Home Journals Journal of Agriculture
Journal of Agriculture

Abbreviation (ISO4): Journal of Agriculture      Editor in chief: Shiyan QIAO

About  /  Aim & scope  /  Editorial board  /  Indexed  /  Contact  / 

Climate Change in Shiyang River Basin and Its Influence on Vegetation Index

  • WANG Heling , 1 ,
  • DING Wenkui 1, 2 ,
  • LI Xingyu 2 ,
  • YANG Xiaoling , 2 ,
  • GUO Limei 2 ,
  • ZHANG Jinxiu 2
Expand
  • 1 Key Laboratory of Arid Climatic Change and Reducing Disaster of Gansu Province/ Key Open Laboratory of Arid Climatic Change and Disaster Reduction of China Meteorological Administration (CMA)/ Institute of Arid Meteorology, CMA, Lanzhou 730020, Gansu, China
  • 2 Wuwei National Climate Observation Platform of Gansu Province, Wuwei 733099, Gansu, China

Received date: 2023-05-31

  Revised date: 2023-11-22

  Online published: 2024-04-17

Abstract

The influence of climate change on vegetation cover is important for ecological environment protection in arid areas. Based on data of monthly temperatures, precipitation, sunshine, evaporation and NASA GIMMS normalized difference vegetation index (NDVI) of Shiyang River Basin from 2000 to 2020, annual and seasonal variations trend of temperature, precipitation, sunshine hours, evaporation and NDVI were analyzed by using linear trend method, then effect of climate elements change on NDVI change were studied by correlation coefficient method. The results showed that annual temperature showed a clear upward trend in Shiyang River Basin and various regions. Temperature in spring, summer and autumn showed an upward trend, and it showed a downward trend in winter (except Minqin). Annual precipitation in total catchment area and Yongchang, Gulang and Tianzhu showed an increasing trend, while Minqin and Liangzhou showed a decreasing trend. Change trend of precipitation in each season was not consistent. Annual sunshine duration showed a decreasing trend in total catchment area and other places except Gulang, and variation trend of sunshine duration in each season was very inconsistent. Annual evaporation showed an increasing trend in total catchment area and other places except Liangzhou, and variation trend of evaporation in each season was not consistent. Annual NDVI in Shiyang River Basin and various regions showed a significant growth trend. Each season NDVI also showed an increasing trend except Liangzhou in spring. Annual and seasonal temperature and precipitation were basically positively correlated with NDVI, and temperature and precipitation had a positive contribution to NDVI. Correlation between sunshine duration, evaporation and NDVI of annual and seasonal was quite different. In general, sunshine duration had a negative contribution to NDVI, and evaporation had a positive contribution to NDVI. Research results will provide scientific reference for improving utilization rate of climate resources, adjusting planting structure and improving ecological environment in Shiyang River Basin.

Cite this article

WANG Heling , DING Wenkui , LI Xingyu , YANG Xiaoling , GUO Limei , ZHANG Jinxiu . Climate Change in Shiyang River Basin and Its Influence on Vegetation Index[J]. Journal of Agriculture, 2024 , 14(4) : 83 -92 . DOI: 10.11923/j.issn.2095-4050.cjas2023-0134

0 引言

近年来,随着全球气候的变暖,气候变化所带来的大气水汽及循环动力增加,使得降水与蒸发的强度和空间分布也随之发生改变[1]。气候因子通过改变相应的生态水文过程,在环境生态功能中起着至关重要的作用[2-3]。与气温升高[4]、降水增加[5]、蒸发改变[6]等有关的气候变化已经对生态系统的影响日益加剧。国外学者研究表明,在全球气候变暖背景下,气候变化已造成了全球性生态环境和生物资源的破坏[7],导致局部地区植被覆盖发生显著变化[8],北半球中高纬度地区植被活动呈显著增强[9],特别是亚洲和北美40°—70°N地区植被变化呈显著的线性增加趋势[10]。国内学者研究发现,随着气候由暖干向暖湿转型[11],中国大部分地区的植被活动也呈增强趋势,其主要原因是全球变暖引起的植物生长季提前或延长了[12-14],另外,降水变化也是植被变化的主要驱动因子之一,在植被的变化中起着主要作用[15-16]。这些研究使得气候变化对植被影响的研究得以进一步发展。
石羊河流域作为西北干旱地区内陆河流域中人口最密集、水资源开发强度最大、生态环境最脆弱、土地荒漠化问题最严重的地区之一,既是气候变化的敏感区[17],又是生态环境变化脆弱区[18],其植被覆盖变化影响着全流域的生态文明建设。因此,研究石羊河流域气候变化对植被覆盖的影响有着重要现实意义。由于气温、降水、日照和蒸发对植被生长的影响较其他气候要素更为明显[19-20],因此,选取了石羊河流域2000—2020年逐月气候要素气温、降水量、日照时数、蒸发量和NASA GIMMS归一化植被指数(NDVI)资料,分析流域内气温、降水量、日照时数和蒸发量及NDVI的变化特征,探讨了气温、降水量、日照时数和蒸发量与NDVI的关系,进一步揭示气候变化对NDVI的影响,为气候变化对植被恢复提供了理论关系,同时为石羊河流域提高气候资源的利用率、合理调整种植结构和改善生态环境提供科学的参考依据。

1 研究区概况

石羊河流域是甘肃省河西走廊三大内陆河之一,位于甘肃省河西走廊东部,地处青藏高原北坡,南靠祁连山脉,北邻腾格里和巴丹吉林两大沙漠,东接黄土高坡西缘,地理位置101°06′—104°14′E,37°10′—39°24′N,流域全长约300 km,总面积4.16×104 km2,拔海高度由2500~4850 m下降到1300~2000 m,自东南向西北倾斜,其包括北部民勤荒漠区,中部武威绿洲平原区,北部永昌和南部古浪浅山区,天祝祁连山边坡高寒山区(见图1)。石羊河流域属大陆性温带干旱、半干旱气候区,南北温差大,降水少,日照足,蒸发强,年气温在0.7~9.4℃、年降水量在120.8~431.1 mm、年日照时数2661.2~3184.8 h、年蒸发量在1549~2620 mm(近30 a气候值)。石羊河流域处于自然生态环境的脆弱带和气候的敏感区[21-23],既属于西北绿洲,又属于北方农牧交错带的典型地区,其植被覆盖变化会影响全流域生态环境,下游还孕育着民勤荒漠区[24]。随着石羊河流域气候的暖湿化发展以及2010年开始实施的石羊河流域重点治理工程,石羊河流域植被呈现逐渐恢复态势[25]
图1 石羊河流域地理及气象站点分布

2 资料和数据

2.1 资料来源

所用的资料:(1)2000—2020年月气温、降水、蒸发和日照资料取自石羊河流域民勤、凉州、永昌、古浪、天祝5个气象观测站;(2)地理空间数据云(Geospatial Data Cloud)提供了2000—2020年逐月NDVI数据,空间分辨率为500 m。NDVI数据集消除了云、太阳高度角、仪器视场角、气溶胶、火山喷发的影响,在全球及区域大尺度植被活动变化研究中应用广泛[26]

2.2 数据处理

利用ENVI图像处理软件[27]筛选出石羊河流域区域范围,然后输入2000—2020年的NDVI_GIMMS资料,由MODND1D计算得到NDVI预处理数据,对NDVI预处理的数据采用MVC(最大值合成法)得到月NDVI的最大值,这样可以消除来自云和大气部分的干扰[28-29]。石羊河流域月气候要素值为各县区的平均值,以月NDVI和月气候要素值为基础,统计出年及各季节气候要素及NDVI的值,季节划分春季3—5月、夏季6—8月、秋季9—11月、冬季12—2月。
运用线性趋势估计法,分析气候要素及NDVI的变化趋势,计算公式见式(1)[30]
xi=ati+b(i=1,2,3,…,n)
式(1)中:xii年的气候要素及NDVItixi所对应的时间;a为趋势斜率,n为研究年数。变化趋势的显著性利用时间与序列变量之间气候趋势系数进行检验[31]。根据蒙特卡罗模拟方法[32-33]:通过信度α=0.1、0.05、0.01显著性检验所对应相关系数的临界值,依次为:0.3058、0.3653、0.4430,当气候趋势系数绝对值大于上述临界值时,分别认为气候趋势系数较显著、显著、很显著。
运用相关系数法分析了气候要素气温、降水量、日照时数和蒸发量与NDVI的相关程度。计算公式见式(2)[34]
r x y = i = 1 n [ ( x i - x - ) ( y i - y - ) ] i = 1 n ( x i - x - ) 2 i = 1 n ( y i - y - ) 2
式(2)中:rxy为变量xi和变量yi的相关系数;n为样本数;xi表示相关因子;yi表示NDVI x - y -分别为xiyi的均值。

3 结果与分析

3.1 石羊河流域气候要素变化特征

3.1.1 气候要素的空间分布

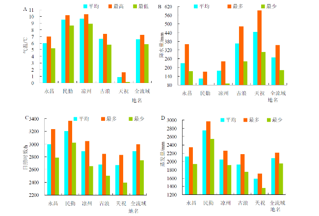
石羊河流域地处祁连山东麓,境内地形复杂,高山平原沙漠并存,气候要素的地域分布存在一定差异。气温:全流域6.5℃,凉州最高9.7℃,民勤次之9.5℃,再次古浪6.6℃,永昌6.0℃,天祝最低0.8℃,即气温为荒漠区和绿洲平原区>浅山区>高寒山区;最高在凉州10.3℃(2016年、2017年),最低在天祝0.1℃(2012年),最高和最低值相差在1.4~1.8℃(图2A)。降水量:全流域267.8 mm,天祝最多445.2 mm,古浪次之364.6 mm,再次永昌230.5 mm,凉州175.8 mm,民勤最少122.7 mm,即降水量为高寒山区>浅山区>绿洲平原区>荒漠区;最多在天祝592.2 mm(2019年),最少在民勤90.8 mm(2013年),最多和最少值相差在90.6~286.2 mm(图2B)。日照时数:全流域2885.7 h,民勤最多3203.4 h,永昌次之2997.2 h,再次凉州2884.4 h,古浪2674.5 h,天祝最少2668.8 h,即日照时数为荒漠区>北部浅山区>绿洲平原区>南部浅山区>高寒山区;最多在民勤3359.8 h(2016年),最少在天祝2392.7 h(2006年),最多和最少值相差在339.3~451.1 h(图2C)。蒸发量:全流域2082.8 mm,民勤最多2744.4 mm,永昌次之2124.4 mm,再次凉州2046.2 mm,古浪1921.8 mm,天祝最少1577.0 mm,即蒸发量为荒漠区>北部浅山区>绿洲平原区>南部浅山区>高寒山区;最多在民勤2968.4 mm(2018年),最少在天祝1361.1 mm(2012年),最多和最少值相差在257.1~424.6 h(图2D)。各气候要素最多值和最少值均与平均值分布基本一致。由此可知,各气候要素南北空间差异较大。
图2 石羊河流域气候要素平均和极值的空间分布

3.1.2 气候要素的年变化

年气温:石羊河流域及各地呈上升趋势(图3A),趋势斜率为民勤0.509℃/10a>古浪0.482℃/10a>凉州0.436℃/10a>全流域0.377℃/10a>永昌0.253℃/10a>天祝0.204℃/10a,根据蒙特卡罗模拟方法规定,全流域及民勤、古浪、凉州上升趋势很显著,永昌上升趋势显著。年降水量:石羊河流域及各地年降水量变化趋势不太一致,全流域及永昌、古浪、天祝呈增多趋势,民勤、凉州呈减少趋势(图3B),趋势斜率为天祝55.081 mm/10a>永昌21.221 mm/10a>全流域15.957 mm/10a>古浪6.861 mm/10a>凉州-0.938 mm/10a>民勤-2.438 mm/10a,根据蒙特卡罗模拟方法规定,天祝增多趋势很显著。日照时数:除古浪呈增多趋势外,全流域及其他各地呈减少趋势(图3C),趋势斜率为古浪5.282 h/10a>天祝-0.060 h/10a>民勤-24.579 h/10a>全流域-27.691 h/10a>凉州-35.096 h/10a>永昌-84.004 h/10a,根据蒙特卡罗模拟方法规定,永昌减少趋势显著。年蒸发量:除凉州呈减少趋势外,全流域及其他各地呈增多趋势(图3D),趋势斜率为民勤105.660 mm/10a>永昌69.395 mm/10a>全流域51.179 mm/10a>古浪43.343 mm/10a>天祝42.200 mm/10a>凉州-5.708 mm/10a,根据蒙特卡罗模拟方法规定,民勤增多趋势很显著,全流域增多趋势显著,永昌、天祝增多趋势较显著。
图3 石羊河流域气候要素的年变化

3.1.3 气候要素的季节变化

石羊河流域及各地各季节气候要素均值存在一定的差异(表1)。气温表现为夏季>春季>秋季>冬季,最高值在民勤或凉州,最低值均在天祝。降水量表现为夏季>秋季>春季>冬季,最多值在天祝或古浪,最少值均在民勤。日照时数表现为春季>夏季>秋季>冬季,最多值在均民勤,最少值在天祝或古浪。蒸发量表现为夏季>春季>秋季>冬季,最多值均在民勤,最少值均在天祝。
表1 石羊河流域四季气候要素的平均值
气候因素 季节 全流域 永昌 民勤 凉州 古浪 天祝
气温/℃ 春季 7.8 7.4 11.5 11.4 7.7 0.9
夏季 18.7 18.1 23.3 22.2 18.4 11.3
秋季 6.4 5.9 9.1 9.4 6.6 1.1
冬季 -6.7 -7.4 -5.7 -4.5 -6.1 -9.9
降水量/mm 春季 50.0 39.8 23.4 33.0 82.9 70.9
夏季 144.8 132.4 63.1 93.2 174.5 260.9
秋季 65.1 52.9 32.9 43.5 93.7 102.8
冬季 7.8 5.5 3.2 6.1 13.6 10.6
日照时数/h 春季 786.0 809.0 875.4 782.4 733.8 729.6
夏季 753.6 780.8 891.8 775.6 711.8 608.1
秋季 670.7 706.2 734.9 668.2 619.5 624.8
冬季 673.0 701.2 701.3 658.2 609.4 695.1
蒸发量/mm 春季 679.8 693.8 900.6 682.4 590.1 503.1
夏季 840.4 832.9 1164.4 838.5 779.4 569.6
秋季 398.8 412.1 511.1 378.6 367.0 307.9
冬季 178.6 185.7 168.2 146.8 200.0 196.4
石羊河流域及各地各季节气候要素的趋势斜率、趋势系数及显著性检验见表2。气温:全流域及各地春、夏、秋季均呈上升趋势,冬季民勤呈上升趋势,其他呈下降趋势。降水量:全流域及永昌、凉州、古浪、天祝春、夏、冬季均呈增多趋势,秋季呈减少趋势;民勤春季呈增多趋势,夏、秋、冬季均减少趋势。日照时数:全流域及凉州、古浪、天祝春、秋、冬季均呈增多趋势,夏季呈减少趋势;民勤春、冬季呈增多趋势,夏、秋季均减少趋势;永昌各季节均呈减少趋势。蒸发量:全流域及永昌各季节均呈增多趋势;民勤夏、秋季呈增多趋势,春、冬季呈减少趋势;凉州和天祝春、秋、冬季呈增多趋势,夏季呈减少趋势;古浪春、秋呈增多趋势,夏、冬季呈减少趋势。
表2 石羊河流域四季气候要素的趋势斜率和趋势系数
气候因素 季节 项目 全流域 永昌 民勤 凉州 古浪 天祝
气温 春季 趋势斜率/(℃/10a) 0.697 0.529 0.836 0.658 0.816 0.534
趋势系数 0.4565* 0.3694** 0.4667* 0.4441* 0.5036* 0.3606***
夏季 趋势斜率/(℃/10a) 0.471 0.453 0.669 0.456 0.565 0.141
趋势系数 0.4626* 0.4222** 0.5830* 0.4693* 0.4681* 0.1562
秋季 趋势斜率/(℃/10a) 0.456 0.269 0.680 0.391 0.586 0.294
趋势系数 0.5097* 0.2395 0.5752* 0.3981** 0.5113* 0.3071***
冬季 趋势斜率/(℃/10a) -0.113 -0.239 0.053 -0.161 -0.040 -0.154
趋势系数 -0.0556 -0.1192 0.0224 -0.0794 -0.0200 -0.0894
降水量 春季 趋势斜率/(mm/10a) 3.665 7.969 3.082 -0.052 5.049 5.979
趋势系数 0.1261 0.3114*** 0.1473 0.0024 0.0985 0.1921
夏季 趋势斜率/(mm/10a) 16.515 15.068 -1.700 4.894 13.062 51.455
趋势系数 0.3002 0.2322 -0.0424 0.0872 0.1903 0.4955*
秋季 趋势斜率/(mm/10a) -12.194 -4.141 -3.665 -6.674 -13.284 -3.623
趋势系数 -0.3500*** -0.1367 -0.1655 -0.2100 -0.2339 -0.0906
冬季 趋势斜率/(mm/10a) 1.603 2.326 -0.155 0.895 2.034 1.270
趋势系数 0.2236 0.4509* -0.0332 0.1476 0.1436 0.1691
日照时数 春季 趋势斜率/(h/10a) 4.172 -12.766 6.074 8.499 16.096 2.956
趋势系数 0.0600 -0.1245 0.0927 0.1114 0.1908 0.0412
夏季 趋势斜率/(h/10a) -44.579 -61.173 -29.231 -56.204 -34.235 -42.052
趋势系数 -0.4984* -0.5318* -0.3421*** -0.5449* -0.3758** 0.3662**
秋季 趋势斜率/(h/10a) 7.114 -1.090 -2.053 9.001 17.460 12.249
趋势系数 0.1114 -0.141 -0.0283 0.1261 0.2553 0.1729
冬季 趋势斜率/(h/10a) 1.649 -8.975 0.631 3.608 5.961 7.022
趋势系数 0.0347 -0.1792 0.0141 0.0616 0.1179 0.1346
蒸发量 春季 趋势斜率/(mm/10a) 23.595 6.288 -5.913 12.156 18.478 30.683
趋势系数 0.2670 0.0600 -0.0574 0.1456 0.1277 0.3561***
夏季 趋势斜率/(mm/10a) 6.200 10.232 62.140 -34.714 -1.179 -42.991
趋势系数 0.0854 0.1049 0.5874* -0.4567* -0.0077 -0.4825*
秋季 趋势斜率/(mm/10a) 38.841 38.712 57.423 10.245 47.647 29.494
趋势系数 0.5638* 0.4549* 0.6592* 0.1510 0.4649* 0.4938*
冬季 趋势斜率/(mm/10a) 4.305 14.162 -7.992 6.610 -14.454 25.014
趋势系数 0.1342 0.3635*** -0.2112 0.2138 -0.2538 0.5840*

注:“***”、“**”、“*”表示趋势系数分别通过了α=0.1、0.05、0.01显著性水平检验。

3.2 石羊河流域NDVI变化特征

3.2.1 NDVI的空间分布

石羊河流域植被的地域分布也存在一定差异。NDVI:全流域0.2019,天祝最大0.3307,凉州次之0.2028,再次永昌0.1919,古浪0.1818,民勤最小0.1201,即NDVI高寒山区>绿洲平原区>浅山区>荒漠区。最大在天祝0.3775(2019年),最小在民勤0.0844(2001年),NDVI最大和最小值相差在0.0246~0.0763(图4),NDVI最大和最小值与平均值分布基本一致。由此可知,NDVI南北空间差异较大。
图4 石羊河流域NDVI平均和极值的空间分布

3.2.2 NDVI的年变化

石羊河流域及各地年NDVI呈增长趋势(图5),趋势斜率为古浪0.0034/a>天祝0.0032/a>永昌0.0025/a>全流域0.0024/a>凉州0.0019/a>民勤0.0008/a,根据蒙特卡罗模拟方法规定,增长趋势均很显著。2010年后石羊河流域及各地年NDVI增长显著
图5 石羊河流域NDVI的年变化

3.2.3 NDVI的季节变化

石羊河流域及各地各季节NDVI的均值存明显差异(表3),表现为夏季>春季>秋季>冬季,NDVI的均值最大值在天祝夏季为0.5301,最小值在民勤冬季为0.0807,全流域及永昌、凉州、古浪各季节NDVI均居中。
表3 石羊河流域各季节NDVI的均值、趋势斜率及趋势系数
季节 项目 全流域 永昌 民勤 凉州 古浪 天祝
春季 均值 0.6100 0.1567 0.0864 0.1691 0.1464 0.2465
趋势斜率/(/a) 0.0013 0.0014 0.0004 0.0001 0.0021 0.0025
趋势系数 0.7659* 0.6824* 0.7280* 0.0469 0.7918* 0.8732*
夏季 均值 0.3074 0.2943 0.1335 0.3166 0.2627 0.5301
趋势斜率/(/a) 0.0035 0.0045 0.0011 0.0033 0.0048 0.0039
趋势系数 0.7426* 0.7573* 0.7515* 0.7057* 0.6470* 0.6884*
秋季 均值 0.2144 0.1961 0.1080 0.2113 0.1991 0.3577
趋势斜率/(/a) 0.0028 0.0026 0.0008 0.0022 0.0047 0.0035
趋势系数 0.8117* 0.9177* 0.6768* 0.6968* 0.7648* 0.7517*
冬季 均值 0.1258 0.1207 0.0807 0.1144 0.1188 0.1945
趋势斜率/(/a) 0.0016 0.0017 0.0007 0.0019 0.0022 0.0017
趋势系数 0.9287* 0.7645* 0.9220* 0.9262* 0.8589* 0.7837*

注:*表示趋势系数通过了α=0.01显著性水平检验。

石羊河流域及各地各季节NDVI的趋势斜率和趋势系数见表3,各季节呈增长趋势,各地趋势斜率均表现为夏季>秋季>冬季>春季,根据蒙特卡罗模拟方法规定,除凉州春季外,全流域及各地各季节增长趋势均很显著。

3.3 石羊河流域气候变化对NDVI变化的影响

气候要素是影响植被生长的主要因子[35-36]。为深入了解石羊河流域气候变化对NDVI变化的影响,对年、季气温、降水量、日照时数、蒸发量与年、季NDVI进行相关性分析及显著性检验见表4。由表4可知,气温:年气温与NDVI全流域及各地均呈正相关,其中,民勤相关性显著,全流域及凉州相关性较显著;各季节气温与NDVI凉州冬季、天祝夏季呈弱负相关,全流域及其他各地各季节均呈正相关,其中民勤、天祝春季相关性很显著,全流域及古浪相关性显著。降水量:年降水量与NDVI全流域及各地均呈正相关,其中,全流域及天祝相关性很显著,永昌、古浪相关性显著,凉州相关性较显著;各季节降水量与NDVI民勤秋、冬季、凉州秋季和古浪冬季呈弱负相关,全流域及其他各地各季节均呈正相关,其中,春季永昌、天祝相关性较显著;夏季全流域及古浪、天祝相关性很显著,永昌相关性显著,凉州相关性较显著;冬季永昌相关性显著。日照时数:年日照时数与NDVI天祝呈负相关,全流域及各地均呈正相关,其中,永昌相关性显著,全流域及凉州相关性较显著;各季节日照时数与NDVI相关性的正负差异较大,春季全流域及永昌、凉州呈负相关,凉州相关性显著,民勤、天祝、古浪呈正相关;夏季全流域及各地均呈负相关,全流域及永昌、凉州相关性显著,民勤、古浪相关性较显著;秋季全流域及永昌、天祝呈负相关,民勤、凉州、古浪呈正相关;冬季永昌呈负相关,全流域及各地均呈正相关。蒸发量:年蒸发量与NDVI全流域及永昌、民勤、天祝呈正相关,民勤相关性较显著,凉州、古浪呈负相关;各季节蒸发量与NDVI相关性的正负差异较大,春季全流域及民勤、古浪、天祝呈正相关,天祝相关性显著,永昌、凉州呈负相关;夏季民勤呈正相关,全流域及其他各地呈负相关,全流域相关性较显著,凉州、天祝相关性很显著;秋季凉州、古浪呈负相关,全流域及其他各地呈正相关,全流域及永昌相关性较显著,民勤相关性很显著;冬季民勤呈负相关,全流域及其他各地呈正相关,永昌相关性较显著,天祝相关性很显著。
表4 石羊河流域气候要素与NDVI的相关系数
气候因素 时段 全流域 永昌 民勤 凉州 古浪 天祝
气温/℃ 0..3538*** 0.2732 0.4425** 0.3592*** 0.2657 0.2030
春季 0.5251** 0.2863 0.6264* 0.2447 0.4902** 0.5489*
夏季 0.2057 0.2052 0.2906 0.1790 0.1166 -0.0281
秋季 0.1581 0.0852 0.2160 0.0871 0.1229 0.1482
冬季 0.1006 0.0415 0.0975 -0.0010 0.0220 0.2840
降水量/mm 0.5462* 0.4930** 0.0677 0.3665*** 0.4672** 0.7006*
春季 0.3046 0.3392*** 0.0520 0.3508 0.1953 0.3886***
夏季 0.5728* 0.4255** 0.1019 0.3815*** 0.5676* 0.6209*
秋季 0.0324 0.1100 -0.2665 -0.1046 0.1333 0.0801
冬季 0.1381 0.4965** -0.1774 0.1242 -0.0212 0.2795
日照时数/h -0.3679*** -0.5063** -0.1632 -0.4010*** -0.1348 0.0091
春季 -0.0860 -0.2235 0.0445 -0.4795** 0.1329 0.1291
夏季 -0.4561** -0.4309** -0.3697*** -0.4266** -0.3795*** -0.2530
秋季 -0.0380 -0.3309 0.0453 0.0557 0.1125 -0.0512
冬季 0.0660 -0.2098 0.1644 0.1090 0.0906 0.1632
蒸发量/mm 0.0961 0.0746 0.3660*** -0.2211 -0.1984 0.0726
春季 0.3210 -0.0536 0.1171 -0.0087 0.0009 0.4454**
夏季 -0.3518*** -0.3207 0.2178 -0.5744* -0.2787 -0.7036*
秋季 0.4003*** 0.3960*** 0.5247* -0.0422 -0.1818 0.2367
冬季 0.2829 0.3787*** -0.1217 0.3239 0.1421 0.7373*

注:***、**、*表示相关系数通过了α=0.1、0.05、0.01显著性水平检验,分别为相关性很显著、显著、较显著。

总之,年、季气温、降水量与NDVI基本呈正相关,个别季节呈弱负相关,气温、降水量对NDVI具有正贡献,即气温升高、降水量增多对作物的生长发育起到了促进作用,是植被恢复的重要因素,且降水的相关性更明显,有研究表明[37],在年平均降水量小于600 mm的干旱半干旱地区,降水是植被活动的主要限制性因素。年、季日照时数、蒸发量与NDVI相关性的正负差异较大,总体来看,日照时数对NDVI具有负贡献,即日照时数增多对作物的生长发育起到了抑制作用;蒸发量对NDVI具有正关系,即蒸发量增多对作物的生长发育起到了促进作用。

4 结论与讨论

(1)石羊河流域气温表现为荒漠区和绿洲平原区>浅山区>高寒山区;降水量表现为高寒山区>浅山区>绿洲平原区>荒漠区;日照时数和蒸发量表现为荒漠区>北部浅山区>绿洲平原区>南部浅山区>高寒山区。石羊河流域及各地年气温呈明显上升趋势,春、夏、秋季气温呈上升趋势,冬季(除民勤外)呈下趋势;全流域及永昌、古浪、天祝年降水量呈增多趋势,民勤、凉州呈减少趋势,各季节降水量变化趋势不太一致;年日照时数除古浪呈增多趋势外,全流域及其他各地呈减少趋势,各季节日照时数变化趋势很不一致;年蒸发量除凉州呈减少趋势外,全流域及其他各地呈增多趋势,各季节蒸发量变化趋势也不太一致。
(2)石羊河流域NDVI表现为高寒山区>绿洲平原区>浅山区>荒漠区。石羊河流域及各地年、各季节NDVI呈显著增长趋势,除凉州春季外,年、各季节增长趋势显著。
(3)年、季气温、降水量与NDVI基本呈正相关,个别季节出现弱负相关,气温、降水量对NDVI具有正贡献,即气温升高、降水量增多对作物的生长发育起到了促进作用,是植被恢复的重要气候因素。年、季日照时数、蒸发量与NDVI相关性的正负差异较大,总体来看,日照时数对NDVI具有负贡献,即日照时数增多对作物的生长发育起到了抑制作用;蒸发量对NDVI具有正贡献,即蒸发量增多对作物的生长发育起到了促进作用。
通过年、季节气候要素与NDVI相关性研究,揭示了年、季节气温、降水量、日照时数和蒸发量变化对NDVI变化的影响,为石羊河流域生态环境改善具有重要现实意义。但气候因子方面所用资料仅限于5个观测站点的实测资料,存在站稀少、分布不均、网格较粗的弊端,气象站点代表的空间范围有限,其结果只能反映流域的平均状况,但气候具有明显的局地性,下一步的工作应搜集大量区域气象站资料,更全面、精细地研究气候因子对植被变化的影响,揭示石羊河流域气候因子对植被影响的真实关系,另外,人为因素对NDVI也有一定的影响,特别是2010年开始石羊河流域生态治理工程,持续调水、大量减少放牧、有效退耕还林,这都是生态植被恢复主要因素,这一点将是今后工作中进一步研究的重点。
[1]
ZHANG Y, LUO P P, ZHAO S F, et al. Control and remediation methods for Eutrophic Lakes in recent 30 years[J]. Water science and technology, 2020, 81(6):1099-1113.

DOI

[2]
朱永华, 席小康, 马鹏飞, 等. 植被净初级生产力时空变化及其影响因素分析[J]. 内蒙古农业大学学报(自然科学版), 2022, 43(1):21-26.

[3]
朱永华, 张生, 赵胜男, 等. 气候变化与人类活动对地下水埋深变化的影响[J]. 农业机械学报, 2017, 48(9):199-205.

[4]
李茜荣. 2000—2019年云贵两省极端气温对植被NDVI变化的影响研究[D]. 兰州: 西北师范大学, 2021.

[5]
罗叙, 李建平, 张翼, 等. 荒漠草原土壤水分时空变化对降水变化的响应[J]. 水土保持研究, 2021, 28(4):142-150,158.

[6]
乔翠平, 王金娜, 王艳艳, 等. 毛乌素沙地风积沙表面蒸发试验研究[J]. 华北水利水电大学学报(自然科学版), 2021, 42(5):102-108.

[7]
NAUTIYAL M C, NAUTIYAL B P, VINAY P. Effect of grazing and climatic changes on alpine vegetation of Tungnath, Garhwal Himalaya, India[J]. The environmentalist, 2001, 24:125-134.

DOI

[8]
ZHOU L M, TUCKER C J, KAUFMANN R K, et al. Variations in northern vegetation activity inferred from satellite data of vegetation index during 1981 to 1999[J]. Journal of geophysical research-atmospheres, 2001, 106(D17):20069-20083.

DOI

[9]
MYNENI R B, KEELING C D, TUCKER C J, et al. Increased plant growth in the northern high latitudes from 1981 to 1991[J]. Nature, 1997, 386(6626):698-702.

DOI

[10]
MA M G, WANG J, WANG X M. Progress of the relationship between the interannual variation of vegetation and climate based on remote Sensing[J]. Journal of remote sensing, 2006, 10(3):421-431.

[11]
施雅风, 沈永平, 胡汝骥, 等. 西北气候由暖干向暖湿转型的信号、影响和前景初步探讨[J]. 冰川冻土, 2002, 24(3):219-226.

[12]
方精云, 朴世龙, 贺金生, 等. 近20年来中国植被活动在增强[J]. 中国科学(C辑), 2003, 33(6):554-565.

[13]
赵倩倩, 张京朋, 赵天保, 等. 2000年以来中国区域植被变化及其对气候变化的响应[J]. 高原气象, 2021, 40(2):292-301.

DOI

[14]
单楠. 京津风沙源区植被指数(NDVI)对气候变化响应研究[D]. 北京: 中国林业科学研究院, 2013.

[15]
王志鹏, 张宪洲, 何永涛, 等. 2000-2015年青藏高原草地归一化植被指数对降水变化的响应[J]. 应用生态学报, 2018, 29(7):75-83.

[16]
陈婉佳, 刘蓉蓉, 何政伟. 基于MODIS的植被指数变化研究及其与气候因子的关系分析[J]. 测绘与空间地理信息, 2015, 38(9):77-80.

[17]
杨晓玲, 丁文魁, 杨金虎, 等. 河西走廊东部近50年气候变化特征及区内5站对比分析[J]. 干旱区资源与环境, 2011, 29(5):259-268.

[18]
张存杰. 全球变暖对西北地区干旱气候变化的影响研究[D]. 兰州: 中国科学院寒区旱区环境与工程研究所, 2009.

[19]
王莺, 李耀辉, 孙旭映. 气候变化对黄河源区生态环境的影响[J]. 草业科学, 2015, 3(4):539-551.

[20]
王锦波, 杨晓玲, 张义海, 等. 张掖市归一化植被指数与气候变化的相关性研究[J]. 中国农学通报, 2019, 35(15):85-90.

DOI

[21]
颉耀文, 陈发虎. 基于数字遥感图像的民勤绿洲20年变化研究[J]. 干旱区研究, 2002, 19(1):69-74.

[22]
李忆春, 陈发虎. 民勤盆地水资源可持续利用对策——2000年民勤水资源利用调查[J]. 山地学报, 2001, 19(5):465-469.

[23]
韩涛, 王大为. 2000—2014年石羊河流域植被覆盖变化研究[J]. 中国农学通报, 2017, 33(13):66-74.

DOI

[24]
张立峰. 西北生态环境脆弱区典型内陆河流域植被覆盖变化及其影响因素研究[D]. 兰州: 兰州交通大学, 2017.

[25]
罗晓玲, 杨梅, 李岩瑛, 等. 基于NDVI的石羊河流域植被演变特征及其对沙尘暴的影响分析[J]. 水土保持学报, 2022, 36(2):84-91.

[26]
吴文斌, 杨鹏, 唐华俊, 等. 两种NDVI时间序列数据拟合方法比较[J]. 农业工程学报, 2009, 25(11):183-188.

[27]
邓书斌. ENVI遥感图像处理方法[M]. 北京: 科学出版社, 2010.

[28]
李娜, 殷学永, 马金柱, 等. 基于MODIS的河南省植被指数提取与分析[J]. 安徽农业科学, 2011, 39(28):17599-17600,17603.

[29]
胡晓雯, 曹爽, 赵显富. 基于植被指数的绿地信息提取的比较[J]. 南京信息工程大学学报(自然科学版), 2012, 4(5):420-425.

[30]
魏凤英. 现代气候统计诊断与预测技术(第二版)[M]. 北京: 气象出版社, 2007:37-41.

[31]
施能, 陈家其, 屠其璞. 中国近100年来4个年代际的气候变化特征[J]. 气象学报, 1995, 53(4):431-439.

[32]
施能, 马丽, 袁晓玉, 等. 近50a浙江省气候变化特征分析[J]. 南京气象学院学报, 2001, 24(2):207-213.

[33]
LIVEZEY R E, CHEN W Y. Statistical filed significance and its determination by Monte Carlo techniques[J]. Monthly weather review, 1983, 111(1):46-59.

DOI

[34]
张建勇, 高冉, 胡骏, 等. 灰色关联度和Pearson相关系数的应用比较[J]. 赤峰学院学报(自然科学版), 2014, 30(11):1-2.

[35]
王平, 沈润平. 基于CLM模型的植被覆盖变化对黄土高原气温和降水的影响研究[J]. 科学技术与工程, 2013, 13(20):5754-5760.

[36]
崔林丽, 史军. 中国华东及其周边地区NDVI对气温和降水的季节响应[J]. 资源科学, 2012, 34(1):81-90.

[37]
焦珂伟, 高江波, 吴绍洪, 等. 植被活动对气候变化的响应过程研究进展[J]. 生态学报, 2018, 38(6):2229-2238.

Outlines

/