shiyou Univ. Nat. Sci. Ed., 2020, 35(6): 65

(刘冬梅. 西安石油大学学报(自然科学版), 2020, 35(6): 65).

[32]
Wang H, Xiao B W, Xu J K, Xie J, Cui H L, Duan M. Corros. Prot. Petrochem. Ind., 2020, 37(1): 8

(王虎, 肖博文, 许家科, 谢娟, 崔海龙, 段明. 石油化工腐蚀与防护, 2020, 37(1): 8).

[33]
Liu H M, Zhang T, Song J T. Contemp. Chem. Ind., 2022, 51(3): 585

(刘寒梅, 张通, 宋建涛. 当代化工, 2022, 51(3): 585).

[34]
Zhao Q, Guo J X, Cui G D, Han T, Wu Y H. Colloids Surf. B Biointerfaces, 2020, 194: 111150.

[35]
Zhang Y, Guo J X, Yang J Q. Fine Chem., 2019, 36(11): 2309

(张宇, 郭继香, 杨矞琦. 精细化工, 2019, 36(11): 2309).

[36]
Reyes-Dorantes E J, Zuñiga-Díaz A, J. Chem., 2017, 14: 2871034.

[37]
Pustaj G, Kapor F, Jakovljević S. Mater. Und Werkstofftech., 2017, 48(2): 122.

[38]
Zhao J M, Duan H B, Jiang R J. Int. J. Electrochem. Sci., 2015, 10(3): 2716.

[39]
Abbasov V M, Mammadov E A, Dadashova N K, Mursalov N I, Aghamaliyeva D B, Mammadov A M. Proc. Petrochem. Oil Ref., 2024(3): 631.

[40]
Ren C Q, Zhu M, Du L, Chen J B, Zeng D Z, Hu J Y, Shi T H. Int. J. Electrochem. Sci., 2015, 10(5): 4029.

[41]
Yang M D, Sun L J, Jiang L H. China Petrol. Chem. Stand. Qual., 2013, 33(11): 37

(杨明地, 孙琳钧, 蒋立宏. 中国石油和化工标准与质量, 2013, 33(11): 37).

[42]
Zeng W G, Li F, Hu G Q. Appl. Chem. Ind., 2020, 49(2): 57

(曾文广, 李芳, 胡广强. 应用化工, 2020, 49(2): 57).

[43]
Zeng W G, Li F, Hu G Q, Guo Y J, Zhang J J, Liu B. Saf. Health Environ., 2020, 20(10): 34

(曾文广, 李芳, 胡广强, 郭玉洁, 张江江, 刘斌. 安全、健康和环境, 2020, 20(10): 34).

[44]
Zhang C, Zahedi Asl V, Lu Y, Zhao J M. Corros. Eng. Sci. Technol., 2020, 55(7): 531.

[45]
Jiang W M. Petrol. Eng. Constr., 2021, 47(4): 34

(姜为民. 石油工程建设, 2021, 47(4): 34).

[46]
Li Z, Yuan X Y, Sun M Y. Corros. Sci., 2022, 204: 110390.

[47]
Li Z, Ju C X, Du K C. Corros. Sci., 2025, 253: 112994.

[48]
Wang J L, Zhang T S, Zhang X X. J. Mater. Sci. Technol., 2020, 43: 14.

Outlines

/