Home Journals Progress in Geophysics
Progress in Geophysics

Abbreviation (ISO4): Prog Geophy      Editor in chief:

About  /  Aim & scope  /  Editorial board  /  Indexed  /  Contact  / 

Study of several common instantaneous frequency calculation methods

  • Guang TIAN , 1, 2 ,
  • Yan ZHAO , 1, 2, *
Expand
  • 1 Key Laboratory of Exploration Technologies for Oil and Gas Resources (Yangtze University), Ministry of Education, Wuhan 430100, China
  • 2 School of Geophysics and Oil Resources, Yangtze University, Wuhan 430100, China

Received date: 2023-09-29

  Online published: 2024-09-29

Copyright

Copyright ©2024 Progress in Geophysics. All rights reserved.

Abstract

Instantaneous frequency is an important seismic attribute, which helps in identification of oil and gas reservoirs and is of great significance to reservoir prediction. This paper provides a detailed review of several common instantaneous frequency calculation methods and tests using analytical sinusoidal signals. The instantaneous frequency calculation results of each algorithm are compared with the analytical instantaneous frequency of sinusoidal signals, and various instantaneous frequency calculation methods are compared by comprehensively analyzing the correlation number, error between the calculated results and the theoretical analytical instantaneous frequency, and operation time. In order to further test the performance of each algorithm, we apply the more complex signals to each instantaneous frequency calculation method to analyze and compare. The test results of analytic and complex signals show that the performance of each algorithm varies for different types of data. The method that can relatively accurately calculate the instantaneous frequency of a simple analytical signal will have outliers, "negative frequencies", or inaccurate calculation results when calculating the instantaneous frequency of complex signals. Outliers and "negative frequencies" that appear during instantaneous frequency calculations will submerge the actual effective instantaneous frequency information. Further work is needed to overcome the problems of outliers and "negative frequencies".

Cite this article

Guang TIAN , Yan ZHAO . Study of several common instantaneous frequency calculation methods[J]. Progress in Geophysics, 2024 , 39(4) : 1553 -1564 . DOI: 10.6038/pg2024HH0395

0 引言

频率信息在地震勘探中发挥着重要作用,通过地震资料的频率信息可以得到相应的地层信息.一般情况下,人们可以通过傅里叶变换(夏竹等,2007)、时频分析(Gabor,1946陈学华等,2008李振春等,2010曹思远等,2013高静怀等,2018刘笛等,2023)、复地震道分析(Taner et al.,1979程乾生,1979)得到频率信息.由于波前扩散和地层衰减,地震波的频率、能量、带宽、波形是时变的(Zhao et al.,2022Zhao, 2022, 2023Tian et al.,2023),是典型的非平稳信号(杨培杰等,2007鄢高韩等,2016).傅里叶变换是一种全局变换,傅氏变换得到的是信号不同频率成分的能量分布情况,反映的是信号的全局特征,不能够反映信号某一时刻的信息(夏竹等,2007董建华等,2007于豪等,2013杨培杰等,2007).因此,傅氏变换不适用于描述非平稳信号的时变频率特征(于豪等,2013).时频分析和复地震道分析中的瞬时频率则可以很好地描述非平稳信号频率的时变特征(夏竹等,2007于豪等,2013).信号的瞬时频率反映的是信号某一时刻的频率信息,是信号某一特定时刻的局部特征.瞬时频率信息有助于确定凝析油藏和气藏,因为油气藏能够引起高频衰减(Yilmaz,2001).有学者利用瞬时频率反演地层的品质因子等参数(Matheney and Nowack, 1995高静怀等,2008).瞬时频率对储层预测具有重要指导意义,学者们利用瞬时频率及与瞬时频率相关的信息(如甜点、甜点属性、平均瞬时频率、瞬时频率斜率等)进行河道砂体预测、指示砂岩储层、储层预测和油气检测(Radovich and Oliveros, 1998张娥等,2000Hart,2008余振等,2012尹继全和衣英杰,2013田继先等,2016梁岳等,2016郑江峰等,2019彭浩等,2022).
Gabor(1946)首次提出复信号的概念,Taner等(1979)首次将这一概念引入到地震勘探中,形成复地震道分析技术,得到三瞬参数,即瞬时振幅、瞬时频率、瞬时相位(程乾生,1979刘财等,1995张尔华等,2011于捷等,2011陈双全和李向阳,2012). 瞬时频率被广泛应用于地震勘探、声呐、雷达、医学信号等领域(Boashash,1992).瞬时频率作为地震解释中的一个重要地震属性,国内外研究人员针对瞬时频率做了大量研究工作,瞬时频率的计算得到了长足的发展(Taner et al.,1979程乾生,1979贺振华,1980Scheuer and Oldenburg, 1988Barnes, 1992, 2007Fomel,2007陈林和宋海斌,2009Zhou et al.,2012Poggiagliolmi and Vesnaver, 2014Vesnaver,2017张繁昌等,2016Xing et al.,2019Wang,2021Liao et al.,2022).目前,针对信号的瞬时频率计算方法的准确度及计算效率的测试对比工作较少,基于此,笔者利用解析信号和复杂信号测试了多种瞬时频率计算方法.值得注意的是,笔者利用解析正弦信号对各种瞬时频率计算方法的准确度和计算效率进行了测试分析.
本文首先针对复地震道分析基本原理进行了阐述,并总结了几种瞬时频率计算方法.然后,利用简单的正弦解析信号测试各个瞬时频率计算方法,将计算结果与理论瞬时频率进行对比分析.最后,利用复杂信号对不同计算方法进行了测试和分析对比.

1 基本原理

1.1 复地震道分析

复地震道由原始地震道作为实部及其Hilbert变换得到的正交道作为虚部组成(Taner et al.,1979),可表示为:
其中,x(t)为原始地震道;y(t)为原始地震道x(t)的Hilbert变换,即原始地震道x(t)的正交道;j为复数单位;u(t)为x(t)的复地震道.原始地震道及其正交道和复地震道的示意图如图 1所示(PetroWiki,2015).通过复地震道分析可以从原始地震道中分离出振幅信息和相位信息,得到瞬时振幅、瞬时相位和瞬时频率(Taner et al.,1979).定义复地震道的模为原始地震道的瞬时振幅(Taner et al.,1979),记作:
图1 复地震道示意图(PetroWiki,2015)

Fig 1 A diagram of a complex seismic trace (PetroWiki, 2015)

瞬时振幅也称为振幅包络,瞬时振幅度量的是反射强度,与某一瞬间地震信号总能量的平方根成比例.定义复地震道在某一时刻的幅角为原始地震道的瞬时相位(Taner et al.,1979),并记作:
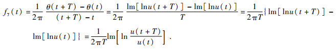
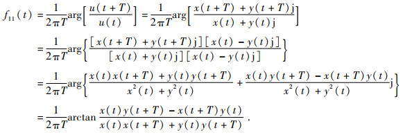
瞬时相位反映的是在某一时刻地震道与其虚地震道的夹角.定义原始信号瞬时相位的时间变化率为瞬时频率(Taner et al.,1979),记作:
式中,瞬时频率f(t)的单位为Hz;ω(t)为瞬时角频率,单位为rad/s.瞬时频率其物理意义表示向量的幅角旋转速度(张贤达和保铮,1998).
原始地震道及其正交道可利用瞬时振幅和瞬时相位表示为(Taner et al.,1979):
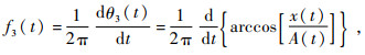
结合式(5)和式(6),瞬时相位可以通过反正弦、反余弦函数进行计算(贺振华,1980):
为了方便区分,将由式(3)、式(7)和式(8)计算得到的瞬时相位分别记作θ1(t)、θ2(t)、θ3(t).
根据欧拉公式,复地震道可用极坐标表示为:
对式(9)两边同时取自然对数有:
根据式(10)可知,复地震道取自然对数后的虚部即为瞬时相位(Yilmaz,2001Barnes,2007),即:
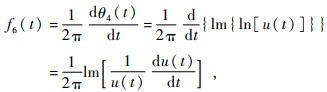
其中,lm[·]表示取虚部.并将由式(11)计算得到的瞬时相位记作θ4(t).

1.2 常见的瞬时频率估计方法

有学者认为导数运算对瞬时频率的计算有影响,所以选择利用差分运算代替导数运算(Xing et al.,2019).利用导数算子直接计算瞬时频率和利用差分计算得到的瞬时频率结果不同.因此,尽管差分和求导作用相同,但得到的计算结果不同.为此,本文针对具有相同含义计算方法的求导形式和差分形式作为两种计算方法进行分析对比.
将式(3)代入式(4)有(Taner et al.,1979):
并将该瞬时频率计算方法简记作IFCM1(Instantaneous Frequency Calculation Method 1).
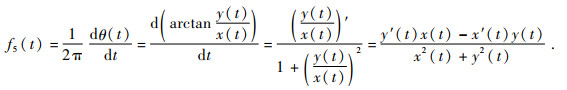
将式(7)代入式(4)有:
并将该瞬时频率计算方法简记作IFCM2.
将式(8)代入式(4)有:
并将该瞬时频率计算方法简记作IFCM3.
将式(11)代入式(4),有:
并将该瞬时频率计算方法简记作IFCM4.
将式(3)代入式(4),并根据求导法则进行推导可得(Taner et al.,1979):
并将该瞬时频率计算方法简记作IFCM5,详细推导见附录A.
将式(11)代入式(4),并进行推导可得(Yilmaz,2001陈林和宋海斌,2009):
并将该瞬时频率计算方法简记作IFCM6.
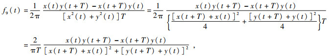
结合式(4)和式(11),并利用差分表示导数运算,推导可得(陈林和宋海斌,2009):
其中,T为时间采样间隔,并将该瞬时频率计算方法简记作IFCM7,详细推导见附录B.
用中心差分形式表达式(16)有(陈林和宋海斌,2009):
并将该瞬时频率计算方法简记作IFCM8.
对式(16)进一步推导可得(Yilmaz,2001Barnes,1992),
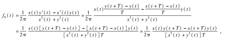
并将该瞬时频率计算方法简记作IFCM9,详细推导见附录C.
瞬时频率是信号瞬时相位相对于时间t的一阶导数,这可能会导致瞬时频率对噪声的敏感性.根据这一观点,Zhou等(2012)为了提高瞬时频率算法的鲁棒性和稳定性,在式(16)的基础上提出了一种阻尼瞬时频率算法:
其中,e(t)=x2(t)+y2(t),em=max[e(t)],ε是阻尼因子,满足0 < ε≤1.并将该瞬时频率计算方法简记作IFCM10.
将公式(18)进一步化简可得到(Scheuer and Oldenburg, 1988Barnes,1992):
并将该瞬时频率计算方法简记作IFCM11,详细推导见附录D.
式(17)的离散表达式可写作(贺振华,1980):
并将该瞬时频率计算方法简记作IFCM12,详细推导见附录E.
Poggiagliolmi和Vesnaver(2014)提出一种无需人为设置参数的瞬时频率计算方法,Wang(2021)在该算法的基础上进行改进应用,得到一种新型瞬时频率计算方法:
其中,Re[·]表示取实部,n*(t)为n(t)的共轭,n′(t)为n(t)的时间导数,n(t)为归一化复地震道,且:
将通过式(24)这一瞬时频率计算方法简记作IFCM13.
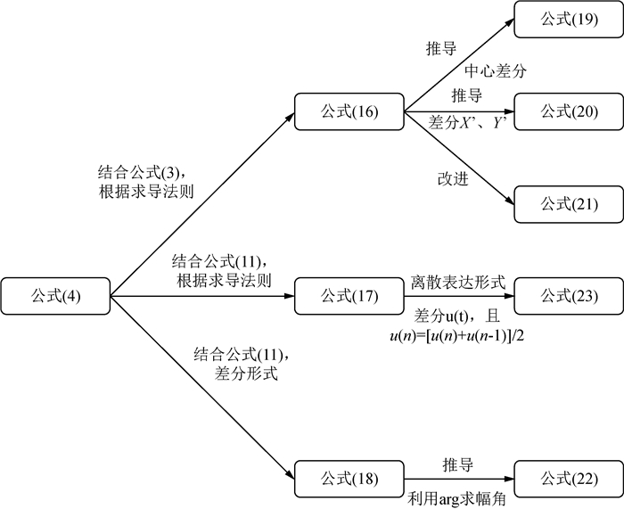
为了方便厘清上述13种瞬时频率计算方法之间的联系,将各计算方法之间的关系绘制成图 2.
图2 各算法之间的联系缩略图

Fig 2 Thumbnail view of the relationship between the algorithms

2 简谐信号测试

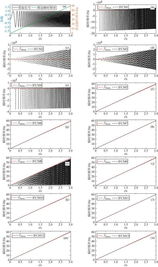
利用时变频率正弦信号x(t)=sin(20πt2)测试上述13种瞬时频率计算方法.根据瞬时频率的定义,经过推导可以得到正弦信号x(t)=sin(20πt2)的理论瞬时频率fTheory(t)=20t Hz,详细推导见附录F.图 3为该时变频率正弦信号及各计算方法的计算结果,表 1为各计算方法计算得到的瞬时频率与理论瞬时频率之间的互相关系数、均方根误差、最大绝对误差、平均绝对误差及各计算方法的运行时间.
图3 时变频率正弦信号及其瞬时频率计算结果

[(a) 时变频率正弦信号及其理论瞬时频率;(b) IFCM1计算结果;(c) IFCM2计算结果;(d) IFCM3计算结果;(e) IFCM4计算结果;(f) IFCM5计算结果;(g) IFCM6计算结果;(h) IFCM7计算结果;(i) IFCM8计算结果;(j) IFCM9计算结果;(k) IFCM10计算结果;(l) IFCM11计算结果;(m) IFCM12计算结果;(n) IFCM13计算结果.

Fig 3 Time-varying frequency sinusoidal signal and its instantaneous frequency calculation results

(a) Time-varying frequency sinusoidal signal and its theoretical instantaneous frequency; (b) The result of the IFCM1 calculation; (c) The result of the IFCM2 calculation; (d) The result of the IFCM3 calculation; (e) The result of the IFCM4 calculation; (f) The result of the IFCM5 calculation; (g) The result of the IFCM6 calculation; (h) The result of the IFCM7 calculation; (i) The result of the IFCM8 calculation; (j) The result of the IFCM9 calculation; (k) The result of the IFCM10 calculation; (l) The result of the IFCM11 calculation; (m) The result of the IFCM12 calculation; (n) The result of the IFCM13 calculation.

表1 时变频率正弦信号不同瞬时频率计算方法对比

Tab 1 Comparison of different instantaneous frequency calculation methods for sinusoidal signals with time-varying frequency

互相关系数 均方根误差 最大绝对误差 平均绝对误差 计算时长/ms
IFCM1 0.0016 42173.1802 178395.2600 19794.8015 1.6158
IFCM2 -0.0052 12100.8298 21656.4000 10376.7441 2.4933
IFCM3 -0.0009 12092.7805 21656.4000 10370.1069 1.2898
IFCM4 -0.0006 61074.7564 358036.2600 20705.1683 0.6238
IFCM5 1.0000 0.5282 1.4205 0.3469 0.6636
IFCM6 1.0000 0.5282 1.4205 0.3469 0.6594
IFCM7 1.0000 0.0100 0.0100 0.0100 0.7997
IFCM8 0.8233 21.0502 58.9493 14.9884 0.5703
IFCM9 1.0000 0.2786 0.7305 0.1895 0.5620
IFCM10 1.0000 0.5313 1.4263 0.3496 0.6982
IFCM11 1.0000 0.0100 0.0100 0.0100 0.5731
IFCM12 1.0000 0.2786 0.7305 0.1895 0.7054
IFCM13 1.0000 0.5282 1.4205 0.3469 6.1887
观察图 3发现,由对反正切、反正弦、反余弦算法得到的瞬时相位进行直接求导运算得到的瞬时频率与理论瞬时频率严重不符,计算方法IFCM1~3计算得到的瞬时频率与理论瞬时频率的互相关系数小于0.01.并且这三种方法计算得到的瞬时频率存在与实际物理意义不符的“负频率”现象.经过仔细分析,这是因为通过反正切、反正弦、反余弦算法计算得到的相位角为包裹相位(wrapped phase)(Poggiagliolmi and Vesnaver, 2014),没有进行相位解包裹(phase unwrapping algorithm)(Poggiagliolmi and Vesnaver, 2014),计算得到的相位值分别在之间.致使瞬时相位在边界(反正切、反正弦算法求瞬时相位时)、0和π(反余弦算法求瞬时相位时)处不连续,导致瞬时相位出现骤变;当瞬时相位在不连续点处骤降时,致使在对瞬时相位进行求导时得到绝对值极大的负值;当瞬时相位在不连续点处骤增时,致使在对瞬时相位进行求导时得到绝对值极大的正值.同时计算方法IFCM1中负频率现象出现的周期较IFCM2、IFCM3计算方法更短,这是因为通过反正切、反正弦、反余弦算法计算得到的瞬时相位出现不连续点频率不同的原因.IFCM4计算得到的瞬时频率也存在“负频率”现象,这也是因为瞬时相位不连续导致瞬时相位严重跳变引起的.并且IFCM4计算得到的瞬时频率“负频率”现象更严重,其最大绝对误差较计算方法IFCM1~3要高2~16.5倍.这是因为反正切、反正弦、反余弦算法计算得到的瞬时相位骤降跨度范围为-π,而通过公式(11)计算得到的瞬时相位θ4(t)值域为[-π, π],瞬时相位骤降跨度范围为-2π,所以θ4(t)骤降更严重,计算得到的负频率绝对值更大.IFCM5~13不同于IFCM1~4,IFCM1~4是通过对计算得到的瞬时相位直接进行导数运算得到的,而IFCM5~13没有对瞬时相位进行导数运算.令人高兴的是IFCM5~7、IFCM9~13计算得到的瞬时频率与理论瞬时频率一致,互相关系数约为1.0000(保留4位有效数字),均方根误差均小于0.54,最大绝对误差均小于1.43.IFCM8的计算结果在0与理论瞬时频率之间波动,没有IFCM5~7、IFCM9~13结果好,其互相关系数为0.8233,均方根误差21.05,最大绝对误差为58.94.这是因为在利用公式(19)计算瞬时频率时,公式(19)会出现分子等于零的情况,导致IFCM8计算的瞬时频率会在理论瞬时频率与0之间波动.但值得注意的是,IFCM8没有出现“负频率”现象,相较于IFCM1~4有很大优势.同时,我们发现,IFCM5、IFCM6、IFCM8、IFCM10、IFCM13计算得到的瞬时频率略低于理论瞬时频率,IFCM9、IFCM12计算得到的瞬时频率略高于理论瞬时频率,IFCM7和IFCM11计算得到的瞬时频率与理论瞬时频率一致.
计算方法IFCM1~12的运行时长一般在0.5~2.5 ms左右,而计算方法IFCM13的运行时长达到了6.19 ms,是其他计算方法运行时长的2.4~11.0倍.这是因为计算方法IFCM13需要计算归一化后的复地震道及归一化后的复地震道的共轭和时间导数,因此其计算时间最长.

3 复杂信号测试

为了进一步探究各瞬时频率计算方法间的特点与区别,本节利用合成地震记录进行测试.为了模拟地层衰减,分别利用主频为50 Hz、40 Hz、30 Hz、20 Hz、10 Hz的雷克子波作为震源,分别在0.1 s、0.3 s、0.5 s、0.7 s、0.9 s处生成五个合成记录并叠加成一道合成地震记录,如图 4a所示,图 4bn为各个瞬时频率计算方法的计算结果.
图4 拟地层衰减合成地震记录及其瞬时频率计算结果

(a) 合成地震记录;(b) IFCM1计算结果;(c) IFCM2计算结果;(d) IFCM3计算结果;(e) IFCM4计算结果;(f) IFCM5计算结果;(g) IFCM6计算结果;(h) IFCM7计算结果;(i) IFCM8计算结果;(j) IFCM9计算结果;(k) IFCM10计算结果;(l) IFCM11计算结果;(m) IFCM12计算结果;(n) IFCM13计算结果.

Fig 4 Simulated layer attenuation synthetic seismic record and its instantaneous frequency calculation results

(a) Synthetic seismic records; (b) The result of the IFCM1 calculation; (c) The result of the IFCM2 calculation; (d) The result of the IFCM3 calculation; (e) The result of the IFCM4 calculation; (f) The result of the IFCM5 calculation; (g) The result of the IFCM6 calculation; (h) The result of the IFCM7 calculation; (i) The result of the IFCM8 calculation; (j) The result of the IFCM9 calculation; (k) The result of the IFCM10 calculation; (l) The result of the IFCM11 calculation; (m) The result of the IFCM12 calculation; (n) The result of the IFCM13 calculation.

图 4可知,IFCM1~4计算结果不仅存在-105~-104 Hz的“负频率”现象,反射界面处的瞬时频率也有近104 Hz,且IFCM1~4的结果与反射界面没有表现出一致性,与其他计算方法结果差别很大,不能客观反映实际瞬时频率.IFCM5~6和IFCM9~13计算得到的瞬时频率能够很好地与反射界面一一对应,且能够反映各个反射界面处反射波频率的衰减趋势. 其中,我们注意到IFCM9和IFCM12在0.76 s附近出现了-5.9 Hz左右的“负频率”,比IFCM1~4中的负频率要低3~4个数量级.IFCM7中出现了多个-250 Hz的“负频率”,并在0.6 s处出现了一个250 Hz的瞬时频率野值,分析后认为是复地震道累积了原始地震道和正交地震道的数值突变的缘故,相较于IFCM5~6和IFCM9~13该计算方法还不够稳健.同时,值得注意的是,250 Hz也正是该数据对应的尼奎斯特频率.为了探究IFCM7中出现的±250 Hz的野值是否与数据的尼奎斯特频率有关,我们将采样时间间隔改为0.0005 s、0.001 s和0.004 s,发现利用IFCM7计算得到的瞬时频率的野值也对应变为±1000 Hz、±500 Hz和±125 Hz,即该野值与数据的尼奎斯特频率对应.其中,IFCM8结果整体上能与反射界面相对应,但其结果会出现振荡现象,没有IFCM5~7和IFCM9~13光滑,这是因为其在利用公式(19)计算瞬时频率时,公式(19)会出现分子等于零的情况,导致瞬时频率计算结果会在0与理论瞬时频率之间波动.值得注意的是,IFCM8计算的瞬时频率的负频率只有-2 Hz左右.

4 结论

本文针对各瞬时频率计算方法的计算效率与准确度进行了研究,测试结果表明:
(1) 计算信号的瞬时频率时,理想、简单的解析信号的瞬时频率计算不会失真,但复杂信号的瞬时频率计算会出现野值、负频率等失真情况.
(2) 通过对基于反正切、反正弦、反余弦算法计算得到的瞬时相位求时间导数计算瞬时频率会严重失真,“负频率”现象严重,这是因为由反正切、反正弦、反余弦计算得到的瞬时相位为包裹相位,瞬时相位的不连续导致瞬时相位骤变,进而导致瞬时频率出现“野值”.
(3) 阻尼法IFCM10虽然可以很好地避免“负频率”现象,但需要人为输入参数,导致该计算方法的计算在参数的选择上需要较强的经验性.
(4) IFCM13计算准确度和稳定性较其他计算方法要好,但是其运行时间也较其他计算方法要长,因为该计算方法需要计算归一化后的复地震道及归一化后的复地震道的共轭和时间导数.

附录A f5(t)详细推导过程

附录B f7(t)详细推导过程

附录C f9(t)详细推导过程

代入到公式(16)得到:
代入到公式(C1)得到:
即:

附录D f11(t)详细推导过程

将公式(16)进一步化简可得到:
其中arg[·]为求复数对应的幅角,进一步化简有:

附录E f12(t)详细推导过程

由于:
将公式(E1)和公式(E2)代入公式(17),则瞬时频率有:

附录F  

信号x(t)=sin[ω(t)t+φ0],其中φ0为初相位,为一个常数;且ω(t)=2πkt,即x(t)=sin[2πkt2+φ0].根据瞬时相位定义有,信号x(t)的瞬时相位为:
据瞬时频率定义有,信号x(t)的瞬时频率为瞬时相位关于时间的一阶导数,即:
即该时变频率正弦信号的理论瞬时频率为fTheory=2kt Hz.

感谢审稿专家提出的修改意见和编辑部的大力支持!

Barnes A E . The calculation of instantaneous frequency and instantaneous bandwidth. Geophysics, 1992, 57(11): 1520 1524

DOI

Barnes A E . A tutorial on complex seismic trace analysis. Geophysics, 2007, 72(6): W33-W43

DOI

Boashash B . Estimating and interpreting the instantaneous frequency of a signal. Ⅰ. Fundamentals. Proceedings of the IEEE, 1992, 80(4): 520-538

DOI

Cao S Y , Bing P P , Lu J T . Seismic data time-frequency analysis by the improved Hilbert-Huang transform. Oil Geophysical Prospecting, 2013, 48(2): 246-254

Chen L , Song H B . The estimation of instantaneous frequency of seismic signal. Chinese Journal of Geophysics, 2009, 52(1): 206-214

Chen S Q , Li X Y . Gas reservoir detection based on local frequency attributes. Oil Geophysical Prospecting, 2012, 47(5): 754-757

Chen X H , He Z H , Huang D J . High-efficient time-frequency spectrum decomposition of seismic data based on generalized S transform. Oil Geophysical Prospecting, 2008, 43(5): 530-534

DOI

Dong J H , Gu H M , Zhang X . A comparison of time-frequency analysis methods and their applications. Chinese Journal of Engineering Geophysics, 2007, 4(4): 312-316

DOI

Fomel S . Local seismic attributes. Geophysics, 2007, 72(3): A29-A33

DOI

Gabor D . Theory of communication. Part 1: The analysis of information. Journal of the Institution of Electrical Engineers-Part Ⅲ: Radio and Communication Engineering, 1946, 93(26): 429-441

DOI

Gao J H , Liu N H , Q . Characterization of thin interbedded reservoir using synchrosqueezing transform. Geophysical Prospecting for Petroleum, 2018, 57(4): 512-521

DOI

Gao J H , Yang S L , Wang D X . Quality factor extraction using instantaneous frequency at envelope peak of direct waves of VSP data. Chinese Journal of Geophysics, 2008, 51(3): 853-861

DOI

Hart B S . Channel detection in 3-D seismic data using sweetness. AAPG Bulletin, 2008, 92(6): 733-742

DOI

He Z H . Means of calculation to the seismic wave complex channel analysis. Geophysical Prospecting for Petroleum, 1980 4): 64-80

Li Z C , Diao R , Han W G . Review on linear time-frequency analysis methods. Progress in Exploration Geophysics, 2010, 33(4): 239-246

Liang Y , Gu H M , Yao Z M . The application of improved Hilbert-Huang transform in reservoir prediction. Geophysical Prospecting for Petroleum, 2016, 55(4): 606-615

DOI

Liao J P , Wen P , Xu Y G . An integrated study on fracture prediction using 3D P-wave field seismic data. Geophysics, 2022, 87(6): B313-B328

DOI

Liu D , Hu Y , Chen H . Synchroextracting three-parameter wavelet transform and its application in hydrocarbon detection of reservoir. Chinese Journal of Geophysics, 2023, 66(3): 1244-1256

DOI

Matheney M P , Nowack R L . Seismic attenuation values obtained from instantaneous-frequency matching and spectral ratios. Geophysical Journal International, 1995, 123(1): 1-15

DOI

Peng H , Yin C , He Q L . Development characteristics and petroleum geological significance of Permian pyroclastic flow volcanic rocks in Western Sichuan Basin, SW China. Petroleum Exploration and Development, 2022, 49(1): 56-67

DOI

Poggiagliolmi E , Vesnaver A . Instantaneous phase and frequency derived without user-defined parameters. Geophysical Journal International, 2014, 199(3): 1544-1553

DOI

Radovich B J , Oliveros R B . 3-D sequence interpretation of seismic instantaneous attributes from the Gorgon Field. The Leading Edge, 1998, 17(9): 1286-1293

DOI

Scheuer T E , Oldenburg D W . Local phase velocity from complex seismic data. Geophysics, 1988, 53(12): 1503-1511

DOI

Taner M T , Koehler F , Sheriff R E . Complex seismic trace analysis. Geophysics, 1979, 44(6): 1041-1063

DOI

Tian G , Zhao Y , Zhang W . The inverse Q filtering method based on a novel variable stability factor. Geophysics, 2023, 88(3): V207-V214

DOI

Tian J X , Zeng X , Wang W Z . The detection of biogas in unconsolidated sandstone formation of the Quaternary in Qaidam Basin. Geophysical Prospecting for Petroleum, 2016, 55(3): 408-413

DOI

Vesnaver A . Instantaneous frequency and phase without unwrapping. Geophysics, 2017, 82(1): F1-F7

DOI

Wang Y H . The W transform. Geophysics, 2021, 86(1): V31-V39

DOI

Xia Z , Liu L F , Ren D Z . Analytical principle and approach of stratigraphic structure based on time-frequency analysis of seismic traces. Oil Geophysical Prospecting, 2007, 42(1): 57-65 57-65, 69

DOI

Xing L Y , Aarre V , Barnes A E . Seismic attribute benchmarking on instantaneous frequency. Geophysics, 2019, 84(3): O63-O72

DOI

Yan G H , Yang W Y , Yang Q . Study and application of CEEMD high resolution time-frequency analysis method. Progress in Geophysics, 2016, 31(4): 1709-1715

DOI

Yang P J , Yin X Y , Zhang G Z . Seismic signal time-frequency analysis and attributes extraction based on HHT. Progress in Geophysics, 2007, 22(5): 1585-1590

DOI

Yilmaz Ö . Seismic Data Analysis: Processing, Inversion, and Interpretation of Seismic Data. Tulsa: SEG, 2001

DOI

Yin J Q , Yi Y J . The application of seismic sedimentology in predicting deepwater depositional reservoirs. Progress in Geophysics, 2013, 28(5): 2626-2633

DOI

Yu H , Li J S , Zhang Y . Spectral decomposition in fault and reservoir identifications. Oil Geophysical Prospecting, 2013, 48(6): 954-959

DOI

Yu J , Miao G W , Feng X . The application of the instantaneous amplitude and the instantaneous phase of high resolution in thin interbed of coalfield identification. Progress in Geophysics, 2011, 26(4): 1386-1392

DOI

Yu Z , Wang Y C , He J . Seismic response characteristic analysis of oil-rich reservoirs. Geoscience, 2012, 26(6): 1250-1257

DOI

Zhang E H , Wang X K , Gao J H . Local instantaneous frequency extracting method and its application to the Daqing Oilfield. Progress in Geophysics, 2011, 26(3): 1064-1069

DOI

Zhang E , Gao S Q , Hou C F . Predicting the sandstone reservoir thickness and oil saturation by using seismic attributes. Petroleum Exploration and Development, 2000, 27(1): 115-117

Zhang F C , Liu H Q , Zhang L Q . Improved complex-trace dynamic matching pursuit algorithm. Oil Geophysical Prospecting, 2016, 51(1): 183-189

DOI

Zhang X D , Bao Z . . Non-stationary Signal Analysis and Processing Beijing National Defence Industry Press 1998 17

Zhao Y , Wang Y S , Ren Z M . Parabolic fitting method for quality factor estimation. Geophysics, 2022, 87(4): V247-V260

DOI

Zhao Y . A stable Q reverse time migration method with regularization. Journal of Applied Geophysics, 2022, 207 104850

DOI

Zhao Y . An inverse Q filtering method with adjustable amplitude compensation operator. Journal of Applied Geophysics, 2023, 215 105111

DOI

Zheng J F , Peng G , Sun J L . Fusing amplitude and frequency attributes for hydrocarbon detection using 90° phase shift data. Geophysical Prospecting for Petroleum, 2019, 58(1): 130-138

DOI

Zhou Y H , Chen W C , Gao J H . Application of Hilbert-Huang transform based instantaneous frequency to seismic reflection data. Journal of Applied Geophysics, 2012, 82 68-74

DOI

思远 , 萍萍 , 交通 . 利用改进希尔伯特—黄变换进行地震资料时频分析. 石油地球物理勘探, 2013, 48(2): 246-254

, 海斌 . 地震信号瞬时频率的估算. 地球物理学报, 2009, 52(1): 206-214

双全 , 向阳 . 应用局部频率属性检测天然气藏. 石油地球物理勘探, 2012, 47(5): 754-757

学华 , 振华 , 德济 . 基于广义S变换的地震资料高效时频谱分解. 石油地球物理勘探, 2008, 43(5): 530-534

DOI

乾生 . 希尔伯特变换与信号的包络、瞬时相位和瞬时频率. 石油地球物理勘探, 1979 3): 1-14

建华 , 汉明 , . 几种时频分析方法的比较及应用. 工程地球物理学报, 2007, 4(4): 312-316

DOI

静怀 , 乃豪 , . 薄互层型油气储层同步挤压变换域分析方法. 石油物探, 2018, 57(4): 512-521

DOI

静怀 , 森林 , 大兴 . 利用VSP资料直达波的包络峰值处瞬时频率提取介质品质因子. 地球物理学报, 2008, 51(3): 853-861

振华 . 地震波复数道分析的计算方法. 石油物探, 1980 4): 64-80

振春 , , 文功 . 线性时频分析方法综述. 勘探地球物理进展, 2010, 33(4): 239-246

, 汉明 , 知铭 . 改进的希尔伯特-黄变换在储层预测中的应用. 石油物探, 2016, 55(4): 606-615

DOI

, , 宝俊 . 高分辨率复数道分析方法. 石油地球物理勘探, 1995, 30(S1): 24-29

, , . 同步提取三参数小波变换及其在储层含气性检测中的应用. 地球物理学报, 2023, 66(3): 1244-1256

DOI

, , 青林 . 川西地区二叠系热碎屑流火山岩发育特征及其油气地质意义. 石油勘探与开发, 2022, 49(1): 56-67

DOI

继先 , , 文卓 . 柴达木盆地第四系疏松砂岩地层生物气含气检测方法探讨. 石油物探, 2016, 55(3): 408-413

DOI

, 兰锋 , 敦占 . 基于地震道时频分析的地层结构解析原理和方法. 石油地球物理勘探, 2007, 42(1): 57-65 57-65, 69

DOI

高韩 , 午阳 , . CEEMD高分辨率时频分析方法研究与应用. 地球物理学进展, 2016, 31(4): 1709-1715

DOI

培杰 , 兴耀 , 广智 . 希尔伯特-黄变换地震信号时频分析与属性提取. 地球物理学进展, 2007, 22(5): 1585-1590

DOI

继全 , 英杰 . 地震沉积学在深水沉积储层预测中的应用. 地球物理学进展, 2013, 28(5): 2626-2633

DOI

, 劲松 , . 频谱分解技术在断层与储层识别中的应用. 石油地球物理勘探, 2013, 48(6): 954-959

DOI

, 广文 , . 高分辨瞬时振幅和瞬时相位在薄互煤层识别中的应用. 地球物理学进展, 2011, 26(4): 1386-1392

DOI

, 彦春 , . 富含油储层地震响应特征分析. 现代地质, 2012, 26(6): 1250-1257

, 书琴 , 成福 . 利用地震属性预测砂岩储集层厚度及含油饱和度. 石油勘探与开发, 2000, 27(1): 115-117

尔华 , 晓凯 , 静怀 . 局部瞬时频率提取及其在大庆油田中的应用. 地球物理学进展, 2011, 26(3): 1064-1069

DOI

繁昌 , 汉卿 , 立强 . 复数道动态匹配追踪算法的改进. 石油地球物理勘探, 2016, 51(1): 183-189

DOI

贤达 , . . 非平稳信号分析与处理 北京 国防工业出版社 1998 17

江峰 , , 佳林 . 基于90°相移的振幅和频率属性融合法油气检测. 石油物探, 2019, 58(1): 130-138

DOI

Outlines

/