Home Journals Progress in Geophysics
Progress in Geophysics

Abbreviation (ISO4): Prog Geophy      Editor in chief:

About  /  Aim & scope  /  Editorial board  /  Indexed  /  Contact  / 

Coalbed methane content prediction based on joint optimization of log interpretation model and mean impact value method

  • Ze BAI , 1 ,
  • MaoJin TAN 2 ,
  • Yang BAI 2 ,
  • HaiBo WU 1
Expand
  • 1 Anhui University of Science and Technology, The Key Laboratory of Universities in Anhui Province for Prevention of Mine Geological Disasters, Huainan 232001, China
  • 2 China University of Geosciences (Beijing), School of Geophysics and Information Technology, Beijing 100083, China

Received date: 2023-11-23

  Online published: 2024-12-19

Copyright

Copyright ©2024 Progress in Geophysics. All rights reserved.

Abstract

In order to further improve the prediction effect of Coalbed Methane (CBM) content by using the geophysical well logging technology, this study introduced the coal reservoir parameters calculated by Log Interpretation Model (LIM) into the construction process of the CBM content prediction model. And the input parameters of Support Vector Machine (SVM) were optimized based on the Mean Impact Value (MIV) method. Finally, a LIM-MIV-SVM model for predicting CBM content was constructed using grid search method. And the CBM content prediction effects of the LIM-MIV-SVM model were compared with multiple regression model, conventional logging SVM model and LIM-SVM model by using the actual logging data from Huainan coalfield. The application results show that the proposed LIM-MIV-SVM model has the highest prediction accuracy, followed by the LIM-SVM model and the conventional logging SVM model, and the multiple regression model has the lowest prediction accuracy. This indicates that machine learning method have advantages over traditional logging interpretation method, and introducing gas content parameters calculated by LIM reasonably is effective for improving the prediction accuracy of CBM content. The LIM-MIV-SVM model is jointly optimized through multi-source logging data fusion and input dataset selection, which can provide technical support for CBM resource exploration and reservoir evaluation. Moreover, this research method and modeling strategy can be suitable for other machine learning modeling research fields.

Cite this article

Ze BAI , MaoJin TAN , Yang BAI , HaiBo WU . Coalbed methane content prediction based on joint optimization of log interpretation model and mean impact value method[J]. Progress in Geophysics, 2024 , 39(5) : 1863 -1873 . DOI: 10.6038/pg2024HH0406

0 引言

我国煤层气资源储量丰富,准确预测煤层气含量不仅能够实现高效开发和洁净利用,同时也有助于遏制煤矿安全事故的发生(张道勇等, 2018Yang et al., 2019; 秦勇等, 2022).实验室解吸法被认为是评价煤层含气量最准确的方法,但耗时长,且成本较高(牟全斌, 2015).地球物理测井能够测量多条反映煤储层岩性、物性和导电性等地质特征的曲线数据,是目前代替实验室解析法开展煤层含气量预测的重要手段之一(唐颖等, 2015徐海春, 2017; Guo et al., 2023).然而,煤储层复杂的地质结构特征和气体赋存状态使得测井响应与煤层气含量之间的映射关系不明显,基于常规测井的煤储层含气量评价效果有待进一步提高(李丹丹等, 2022闫萍等, 2022; Guo et al., 2022).
近年来,数据挖掘和机器学习等应用数学技术的发展为煤层含气量的测井解释提供了新的方向(Lee et al., 2014汤小燕等, 2023).Lu等(2013)利用灰色关联理论分析了影响煤层含气量的主要控制因素,并在此基础上构建了BP神经网络预测模型,该模型在淮南矿区潘一东煤矿的应用效果优于常规煤层含气量解释模型.胡驰等(2021)将深度学习中的深度置信网络(DBN)应用到煤储层测井含气量预测中,并分析了不同模型参数对预测结果的影响,认为深度学习网络建模参数的优选对于提高模型的预测精度是十分必要的.秦瑞宝等(2023)以沁水盆地柿庄南区块煤储层测井数据为例,采用交叉验证和网格搜索法构建了BP神经网络、支持向量机及随机森林3种机器学习含气量评价模型,并对比分析了这3种机器学习方法的优缺点和适用条件.在煤田地质勘探过程中,基于大量岩心分析和岩石物理实验结果建立起来的常规测井解释模型(LIM,Log Interpretation Model)对于煤储层的含气性具有一定的指示意义,可以作为煤储层地质信息的有效补充,具有较大的数据挖掘潜力(淮银超等, 2018; Wang et al., 2023).此外,利用机器学习方法构建预测模型时,输入数据与预测参数之间的相关性直接影响了构建模型的性能,大量冗杂的输入数据不仅会降低神经网络训练的速度,还会影响模型的预测精度(刘之的等, 2014; 郭建宏等, 2020; Bai et al., 2022).
多数机器学习方法在模型训练过程中往往会受到小样本、过拟合、高维数、局部最小等实际问题的困扰(Grebovic et al., 2022).基于统计学习中VC维理论和结构风险最小原理建立起来的支持向量机(SVM)方法具有对训练样本数量要求低,不受局部极值影响和泛化能力强的特点,在解决小样本非线性回归和分类问题中具有很大优势(林香亮等, 2018; 周雪等, 2021; Vapnik and Izmailov, 2021).基于此,本文以基于小样本理论的SVM方法为手段,尝试将常规测井解释模型计算的煤层含气性参数融入到神经网络建模中,并采用平均影响值(MIV)方法对测井数据和测井解释模型数据组成的原始样本集进行降维,以期从多源数据融合和输入数据集优选两个角度来优化SVM神经网络模型的性能,提高煤储层含气量预测精度.

1 基础数据源分析

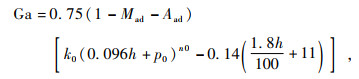
选取淮南煤田某区块的煤层气井煤岩密闭取心岩心测试数据和经深度校正的测井曲线数据作为基础数据源.图 1为研究区某煤层气井煤储层的测井响应特征,目标煤层位于二叠系石盒子组. 相比于围岩地层,煤储层测井响应整体表现出明显的“三高二低”特征,电阻率测井(LLS和LLD)响应高值,主要分布在200~10000 Ω · m;补偿中子测井(CNL)响应高值,主要分布在50% ~70%;声波时差测井(AC)响应高值,主要分布在340~440 μs/m;补偿密度测井(DEN)响应低值,主要分布在1.5~1.9 g/cm3;自然伽马测井(GR)响应低值,主要分布在40~120 API.
图1 研究区某煤层气井测井响应特征

Figure 1 Logging response characteristics of a coalbed methane well in the study area

利用Pearson相关系数法对研究区105块岩心测试含气量数据和不同测井响应之间的相关性进行分析.Pearson相关系数的计算公式如下:
式中,相关系数r的取值范围为-1≤r≤1,正负号代表相关性的方向,其数值越大代表两者的线性相关性越强.图 2为不同测井曲线与岩心分析含气量之间的Pearson相关系数热度图,不同测井参数从不同的角度反映了煤层的岩石物理属性,导致与煤层含气量之间表现出不同程度的相关性.密度测井反映了煤层的致密程度,一般煤层致密程度越低,孔隙越丰富,吸附气含量相对越高,二者表现为负相关关系;声波测井对吸附或部分游离的煤层气较敏感,煤层气的存在会导致声波时差增大,二者表现为正相关关系;自然伽马测井反映了煤岩骨架的放射性强弱,随着煤岩骨架中泥质和黏土矿物的含量的增多,自然伽马表现出高值,但煤层气的吸附能力降低,导致煤层含气量减小,二者表现为负相关关系;电阻率测井反映了煤层的导电能力,煤层气属于非导电介质,电阻率测井响应与煤层气含量之间表现为正相关关系;补偿中子测井、自然电位测井和井径测井受到井内流体的矿化度、煤岩骨架的物质组成和地层机械强度等因素的影响,其与煤层气含量的相关关系要根据实际地层特点分析得出.本研究区中DEN测井与含气量之间的Pearson相关系数最高(r=-0.661),表现出明显的负相关关系,而其余测井曲线与煤岩岩心含气量的线性相关性不明显,Pearson相关系数均小于0.5.基于测井线性回归模型预测煤层含气量的精度很难提高,煤层气含量常规测井解释效果不好.
图2 不同测井曲线与煤岩岩心分析含气量之间Pearson相关系数热图

Figure 2 Pearson correlation coefficient heat map between different logging curves and analyzed coal sample gas content

2 研究方法与实现流程

煤储层的含气量主要受煤层的生气能力和储气能力的影响,煤岩生气能力主要与煤岩自身的工业组分含量有关.在储气能力方面,大部分煤层气是依靠范德华力吸附在煤分子微小的基质孔隙内表面,还有少部分的游离气主要存在于煤储层的裂缝等大中孔隙中,因而煤储层的吸附气含量和孔隙度是解释煤层含气性的重要参数(孟召平等, 2014; Kang et al., 2022).为此,考虑将煤岩工业组分含量、吸附气含量和孔隙度作为煤层含气性指示参数加入到原始输入数据集中.在此基础上,利用平均影响值(MIV)方法计算不同输入参数对煤层含气量的影响程度,剔除掉一些对煤层含气量影响较小的参数,实现对原始输入数据集的降维.最后利用降维优选的参数作为输入数据集训练得到支持向量机(SVM)含气量预测模型,并对模型的实际应用效果进行分析.具体的技术路线图如图 3所示.
图3 研究方法技术路线图

Figure 3 Flowchart of the research method

下面利用在研究区获取的基础数据源资料对本研究的实现流程进行具体说明.
(1) 煤储层测井解释模型构建(LIM, Log Interpretation Model)
① 煤岩工业组分模型
工业上一般把煤分成水分、灰分、挥发分和固定碳4部分.通过统计分析煤岩岩心实测的工业组分质量含量之间关系(图 4),可以得出煤岩挥发分和固定碳与灰分含量之间具有较好的线性关系,而测井信息中的密度测井与灰分具有较好的相关关系,又利用物质平衡方程可求解煤岩水分含量.最终得到煤岩工业组分含量的计算公式如下:
图4 煤岩不同工业组分相关性分析结果

(a)灰分与固定碳质量含量相关关系;(b)灰分与挥发分质量含量相关关系;(c)灰分质量含量与密度测井值相关关系.

Figure 4 The correlation analysis results of different coal industrial components

(a) The correlation between ash content and fixed carbon content; (b) The correlation between volatile matter and ash content; (c) The correlation between ash content and density logging values.

式中,FCadVdafAadMad分别为空气干燥基固定碳、挥发分、灰分和水分的质量百分含量,单位为%; DEN为密度测井值,单位为g/cm3.
② 孔隙度模型
煤岩的孔隙主要由裂缝孔隙度和基质孔隙度两部分构成.在煤岩储层测井解释中,因为煤岩自身结构复杂,容易扩径,以至于补偿声波时差很难有效反映煤岩总孔隙度;而煤岩一般饱含水,因受束缚水分、裂缝中自由水和挥发分中的含氢指数影响,也无法选用中子测井确定煤岩孔隙度.为此,本文选择密度测井计算孔隙度,根据等效体积模型理论得到利用密度测井计算孔隙度的公式如下:
式中,DENma为煤岩骨架密度值,单位为g/cm3;DEN为测井密度值,单位为g/cm3;DENf为孔隙流体密度,即水的密度DENf=1 g/cm3Φ为煤岩孔隙度,小数.煤岩的骨架可以近似看成由碳分(固定碳+挥发分)和灰分组成,同一煤层的碳分和灰分含量变化较大,因此煤层的骨架密度应该是一个变值.由图 4c的拟合结果可求出煤岩骨架中碳分(令灰分含量为0)和灰分(令灰分含量为100%)的密度分别为1.3 g/cm3和2.81 g/cm3,所以煤岩的骨架密度值DENma可以利用碳分和灰分的含量进行综合求取,表达式如下:
③ KIM吸附气模型
Kim(1977)经过研究发现煤层工业组分与含气量之间存在一定联系,提出了通过煤岩工业组分分析和等温吸附理论计算煤岩吸附气含量的方法,称为KIM方程法.本文采用KIM方程的修正形式计算煤层气吸附气量(Pophare et al., 2008),公式如下:
式中,Ga为煤层吸附气量,单位为cm3/g;h为煤层埋深,单位为m;p0为地表大气压,单位为105 Pa;k0n0为校正系数,其与煤岩工业组分含量之间关系有:
式中,FCadVdaf分别为固定碳和挥发分的质量含量,小数.
需要说明的是,计算的煤岩工业组分含量参数已经体现在孔隙度模型和KIM吸附气模型中,故本研究中的煤岩工业组分含量只作为一个中间参数,其计算结果并不作为输入数据.
(2) 基于平均影响值(MIV)的训练数据集优选
基础数据源分析部分已经表明,不同输入数据对煤层含气量的影响程度存在差异,并且输入数据与含气量之间的相关性并不是简单的线性关系.平均影响值(MIV)反映了神经网络中权重矩阵的变化情况,是神经网络模型评价变量相关性最有效的方法之一(陈涛等, 2021).将MIV的思想应用到支持向量机(SVM)回归中,实现非线性的煤层含气量模型训练数据集优选,以提高煤层含气量的模型的训练效果,提高预测精度.具体的变量优选过程如下:
① 原始数据的量纲不同会直接影响变量的优选结果和神经网络模型的构建,因此需要对原始数据进行规范化处理.选择MATLAB平台中的mapminmax归一化函数将所有参数范围规范到-1~1之间.
② 利用Matlab平台中的libsvm工具箱对规范化后的原始数据进行训练,构建SVM神经网络,训练过程中选择支持向量机函数作为核函数,即K(xi, xj)=,模型参数采用网格搜索法确定.
③ 在原始数据中的某一变量分别增加10%和降低10%构建2组新的样本S1和S2,然后将样本S1和S2作为1)中训练好的SVM模型的输入数据,得到2组含气量预测结果A1和A2,它们之间的差值就是变动原始数据某个变量后对网络输出产生的影响变化值(Ⅳ,Impact Value).
④ 最后将Ⅳ取平均得出某一变量的平均影响值MIV.计算的MIV数值正负号表示影响的方向,绝对值大小表示这一变量对煤层气含量预测结果的影响程度.根据MIV绝对值的大小为输入变量排序,删除对含气量预测结果影响较小的特征变量,从而实现对训练数据集的优选.
为了有效筛选出适用于本研究的网络模型输入变量,随机生成2组噪声数据作为输入变量进行对照,图 5为输入的各变量对煤层含气量预测结果的平均影响值柱状图,表 1是根据MIV数值(不考虑方向)大小对输入变量的排序位次表.可以看出,基于测井岩石物理模型计算的Ga和Φ的MIV数值分别为2.84×106和1.61×106,在所有的输入变量影响程度中排第1和第3位次,说明在煤层含气量的预测过程中引入测井岩石物理模型参数是可行的和必要的.常规测井曲线中MIV数值最高的为密度测井(DEN),其次是自然伽马测井(GR)、电阻率测井(LLS、LLD)和补偿中子测井(CNL),而井径测井(CAL)、自然电位测井(SP)和声波时差测井(AC)和对煤层含气量的平均影响值较小(接近于噪声),可视为无效参数.基于此,筛选出Ga、DEN、Φ、GR、log(LLS)、log(LLD)和CNL共7个变量作为SVM含气量回归模型的训练数据集.
图5 不同输入变量对煤层含气量预测结果的平均影响值柱状图

(a)不同模型参数组合测试样本集预测结果均方误差等值线图;(b)不同模型参数组合测试样本集预测结果决定系数等值线图.

Fig 5 The histogram of the mean impact value of different input variables for predicting coal gas content

表1 不同输入变量的MIV值(×106)位次表

Table 1 The rank table of MIV (×106) for different input variables

位次 1 2 3 4 5 6 7 8 9 10 11 12
变量 Ga DEN Φ GR Log(LLS) Log(LLD) CNL CAL 噪声1 AC SP 噪声2
|MIV| 2.84 1.93 1.61 1.52 1.15 1.11 0.65 0.14 0.11 0.09 0.05 0.03
(3) LIM-MIV-SVM含气量预测模型构建
将基于MIV方法优选的7个变量作为SVM神经网络的训练数据集,模型训练过程中,随机挑选出输入样本数据的20%作为测试样本集,剩下的80%作为训练集.采用网格搜索方法对模型参数进行确定,即选择不同的惩罚因子(C)和核函数参数() 参数组合,通过训练得到不同的回归模型和测试集均方误差,从这些组合中选择一个均方误差最小模型作为最终的SVM含气量回归模型,其中C的取值分别为(2-5, ,2-4,…,212),的取值分别为(2-5,2-4,…,25).图 6是利用MIV优选的7个变量作为输入时的模型参数优选结果图,确定的最优模型参数组合为:C=256,=2;此时构建的SVM回归模型对测试样本集的预测结果均方误差最小(MSE=0.086),决定系数最大(R2=0.89).
图6 LIM-MIV-SVM含气量模型参数优选结果图

Figure 6 LIM-MIV-SVM model parameter optimization results

(a) The mean square error contour map of different model parameter combinations for test sample sets; (b) The coefficient contour map of different model parameter combinations for test sample sets.

3 测井解释效果分析

为了检验所构建的LIM-MIV-SVM煤层含气量预测模型的应用效果,本文将最初的8条测井参数和引入测井解释模型(Ga和Φ)后的10个参数分别作为输入训练数据集来构建煤层含气量模型,记作常规测井SVM模型和LIM-SVM模型.这两种神经网络模型只在输入训练数据集上存在差异,模型参数的选取流程与LIM-MIV-SVM模型相同.最终将构建的常规测井SVM模型、LIM-SVM模型和LIM-MIV-SVM模型分别与利用测井曲线多元回归构建的含气量模型进行对比分析.根据105块煤岩岩心分析含气量和对应深度补偿密度和自然伽马测井数值多元回归构建含气量计算模型如下:
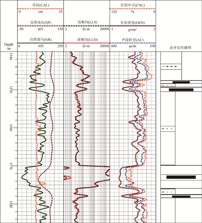
选择研究区一口煤层气探井的实际测井资料进行煤层含气量测井解释,图 7显示了该煤层气探井煤层含气量的测井解释结果.图中第一道为深度道,第二道至第四道分别为岩性曲线(CAL,SP,GR)、电阻率曲线(LLS,LLD)和物性曲线(CNL,DEN,AC)的原始测井响应.第五道为利用密度测井曲线计算的煤质组分含量,第六道为基于测井岩石物理模型计算得到的煤层孔隙度和吸附气含量,第七道到第九道的红色实线分别是使用常规测井SVM模型、LIM-SVM模型和LIM-MIV-SVM模型预测的煤层含气量结果,黑色实线是利用测井曲线多元回归模型计算的煤层含气量,黑色实心棒表示煤岩心含气量分析数据.第十道是根据录井资料得到的岩性剖面.可以看到,利用测井曲线多元回归模型计算的煤层含气量比岩心分析结果整体偏大,常规测井SVM模型预测的煤层含气量效果比测井曲线多元回归模型计算结果稍好一些.LIM-SVM模型预测的煤层含气量相比常规测井SVM模型的效果更好,表明引入煤储层含气性测井解释参数作为输入在提高煤层气预测精度上是可行的.LIM-MIV-SVM模型预测的煤层含气量与岩心分析含气量一致性最好,说明综合考虑多源信息的融入和有效输入参数的筛选对于提高煤层气测井解释精度是有效的.
图7 不同含气量预测模型测井解释结果图

(a)测井多元回归模型;(b)常规测井SVM模型;(c) LIM-SVM模型;(d) LIM-MIV-SVM模型.

Fig 7 Logging interpretation results of different CBM content prediction models

为了进一步分析提出的LIM-MIV-SVM模型对煤层含气量的计算效果,从研究区随机选取了21个煤岩样本和对应深度测井数据来预测含气量,并与岩心测试结果进行对比.图 8是利用常规测井SVM模型、LIM-SVM模型、LIM-MIV-SVM模型和测井曲线多元回归模型对21个煤岩样品的含气量预测结果的对比.计算结果表明,LIM-MIV-SVM模型对煤岩含气量的预测精度最高,均方误差为0.124;其次分别是LIM-SVM模型,常规测井SVM模型和测井曲线多元回归模型,均方误差分别为0.782,1.202和1.443.能够看出,机器学习方法相比于传统的测井曲线回归方法存在优势,选取合适的输入参数能够提高机器学习模型的预测精度.构建的LIM-MIV-SVM模型既引入了测井解释模型(LIM)数据,又基于MIV方法对SVM建模参数进行了优选,为煤层气含量预测提供了一种可靠的技术手段.
图8 不同煤层含气量模型预测结果对比图

Fig 8 The prediction results comparison of different CBM content prediction models

(a) Multiple regression model by using conventional logging data; (b) Conventional logging SVM model; (c) LIM-SVM model; (d) LIM-MIV-SVM model.

4 结论

(1) 利用Pearson相关系数法分析了研究区基础测井资料和煤岩含气量之间的相关性.补偿密度(DEN)测井与煤层含气量呈负相关关系,Pearson相关系数最高(r=-0.661),而其他常规测井曲线与煤岩含气量之间的线性相关关系不明显(r<0.5),这是导致原始测井曲线预测煤层含气量精度低的重要原因.
(2) 基于平均影响值(MIV)方法分析了不同变量对煤层含气量预测结果的平均影响程度,根据MIV数值大小优选了支持向量机(SVM)模型的输入参数组合,证实了将吸附气含量(Ga)和煤岩孔隙度(Φ)测井解释参数作为自变量引入到输入数据集中是合理可行的.
(3) 对比分析LIM-MIV-SVM模型、常规测井SVM模型、LIM-SVM模型和传统测井曲线多元回归模型对煤层含气量的预测效果表明:LIM-MIV-SVM模型对煤层含气量的预测精度最高(MSE=0.124),其次是LIM-SVM模型(MSE=0.782)和常规测井SVM模型(MSE=1.202),测井曲线多元回归模型的预测精度最低(MSE=1.443),说明机器学习方法相比于传统的测井解释方法存在优势,合理地引入煤储层测井解释参数作为输入在提高煤层气含量预测精度上是有效的.
(4) 构建的LIM-MIV-SVM含气量预测模型是多源测井数据融合和输入参数筛选联合优化的结果,能够为煤层气含量测井评价提供技术支持,同时这一思路和建模策略也为机器学习技术在其他领域的应用提供了参考.

感谢审稿专家提出的修改意见和编辑部的大力支持!

Bai Z , Tan M J , Shi Y J . Log interpretation method of resistivity low-contrast oil pays in Chang 8 tight sandstone of Huanxian area, Ordos Basin by support vector machine. Scientific Reports, 2022, 12(1 1046.

DOI

Chen T , Zhang Z S , Zhou X Q . Prediction model of coalbed methane content based on well logging parameter optimization. Coal Geology & Exploration, 2021, 49(3): 227 235 227-235, 243

Guo J H , Zhang Z S , Guo G S . Evaluation of coalbed methane content by using kernel extreme learning machine and geophysical logging data. Geofluids, 2022, 2022: 3424367.

DOI

Guo J H , Zhang Z S , Xiao H . Quantitative interpretation of coal industrial components using a gray system and geophysical logging data: A case study from the Qinshui Basin, China. Frontiers in Earth Science, 2023, 10: 1031218.

DOI

Guo J H , Zhang Z S , Zhang C M . Prediction and application of coalbed methane content based on gray system and logging method. Geophysical and Geochemical Exploration, 2020, 44(5): 1190-1200

Hu C , Li X H , Li X J . Research for coal seam gas content well logging interpretation based on deep belief network. Coal Geology of China, 2021, 33(3): 70-78

Huai Y C , Zhang M , Xia Z H . Coalbed methane gas content prediction by compound parameter model in S block of Australia. Coal Geology & Exploration, 2018, 46(1): 159-164

Kang J Q , Fu X H , Shen J . Characterization of coal structure of high-thickness coal reservoir using geophysical logging: A case study in Southern Junggar Basin, Xinjiang, Northwest China. Natural Resources Research, 2022, 31(2): 929-951.

DOI

Lee W , Jang H , Lee J . Development and application of the artificial neural network based technical screening guide system to select production methods in a coalbed methane reservoir. Energy Exploration & Exploitation, 2014, 32(5): 791-804

Li D D , Wang Z G , Jiang W P . Approach study on coal gas content quantitative assessment based on well logging parameters—a case study of coal No. 15 in Shouyang Block. Coal Geology of China, 2022, 34(8): 34-40

Lin X L , Yuan R , Sun Y Q . The basic theory and research progress of support vector machine. Journal of Yangtze University (Natural Science Edition), 2018, 15(17): 48-53

Liu Z D , Zhao J Z , Yang X C . Prediction of methane gas content in coalbed based on the grey relation analysis and BP neural network. Journal of Xi'an Shiyou University (Natural Science Edition), 2014, 29(3): 58-62

Meng Z P , Guo Y S , Zhang J X . Application and prediction model of coalbed methane content based on logging parameters. Coal Science and Technology, 2014, 42(6): 25-30

Mou Q B . Contrastive analysis of different CBM content determinations. Coal Geology of China, 2015, 27(6): 31-34

Pophare A M , Mendhe V A , Varade A . Evaluation of coal bed methane potential of coal seams of Sawang colliery, Jharkhand, India. Journal of Earth System Science, 2008, 117(2): 121-132

Qin R B , Ye J P , Li L . Artificial-intelligence and machine-learning models of coalbed methane content based on geophysical logging data: A case study in Shizhuang South Block of Qinshui Basin, China. Geophysical Prospecting for Petroleum, 2023, 62(1): 68-79

Qin Y , Shen J , Li X G . Control degree and reliability of CBM resources in China. Natural Gas Industry, 2022, 42(6): 19-32

Tang X Y , Qi J X , Cui Y H . Application of fuzzy neural network in predicting coal seam gas content. Progress in Geophysics, 2023, 38(1): 494-501.

DOI

Tang Y , Li L Z , Jiang S X . Parameter selection and applicability of gas content logging interpretation methodology in coal seam. Coal Geology & Exploration, 2015, 43(4): 94-98

Vapnik V , Izmailov R . Reinforced SVM method and memorization mechanisms. Pattern Recognition, 2021, 119: 108018.

DOI

Wang Z H , Cai Y D , Liu D M . Intelligent classification of coal structure using multinomial logistic regression, random forest and fully connected neural network with multisource geophysical logging data. International Journal of Coal Geology, 2023, 268: 104208.

DOI

Xu H C . Evaluation of CBM content in logging of South Yanchuan Block. Coal Technology, 2017, 36(10): 81-82

Yan P , Yang Z Q , Kou X P . Application of special logging in coalbed evaluation. Well Logging Technology, 2022, 46(1): 89-94 89-94, 108

Yang Z B , Qin Y , Yi T S . Analysis of multi-coalbed CBM development methods in western Guizhou, China. Geosciences Journal, 2019, 23(2): 315-325

Zhang D Y , Zhu J , Zhao X L . Dynamic assessment of coalbed methane resources and availability in China. Journal of China Coal Society, 2018, 43(6): 1598-1604

Zhou X , Zhang S S , Li L S . Favorable reservoir evaluation method based on one class support vector machine. Oil Drilling & Production Technology, 2021, 43(4): 504-509

陈涛 , 占松 , 雪晴 . 基于测井参数优选的煤层含气量预测模型. 煤田地质与勘探, 2021, 49(3): 227-235 227-235, 243

郭建宏 , 占松 , 超谟 . 基于灰色系统与测井方法的煤层气含量预测及应用. 物探与化探, 2020, 44(5): 1190-1200

胡驰 , 新虎 , 晓君 . 基于深度置信网络的煤层含气量测井解释研究. 中国煤炭地质, 2021, 33(3): 70-78

淮银超 , , 朝辉 . 澳大利亚S区块基于复合参数模型的煤层含气量预测. 煤田地质与勘探, 2018, 46(1): 159-164

李丹丹 , 振国 , 文萍 . 基于测井参数的煤层含气量定量评价方法研究——以寿阳区块15煤为例. 中国煤炭地质, 2022, 34(8): 34-40

林香亮 , , 玉秋 . 支持向量机的基本理论和研究进展. 长江大学学报(自科版), 2018, 15(17): 48-53

刘之的 , 靖舟 , 秀春 . 基于灰色关联分析和BP神经网络的煤层含气量预测研究. 西安石油大学学报(自然科学版), 2014, 29(3): 58-62

孟召平 , 彦省 , 纪星 . 基于测井参数的煤层含气量预测模型与应用. 煤炭科学技术, 2014, 42(6): 25-30

牟全斌 . 煤层含气量不同测定方法的对比分析. 中国煤炭地质, 2015, 27(6): 31-34

秦瑞宝 , 建平 , . 基于机器学习的煤层含气量测井评价方法——以沁水盆地柿庄南区块为例. 石油物探, 2023, 62(1): 68-79

秦勇 , , 小刚 . 中国煤层气资源控制程度及可靠性分析. 天然气工业, 2022, 42(6): 19-32

汤小燕 , 佳新 , 宇寒 . 神经网络在煤层瓦斯含量预测中的应用. 地球物理学进展, 2023, 38(1): 494-501.

DOI

唐颖 , 乐忠 , 时馨 . 煤层含气量测井解释方法参数选择及适用性. 煤田地质与勘探, 2015, 43(4): 94-98

徐海春 . 延川南区块深部煤层含气量测井解释研究. 煤炭技术, 2017, 36(10): 81-82

闫萍 , 志强 , 小攀 . 特殊测井技术在煤层评价中的应用. 测井技术, 2022, 46(1): 89-94 89-94, 108

张道勇 , , 先良 . 全国煤层气资源动态评价与可利用性分析. 煤炭学报, 2018, 43(6): 1598-1604

周雪 , 珊珊 , 禄胜 . 基于单分类支持向量机的优势储层评价方法. 石油钻采工艺, 2021, 43(4): 504-509

Outlines

/