Home Journals Progress in Chemistry
Progress in Chemistry

Abbreviation (ISO4): Prog Chem      Editor in chief: Jincai ZHAO

About  /  Aim & scope  /  Editorial board  /  Indexed  /  Contact  / 
Review

Quinoline-Based Fluorescent Probes in the Detection of Ions and Small Moleculars

  • Xu Tang 2 ,
  • Liang Jiang 1 ,
  • Shuguang Zhang , 1, * ,
  • Xiaoyun Chen , 1, *
Expand
  • 1 Jiangsu University of Science and Technology, Zhenjiang 212003, China
  • 2 Taihu Laboratory of Deepsea Technological Science Lianyungang Center, Lianyungang 222000, China
* (Xiaoyun Chen);
(Shuguang Zhang)

Received date: 2025-02-17

  Revised date: 2025-07-13

  Online published: 2025-10-15

Supported by

Key Research and Development Program of Lianyungang(SF2341)

Abstract

Fluorescent probes have gained significant attention in the fields of chemical sensor and bioimaging due to their excellent optical properties and broad application potential. Quinoline and its derivatives, as an important class of fluorophores, exhibit remarkable advantages in the detection of ions and molecules owing to their unique structures and tunable photophysical properties. This review summarizes the development of quinoline-based fluorescent probes for environmental monitoring, bioanalysis, and medical diagnostics, with a focus on their fluorescence response mechanisms, coordination chemistry characteristics, and practical applications. Previous work demonstrates that the structural modification and functional design of quinoline derivatives enable the preparation of highly selective and sensitive fluorescent probes, which serve as powerful tools for detecting target analytes in complex systems. In conclusion, this review not only outlines prospective research directions for quinoline-based fluorescent probes but also provides valuable insights and guidance for advancing related research fields.

Contents

1 Introduction

2 Common mechanisms of probes

2.1 Fluorescence resonance energy transfer

2.2 Photoinduced electron transfer

2.3 Intramolecular charge transfer

2.4 Chelation enhanced fluorescence

3 Progress of fluorescent probes based on quinoline derivatives in ion detection

3.1 Fluorescent probes for H+ detection

3.2 Fluorescent probes for Zn2+ detection

3.3 Fluorescent probes for Cd2+ detection

3.4 Fluorescent probes for Cu+/Cu2+ detection

3.5 Fluorescent probes for the detection of SO2, HSO3-, SO32-

4 Advances in fluorescent probes based on quinoline derivatives for small molecule detection

4.1 Fluorescent probes for the detection of small molecules of reactive oxygen species

4.2 Fluorescent probes for the detection of H2S

5 Conclusion and outlook

Cite this article

Xu Tang , Liang Jiang , Shuguang Zhang , Xiaoyun Chen . Quinoline-Based Fluorescent Probes in the Detection of Ions and Small Moleculars[J]. Progress in Chemistry, 2025 , 37(10) : 1438 -1455 . DOI: 10.7536/PC20250204

1 Introduction

With the rapid advancement of science and technology, fluorescent probes, as highly efficient and sensitive detection tools, have been widely applied in fields such as chemistry, biology, and medicine. The core of fluorescent probe design lies in the selection of the fluorophore, whose optical properties directly influence the probe’s sensitivity, selectivity, and application scope. In recent years, quinoline and its derivatives have emerged as popular building blocks for fluorescent probe design due to their unique structure and outstanding photophysical properties. The quinoline molecule features a large conjugated system and a chemically versatile structure that can be readily modified, enabling it to respond specifically to target analytes through coordination or chemical reactions. However, quinoline-based fluorescent probes still face several challenges in practical applications, such as small Stokes shifts and poor water solubility. Consequently, developing novel quinoline derivative fluorescent probes, optimizing their performance, and expanding their application range has become a focal point of current research. This article reviews recent advances in the use of quinoline-based fluorescent probes for ion and molecular detection and outlines future directions for their development.
As a core component in molecular probe design, the structural characteristics of fluorescent groups directly influence the probe’s photophysical properties, including key parameters such as Stokes shift, fluorescence quantum yield, photostability, and pH tolerance. In recent years, traditional fluorescent groups such as Rhodamine B and its derivatives, as well as coumarin compounds, have achieved significant advances in analytical detection and bioimaging[1-3].However, these fluorescent groups still suffer from inherent limitations, such as a relatively small Stokes shift (typically <50 nm) and poor water solubility, which severely restrict their application in complex biological systems. Therefore, developing novel fluorescent groups with large Stokes shifts, good water solubility, and superior photostability remains a critical challenge in current research.
Compared with traditional detection methods such as inductively coupled plasma mass spectrometry (ICP-MS)[4],inductively coupled plasma optical emission spectroscopy (ICP-OES)[5],and flame atomic absorption spectroscopy (FAAS)[6],fluorescent probe technology has garnered widespread attention in the field of analytical detection due to its advantages, including ease of operation, real-time response, high sensitivity, and spatial resolution[7-10].Among these, quinoline compounds, as an important class of fluorescent moieties, feature a fused benzene–pyridine ring system. This molecular structure exhibits the following notable characteristics: (1) It exhibits good solubility in organic solvents but relatively low solubility in aqueous systems; (2) The nitrogen atom in the molecule imparts weak basicity, enabling electrophilic substitution reactions on the benzene ring while allowing nucleophilic reactions on the pyridine ring, thereby offering multiple possibilities for structural modification and functionalization; (3) The extensive conjugated system facilitates π–π* electronic transitions, resulting in strong intrinsic fluorescence. However, the nitrogen atom in quinoline molecules readily forms hydrogen bonds with polar solvents, leading to a significant reduction in fluorescence quantum yield in aqueous solutions. Interestingly, upon coordination with specific metal ions, the fluorescence intensity can be markedly enhanced, endowing quinoline-based probes with substantial application potential in the field of metal ion detection[11-13].Based on this, quinoline-based fluorescent probes can achieve specific recognition and detection of target metal ions by monitoring the significant changes in fluorescence signals before and after metal ion coordination. A large body of research has already confirmed their value in the field of metal ion sensing.

2 Common Mechanisms of Action of Probes

Traditionally, the design principles of small-molecule fluorescent probes have primarily included photoinduced electron transfer (PET), intramolecular charge transfer (ICT) and its derivative twisted intramolecular charge transfer (TICT), chelation-enhanced fluorescence (CHEF), electron energy transfer (EET), fluorescence resonance energy transfer (FRET), excited-state intramolecular proton transfer (ESIPT), and excimer/exciplex formation. In recent years, emerging mechanisms such as aggregation-induced emission (AIE) and upconversion luminescence (UCL) have also provided new perspectives for probe design.

2.1 Fluorescence Resonance Energy Transfer (FRET)[14]

Fluorescence resonance energy transfer (FRET) is a non-radiative near-field energy transfer process (Figure 1). A molecular system contains two spectrally matched fluorophores, referred to as the donor and the acceptor. When the molecule is excited by a specific light source, the donor absorbs energy and transitions to an excited state. Subsequently, via the Förster mechanism, the donor transfers energy directly to the nearby acceptor (1–10 nm) through dipole–dipole interactions, thereby exciting the acceptor to its own excited state. Finally, the excited acceptor releases this portion of energy through fluorescence emission.
图1 荧光共振能量转移(FRET)机理[14]

Fig.1 Fluorescence resonance energy transfer (FRET) mechanism[14]

2.2 Photoinduced Electron Transfer (PET)

The photoinduced electron transfer (PET) fluorescence quenching mechanism is mainly divided into two categories (Figure 2): One involves the transfer of an electron from an electronically ground-state donor to an excited-state fluorophore (the electron acceptor), reducing the excited-state fluorophore and leading to fluorescence quenching—this is known as a-PET. The other involves the transfer of an electron from an excited-state fluorophore (the electron donor) to an electron acceptor, oxidizing the excited-state fluorophore and causing fluorescence quenching—this is known as d-PET[15].When the system does not bind the guest molecule, an effective PET process occurs between the fluorophore and the receptor, placing the probe molecule in a fluorescence "off" state. Upon binding the guest, the PET process is blocked due to changes in steric hindrance or electronic effects, and the system returns to a fluorescence "on" state.
图2 PET荧光探针的前沿轨道机理图[15]

Fig.2 Frontier orbital mechanism diagram of PET fluorescent probe[15]

2.3 Intramolecular charge transfer (ICT)

Intramolecular charge transfer (ICT) is an important design strategy for constructing ratiometric fluorescent probes (Figure 3). The structural feature of this type of probe is that the recognition moiety is conjugated with the fluorophore, or a key structural unit of the fluorophore directly participates in guest recognition[16]. The molecular design of these probes typically adopts a D-π-A (Donor-π-Acceptor) architecture, in which electron-donating (Donor) and electron-accepting (Acceptor) groups are modified at both ends of the fluorophore scaffold, thereby forming an intramolecular charge transfer (Intramolecular Charge Transfer, ICT) system.
图3 ICT荧光探针的一般原理图[16]

Fig.3 General schematic diagram of ICT fluorescent probe[16]

2.4 Chelation-Enhanced Fluorescence (CHEF)

Chelation-Enhanced Fluorescence (CHEF) refers to the formation of stable complexes between a ligand and a metal ion through specific coordination, which leads to changes in the electronic structure and photophysical properties of the ligand molecule, thereby significantly altering its fluorescence signal. In fluorescent probe design, introducing highly selective chelating ligands enables the specific recognition and detection of target metal ions. The underlying mechanism primarily involves electronic rearrangement during the ligand–metal coordination process: the coordination of the metal ion not only stabilizes the ground-state configuration of the probe but also modulates the excited-state energy level structure through Ligand-to-Metal Charge Transfer (LMCT) or Metal-to-Ligand Charge Transfer (MLCT) processes, ultimately influencing the fluorescence emission characteristics[17]..

3 Research Progress on Quinoline-Derivative-Based Fluorescent Probes for Ion Detection

3.1 Fluorescent probes for detecting H+

As a key metabolic indicator and cellular physiological parameter, hydrogen ion concentration plays an important role in the regulation of cellular homeostasis. Studies have shown that pH abnormalities in the cytoplasm and acidic organelles (such as lysosomes) are closely associated with various pathological processes[18-19].Given the strong correlation between cellular pH and biological processes such as apoptosis, developing reliable methods for monitoring H+ concentration holds significant research value and application potential.
In 2022, Gui et al.[20]reported a near-infrared (NIR) ratiometric pH-responsive fluorescent probe (Q1) based on a hemicyanine scaffold. In acidic and basic media, the probe exhibits characteristic emission bands at 610 nm and 670 nm, respectively, with an emission band separation of 60 nm. Under an excitation wavelength λex= 580 nm, the emission peak intensity of Q1 at 670 nm increases significantly with increasing solution acidity, while under λex= 480 nm excitation, the emission peak intensity at 610 nm decreases accordingly (Figure 4). The probe displays excellent ratiometric response characteristics, with a pK avalue of 4.5 that matches the physiological pH range of lysosomes and exhibits strong lysosome-targeting ability. Notably, Q1 demonstrates significant advantages in monitoring lysosomal pH changes under conditions such as heat stress, oxidative stress, and drug-induced damage. In vivo experimental results indicate that this probe has promising potential for biological applications.
图4 探针Q1的响应机制[20]

Fig.4 Response mechanism of probe Q1[20]

Recent studies[21-22]have shown that ratio-based fluorescent probes can effectively overcome issues such as uneven probe concentration distribution and interference from environmental factors by measuring the ratio of fluorescence intensities at specific wavelengths. Compared with single-emission probes, ratio-based probes offer higher detection reliability and practicality, providing important insights for the design of novel probes.
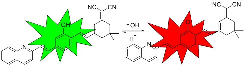
Building on this foundation, Liu et al.[23]designed and synthesized in 2023 a novel NIR ratiometric fluorescent probe Q2 (DCIQ) based on a bis-vinylene-bridged conjugated dicyano-isophorone–quinoline derivative (Fig. 5).The probe achieves fluorescence response through the protonation/deprotonation of the phenol hydroxyl group and exhibits significant advantages over existing probes: its emission wavelength is in the near-infrared region (734 nm), it has a Stokes shift of 173 nm, and it demonstrates outstanding selectivity and sensitivity. Notably, the probe enables naked-eye visual detection of pH values in the range of 6–8, laying an important foundation for in vivo pH monitoring studies.
图5 探针Q2的质子化和去质子化过程[23]

Fig.5 Protonation and deprotonation process of probe Q2[23]

In recent years, the field of hydrogen ion fluorescent probes has made significant progress in the development of ratiometric near-infrared probes, enabling highly sensitive and selective pH monitoring, with particularly important application value at the organelle and in vivo levels. In the future, the development of far-infrared probes, multifunctional probes, and the integration of artificial intelligence for optimized design will be key priorities, driving broader applications in disease diagnosis and treatment.

3.2 Fluorescent probe for detecting Zn2+

Zinc ions (Zn2+) are essential trace elements in the human body and play an important role in physiological processes such as neuronal signal transmission, DNA binding, and enzyme regulation[24,25].However, abnormal Zn2+ concentrations are closely associated with neurological disorders such as Alzheimer's disease and Parkinson's disease[26-30].Therefore, developing highly selective and highly sensitive fluorescent probes for Zn2+ holds significant research value.
In recent years, significant progress has been made in the development of quinoline-based Zn2+fluorescent probes. For example, Gao et al.[31]designed a dual-functional probe Q3 that can simultaneously detect Co2+and Zn2+. This probe achieves specific recognition of Zn2+via a chelation-enhanced fluorescence (CHEF) mechanism and exhibits excellent performance in live-cell imaging (Figure 6). Since Co2+is virtually absent in biological systems, it does not interfere with the detection of Zn2+. The C=N isomerization in probe Q3 results in inherently weak fluorescence; however, upon binding to Zn2+, the free rotation of the intramolecular imine group is restricted, thereby triggering the chelation-enhanced fluorescence (CHEF) effect. After co-incubation with a certain concentration of Zn2+, Hela cells display intense green fluorescence. This indicates that probe Q3 can selectively recognize Zn2+within cells and holds significant potential for Zn2+detection and related bioimaging applications in live cells.
图6 探针Q3的响应机制[31]

Fig.6 Response mechanism of probe Q3[31]

In addition, Li and colleagues[32a]successfully developed a ratio-type fluorescent probe Q4 (Figure 7) based on the intramolecular charge transfer (ICT) mechanism. This probe exhibits unique two-photon absorption (TPA) properties, opening up new avenues for real-time monitoring of Zn2+ in living cells. Probe Q4 boasts excellent water solubility and demonstrates outstanding sensitivity and selectivity in the ratio detection of Zn2+. Nevertheless, its maximum two-photon absorption cross-section remains somewhat lower than that of previously reported probes. To further optimize TPA performance, in 2022, Shao et al.[32b], building on the research of probe Q4 and based on the ICT mechanism, designed and synthesized a novel TP-Zn2+ ratio fluorescent probe Q5. In the design of probe Q5, multiple acceptor or donor units were introduced to enhance electron-accepting or -donating capabilities, accompanied by adjustments in conjugation length and changes in the dimensions of the charge-transfer pathway. The research team performed density functional theory (DFT) calculations at the DFT level to compute the one-photon absorption (OPA) and two-photon absorption (TPA) properties of both the experimental probe and the designed probe before and after binding with Zn2+. Specifically, they calculated the TPA properties of the designed probe and conducted a comparative analysis with the experimental system. Finally, the fluorescence properties of the designed probe were evaluated through theoretical calculations and ratio-based detection assessments. The core objective of this design is to develop a TP probe that not only possesses a large TPA cross-section and strong fluorescence intensity but also exhibits a significant shift in its emission spectrum upon coordination with Zn2+. This study is expected to provide valuable guidance and insights for the design and synthesis of ratio-type TP probes for metal ions.
图7 探针Q4的结构及作用机制[32]

Fig.7 Structure and mechanism of action of probe Q4[32]

In the same year, Kim et al.[33]reported a novel quinoline-based fluorescent probe Q6 (Figure 8).This probe exhibits excellent selective recognition of Zn2+ in aqueous solutions, with a detection limit (LOD) of 0.07 µmol/L—significantly lower than the standard limit set by the World Health Organization. Probe Q6 also demonstrates good reversibility and can be regenerated and reused through EDTA chelation. To expand its application scope, researchers fabricated it into a test strip for the rapid detection of Zn2+. The practical applicability of the probe was validated through water sample analysis and live zebrafish experiments; in zebrafish, the detection limit was 1.11 µmol/L, making it one of the most sensitive zinc ion sensors based on quinolines reported to date. Given its outstanding analytical performance, probe Q6 holds great promise for applications in biomedical detection and environmental monitoring.
图8 探针Q6的响应机制[33]

Fig.8 Response mechanism of probe Q6[33]

In 2021, Li et al.[34]synthesized a novel Schiff base quinoline-2-carbaldehyde derivative (Q7) via a one-step condensation reaction. As an "off-on" fluorescent probe, this compound exhibits outstanding selective recognition performance for Zn2+,with a response time of less than 3 s, a detection limit of 72 nmol/L, and a linear response range of 0–180 µmol/L. Mechanistic studies indicate that the fluorescence enhancement effect of the probe arises from the synergistic interaction between chelation-enhanced fluorescence (CHEF) induced by Zn2+chelation and the suppression of photoinduced electron transfer (PET) (Figure 9). Experiments have confirmed that the Q7 probe can not only effectively detect Zn2+in real water samples but can also be formulated into test strips for rapid qualitative and quantitative analysis of Zn2+,demonstrating promising application potential in the field of environmental monitoring.
图9 探针Q7的响应机制[34]

Fig. 9 Response mechanism of probe Q7[34]

In 2022, Panda et al.[35]designed and synthesized a novel fluorescent probe Q8 based on quinoline methyl-di(2-pyridylmethyl)amine, which exhibits excellent water solubility and rapid response (Figure 10)for the selective recognition of Zn2+and Cd2+. Within the physiological pH range, Q8 demonstrates a highly efficient fluorescence response to Zn2+via photoinduced electron transfer (PET) and chelation-enhanced fluorescence (CHEF) mechanisms. Cytotoxicity assays show that when cells are treated solely with Q8 at concentrations up to 100 μmol/L, cell viability remains close to 100%. Furthermore, after treating cells with a 20 μmol/L probe/Zn2+solution, cell viability is approximately 90%, indicating good biocompatibility. Subsequently, Q8 was applied to Vero cell imaging; in the presence of Zn2+, the cells exhibited strong green fluorescence, highlighting its potential for cell imaging and Zn2+detection.
图10 探针Q8的响应机制[35]

Fig.10 Response mechanism of probe Q8[35]

Subsequently, in 2025, Qian et al.[36]slightly modified Q8 to synthesize Q9 (Figure 11). This probe achieves a highly selective "Turn-on" response to Zn2+solely through the CHEF effect. Studies have confirmed that Q9 exhibits good biocompatibility and cell membrane permeability, and has been successfully applied to real-time in situ imaging of Zn2+in U251 cells, onion epidermis, and zebrafish models. With its simple structure and convenient operation, this probe provides an effective tool for dynamic monitoring of Zn2+across multiple species.
图11 探针Q9的响应机制[37]

Fig.11 Response mechanism of probe Q9[37]

In 2024, Zhao et al.[37]developed a simple Schiff base fluorescent probe Q10, which is based on both PET and CHEF effects, through the condensation reaction of quinoline-2-carbaldehyde with 3-methoxy-4-methylaniline (Figure 12).In a CH₃OH/HEPES buffer system, this probe exhibits a "turn-on" response specific to Zn2+, with a detection limit as low as 1.04×10-7 mol/L—significantly lower than the WHO drinking water standard (76 μmol/L). The fluorescence enhancement arises from the CHEF effect induced by Zn2+ chelation, and this process can be reversed by EDTA. The study also successfully prepared Q9 test strips, enabling convenient visual detection of Zn2+ under 365 nm UV light, demonstrating promising application prospects.
图12 探针Q10对Zn2+的响应机制[37]

Fig.12 Probes Q10 response mechanisms to Zn2+[37]

Although various quinoline-based Zn2+ probes have been reported, they still face several challenges in practical applications, such as insufficient selectivity and poor biocompatibility. Future research can further enhance the performance of these probes and expand their application scope by structurally modifying and functionally designing quinoline derivatives.

3.3 Fluorescent probe for detecting Cd2+

Cadmium (Cd2+), as a typical toxic heavy metal pollutant, is widely present in industries such as electroplating, battery manufacturing, agriculture, and the military, and poses a potential carcinogenic risk[38]. Therefore, the development of highly selective Cd2+fluorescent sensors has attracted considerable attention[39]. However, due to interference from ions such as Zn2+and Hg2+, designing fluorescent probes that specifically recognize Cd2+remains a significant challenge. To date, various Cd2+fluorescent chemical sensors have been reported[40-44].
In 2019, Aich et al.[45]designed and synthesized two "off-on" fluorescent probes (Q11) based on a quinoline-benzothiazole structure. Upon binding with Cd2+,the fluorescence emission peak of the probe redshifts from 488 nm to 507 nm, with a significant enhancement in intensity. This fluorescence enhancement effect arises from the enhanced intramolecular charge transfer (ICT) efficiency induced by Cd2+coordination (Figure 13). Under physiological pH conditions, Q11 exhibits excellent selectivity for Cd2+,with a detection limit as low as 10-10 mol/L. Subsequently, various modifying groups containing heteroatoms (O and N) capable of providing lone pairs of electrons were linked to the 8-hydroxy position of quinoline to prepare different Cd2+probes[46-48]. In particular, in 2023, Huang et al.[49]reported a similar 8-hydrazine methylene-modified probe, Q12, which has demonstrated promising potential in practical applications such as test strip-based detection and smartphone image analysis (Figure 14).
图13 探针Q11及其对Cd2+的响应机制[45]

Fig.13 Probes Q11 and their response mechanisms to Cd2+[45]

图14 探针Q12的结构及作用机理[49]

Fig.14 Structure and mechanism of action of probe Q12[49]

In addition, the Lu research group[50]designed an 8-hydroxyquinoline-benzothiazole conjugate (Q13). In a 1% water-methanol solution, the probe molecule Q13 exhibits weak intrinsic fluorescence; however, upon coordination with Al3+, Cd2+, and Zn2+, its fluorescence is significantly enhanced (Figure 15). Nevertheless, the selectivity for Cd2+did not reach the desired level. By adjusting the solvent ratio to a 30% water-methanol solution, Q13 exhibits excellent selectivity for Cd2+, with a characteristic emission peak at 525 nm. The probe is stable over a pH range of 4–12, with a linear detection range for Cd2+of 0–5 μmol/L and a detection limit of 0.1 μmol/L (S/N = 3).
图15 Cd2+诱导Q13的荧光开启机制[50]

Fig.15 Fluorescence turn-on mechanism of Q13 induced by Cd2+[50]

In 2021, Hojitsiriyanont et al.[51]designed and synthesized a series of quinoline–pyridine conjugated ligands, systematically investigating the effects of amino protons and the number of N donors (chelation denticity) on the binding of Cd2+/Zn2+and on fluorescence sensing performance. UV–vis titration revealed that the ligand structure had a significantly greater impact on the Cd2+binding constant than on the Zn2+binding constant. Among them, the hexadentate ligand Q14 (without amino protons) exhibited the highest binding ratio for Cd2+/Zn2+, showing specific fluorescence enhancement at 480 nm, with a detection limit for Cd2+of 69 nmol/L (linear range: 0.1–10 μmol/L) (Figure 16). The probe is stable at pH values between 4.0 and 9.0; the signal can be reversed by EDTA, and TPA can eliminate interference from metal ions, providing a new strategy for achieving selective Cd2+detection through the modulation of ligand structure.
图16 探针Q14的结构及作用机理[51]

Fig. 16 Structure and mechanism of action of probe Q14[51]

In 2025, Ajavakom et al.[52]designed and synthesized two acetylaminochinoline-dipyridylamine derivative fluorescent probes (Q15-1 and Q15-2). Among them, Q15-1 can specifically distinguish Cd2+(350 nm) from Zn2+(380 nm) in aqueous solution, exhibiting differentiated blue fluorescence enhancement (Figure 17). Mechanistic studies indicate that metal ions coordinate in a 1:1 ratio to inhibit the PET process while inducing amide-imine tautomerization to generate a specific response (reversible with EDTA). Fluorescence titration measurements show that the detection limits (LOD) for Cd2+and Zn2+are as low as 0.15 μmol/L and 0.13 μmol/L, respectively, with a good linear range. The probe has been successfully applied to the analysis of real water samples and imaging of RAW264.7 macrophages.
图17 探针Q15的结构及作用机理[52]

Fig.17 Structure and mechanism of action of probe Q15[52]

Based on the aforementioned progress in research on Cd2+ fluorescent probes prepared from quinoline derivatives, high-selectivity recognition has been achieved through molecular design. The 8-position functionalization modification strategy has optimized probe performance, but applications still face challenges. Future research can focus on enhancing selectivity, optimizing water solubility and biocompatibility, and developing portable detection devices, which will contribute to the field of environmental monitoring.

3.4 Fluorescent probes for detecting Cu+ and Cu2+

Copper (Cu), as an essential trace element in the human body, plays a crucial role in various biological and physiological processes[53-54].However, excess Cu2+ can disrupt cellular homeostasis, leading to a range of severe neurodegenerative diseases, such as Menkes disease, Alzheimer's disease, amyotrophic lateral sclerosis, Wilson's disease, Parkinson's disease, and cancer[55-56].Furthermore, due to the widespread use of Cu2+ in industry and agriculture, its pollution of aquatic systems has become increasingly severe[57-58].Therefore, developing highly sensitive and selective methods for copper ion detection is of great significance. In recent years, organic small-molecule fluorescent probes have garnered considerable attention in the field of copper ion detection due to their flexible design, rapid response, and high sensitivity. Among these, a number of superior copper ion probes based on quinoline have emerged.
In 2019, Firdaus et al.[59]designed and synthesized a chemical sensor Q16 (Figure 18)for detecting Cu+, based on 8-aminoquinoline and o-phthalaldehyde. Under excitation at 410 nm, the Q16 probe solution exhibits weak fluorescence. Upon the addition of Cu+, the fluorescence intensity increases sharply, accompanied by a red shift of approximately 35 nm, which can be observed with the naked eye. Within the physiological pH range, the detection limit of this probe for Cu+ is as low as 1.03 µmol/L, and its mechanism of action involves intramolecular charge transfer (ICT) and the suppression of C=N isomerization.
图18 探针Q16的结构及作用机理[59]

Fig.18 Structure and mechanism of action of probe Q16[59]

In 2020, Ma et al.[60]designed a fluorescent probe Q17 based on nitrogen and oxygen donors and systematically investigated its response characteristics to various metal ions. Q17 exhibits a remarkable fluorescence switching effect toward Cu2+(Figure 19). Meanwhile, Q17 possesses dual-sensing functionality: the complex formed between Q17 and Cu2+can also be further utilized for the detection of pyrophosphate (PPi). Currently, Q17 has been successfully applied to the detection of Cu2+and PPi in HeLa cells, demonstrating its potential application value in cellular imaging.
图19 探针Q17的结构及作用机理[60]

Fig.19 Structure and mechanism of action of probe Q17[60]

In the same year, Xu et al.[61]developed a novel Schiff base fluorescent probe Q18 for the highly selective detection of Cu2+and S2-. Q18 forms a complex with Cu2+via coordination, leading to significant fluorescence quenching. The resulting complex can then react with S2-to release Q18, which regains its fluorescence, thereby enabling further identification of S2-(Figure 20). At the same time, Q18 can effectively detect Cu2+and S2-in zebrafish and MCF-7 cells, demonstrating its potential for applications in bioimaging. In addition, the Q18-Cu2+complex can also be used to estimate the time of death in corrupted blood samples, highlighting its potential value in forensic science.
图20 探针Q18的结构及作用机理[61]

Fig.20 Structure and mechanism of action of probe Q18[61]

In 2022, Jiang et al.[62]designed a novel fluorescence sensor Q19 based on quinoline and coumarin (Figure 21). This probe achieves highly selective and sensitive detection of Cu2+through multiple coordination interactions, exhibiting an outstanding fluorescence response to Cu2+. During the recognition process, as Cu2+is added, the fluorescence intensity of the Q19 solution gradually decreases, and under 365 nm UV light excitation, the fluorescence color changes from pale yellow to blue. The detection limit of Q19 for Cu2+is as low as 2.81×10-8 mol/L, with a binding constant K aof 45.43 M-2, which is significantly superior to previously reported Cu2+fluorescence sensors[63-69]. Subsequently, a Q19 test strip was developed as a convenient Cu2+detection kit, further expanding its practical applications.
图21 Q19与Cu2+的结合模式示意图[62]

Fig.21 Schematic representation of the binding pattern of Q19 with Cu2+[62]

In the same year, Zhu et al.[70]developed a ratiometric fluorescent probe Q20 for the highly sensitive detection of Cu2+in food. Q20 uses 7-aminoquinoline substituted with 4-CF₃ as the fluorophore and a semicarbazide derivative as the recognition unit. Upon addition of Cu2+, probe Q20 undergoes hydrolysis catalyzed by Cu2+, generating an aminoquinoline derivative, with fluorescence quenching at 430 nm and fluorescence enhancement at 516 nm, and the solution color changing from blue to green (Figure 22). The detection range of Q20 for Cu2+is 0–10 µmol/L, with a detection limit as low as 87 nmol/L, and it has been successfully applied to the detection of Cu2+in potatoes and shrimp. By combining a UV lamp with a smartphone, Q20 enables portable on-site detection. In addition, imaging experiments of Cu2+in HeLa cells and zebrafish further validate the broad application potential of Q20 in biological and food detection.
图22 Q20的结构及作用机理[70]

Fig.22 Structure and mechanism of action of Q20[70]

In 2024, Zhao et al.[71]reported on the fluorescent probe Q21, synthesized via a condensation reaction (Figure 23). Compared with previous similar probes, this complex-forming probe enables continuous detection of Cu2+and S²-in a CH3CN/HEPES buffer system, exhibiting a distinct "on-off-on" fluorescence response. Cu2+induces a color change in the solution from yellow-green to brownish-yellow (Δλmax= 30 nm) and causes 98.6% fluorescence quenching (LOD = 0.289 μmol/L, K a= 3.31 × 10⁴ M-1). The Q21-Cu2+complex can specifically recognize S²-(LOD = 0.01 μmol/L), with a fluorescence recovery rate of 88.9%. The probe is stable at pH 4–9, can be reused more than four times, and has been successfully applied to strip-based detection and live-cell imaging.
图23 Q21的结构及作用机理[71]

Fig.23 Structure and mechanism of action of Q21[71]

In 2025, Qian et al.[72]designed and synthesized three similar quinoline-based fluorescent probes based on a similar principle for the continuous detection of crucial Cu2+and S2-ions in biological systems. Among these probes, Q22 exhibited the most outstanding performance, featuring an ultra-large Stokes shift (178 nm) that effectively overcomes the limitations of traditional probes. It demonstrates highly selective fluorescence quenching upon interaction with Cu2+and fluorescence recovery induced by S²-("on-off-on" response) (Figure 24). Probe Q22 has been successfully applied to image Cu2+and S2-in live HT22 cells and zebrafish, demonstrating its potential as a powerful molecular tool for studying the roles of these ions in biological systems. Furthermore, the [Q22+Cu2+] complex is suitable for detecting S2-in real-world samples. To enhance practical utility, the study also developed Q22-impregnated cotton swabs, enabling portable, continuous detection of Cu2+and S2-.
图24 Q22的结构及作用机理[72]

Fig.24 Structure and mechanism of action of Q22[72]

Quinoline-based copper ion probes have made significant progress in recent years, with their design strategies and application scopes continuously expanding. In the future, with the introduction of novel fluorophores and recognition units, quinoline-based probes will demonstrate even broader application prospects in areas such as environmental monitoring, bioimaging, and clinical diagnostics.

3.5 Fluorescent probes for detecting SO2, HSO3-, and SO32-

Sulfur dioxide (SO2)and its derivatives (HSO₃-,SO₃²-) play a dual role in environmental and biological systems. As a common sulfur oxide, SO2primarily originates from fossil fuel combustion, industrial emissions, and volcanic activity. Long-term exposure to SO2can pose health risks to humans, including triggering allergic reactions, asthma, and gastrointestinal disorders[73-75]. However, appropriate levels of SO2derivatives exhibit antimicrobial, antioxidant, and preservative properties in the food industry and are widely used in applications such as red wine, food products, and pesticides[76-78]. Moreover, endogenous SO2acts as an important gaseous signaling molecule in living organisms, participating in physiological processes such as vasodilation and blood pressure reduction, and is regarded as the fourth gaseous signaling molecule after NO, CO, and H2S[79,80]. Therefore, the development of efficient and sensitive methods for detecting SO2derivatives is of great significance for environmental monitoring, food safety, and biomedical research.
In 2020, Yang et al.[81]designed and synthesized a 100% water-soluble fluorescent probe Q23 based on a bis-quinoline conjugated structure for the rapid (90 s) and highly selective detection of SO2. Under HSO3 -conditions, probe Q23 undergoes a double-bond addition reaction, disrupting the original conjugated system of the double bond and resulting in a significant Stokes shift. Upon excitation at 330 nm, the fluorescence emission at 570 nm gradually diminishes with the addition of 120 μmol/L HSO3 -, while a new emission peak appears at 445 nm (Figure 25). The detection limit of Q23 is 0.29 μmol/L, and it exhibits a robust fluorescence response over a pH range of 7–10, making it suitable for SO2 detection in physiological environments. Furthermore, Q23 possesses mitochondrial targeting capability and has been successfully applied to real-time imaging of SO2 within mitochondria in living cells, demonstrating its potential for applications in biological systems.
图25 Q23的结构及作用机理[81]

Fig.25 Structure and mechanism of action of Q23[81]

In 2021, Shen’s research group[82]developed a far-infrared fluorescent probe, Q24, for the highly sensitive detection of SO₃²⁻and HSO₃⁻in food. In pure aqueous solution, Q24 has a maximum emission wavelength of 620 nm; upon reaction with SO₃²⁻/HSO₃⁻, the fluorescence intensity increases by a factor of 67 (Figure 26). Q24 exhibits a good linear response in the concentration range of 0–25 μmol/L, with a detection limit as low as 0.11 μmol/L. By fabricating Q24 test strips, rapid on-site detection of SO₃²⁻/HSO₃⁻has been achieved, with the test strip color changing from colorless to purplish-red. The spike recovery of Q24 in noodle and rock sugar samples reaches as high as 97.0%–102%, and it has been successfully applied to fluorescent imaging of HSO₃⁻within HepG2 cells, demonstrating its broad application prospects in food testing and bioimaging.
图26 Q24的结构及作用机理[82]

Fig.26 Structure and mechanism of action of Q24[82]

In 2022, Zhao’s research group[83]reported a near-infrared FRET ratiometric fluorescent probe Q25 based on a coumarin–quinoline fluorophore. Q25 exhibits a significant Stokes shift (260 nm) and an efficient energy transfer efficiency (99.5%), with a detection limit as low as 0.1 μmol/L, enabling real-time detection of SO2derivatives both in vivo and in vitro (Figure 27). Coumarin-based fluorophores are widely used in the design of small-molecule fluorescent probes due to their advantages, including facile synthesis, high fluorescence quantum yield, and large Stokes shift[84-86]. Q25 successfully achieved real-time visualization of endogenous HSO₃-/SO₃²-in living cells, demonstrating its potential application value in biomedical research.
图27 探针Q25对HSO3-/SO32-的作用机理[83]

Fig.27 Mechanism of action of probe Q25 on HSO3-/SO32-[83]

In 2023, Zhang’s research group[87]designed a near-infrared fluorescent probe, Q26, for the highly sensitive detection of HSO₃-in food. Q26 exhibits excellent fluorescence stability over 30 hours, and its detection mechanism is based on the disruption of the intramolecular charge transfer (ICT) process by HSO₃-. Within a concentration range of 0–19 μmol/L, Q26 shows a good linear relationship with HSO₃-, with a detection limit as low as 72 nmol/L. By detecting HSO₃-in sugar and white wine samples, Q26 demonstrates significant color and fluorescence changes, thereby validating its practicality in food detection (Figure 28). Furthermore, by combining a smartphone application to digitally analyze solution color, Q26 exhibits a good linear correlation with HSO₃-concentration. Q26 has also been successfully applied to fluorescence imaging of HSO₃-in zebrafish and mice, further highlighting its potential for applications in biological systems.
图28 Q26的结构及作用机理[87]

Fig.28 The structure and mechanism of action of Q26[87]

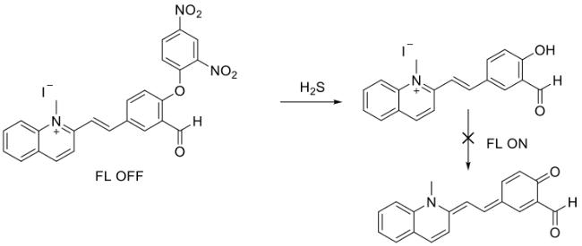
In 2025, Li et al.[88]developed a dual-functional probe Q27 (QTE), which can specifically recognize HSO₃⁻(ratio-based response) and HClO (turn-off response) (Figure 29). Currently, this probe has been successfully applied to HClO imaging in living cells and to the effective quantitative detection of HSO₃⁻in dry food products. Based on the distinct color change of the probe in response to HSO₃⁻, a portable cassette device has also been developed, enabling intelligent colorimetric analysis of HSO₃⁻and facilitating its on-site visual detection. This work demonstrates the broad application prospects of multifunctional small-molecule probes in the fields of biological sciences and food safety testing.
图29 探针Q27对HSO3-/SO32-的作用机理[88]

Fig.29 Mechanism of action of probe Q27 on HSO3-/SO32-[88]

In summary, quinoline-based sulfur-containing compound probes have demonstrated advantages of high selectivity, high sensitivity, and rapid response in the detection of SO2 and its derivatives. In the future, with the introduction of novel fluorophores and recognition units, these probes will have broader application prospects in fields such as environmental monitoring, food safety, and biomedical imaging.
表1 离子荧光探针相关参数

Table 1 Related parameters of ions fluorescent probes

Probe Analyte λexem (nm) Type of sensing Response mechanism Response time Detection limit
Q1 H+、OH- 580/670、480/610 Ratiometric Conjugated effect Extremely fast -
Q2 H+、OH- 430/626、514/734 Ratiometric ICT - -
Q3 Zn2+ 400/570 Turn-on CHEF - 0.66 µmol/L
Q4 Zn2+ 750/515 Ratiometric ICT <2 s 25 nmol/L
Q6 Zn2+ 340/505 Turn-on CHEF - 0.07 µmol/L
Q7 Zn2+ 375/484 Off-on CHEF、PET <3 s 72 nmol/L
Q8 Zn2+ 317/445 Turn-on CHEF、PET - 154 nmol/L
Q9 Zn2+ 370/571 Turn-on CHEF、PET - 0.104 µmol/L
Q10 Zn2+ 405/550 Turn-on CHEF 5 min -
Q11 Cd2+ 360/507 Turn-on ICT、CHEF - 3.52 nmol/L
Q12 Cd2+ 313/525 Turn-on CHEF - 0.1 µmol/L
Q13 Zn2+、Cd2+ 300/520、300/480 Turn-on CHEF、PET - 69 nmol/L
Q14 Cd2+ 350/497 Turn-on ICT、CHEF 10 s 0.14, 0.29 µmol/L
Q15 Zn2+、Cd2+ -/350、-/380 Turn-on PET、tautomerism - 0.15, 0.13 µmol/L
Q16 Cu+ 410/530 Turn-on ICT - 1.03 µmol/L
Q17 Cu2+ 449/505 Off-on PET - 0.06 µmol/L
Q18 Cu2+、S2- 450/521 Off-on PET <1 min 15.2 nmol/L、15 µmol/L
Q19 Cu2+ 340/467 Turn-off AIE - 28.1 nmol/L
Q20 Cu2+ 365/430、516 Ratiometric ICT <1 min 87 nmol/L
Q21 Cu2+、S2- 450/515 Off-on PET - 0.289, 0.01 µmol/L
Q22 Cu2+、S2- 367/545 Off-on PET - -
Q23 SO2(HSO3- 330/570、330/445 Ratiometric Addition、
Conjugated effect
90 s 0.29 µmol/L
Q24 HSO3-、SO32- 550/620 Turn-on Addition、
Conjugated effect
<15 s 0.11 µmol/L
Q25 HSO3-、SO32- 395/655、395/490 Ratiometric FRET、Addition 50 min 0.1 µmol/L
Q26 HSO3-、SO32- 493/710 Turn-on ICT、Addition 50 s 72 nmol/L
Q27 HSO3-、HClO 365/565、365/420 Ratiometric ICT、Addition 2.5 min 12.6, 56.8 nmol/L

4 Research Progress on Quinoline-Derivative-Based Fluorescent Probes for Small-Molecule Detection

4.1 Fluorescent probes for detecting reactive oxygen species small molecules

Reactive Oxygen Species (ROS) are a class of molecules with important physiological and pathological roles in living organisms, primarily including hydrogen peroxide (H2O2), hypochlorous acid (HOCl), hydroxyl radicals (·OH), peroxyl radicals (ROO·), singlet oxygen (¹O2), peroxynitrite (ONOO-), and superoxide anion radicals (O2 -·)[89-93]. ROS maintain a dynamic balance within the body and participate in regulating cellular signaling, immune responses, and metabolic processes. However, abnormally elevated ROS levels can trigger oxidative stress, leading to inflammation, cancer, cardiovascular diseases, and neurodegenerative disorders[94-95]. Therefore, developing highly sensitive and selective ROS detection methods is crucial for elucidating their mechanisms of action and for the diagnosis and treatment of related diseases. Fluorescent probes, which can monitor ROS levels in real time and in situ through changes in fluorescence signals, have become a research hotspot in this field.

4.1.1 Fluorescent probes for detecting H2O2

Hydrogen peroxide (H2O2), as a relatively mild reactive member of the ROS family, plays an important role in cellular signaling and oxidative stress. In recent years, H2O2fluorescent probes based on quinoline structures have been extensively studied due to their excellent optical properties and biocompatibility.
In 2019, Liu et al.[96]first reported a near-infrared fluorescent probe Q28 with a large Stokes shift, which was used for the dual detection of mitochondrial viscosity and H2O2in brain tissue from rats with Alzheimer’s disease (AD) (Figure 30). The Q28 probe solution exhibits maximum absorption at 570 nm; after reacting with H2O2, the absorption at 570 nm decreases, while a new absorption peak appears at 440 nm. Under excitation at 440 nm, as the concentration of H2O2continuously increases, the fluorescence intensity at 700 nm significantly increases. Q28 displays stable fluorescence response over a pH range of 4.0–10.0, and the detection limit of the probe is as low as 3 nmol/L. Currently, this probe has been successfully applied to the detection of exogenous and endogenous H2O2in living cells and has demonstrated its excellent mitochondrial targeting ability and blood–brain barrier permeability.
图30 Q28的结构及作用机理[96]

Fig.30 Structure and mechanism of action of Q28[96]

In 2020, Wang et al.[97]developed a near-infrared fluorescent probe Q29 based on heterocyclic aromatic amines. Q29 features a simple structure and a large Stokes shift of 150 nm. Q29 uses an acetyl group as a specific recognition site for H2O2and employs an intramolecular charge transfer (ICT) mechanism to regulate the fluorescence signal. Upon reaction with H2O2, the acetyl group is cleaved, leading to the disappearance of intramolecular ICT and a significant reduction in fluorescence intensity (Figure 31). Q29 exhibits long-wavelength emission at 700 nm and demonstrates high sensitivity and selectivity, providing a new tool for the detection of H2O2.
图31 Q29的结构及作用机理[97]

Fig.31 Structure and mechanism of action of Q29[97]

In 2021, Yang et al.[98]designed a ratiometric fluorescent probe Q30 to investigate the role of H2O2in the pyroptosis signaling pathway. In the absence of H2O2, Q30 emits fluorescence at 580 nm; upon reaction with H2O2, a new emission peak appears at 464 nm, with a shift of 116 nm between the two peaks (Figure 32). When the H2O2 concentration ranges from 4 to 100 mmol/L, Q30 exhibits a good linear relationship with its concentration, providing an important tool for studying the H2O2-mediated pyroptosis mechanism.
图32 Q30的结构及作用机理[98]

Fig.32 Structure and mechanism of action of Q30[98]

In the same year, Li et al.[99]developed a near-infrared fluorescent probe Q31 based on a quinoline-xanthene dye for highly sensitive detection of H2O2. The Q31 solution exhibited a significant fluorescence enhancement at 772 nm, with a detection limit as low as 10 nmol/L, and was successfully applied to real-time monitoring of H2O2in a diabetic mouse model (Fig. 33). This study provides new insights for the early diagnosis of diabetes and its complications.
图33 Q31的结构及作用机理[99]

Fig.33 Structure and mechanism of action of Q31[99]

In 2022, Kang et al.[100]designed an “on” fluorescent probe Q32 based on the ICT mechanism (Figure 34),which exhibits excellent selectivity and sensitivity toward H2O2in PBS buffer, with a detection limit as low as 35.5 nmol/L. Q32 has been successfully applied to fluorescent imaging of H2O2in live cells and zebrafish models, demonstrating its broad application potential in biological systems.
图34 Q32的结构及作用机理[100]

Fig.34 Structure and mechanism of action of Q32[100]

In the same year, Sun Chenyang[101]designed and synthesized QLB-class probes based on a quinoline scaffold, with boronic acid/phenylboronic acid as the recognition moiety (Figure 35). Among these, Q33 (2-methyl-7-hydroxyquinoline) exhibits an detection limit as low as 1.447 μmol/L for H2O2, demonstrating excellent selectivity and sensitivity. This study provides new insights into the design of quinoline-based H2O2probes.
图35 Q33的结构及与H2O2反应[101]

Fig.35 Structure of Q33 and reaction with H2O2[101]

In 2023, Wu et al.[102]developed a Golgi-targeted two-photon fluorescent probe, Q34, for ratiometric detection of H2O2in the Golgi apparatus (Figure 36). Q34 modulates its fluorescence signal through a specific reaction between the boronate ester and H2O2, with a linear detection range of 5–60 μmol/L. This probe has already been successfully applied to intracellular H2O2imaging under single- and two-photon microscopy.
图36 Q34的结构及作用机理[102]

Fig.36 Structure and mechanism of action of Q34[102]

In 2024, Li et al.[103]designed the mitochondria-targeting styryl quinolinium salt fluorescent probe Q35, which can specifically recognize hydrogen peroxide (H2O2) in mitochondria (Figure 37). Upon excitation at 440 nm, this probe exhibits a specific fluorescence response at 570 nm, enabling highly selective detection of H2O2with an LOD of 13 nmol/L, while maintaining fluorescence stability for more than 40 minutes under physiological pH conditions. Mitochondrial targeting is achieved through the quinolinium cation structure (Pearson coefficient = 0.88), and the triethylene glycol monomethyl ether group confers blood–brain barrier permeability. Experiments have confirmed that Q35 can effectively monitor changes in both exogenous and endogenous H2O2levels inside and outside cells, and has been successfully applied to dynamically track H2O2in a cerebral ischemia–reperfusion injury (CIRI) model, providing a powerful tool for research into relevant pathological mechanisms and drug development.
图37 Q35的结构及作用机理[103]

Fig. 37 Structure and mechanism of action of Q35[103]

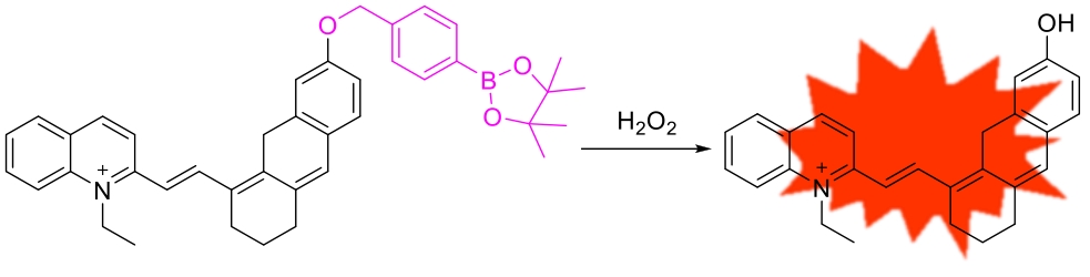
In 2025, Sheng et al.[104]leveraged the advantages of quinoline quaternary ammonium salt probes to design and develop a ratiometric H2O2fluorescent probe, Q36, based on a phenylboronate ester. This probe releases a 6-methoxyquinoline fluorophore via an H2O2-specific cleavage reaction, resulting in enhanced fluorescence at 366 nm and diminished fluorescence at 450 nm (I₃₆₆/I₄₅₀ exhibits a linear response over the range of 0–100 μmol/L). Q36 features rapid response (<5 min), high selectivity (insensitivity to interfering species such as ROS), and low cytotoxicity, and has been successfully applied to H2O2imaging in HeLa cells and zebrafish. Although its short-wavelength characteristics (λex/em = 366/450 nm) limit deep-tissue imaging, this work provides an important reference for the development of novel ratiometric H2O2probes.
图38 Q36的结构及与H2O2反应[104]

Fig.38 Structure of Q36 and reaction with H2O2[104]

In summary, quinoline-based H2O2fluorescent probes have made significant progress in recent years, with their design strategies and application scopes continuously expanding. With the introduction of novel fluorophores and recognition units, these probes will demonstrate broader application prospects in biomedical research and clinical diagnostics.

4.1.2 Fluorescent probes for detecting HClO

Hypochlorous acid (HClO) and its ionic form (ClO-) are among the important reactive oxygen species (ROS) in living organisms, possessing strong oxidizing power. In biological systems, HClO is primarily generated from hydrogen peroxide (H2O2) and chloride ions (Cl-) under the catalysis of myeloperoxidase (MPO), participating in immune defense processes and effectively killing invading pathogenic microorganisms[105]. However, excessive production of HClO is closely associated with various diseases, such as lung injury, cardiovascular disease, arthritis, and cancer[106]. Therefore, developing highly sensitive and selective fluorescent probes for HClO/ClO- is of great significance for studying its mechanisms of action in living organisms and for the diagnosis of related diseases[107-108]. In recent years, HClO fluorescent probes based on quinoline structures have become a research hotspot in this field due to their excellent optical properties and biocompatibility[109].
In 2020, Huan et al.[110]designed and synthesized a fluorescent probe Q37 based on quinoline, coumarin, and Cu2+for the highly sensitive detection of HClO/ClO-(Figure 39). Q37 forms an L-Cu2+complex through coordination with Cu2+, exhibiting fluorescence quenching at 490 nm, which is attributed to the ligand-to-metal charge transfer (LMCT) process. Upon reaction with HClO/ClO-, the L-Cu2+complex is disrupted, yielding 7-(diethylamino)-coumarin-3-carboxylic acid and restoring fluorescence at 460 nm. Q37 offers advantages such as a rapid response (2 seconds), high selectivity, and a wide linear range (1.00×10-⁶~7.47×10-⁴ mol/L) for detecting HClO/ClO-, along with a low detection limit (5.7×10-⁷ mol/L). Moreover, Q37 has been successfully applied to the detection of HClO/ClO-in environmental water samples, demonstrating its potential for practical applications.
图39 Q37的结构及作用机理[110]

Fig.39 Structure and mechanism of action of Q37[110]

In 2021, Meng et al.[111]developed a novel quinoline-based fluorescent probe, Q38, for the detection of HClO and its visualization in living organisms. Q38 is constructed by linking p-hydroxybenzaldehyde with 1-ethyl-4-methylquinolinium iodide via a carbon–carbon double bond. It exhibits an absorption peak at 419 nm and emits yellow fluorescence at 550 nm. Upon reaction with HClO, the phenol group in Q38 is oxidized to benzoquinone, resulting in a red shift of the absorption peak by 93 nm and a significant quenching of fluorescence intensity (Figure 40).Q38 has a detection limit as low as 6.5 nmol/L for HClO and has been successfully applied to fluorescence imaging of HClO in zebrafish and mouse models. Moreover, the staining chromatography plates based on Q38 provide a convenient tool for the rapid detection of HClO, offering a new technical approach for studying HClO-mediated biological processes.
图40 Q38的结构式及荧光机理[111]

Fig.40 Structural formula and fluorescence mechanism of Q38[111]

In 2024, Fang et al.[112]reported a novel mitochondria-targeted AIE fluorescent probe Q39 (Figure 41), which consists of a phenylboronate recognition moiety and a quinoline-modified triphenylethene fluorophore. The probe exhibits a fluorescence-on response triggered by the specific cleavage of the phenylboronate bond by HOCl (LOD = 0.11 μmol/L) and demonstrates excellent selectivity and biocompatibility. Q39 has been successfully applied to: 1) imaging HOCl in mitochondria of living cells; 2) specifically monitoring the dynamic changes of HOCl during ferroptosis (which can be inhibited by GSH); and 3) portable detection using a test strip coupled with a smartphone. As the first AIE probe targeting mitochondria for HOCl monitoring in ferroptosis, it provides a new tool for research into related pathological mechanisms and the development of diagnostic and therapeutic strategies.
图41 Q39的结构式及荧光机理[112]

Fig.41 Structural formula and fluorescence mechanism of Q39[112]

In addition to the H2O2and HClO-related probes mentioned above, quinoline probes have also been widely used in the detection of NO2 [113,114]and hydroxyl radicals[115-117], among other important reactive oxygen species. In recent years, significant progress has been made in this area, and the design strategies and application scope of these probes continue to expand. In the future, with continuous innovations in fluorophores and recognition units, these probes will demonstrate even broader application prospects in biomedical research, environmental monitoring, and clinical diagnostics.

4.2 Detection of H2S fluorescent probe

Hydrogen sulfide (H2S) is the third endogenous gaseous signaling molecule discovered after nitric oxide (NO) and carbon monoxide (CO). It participates in various physiological processes in the body, such as angiogenesis, vasodilation, apoptosis, inflammation regulation, and neural regulation[118-123]. However, abnormal levels of H2S are closely associated with various diseases, including non-small cell lung cancer, Alzheimer's disease, diabetes, and mitochondrial dysfunction[124-126]. Therefore, developing highly sensitive and highly selective H2S fluorescent probes is of great significance for studying its mechanisms of action in living organisms and for the diagnosis of related diseases. Currently, H2S fluorescent probes based on mechanisms such as nucleophilic addition, azide reduction, Michael addition, and dinitrobenzene ether thiolysis have been extensively studied[127-131]. Among these, the azide reduction strategy has attracted considerable attention due to its high specificity.
In 2019, Yin et al.[131]designed and synthesized a quinoline-based H2S fluorescent probe, Q40. Q40 uses quinoline as the fluorophore and an azide group as the recognition moiety; upon reaction with H2S, the azide group is reduced to an amino group, triggering a “turn-on” fluorescence response (Figure 42). Q40 exhibits an 11-fold fluorescence enhancement at 533 nm, with a detection limit as low as 0.08 μmol/L, and has been successfully applied to the detection of exogenous and endogenous H2S in HepG-2 cells, demonstrating its excellent biocompatibility and cell membrane permeability.
图42 Q40的结构式及荧光机理[131]

Fig.42 Structural formula and fluorescence mechanism of Q40[131]

In 2020, Zhang et al.[132]developed a ratiometric fluorescent probe Q41 based on a quinoline quaternary ammonium salt derivative. Q41 generates two fluorescence emission peaks at 525 nm and 605 nm through a reaction between the azide group and H2S, with the intensity ratio being positively correlated with the H2S concentration (Figure 43). Q41 exhibits high sensitivity, excellent selectivity, and stability over a pH range of 5.64–10.2, and has been successfully used for the detection of endogenous H2S in living cells.
图43 探针Q41的结构及作用机理[132]

Fig.43 Structure and mechanism of action of probe Q41[132]

In 2022, Liu et al.[133]designed a fluorescent probe Q42 based on a quinolinium salt–phenol vinyl conjugate structure for the detection of H2S in food. Q42 disrupts the intramolecular charge transfer (ICT) process via H2S, leading to fluorescence quenching (Figure 44). Q42 was formulated into a test strip for monitoring H2S released during food spoilage, demonstrating its potential for application in the field of food safety.
图44 探针Q42的结构及作用机理[133]

Fig.44 Structure and mechanism of action of probe Q42[133]

In the same year, Zhou et al.[134]developed a dual-functional near-infrared fluorescent probe Q43 for the simultaneous detection of H2S and microenvironmental viscosity. In the presence of H2S, Q43 generates fluorescence enhancement signals at 570 nm and 721 nm, respectively, and has been successfully applied to imaging H2S and viscosity in living cells and zebrafish (Fig. 45). The detection limit of Q43 is 5.7 μmol/L, providing a powerful tool for studying the mechanisms of H2S in biological systems.
图45 探针Q43的作用机理[134]

Fig.45 Mechanism of action of probe Q43[134]

In 2023, Liu et al.[135]developed an improved H2S fluorescent probe, Q44, based on earlier research. Q44 is designed around the thiolysis reaction of dinitrophenyl ether and exhibits high selectivity, high sensitivity (detection limit of 15 nmol/L), and a rapid response (<3 min) (Figure 46). Q44 has been successfully applied to the detection of H2S in food spoilage and to cellular imaging, demonstrating its potential for practical applications.
图46 探针Q44的作用机理[135]

Fig. 46 Mechanism of action of probe Q44 [135]

In the same year, Shuang et al.[136]designed a mitochondria-targeted near-infrared fluorescent probe Q45, which can simultaneously monitor H2S and microenvironment viscosity/polarity via a dual-channel approach. Q45 generates fluorescence signals at 634 nm and 714 nm, respectively, and has been successfully applied to the visualization detection of H2S and viscosity in inflammatory cells, non-alcoholic fatty liver (NAFL) tissues, and clinical cancer samples (Figure 47). In addition, Q45 has also been used for test-strip detection of H2S during food spoilage, demonstrating its broad application prospects in complex environmental systems.
图47 探针Q45的作用机理[136]

Fig.47 Mechanism of action of probe Q45[136]

In 2025, Adhikari et al.[137]developed a quinoline-based fluorescent probe Q46 modified with Sanger reagents, which achieves a fluorescence-on response via the specific thiolysis of 2,4-dinitrophenoxy by S²- (LOD = 269 nmol/L). This probe can specifically detect endogenously produced hydrogen sulfide (H2S) that is upregulated in cancer cells (such as MDA-MB-231 and A549), providing a novel molecular tool for tumor diagnosis and pathological studies related to H2S. At the same time, under physiological pH conditions, this probe exhibits excellent cell permeability and highly selective recognition of S²-.
图48 探针Q46的作用机理[137]

Fig.48 Mechanism of action of probe Q46[137]

In addition to the detection of H2S gas, well-performing quinoline-based probes for other endogenous gases such as CO[138]and NO[139,140]have also been developed. With the development of new fluorescent dyes and novel recognition and detection strategies, these probes will demonstrate even greater application potential in the study of specific physiological processes and particular diseases.

5 Conclusion and Outlook

In summary, quinoline-based fluorescent probes, with their highly modifiable structures and tunable photophysical properties, have become important tools in the field of ion and small-molecule detection. Through structural modification and functional design, researchers have developed a variety of highly selective and sensitive probes that have been successfully applied to the detection of ions such as H+,Zn2+,Cd2+,Cu+/Cu2+,as well as small molecules like SO2 derivatives, reactive oxygen species, and H2S. These probes have demonstrated significant value in areas such as environmental monitoring, bioimaging, and medical diagnostics. Such research provides powerful tools for the precise detection of target analytes in complex systems and underscores the broad application potential of quinoline-based fluorescent probes.
表2 小分子荧光探针相关参数

Table 2 Related parameters of small molecule fluorescent probes

Probe Analyte λexem (nm) Type of sensing Response mechanism Response time Detection limit
Q28 H2O2 440/700 Turn-on ICT 40 min 3 nmol/L
Q29 H2O2 550/700 Turn-on ICT 30 min 0.85 µmol/L
Q30 H2O2 405/580、405/464 Ratiometric ICT - -
Q31 H2O2 725/772 Turn-on ICT 5 min 0.17 µmol/L
Q32 H2O2 430/617 Turn-on ICT 18 min 35.5 nmol/L
Q33 H2O2 394/550 Turn-off ICT 40 min 1.447 µmol/L
Q34 H2O2 360/420、360/505 Ratiometric ICT 60 min -
Q35 H2O2 440/570 Turn-on ICT 40 min 13 nmol/L
Q36 H2O2 300/450、300/366 Ratiometric ICT 30 min -
Q37 Cu2+、ClO- 401/490、401/460 Off-on LMCT、Oxidation 2 s 0.57 µmol/L
Q38 HClO 450/550 Turn-off ICT 25 s 6.5 nmol/L
Q39 HClO 360/470 Turn-on AIE 30 min 89.25 nmol/L
Q40 H2S 335/533 Turn-on ICT 3.4 min 0.08 µmol/L
Q41 H2S 385/525、521/605 Ratiometric ICT 60 min 0.1 µmol/L
Q42 H2S 380/490 Turn-off ICT 15 min 54 nmol/L
Q43 H2S 450/570 Turn-on ICT 9 min 5.7 µmol/L
Q44 H2S 400/544 Turn-on ICT 150 s 15 nmol/L
Q45 H2S 400/634 Turn-on ICT - 0.295 pmol/L
Q46 H2S 420/516 Turn-on PET 30 min 269 nmol/L
However, this field still faces key challenges: 1) Intrinsic performance limitations, such as poor water solubility, insufficient photostability, and a small Stokes shift (<50 nm) in some modified quinoline molecules, which affect the effectiveness of these probes in biological systems; 2) Selectivity bottlenecks in certain probes—for example, Cd2+ probes are susceptible to interference from Zn2+ and Hg2+, requiring complex structural modifications to enhance specificity; 3) At the application level, matrix effects in environmental water samples and biological tissues may interfere with detection signals, and it remains challenging to achieve multifunctional integration for simultaneous detection of multiple analytes, organelle targeting, and real-time imaging.
In the future, the development of quinoline-based fluorescent probes should focus on three directions: 1) Innovative molecular engineering: Developing near-infrared (NIR-II region) probes and integrating them with targeted delivery systems (such as nanocarriers) to achieve theranostic integration; 2) Intelligent design strategies: For example, combining de novo molecular generators (DNMG) with quantum chemical calculations (QC) to develop fluorescent molecules[141]and constructing the modular AI framework FLAME, which integrates open-source databases and multiple predictive models with cutting-edge molecular generators to revolutionize fluorophore design[142],thereby accelerating the development of high-performance probes; 3) Expansion of application scenarios: Developing miniaturized detection platforms (such as paper-based sensors) and multimodal imaging technologies (such as combined fluorescence-PET imaging).
Through multidisciplinary integration, quinoline-based fluorescent probes hold promise for achieving end-to-end breakthroughs—from basic research to clinical translation—in fields such as environmental toxicology and precision medicine.
[1]
Zhang Q Y, Wong K M. Coord. Chem. Rev., 2020, 416: 213336.

[2]
Yang Y M, Zhao Q, Feng W, Li F Y. Chem. Rev., 2013, 113(1): 192.

[3]
Chen X Q, Pradhan T, Wang F, Kim J S, Yoon J. Chem. Rev., 2012, 112(3): 1910.

[4]
Yildiz Y, Kotb M, Hussein A, Sayedahmed M, Rachid M, Cheema M. Am. J. Anal. Chem., 2019, 10(4): 127.

[5]
Gao R F, Zhang N. At.Spectrosc., 2015, 36(5): 216.

[6]
Han D C, Zhang D. Asian J. Chem., 2015, 27(8): 2783.

[7]
Carter K P, Young A M, Palmer A E. Chem. Rev., 2014, 114(8): 4564.

[8]
De Silva A P, Gunaratne H N, Gunnlaugsson T, Huxley A J, Mccoy C P, Rademacher J T, Rice T E. Chem. Rev., 1997, 97(5): 1515.

[9]
Li X H, Gao X H, Shi W, Ma H M. Chem. Rev., 2014, 114(1): 590.

[10]
Rasheed T, Bilal M, Nabeel F, Iqbal H M, Li C, Zhou Y. Sci. Total Environ., 2018, 615: 476.

[11]
Caglayan M G, Sheykhi S, Mosca L, Anzenbacher P. Chem. Commun., 2016, 52(53): 8279282.

[12]
Hong J H, Kurapati S, Jo Y, Shin J H, Cho D G. Chem. Commun., 2016, 52(71): 10759.

[13]
Price T W, Firth G, Eling C J, Kinnon M, Long N J, Sturge J, Stasiuk G J. Chem. Commun., 2018, 54(26): 3227.

[14]
Pinkert T, Furkert D, Korte T, Herrmann A, Arenz C. Angew. Chem. Int. Ed., 2017, 56(10): 2790.

[15]
Wang Z, Wu H, Liu P, Zeng, F, Wu S. Biomaterials, 2017, 139: 139.

[16]
Gao X, Feng G, Manghnani P N. Chem. Commun. (Camb), 2017, 53(10): 1653.

[17]
Akkaya E U, Huston M E, Czarnik A W. J. Am. Chem. Soc., 1990, 112: 3590.

[18]
Lee H, Akers W, Bhushan K, Bloch S, Sudlow G, Tang R, Achilefu S. Bioconjugate Chem., 2011, 22(4): 777.

[19]
Holopainen J M, Saarikoski J, Kinnunen P K J, Järvelä I. Eur. J. Biochem., 2001, 268(22): 5851.

[20]
Gui L J, Wang K Z, Wang Y X, Yan J, Liu X, Guo J X, Liu J, Deng D W, Chen H Y, Yuan Z W. Chin. Chem. Lett., 2023, 34(3): 107586.

[21]
Zhang T, Huo F J, Zhang W J, Chao J B, Yin C X. Sens. Actuat. B Chem., 2021, 345: 130393.

[22]
Song G J, Jiang D, Wang L, Sun X Z, Liu H T, Tian Y Q, Chen M W. Chin. Chem. Lett., 2022, 33(1): 339.

[23]
Huang Y, Zhang Z, Ma L, Zhang H, Yan J, Wu J, Liu C. Dyes Pigm., 2023, 219: 111629.

[24]
Basabe-Desmonts L, Reinhoudt D N, Crego-Calama M. Chem. Soc. Rev., 2007, 36(6): 993.

[25]
Compagnone D, Francia G, Natale C, Neri G, Seeber R, Tajani A. Sensors, 2017, 17(4): 868.

[26]
Dong Z, Le X, Zhou P, Dong C, Ma J. New J. Chem., 2014, 38(4): 1802.

[27]
Kwon N, Hu Y, Yoon J. ACS Omega, 2018, 3(10): 13731.

[28]
Cuajungco M P, Lees G J. Neurobiol. Dis., 1997, 4(3/4): 137.

[29]
Koh J Y, Suh S W, Gwag B J, He Y Y, Hsu C Y, Choi D W. Science, 1996, 272(5264): 1013.

[30]
Küry S, Dréno B, Bézieau S, Giraudet S, Kharfi M, Kamoun R, Moisan J P. Nat. Genet., 2002, 31(3): 239.

[31]
Gao L L, Li S P, Wang Y, Wu W N, Zhao X L, Li H J, Xu Z H. Spectrochim. Acta Part A Mol. Biomol. Spectrosc., 2020, 230: 118025.

[32]
a) Li W Y, Liu Z C, Fang B Q, Jin M, Tian Y. Biosens. Bioelectron., 2020, 148: 111666.;

b) Shao Z, Zhang W Y, Zhao K. Clin. Phys. B, 2022, 31(5): 053302.

[33]
Kim A, Lee H, Yun D J, Jung U, Kim K T, Kim C. Spectrochim. Acta Part A Mol. Biomol. Spectrosc., 2020, 241: 118652.

[34]
Wang J T, Pei Y Y, Yan M Y, Li Y G, Yang G G, Qu C H, Luo W, Wang J, Li Q F. Microchem. J., 2021, 160: 105776.

[35]
Panda S K, Mishra S, Mamidi P, Chattopadhyay S, Singh A K. J. Photochem. Photobiol., A: Chem., 2022, 427: 113816.

[36]
You B H, Li L, Li Z, Wang W, Yang Y L, Cheng W, Luo X J, Qian Y. Talanta, 2025, 284: 127267.

[37]
Dong Y W, Wang Y, Song Y, Yu Z, Yu Z, Zhao Z, Wang L Y. ChemistrySelect, 2024, 9(9): e202400389.

[38]
Chaney R L, Ryan J A, Li Y M, Brown S L. Cadmium in Soils and Plants. Dordrecht: Springer Netherlands, 1999: 219.

[39]
Wang L. Master’s Dissertation of DongHua University, 2021

(王磊. 东华大学硕士论文, 2021).

[40]
Liu Z, Peng C N, Lu Z X, Yang X F, Pei M S, Zhang G Y. Dyes Pigm., 2015, 123: 85.

[41]
Jiang X J, Fu Y, Tang H, Zang S Q, Hou H W, Mak T C W, Zhang H Y. Sens. Actuat. B Chem., 2014, 190: 844.

[42]
Huang W B, Gu W, Huang H X, Wang J B, Shen W X, Lv Y Y, Shen J. Dyes Pigm., 2017, 143: 427.

[43]
Cheng T Y, Xu Y F, Zhang S Y, Zhu W P, Qian X H, Duan L P. J. Am. Chem. Soc., 2008, 130(48): 16160.

[44]
Boonkitpatarakul K, Smata A, Kongnukool K, Srisurichan S, Chainok K, Sukwattanasinitt M. J. Lumin., 2018, 198: 59.

[45]
Aich K, Das S, Gharami S, Patra L, Mondal T K. ChemistrySelect, 2019, 4(27): 8068.

[46]
Li S, Cao D, Ma W, Hu Z, Meng X, Li Z, Yuan C, Zhou T, Han X. RSC Adv., 2020, 10: 18434.

[47]
Zhang Z, Zou Y, Liu J. Luminescence, 2024, 39: e4610.

[48]
Huang Y, Chen W, Dong M, Li N, Chen L, Ling L, Xu Q, Lin M, Xing Z. Spectrochim. Acta Part A Mol. Biomol. Spectrosc., 2023, 301: 122979.

[49]
Huang Y T, Chen W Z, Dong M Y, Li N N, Chen L H, Ling L, Xu Q J, Lin M, Xing Z Y. Spectrochim. Acta Part A Mol. Biomol. Spectrosc., 2023, 301: 122979.

[50]
Lu Z N, Wang L, Zhang X, Zhu Z J. Spectrochim. Acta Part A Mol. Biomol. Spectrosc., 2019, 213: 57.

[51]
Hojitsiriyanont J, Chaibuth P, Boonkitpatarakul K, Ruangpornvisuti V, Palaga T, Chainok K, Sukwattanasinitt M. J. Photochem. Photobiol. A Chem., 2021, 415: 113307.

[52]
Paisuwan W, Kodama T, Palaga T, Pattarakankul T, Sukwattanasinitt M, Chailanggar N, Tobisu M, Ajavakom A. Sens. Int., 2025, 6: 100336.

[53]
Sivaraman G, Iniya M, Anand T, Kotla N G, Sunnapu O, Singaravadivel S, Gulyani A, Chellappa D. Coord. Chem. Rev., 2018, 357: 50.

[54]
Gujuluva Gangatharan V K, Mookkandi Palsamy K, Gandhi S, Jamespandi A, Kandasamy A, Arunachalam T, Shenmuganarayanan A, Balasubramaniyam S, Jegathalaprathaban R. Sens. Actuators, B: Chem., 2018, 255: 3235.

[55]
Kovács J, Mokhir A. Inorg. Chem., 2008, 47(6): 1880.

[56]
Genovese M E, Caputo G, Nanni G, Setti C, Bustreo M, Perotto G, Athanassiou A, Fragouli D. ACS Appl. Mater. Interfaces, 2017, 9(46): 40707.

[57]
Mercer S W, Wang J, Burke R. J. Biol. Chem., 2017, 292(10): 4113.

[58]
Hung Y H, Bush A I, Cherny R A. J. Biol. Inorg. Chem., 2010, 15(1): 61.

[59]
Farhi A, Firdaus F, Saeed H, Mujeeb A, Shakir M, Owais M. Photochem. Photobiol. Sci., 2019, 18(12): 3008.

[60]
Li S L, Cao D L, Meng X J, Hu Z Y, Li Z C, Yuan C C, Zhou T, Han X H, Ma W B. Spectrochim. Acta Part A Mol. Biomol. Spectrosc., 2020, 230: 118022.

[61]
Yan X J, Wang Z G, Wang Y, Huang Y Y, Liu H B, Xie C Z, Li Q Z, Xu J Y. Spectrochim. Acta Part A Mol. Biomol. Spectrosc., 2020, 243: 118797.

[62]
Jiang J Q, Zhang Y M, Wei T B, Yao H, Lin Q. Appl. Organomet. Chem., 2022, 36(7): e6705.

[63]
Xu X X, Duan G T, Li Y, Liu G Q, Wang J J, Zhang H W, Dai Z F, Cai W P. ACS Appl. Mater. Interfaces, 2014, 6(1): 65.

[64]
Wei T B, Yong B R, Dang L R, Zhang Y M, Yao H, Lin Q. Dyes Pigm., 2019, 171: 107707.

[65]
Wang P, Yao K, Fu J X, Chang Y X, Li B, Xu K X. Spectrochim. Acta Part A Mol. Biomol. Spectrosc., 2019, 211: 9.

[66]
Li B, Kou J J, Mei H H, Gu X, Wang M H, Xie X M, Xu K X. Anal. Methods, 2020, 12(34): 4181.

[67]
Chen Y F, Tang T X, Chen Y H, Xu D M. Res. Chem. Intermed., 2018, 44(4): 2379.

[68]
Chang Y X, Qin H J, Wang X, Li X P, Li M M, Yang H, Xu K X, Qing G Y. ACS Sens., 2020, 5(8): 2438.

[69]
Chang Y X, Li B, Mei H H, Yang L, Xu K X, Pang X B. Spectrochim. Acta Part A Mol. Biomol. Spectrosc., 2020, 226: 117631.

[70]
Zhu H C, Liu M Y, Liu C Y, Yu M H, Wang K, Li X K, Sheng W L, Zhu B C. Sci. Total Environ., 2023, 857: 159488.

[71]
Wang M Y, Shi J L, Cao D L, Zhao L X. J. Fluoresc., 2025, 4257.

[72]
Long Y L, Luo X J, Xia R M, Li L, Li Z, Sun W W, Liu H K, Qian Y. Talanta, 2026, 296: 128501.

[73]
Irving P M, Miller J E. J. Environ. Qual., 1981, 10(4): 473.

[74]
Cheh A M, Skochdopole J, Koski P, Cole L. Science, 1980, 207(4426): 90.

[75]
Xu J C, Yuan H Q, Zeng L T, Bao G M. Chin. Chemical Lett., 2018, 29(10): 1456.

[76]
Pundir C S, Rawal R. Anal. Bioanal. Chem., 2013, 405(10): 3049.

[77]
Koch M, Köppen R, Siegel D, Witt A, Nehls I. J. Agric. Food Chem., 2010, 58(17): 9463.

[78]
Fazio T, Warner C R. Food Addit. Contam., 1990, 7(4): 433.

[79]
Meng Z Q, Zhang H F. Inhal. Toxicol., 2007, 19(11): 979.

[80]
Liu D, Huang Y, Bu D, Liu A D, Holmberg L, Jia Y, Tang C, Du J, Jin H. Cell Death Dis., 2014, 5(5): e1251.

[81]
Yang J L, Yin C X, Ma K Q, Yue Y K, Huo F J. New J. Chem., 2020, 44(46): 20235.

[82]
Zhang C, Han L, Liu Q, Liu M, Gu B, Shen Y. Spectrochim. Acta Part A Mol. Biomol. Spectrosc., 2021, 253: 119561.

[83]
Liu F T, Li N, Chen Y S, Yu H Y, Miao J Y, Zhao B X. Anal. Chim. Acta, 2022, 1211: 339908.

[84]
Yuan L, Lin W Y, Zhao S, Gao W S, Chen B, He L W, Zhu S S. J. Am. Chem. Soc., 2012, 134(32): 13510.

[85]
Yu Y M, Liu C Y, Tian B, Cai X Y, Zhu H C, Jia P, Li Z L, Zhang X, Sheng W L, Zhu B C. Dyes Pigm., 2020, 177: 108290.

[86]
Sarkar S, Santra M, Singha S, Jun Y W, Reo Y J, Kim H R, Ahn K H. J. Mater. Chem. B, 2018, 6(27): 4446.

[87]
Shang Z Y, Wang Y, Meng Q T, Zhang R, Zhang Z Q. Spectrochim. Acta Part A Mol. Biomol. Spectrosc., 2023, 299: 122853.

[88]
Xu Z, Wang R, Xiao Q, Luo H, Li N. J. Agric. Food Chem., 2024, 72: 10097.

[89]
Winterbourn C C. Nat. Chem. Biol., 2008, 4(5): 278.

[90]
Stadtman E R. Free. Radic. Res., 2006, 40(12): 1250.

[91]
Forman H J. Ann. N Y Acad. Sci., 2010, 1203(1): 35.

[92]
Finkel T, Holbrook N J. Nature, 2000, 408(6809): 239.

[93]
Chen X Q, Wang F, Hyun J Y, Wei T W, Qiang J, Ren X T, Shin I, Yoon J. Chem. Soc. Rev., 2016, 45(10): 2976.

[94]
Murfin L C, Weber M, Park S J, Kim W T, Lopez-Alled C M, McMullin C L, Pradaux-Caggiano F, Lyall C L, Kociok-Köhn G, Wenk J, Bull S D, Yoon J, Kim H M, James T D, Lewis S E. J. Am. Chem. Soc., 2019, 141(49): 19389.

[95]
Dickinson B C, Chang C J. J. Am. Chem. Soc., 2008, 130(30): 9638.

[96]
Li S J, Wang P P, Feng W Q, Xiang Y H, Dou K, Liu Z H. Chem. Commun., 2020, 56(7): 1050.

[97]
Han H, He X, Wu M, Huang Y, Zhao L, Xu L, Ma P, Sun Y, Song D, Wang X. Talanta, 2020, 217: 121000.

[98]
Yang G Q, Zhu T, Wang D, Liu Z J, Zhang R L, Han G M, Tian X H, Liu B H, Han M Y, Zhang Z P. Chem. Commun., 2021, 57(54): 6628.

[99]
Wang W X, Jiang W L, Mao G J, Tan M, Fei J, Li Y, Li C Y. Anal. Chem., 2021, 93(6): 3301.

[100]
Hua Y, Shang Y J, Gao M J, Li J, Kang Y F. Spectrochim. Acta Part A Mol. Biomol. Spectrosc., 2022, 265: 120320.

[101]
Sun C Y. Master’s Dissertation of Jiangsu University of Science and Technology, 2022

(孙晨阳. 江苏科技大学硕士论文, 2022).

[102]
Feng Z J, Wu J S, Liu W M, Ren H H, Zheng X L, Zhang W J, Lee C S, Wang P F. Sens. Actuat. B Chem., 2023, 384: 133668.

[103]
Fang C, Deng Q, Zhao K C, Zhou Z L, Zhu X H, Liu F, Yin P, Liu M L, Li H T, Zhang Y Y, Yao S Z. Anal. Chem., 2024, 96(8): 3436.

[104]
Cai X Y, Li X K, Li W Z, Yan T Y, Liu C Y, Rong X D, Sheng W L, Zhu B C. Luminescence, 2025, 40(3): e70105.

[105]
Li H, Cao Z H, Moore D R, Jackson P L, Barnes S, Lambeth J D, Thannickal V J, Cheng G J. Infect. Immun., 2012, 80(7): 2528.

[106]
Zhu H, Fan J L, Wang J Y, Mu H Y, Peng X J. J. Am. Chem. Soc., 2014, 136(37): 12820.

[107]
Wu D, Chen L, Xu Q, Chen X, Yoon J. Acc. Chem. Res., 2019, 52(8): 2158.

[108]
Ma C, Zhong G, Zhao Y, Zhang P, Fu Y, Shen B. Spectrochim. Acta Part A Mol. Biomol. Spectrosc., 2020, 240: 118545.

[109]
Wang L L, Qiao J, Liu H H, Hao J, Qi L, Zhou X P, Li D, Nie Z X, Mao L Q. Anal. Chem., 2014, 86(19): 9758.

[110]
Liu R X, Zhao Y Q, Cui X Q, Sun X X, Fei Q, Feng G D, Shan H Y, Huan Y F. Luminescence, 2020, 35(8): 1231.

[111]
Yang X Y, Wang Y, Shang Z Y, Zhang Z X, Chi H J, Zhang Z Q, Zhang R, Meng Q T. RSC Adv., 2021, 11(50): 31656.

[112]
Li J, Yang Z Q, Yang W Y, Zhao X, Li L X, Cao Z X, Zhou H C, Zheng R L, Deng Y, Peng C, Li Y Z, Fang Y Y. Anal. Bioanal. Chem., 2024, 416(22): 4873.

[113]
Shelar D S, Malankar G S, Singh P R, Vaidya S P, Pinjari RV, Manjare S T. New J. Chem., 2023, 47: 6653.

[114]
SalunkeS T, ShelarD S, SalunkheS S, SinghP R, VaidyaS P, Manjare S T. J. Chem. Sci., 2024, 136: 51.

[115]
Qu X, Song W, Shen Z. Front. Chem., 2019, 7: 598.

[116]
Chen Y, Ji X, Tao L, Ma C, Nie J, Lu C, Yang G, Wang E, Liu H, Wang F, Ren J. Biosens. Bioelectron., 2023, 246: 115868.

[117]
An Y, Luo X, Wei S, Lv J, Gao J, Li X, Yang M, Luo J, Wu Y, Wei G, Yuan Z, Li H. Sens. Actuators, B, 2023, 397: 134653.

[118]
Abe K, Kimura H. J. Neurosci., 1996, 16(3): 1066.

[119]
Li L, Rose P, Moore P K. Annu. Rev. Pharmacol. Toxicol., 2011, 51(1): 169.

[120]
Chiku T, Padovani D, Zhu W, Singh S, Vitvitsky V, Banerjee R. J. Biol. Chem., 2009, 284(17): 11601.

[121]
Zanardo R C O, Brancaleone V, Distrutti E, Fiorucci S, Cirino G, Wallace J L, Zanardo R C O, Brancaleone V, Distrutti E, Fiorucci S, Cirino G, Wallace J L. FASEB J., 2006, 20(12): 2118.

[122]
Kaneko Y, Kimura Y, Kimura H, Niki I. Diabetes, 2006, 55(5): 1391.

[123]
Dombkowski R A, Russell M J, Olson K R. Am. J. Physiol. Regul. Integr. Comp. Physiol., 2004, 286(4): R678.

[124]
Wang M Q, Yan J Q, Cao X Y, Hua P Y, Li Z Q. Biochem. Pharmacol., 2020, 172: 113775.

[125]
Paul B D, Sbodio J I, Xu R S, Vandiver M S, Cha J Y, Snowman A M, Snyder S H. Nature, 2014, 509(7498): 96.

[126]
Eto K, Asada T, Arima K, Makifuchi T, Kimura H. Biochem. Biophys. Res. Commun., 2002, 293(5): 1485.

[127]
Yu F B, Li P, Song P, Wang B S, Zhao J Z, Han K L. Chem. Commun., 2012, 48(23): 2852.

[128]
Wu Z S, Liang D W, Tang X J. Anal. Chem., 2016, 88(18): 9213.

[129]
Liu Z K, Wang Q Q, Wang H, Lan Y H, Dong S L. J. Photochem. Photobiol. A Chem., 2020, 389: 112213.

[130]
Feng X, Zhang T, Liu J T, Miao J Y, Zhao B X. Chem. Commun., 2016, 52(15): 3131.

[131]
Ma T, Huo F, Wen Y, Glass T E, Yin C. Spectrochim. Acta Part A Mol. Biomol. Spectrosc., 2019, 214: 355.

[132]
An B S, Zhang H Y, Peng J L, Zhu W, Wei N N, Zhang Y R. New J. Chem., 2020, 44(46): 20253.

[133]
Hu Y, Chen Z H, Ma L L, Zhang Z Y, Zhang H, Yi F P, Liu C X. Tetrahedron, 2022, 117: 132837.

[134]
Cui Y, Hu G, Wu T, Yang J, Nie Y, Zhou Y. Bioorg. Chem., 2022, 129: 106107.

[135]
Hu Y, Ma L L, Zhang Z Y, Huang Y L, Zhang H, Wu J J, Liu C X. J. Photochem. Photobiol. A Chem., 2023, 445: 115082.

[136]
Zan Q, Fan L, Ma L, Yang Q Q, Zhao K Y, Huang Y, Dong C, Shuang S M. Sens. Actuat. B Chem., 2023, 397: 134596.

[137]
Mishra T, Guria S, Sadhukhan J, Das D, Kabir A S, Ghosh S, Adhikari S S. ChemistrySelect, 2025, 10(27): e02099.

[138]
Zheng Z P, Feng S M, Gong S Y, Feng G Q. Sens. Actuat. B Chem., 2021, 347: 130631.

[139]
Yu M, Wang W, Zhang N. Spectrochim. Acta Part A Mol. Biomol. Spectrosc., 2014, 126: 329.

[140]
Deepender K, Manpreet K, Vishal M, Khushboo P, Deepak B S, Subash Chandra S, Vaneet S, Sandip V P, Sushil K K, Surinder K M. Dyes Pigm., 2022, 201: 110226.

[141]
Sumita M, Terayama K, Suzuki N, Ishihara S, Tamura R, Chahal M K, Payne D T, Yoshizoe K, Tsuda K. Sci. Adv., 2022, 8(10): eabj3906.

[142]
Zhu Y C, Fang J B, Ali Hassen Ahmed S, Zhang T, Zeng S, Liao J Y, Ma Z J, Qian L H. Nat. Commun., 2025, 16: 3598.

Outlines

/