Home Journals Progress in Geophysics
Progress in Geophysics

Abbreviation (ISO4): Prog Geophy      Editor in chief:

About  /  Aim & scope  /  Editorial board  /  Indexed  /  Contact  / 

Influence of fluid saturation in soft pores on elastic modulus dispersion and attenuation of rocks under partial saturation condition at seismic frequencies

  • LiMing ZHAO ,
  • CaiPing LU ,
  • Yang LIU
Expand

Received date: 2023-12-20

  Online published: 2024-12-19

Copyright

Copyright ©2024 Progress in Geophysics. All rights reserved.

Abstract

A micro-and mesoscopic dual-scale fluid flow model with different soft pore saturations was developed in this paper, so as to reveal the influence of micro-and mesoscopic dual-scale fluid flow on the modulus dispersion and attenuation of partially saturated rocks at seismic frequencies. Based on the Betti-Rayleigh reciprocity theorem, frequency-dependent wet frame moduli with different soft pore saturations were derived, and then the wet frame moduli were incorporated into the White spherical patchy saturation model to obtain the model. The numerical calculation using the model showed that: (1) When the saturation of the rock was constant, the modulus dispersion and attenuation of the partially saturated rock increased as the soft pore saturation increased. When the soft pores were completely saturated, the modulus dispersion and attenuation reached their maximum values. On the other hand, there were two attenuation peaks: one at lower frequencies was related to the mesoscopic flow, and the other at higher frequencies was related to the microscopic flow. (2) When the difference between the characteristic frequencies of the mesoscopic and microscopic fluid flows was large, the different saturations of the soft pores had a small effect on the mesoscopic fluid flow but a larger effect on the microscopic fluid flow. When the soft pores were fully saturated, the effect on the microscopic fluid flow was the largest. As the characteristic frequencies of the mesoscopic and microscopic fluid flows approached each other, the effect of soft pore saturation on the mesoscopic fluid flow increased, and the effect was enhanced with an increase in soft pore saturation. (3) Compared with the micro-and mesoscopic dual-scale model of Li et al. (2018), the model of Li et al. (2018) can effectively predict the variation in the moduli of partially saturated rocks at high frequencies, but may fail at seismic and sonic frequencies. After modification of the model, it could effectively predict the variations in the moduli of partially saturated rocks at different frequencies. Finally, the newly developed model reasonably explained the attenuation data of partially saturated sandstone, and the effectiveness of the model was verified, suggesting that when the rock is partially fluid-saturated, the partial saturation of soft pores is more consistent with reality.

Cite this article

LiMing ZHAO , CaiPing LU , Yang LIU . Influence of fluid saturation in soft pores on elastic modulus dispersion and attenuation of rocks under partial saturation condition at seismic frequencies[J]. Progress in Geophysics, 2024 , 39(5) : 1874 -1885 . DOI: 10.6038/pg2024HH0448

0 引言

地震波穿过地下介质时,通常会发生频散和衰减(Aki and Richards, 2002Gurevich and Carcione, 2022; 郭俊鑫等, 2023).学者普遍认为,地震波频散和衰减与其穿过介质时引起的流体流动(即波致流)有关(Müller et al., 2010; 宋永佳和胡恒山, 2023).波致流按其流动尺度分为宏观流、微观流和介观流3类(Pride et al., 2004; Gurevich and Carcione, 2022).宏观流指发生在波长尺度上的流体流动——当地震波经过时,波峰波谷之间产生压力梯度致使孔隙流体流动(Biot, 1956a, b).孔隙流体流动过程中与岩石骨架发生摩擦,造成能量损耗衰减,但其未考虑微观流与介观流作用,从而低估了实测模量/速度频散和衰减(Mavko et al., 2009; 任舒波等, 2020).微观流指发生在颗粒/孔隙尺度上的流体流动——当地震波经过时,由于相邻孔隙的形状或方向不同,二者之间形成压力梯度,使得孔隙流体流动,又称局部流/喷射流(Mavko and Nur, 1979; Mavko and Jizba, 1991Gurevich et al., 2009, 2010; 邓继新等, 2015孙卫涛等,2015; Ba et al., 2016; Song et al., 2016; Sun et al., 2020; 欧阳芳等, 2021; Zhao et al., 2021a, b; Chen et al., 2023; 贺艳晓等, 2023; Alkhimenkov and Quintal, 2024).另一方面,介观流指远大于颗粒/孔隙尺度而远小于波长尺度上的流体流动——当地震波经过时,对于均质骨架非均匀(部分)饱和岩石或非均质骨架完全饱和岩石,岩石不同区域间(远大于颗粒/孔隙而远小于波长)形成压力梯度,从而促使孔隙流体流动(White, 1975; White et al., 1975; Johnson, 2001; 刘炯等,2010邓继新等, 2012; 巴晶等,2012; Chapman et al., 2016; 李民龙等, 2020; 凌勋等, 2023; 廖建平等, 2023; 孙超等, 2023).研究表明:微观流和介观流皆有可能主导着地震频段范围岩石弹性模量频散和衰减.比如,Subramaniyan等(2015)Pimienta等(2015a, b)Yin等(2017)Han等(2021)贺艳晓等(2023)分别开展饱和岩石地震频段岩石物理实验,通过理论分析、对比等方法,推断饱和岩石弹性模量/速度频散和衰减是由微观流引起的;而Tisato和Quintal (2013)Chapman等(2016)Li等(2020)Sun等(2022)同样开展地震频段实验,利用理论分析、数值模拟等方法,将部分饱和岩石地震频段频散和衰减归因于介观流.
此外,学者进一步研究表明:微观流、介观流可能同时存在并共同控制着岩石弹性模量频散和衰减(Mavko and Nolen-Hoeksema, 1994; Le Ravalec et al., 1996; Rubino and Holliger, 2013; Papageorgiou and Chapman, 2017; 张广智等, 2017; Li et al., 2018; 任舒波等, 2020; Zhao et al., 2021b, c).Mavko和Nolen-Hoeksema (1994)Le Ravalec等(1996)分别推导微、介观流共同作用下弹性模量高低频极限公式,合理解释了部分饱和岩石超声实验数据,但公式无法解释地震频段频散和衰减.Rubino和Holliger (2013)利用振荡压缩测试方法数值模拟了复杂介质中受微观流、介观流影响的纵波频散和衰减,表明微观流、介观流确实可以同时存在共同控制着地震频段频散和衰减,但其没有给出具体解析式表征频散和衰减.Li等(2018)结合微观流、介观流经典模型(喷射流模型、斑块饱和模型)构建了微-介观双尺度模型用以描述流体流动在微、介观尺度上的相互作用,并引入了润湿比概念表征流体在软孔隙(颗粒接触空隙或微裂隙)中的分布,这一模型很好地解释了部分饱和致密砂岩超声实验数据,但未对模型在地震频段的有效性进行验证.Zhao等(2021b)在频段1~2000 Hz范围内实验研究部分饱和枫丹白露砂岩弹性模量频散和衰减特征,并通过构建微-介观双尺度流体流动模型分析解释实验数据,论证了微、介观流在地震频段内同时存在与相互作用.但由于其未考虑孔隙流体微观分布特征,理论预测数据与实测数据存在一定误差.
为此,本文考虑流体微观尺度分布特征,推导软孔隙部分饱和条件微-介观双尺度流体流动模型,用以理解与解释地震频段岩石部分饱和时弹性模量频散和衰减变化.本文首先简介微观流、介观流经典理论模型——喷射流模型和White球状斑块饱和模型;然后,推导软孔隙部分饱和条件湿骨架模量与频变湿骨架模量,并将后者带入White球状斑块饱和模型获得软孔隙不同饱和度微-介双尺度流体流动模型;随后,开展数值计算,分析软孔隙不同饱和度对弹性模量频散和衰减、微观流与介观流的影响,并与Li等(2018)的微-介观双尺度模型进行对比;最后,运用新构建模型解释部分饱和枫丹白露砂岩实验数据.

1 理论模型

1.1 喷射流模型

在低频时,地震波穿过岩石,孔隙流体可以充分流动,流体压力达到平衡,Gassmann方程能够有效预测岩石完全饱和条件体积模量和剪切模量(Mavko et al., 2009):
其中,Ksat-lfμsat-lf分别为完全饱和岩石低频体积模量和剪切模量,ϕ是岩石总孔隙度,KdryK0Kf分别为干燥岩石体积模量、岩石颗粒体积模量和流体体积模量,μdry为干燥岩石剪切模量.
当频率变为高频时,孔隙流体来不及流动,流体压力无法达到平衡,软孔隙中流体压力大于硬孔隙中流体压力,微观流/喷射流作用使得完全饱和岩石弹性模量大于Gassmann方程预测值(即公式(1)、(2)).基于Betti-Rayleigh互易定理,Mavko和Jizba (1991)推导含有喷射流作用的湿骨架模量:
其中,Kufμuf分别为湿骨架体积模量和剪切模量(即岩石软孔隙充满流体而硬孔隙为空时的体积模量和剪切模量),ϕc是岩石软孔隙度,Kh是假设岩石软孔隙全部闭合时的体积模量.
在获取湿骨架模量后,将其带入上述Gassmann方程(1)、(2)获得完全饱和岩石高频体积模量Ksat-hf和剪切模量μsat-hf
其中,ϕs是岩石硬孔隙度.
推导湿骨架体积模量过程中,公式(3)是由湿骨架体积模量精确表达式近似获得,其不适用于体积模量较小的饱和流体,比如气体.为此,Gurevich等(2009)基于Sayers-Kachanov非连续公式重新推导了湿骨架体积模量和剪切模量,弥补了原公式的不足.其中,湿骨架剪切模量与原公式一致(公式(4)),湿骨架体积模量Kuf变为:
获取完全饱和岩石高频弹性模量后,Gurevich等(2010)基于流体压力弛豫方程进一步将湿骨架模量拓展到部分弛豫状态,进而求取完全饱和岩石全频段弹性模量.频变湿骨架体积模量和剪切模量表示为:
其中,Kf*(ω)为与流体压力弛豫相关的假设流体体积模量,J0和J1分别是0阶和1阶贝塞尔函数,α是软孔隙纵横比.
将频变湿骨架体积模量和剪切模量带入Gassmann方程即可获得完全饱和岩石全频段体积模量Ksat(ω)和剪切模量μsat(ω)(Gurevich et al., 2010):

1.2 斑块饱和模型

对于部分饱和岩石,当地震波穿过时,不同流体饱和区域之间流体流动,引起弹性模量频散和衰减.White(1975)推导斑块饱和模型表征部分饱和岩石弹性模量频散和衰减. 这一模型由两个同心球组成:饱和流体1、半径为a的内球,以及饱和流体2、半径为b的外球环(baab皆大于颗粒/孔隙大小而远小于波长),具体表达如下(Dutta and Seriff, 1979):
其中,KWh(ω)和μWh(ω)分别为部分饱和岩石体积模量和剪切模量,K是部分饱和岩石高频体积模量,S1为岩石中流体1饱和度(S1=a3/b3),区域n(饱和流体n)的体积模量KGn由Gassmann方程获得,Kfn为区域n内流体n的体积模量,η为流体黏度,κ为岩石渗透率,其他参数与喷射流模型中参数定义相同.

1.3 微-介双尺度流体流动模型

喷射流模型和斑块饱和模型分别考虑单一尺度流体流动,但当地震波穿过部分饱和岩石时,流体流动并不仅在单一尺度上发生,而是多尺度的,即流体流动既发生在不同孔隙之间,又发生在不同流体饱和区域之间.孔隙间流体流动(即微观流)使得“骨架刚度”发生改变,从而影响着不同流体饱和区域之间的流体流动(介观流);另一方面,介观流作用促使不同饱和区域间流体流动,不同孔隙中流体重新分布,影响着微观流的特征.为此,本小节同时考虑微、介观不同尺度流体流动,构建软孔隙部分饱和微-介观双尺度流体流动模型,用以表征微、介观流共同作用对部分饱和岩石地震波频散和衰减特征的影响.具体推导过程如下:
遵循Mavko和Jizba (1991)的思路,假设两组力分别作用于同一个部分饱和岩样(图 1),岩样含有软、硬孔隙,流体随机分布其中,且岩石骨架均匀各向同性,由Betti-Rayleigh互易定理可得:
图1 两组力作用于同一部分饱和岩石图

左侧岩石在力的作用下如同处于非弛豫状态,而右侧岩石在力的作用下如同岩石矿物颗粒骨架一般.图中圆圈代表硬孔隙,扁椭圆代表软孔隙.

Figure 1 Two sets of tractions were applied to the same partially-saturated rock sample

The left one behaves as an unrelaxed saturated rock, whereas the right one behaves as a solid mineral grain matrix. The sphere represents the stiff pores and the oblate spheroid represents soft pores.

其中, Kpuf为所要求取的软孔隙部分饱和湿骨架体积模量,Δσ为施加外力,ΔPCi为Δσ诱发的饱和软孔隙中流体压力,V为岩样体积,Vci为饱和软孔隙体积,ΔVci为Δσ诱发的饱和软孔隙体积变化,ΔVp-drianed为Δσ诱发的排水孔隙体积变化(排水孔隙可同时含软孔隙和硬孔隙),体积模量K0与前述定义相同.
公式(26)两边除以(Δσ)2V,且Δσ→0时,可得:
又因为,则:
参考Mavko和Jizba(1991)公式(10),公式(28)变为:
公式(29a)进一步近似可得:
对于软孔隙完全饱和情况,求和为总软孔隙度ϕc,且ϕ表示岩石硬孔隙度ϕs,则,由此公式(29b)变为:
也就是 Mavko和Jizba(1991)文章中公式(10).
对于软孔隙部分饱和情况,公式(29b)中求和小于总软孔隙度ϕc,这里求和记为ϕc1,另一方面,ϕ不再仅表示岩石硬孔隙度ϕs,其同时包含未饱和软孔隙度ϕc2.因为对于任一均匀各向同性线性的干岩样存在以下关系:
则公式(29b)可变为:
其中,Kdry表示含硬孔隙度ϕs和软孔隙度ϕc2的岩石体积模量,它大于Kdry又小于Kh,对应岩石某一有效压力下体积模量,同理,这一有效压力大于干岩样体积模量Kdry对应的压力值又小于体积模量Kh对应的压力值.公式(32)与Mavko和Nolen-Hoeksema (1994)中公式(6)表示含义相一致.
同时,令ϕc1=ScϕcSc为软孔隙饱和度,则公式(32)变为:
当岩石软孔隙饱和度为1时,Kdry变为Kh,公式(33)变为公式(3),则Kpuf变为Kuf;另一方面,当岩石软孔隙饱和度为0时,Kdry变为Kdry,此时,Kpuf也变为Kdry.
再经Gurevich等(2009, 2010)改进方法,则软孔隙部分饱和湿骨架体积模量与频变湿骨架体积模量分别为:
软孔隙部分饱和湿骨架剪切模量与频变湿骨架剪切模量分别为:
在获取软孔隙部分饱和频变湿骨架体积模量和剪切模量后,将其带入White球状斑块饱和模型(即公式(14)—(25))中,即可获得软孔隙部分饱和微-介观双尺度流体流动模型.

2 数值计算分析与对比

2.1 数值计算分析

在此小节,基于上述新建模型开展数值计算,探究软孔隙不同饱和度对部分饱和岩石弹性模量频散衰减、微观流、介观流的影响.
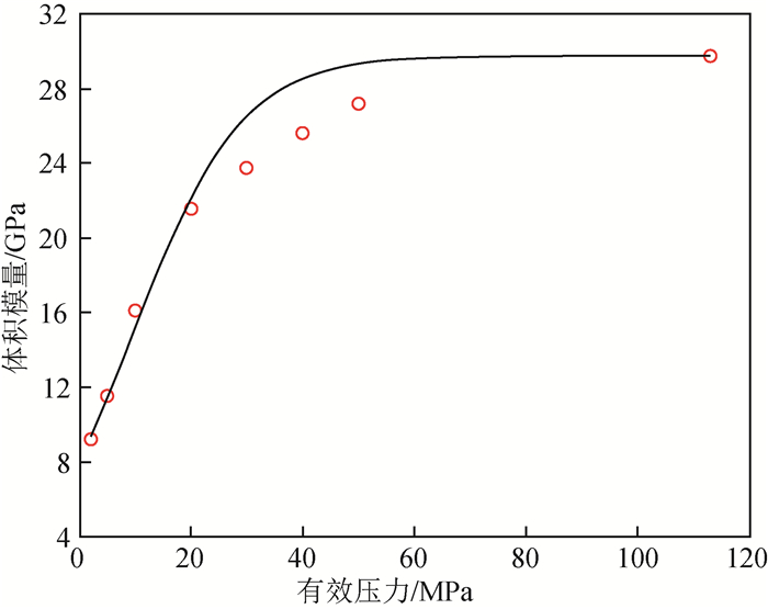
基于微裂隙-孔隙等效介质模型(Cracks-Pores Effective Medium,简称CPEM)(Adelinet et al., 2011)模型和相关输入参数(表 1)计算干燥岩石体积模量和剪切模量.相关输入参数中(P代表有效压力),硬孔隙度随着压力的增加而线性递减,而软孔隙度随着压力的增加以指数的形式迅速减小(Mavko and Jizba, 1991; Gurevich et al., 2009),如图 2a所示.由此计算获得的干燥岩石体积模量和剪切模量如图 2b所示.从图 2b中可以看出,在低有效压力下,干燥岩石体积模量和剪切模量随着压力的增加迅速增加,呈现非线性增加趋势,在高有效压力下,由于软孔隙闭合,体积模量和剪切模量随着压力的增加而缓慢增加,近似呈现线性增加趋势.岩石弹性模量随有效压力变化特征与文献描述相一致(邓继新等, 2012; Li et al., 2018).
表1 CPEM模型输入参数

Table 1 Input parameters in CPEM model

输入参数 数值
颗粒体积模量K0/GPa 37
颗粒剪切模量μ0/GPa 44
初始硬孔隙度ϕs0 0.099
初始软孔隙度ϕc0 0.001
有效压力P/MPa 0~100
硬孔隙度ϕs 0.099-0.0099/100×P
软孔隙度ϕc 0.001×exp(-P/14)
图2 (a) 总孔隙度、硬孔隙度与软孔隙度随有效压力变化;(b)干燥岩石体积模量与剪切模量随有效压力变化

Fig 2 (a) Total porosity, stiff porosity, and soft porosity versus effective pressure; (b) Bulk and shear moduli of dry sample versus effective pressure

获取岩石不同有效压力干燥岩石体积模量、剪切模量后,基于上述微-介观双尺度流体流动模型计算软孔隙不同饱和度时岩石弹性模量频散和衰减.计算过程中,设定岩石含水总饱和度为70%, 软孔隙饱和度分别0%、20%、70%、90%、100%, 其中软孔隙饱和度为0时对应斑块饱和.有效压力为0时,不同软孔隙饱和度岩石体积模量计算如下(假设有效压力为0时软孔隙全未闭合,而有效压力为100 MPa时软孔隙近似全部闭合):
(1) 不同有效压力下软孔隙度指数插值计算整个测试压力范围软孔隙度变化.
(2) 根据软孔隙饱和度判定未饱和软孔隙度,未饱和软孔隙度与未闭合软孔隙度相对应,进而求取对应压力值.例如,软孔隙饱和度为20%时,未饱和软孔隙度为80%, 即未闭合软孔隙度占80%, 对应压力由以下公式求取:
(3) 对不同压力下干燥岩石体积模量插值获得整个测试压力范围干燥岩石体积模量,根据压力值Px给出对应的干燥岩石体积模量.插值方法表述如下:(ⅰ)不同压力干燥岩石体积模量(Kdry)计算其对应的体积压缩率(Cdry);(ⅱ)不同体积压缩率以有效压力100 MPa时的体积压缩率为基准进行标准化,即Cdry_std=(Cdry-Cdry(P=100 MPa))/Cdry(P=100 MPa)(图 3a);(ⅲ)标准化体积压缩率指数插值,计算相应指数插值函数f(P),则整个测试压力范围标准体积压缩率为Cdry-cha=(f(P)+1)×Cdry(P=100 MPa)(图 3a); (iv)对Cdry-cha求取倒数,获得整个测试压力范围干燥岩石体积模量(图 3b).
图3 干燥岩石体积模量插值

Figure 3 Interpolation of dry bulk modulus

(4) 获取对应干燥岩石体积模量Kdry后,利用公式(35)、(37)计算获取软孔隙部分饱和频变湿骨架模量Kpmfμpmf.
(5) 将软孔隙部分饱和频变湿骨架模量Kpmfμpmf带入斑块饱和模型中,即可获得软孔隙不同饱和度双尺度流体流动引起的岩石弹性模量频散和衰减.
基于上述计算流程,有效压力为0条件下软孔隙不同饱和度微-介观双尺度流体流动引起的岩石体积模量和衰减变化如图 4所示,图中数值计算结果所需输入参数除表 1外,其他参数见表 2.
图4 纵横比α=0.001、0.0005时,70%饱水岩石体积模量频散和衰减随软孔隙饱和度及频率的变化

Figure 4 When the aspect ratio α=0.001, 0.0005, the bulk modulus dispersion and attenuation of the sample with water saturation of 70% versus soft pore saturation and frequency

表2 双尺度流体流动模型输入参数

Table 2 Input parameters in dual-scale fluid flow model

输入参数 数值
岩石渗透率κ/10-15m2 10
气体体积模量Kgas/GPa 0.002
气体黏度ηgas/(Pa·s) 0.00002
水体积模量Kwater/(GPa) 2.25
水黏度ηwater/(Pa·s) 0.001
水饱和度Sw/% 70
气体斑块半径a/m 0.05
软孔隙纵横比α 0.001/0.0005
图 4中可以看出:当岩石软孔隙水饱和度为0时,介观流引起岩石体积模量频散和衰减,岩石体积模量频散相对较小;随着软孔隙(水)饱和度增加,微、介观双尺度流共同引起体积模量频散和衰减,体积模量频散特征越来越明显,当软孔隙完全饱和时,体积模量频散和衰减达到最大;在高频极限下,软孔隙完全饱和双尺度流作用下体积模量比介观流作用下体积模量分别大31%(α=0.001)、55%(α=0.0005). 另一方面,当只有介观流作用时,体积模量对应衰减只有一个衰减峰;当微、介观双尺度流作用时,衰减出现两个衰减峰,较低频段衰减峰与介观流相关,较高频段衰减峰与微观流相关.
此外,由图 4ab中可以看出:当介观流与微观流特征频率相差较大时,随着软孔隙饱和度增加,对介观流特征几乎无影响,而对微观流特征影响较大,微观流引起的模量频散和衰减变化随着软孔隙饱和度增加逐渐增加,且微观流对应特征频率略向高频移动.对介观流特征几乎无影响的原因为:在介观流引起模量频散和衰减的频段范围内,由于波频率较小,当波经过软孔隙时,软孔隙中流体充分流动,流体压力达到平衡,微观流变化不引起模量频散与衰减.另一方面,当软孔隙的纵横比变小时(如由0.001变为0.0005)(图 4cd),介观流主导频段范围内弹性模量频散与衰减增加,其原因在于在介观流引起模量频散和衰减的频段范围内,软孔隙中的微观流达不到压力平衡,微观流引起模量频散和衰减,这一频散和衰减会叠加在介观流作用上,从而使得介观流频段范围内弹性模量频散和衰减增加(图 4cd).

2.2 与已有模型对比

与本文第一部分双尺度模型构建思路类似,Li等(2018)结合喷射流模型与斑块饱和模型构建了考虑软孔隙饱和度(润湿比)的微-介观双尺度流体流动模型,频变湿骨架模量表达式如下(他们文中公式(4)、(5)):
其中,公式中参数定义与前述参数定义相一致.Li等(2018)运用这一模型很好地解释了部分饱和致密砂岩超声数据,然而其未对模型在地震、声波频段弹性模量频散和衰减解释的有效性进行检验.
本文将两个模型进行对比,对Li等(2018)模型在地震、声波频段的有效性进行检验.与本文公式(35)、(37)对比可知,两个模型皆基于喷射流模型推导,对软孔隙完全饱和频变湿骨架模量进一步拓展,加入软孔隙部分饱和影响,然后获得软孔隙部分饱和频变湿骨架模量.但二者的频变湿骨架体积模量表达存在差异,主要体现在软孔隙部分饱和如何对骨架影响.另一方面,二者频变湿骨架剪切模量虽表达式一致,但由于二者频变湿骨架体积模量不同,由此导致二者剪切模量亦不同.基于表 1表 2数据(纵横比α选择0.0005),两个模型计算出软孔隙不同饱和度频变湿骨架体积模量,如图 5所示.图中,当软孔隙饱和度较小时,二者在中间频段时差异较大(可能对应地震、声波频段),而在高频极限时差异较小;随着软孔隙饱和度的增加,中间频段的差异减小,当软孔隙完全饱和时,这种差异消失.两个模型对比表明:软孔隙不同饱和度时,Li等(2018)模型在高频(超声)频段是适用的,但在地震、声波频段可能是不适用的,其受软孔隙饱和度大小影响.不适用原因在于:Li等(2018)模型推导过程中,软孔隙部分饱和应表示为Scϕc,而不是Sc/ϕc,频变湿骨架体积模量公式(39)改正为:
图5 软孔隙不同饱和度条件下本文模型与Li等(2018)模型及其改进模型对比

Figure 5 The model in this paper is compared with Li et al. (2018)'s model and its modified model under different soft pore saturations

频变湿骨架剪切模量表达方式(公式(40))不变.经改进后,Li等(2018)模型与本文模型预测相一致,可以有效预测不同软孔隙饱和度下不同频段频变湿骨架体积模量(图 5ad).当软孔隙完全饱和时,公式(39)与公式(41)相同,无需对Li等(2018)模型修改.

3 实验数据对比验证

Zhao等(2021b)基于动态应力-应变法在频段1~2000 Hz范围内实验研究了部分油(气)饱和枫丹白露砂岩杨氏模量频散及其衰减变化特征.在不同油饱和度下,实验岩样呈现出一个衰减峰或两个衰减峰:一个衰减峰时,这一衰减峰由微观流主导;两个衰减峰时,较低频段衰减峰与介观流有关,较高频段衰减峰与微观流有关.为此,他们构建了微-介观双尺度流体流动模型来解释衰减双峰现象.这一模型假设岩石软孔隙完全饱和油构建频变湿岩石骨架,然后将这一湿骨架带入到斑块饱和模型代替原有干骨架,体现微、介观双尺度流体流动作用.这一模型能够呈现实验中观测到的衰减双峰现象,但在解释微观流衰减峰时存在相对较大差异.为此,本文利用新构建双尺度模型对原有衰减数据进行了解释.
如前一小节所述,计算软孔隙不同饱和度频变湿骨架模量过程中,公式(35)需要获取相应软孔隙度下的干燥岩石体积模量.但在Zhao等(2021b)中,他们未给出岩样软孔隙度随压力变化曲线,因此,无法直接利用上述步骤计算求取对应软孔隙度干燥岩石体积模量.另一方面,干燥岩石体积压缩率与软孔隙度具有良好的线性相关性(Pervukhina et al., 2010),为此,本文基于此求取不同软孔隙度对应的干燥岩石体积模量.求取方法具体如下:当干燥岩样软孔隙全部闭合时(ϕc=0),对应有效压力为Pc,以此压力下干燥岩石体积压缩率为基准,将不同压力下干燥岩石体积压缩率依次减去此体积压缩率进行标准化,然后对标准化体积压缩率进行指数插值(因为它与软孔隙度有着相似的压力依赖性),将其近似软孔隙度压力依赖性;然后,再由前一小节方法求取整个测试压力范围干燥岩石体积压缩率与体积模量.图 6所示为插值计算干燥岩石体积模量:在较小压力时,插值数据可以很好地拟合实验数据;在较大压力下,插值数据与实测数据存在较小的误差.
图6 枫丹白露砂岩干燥岩石体积模量插值

Figure 6 Dry bulk modulus interpolation of Fontainebleau sandstone sample

计算不同软孔隙饱和度频变湿骨架模量后,利用新构建模型计算杨氏模量衰减,计算数据与实测数据对比如图 7所示.从图中可以看出,Zhao等(2021b)构建的双尺度模型,由于只考虑软孔隙完全油饱和,计算衰减数据远大于实测数据.另一方面,当考虑软孔隙部分油饱和时(本文模型),理论计算数据更加吻合实测数据,说明当岩石部分饱和时,软孔隙亦应部分饱和.理论计算数据与实测数据存在一定误差的原因在于:理论计算过程中,微观流主控频段使用单一纵横比,形成单一峰值衰减特征;而实际岩石中,纵横比并非单一值,而是在一定范围内分布,由此形成多个衰减峰叠加,其衰减特征比单一纵横比时分布宽广,因此导致理论计算与实测数据之间存在一定误差(Rubino and Holliger, 2013; Subramaniyan et al., 2015; Han et al., 2021).
图7 不同双尺度模型计算数据与实测数据对比

Figure 7 Comparison between the measured data and two different dual-scale models' calculations

4 结论

本文运用Betti-Rayleigh互易定理推导软孔隙部分饱和湿骨架模量,然后,引入频变流体体积模量,获取软孔隙不同饱和度频变湿骨架模量,随后,将其带入White球状斑块饱和模型获得考虑软孔隙不同饱和度的微-介双尺度流体流动模型,由该模型数值计算分析及与实验数据对比可得:
(1) 当岩石部分饱和且饱和度一定时,随着软孔隙饱和度增加,部分饱和岩石弹性模量频散和衰减随之增加;当软孔隙完全饱和时,弹性模量频散与衰减达到最大;衰减出现两个衰减峰,较低频段衰减峰与介观流有关,较高频段衰减峰与微观流有关.
(2) 当介观流与微观流特征频率相差较大时,软孔隙部分饱和对介观流作用较小,对微观流作用较大,且软孔隙完全饱和时,对微观流作用最大;随着二者特征频率差异减小,软孔隙部分饱和对介观流作用增加.
(3) 通过与Li等(2018)模型对比分析可知,Li等(2018)模型适用于软孔隙较低饱和度时的高频状态以及接近完全饱和时的全频状态;当软孔隙饱和度较低时,Li等(2018)模型在地震、声波频段可能是不适用的;对Li等(2018)模型进行改进,改进后模型可以有效预测部分饱和岩石不同软孔隙饱和度不同频段弹性模量频散和衰减.
(4) 新构建模型理论预测数据与已发表实验室数据对比可知,软孔隙部分饱和状态理论预测更接近实测数据,表明:当岩石处于部分饱和状态时,岩石中软孔隙同样倾向于部分饱和状态,而非完全饱和状态.

感谢审稿专家提出的修改意见和编辑部的大力支持!

Adelinet M , Fortin J , Guéguen Y . Dispersion of elastic moduli in a porous-cracked rock: Theoretical predictions for squirt-flow. Tectonophysics, 2011, 503(1-2 173 181.

DOI

Alkhimenkov Y , Quintal B . A simple and accurate model for attenuation and dispersion caused by squirt flow in isotropic porous rocks. Geophysics, 2024, 89(1): MR1-MR10.

DOI

Ba J , Carcione J M , Cao H . Velocity dispersion and attenuation of P waves in partially-saturated rocks: Wave propagation equations in double-porosity medium. Chinese Journal of Geophysics, 2012, 55(1): 219-231.

DOI

Ba J , Zhao J G , Carcione J M . Compressional wave dispersion due to rock matrix stiffening by clay squirt flow. Geophysical Research Letters, 2016, 43(12): 6186-6195.

DOI

Biot M A . Theory of propagation of elastic waves in a fluid-saturated porous solid. Ⅰ. Low-frequency range. The Journal of the Acoustical Society of America, 1956a, 28(2): 168-178.

DOI

Biot M A . Theory of propagation of elastic waves in a fluid-saturated porous solid. Ⅱ. Higher frequency range. The Journal of the Acoustical Society of America, 1956b, 28(2): 179-191.

DOI

Chapman S , Tisato N , Quintal B . Seismic attenuation in partially saturated Berea sandstone submitted to a range of confining pressures. Journal of Geophysical Research: Solid Earth, 2016, 121(3): 1664-1676.

DOI

Chen F B , Zong Z Y , Yin X Y . Pressure and frequency dependence of elastic moduli of fluid-saturated dual-porosity rocks. Geophysical Prospecting, 2023, 71(8): 1599-1615

Deng J X , Wang S X , Du W . A study of the influence of mesoscopic pore fluid flow on the propagation properties of compressional wave——a case of periodic layered porous media. Chinese Journal of Geophysics, 2012, 55(8): 2716-2727.

DOI

Deng J X , Zhou H , Wang H . The influence of pore structure in reservoir sandstone on dispersion properties of elastic waves. Chinese Journal of Geophysics, 2015, 58(9): 3389-3400.

DOI

Dutta N C , Seriff A J . On White's model of attenuation in rocks with partial gas saturation. Geophysics, 1979, 44(11): 1806-1812.

DOI

Guo J X , Cao C H , Chen X F . Effects of intrinsic anisotropy on seismic dispersion, attenuation and frequency-dependent anisotropy. Chinese Science Bulletin, 2023, 68(26): 3491-3505.

DOI

Gurevich B , Makarynska D , De Paula O B . A simple model for squirt-flow dispersion and attenuation in fluid-saturated granular rocks. Geophysics, 2010, 75(6): N109-N120.

DOI

Gurevich B , Makarynska D , Pervukhina M . Ultrasonic moduli for fluid-saturated rocks: Mavko-Jizba relations rederived and generalized. Geophysics, 2009, 74(4): N25-N30.

DOI

Han X , Wang S X , Tang G Y . Coupled effects of pressure and frequency on velocities of tight sandstones saturated with fluids: measurements and rock physics modelling. Geophysical Journal International, 2021, 226(2): 1308-1321.

DOI

He Y X , Yan G Q , Wei X . Experimental mechanism of elastic parameters in saturated carbonate at seismic frequencies: role of pressure and pore fluid. Chinese Journal of Geophysics, 2023, 66(12): 5141-5156.

DOI

Johnson D L . Theory of frequency dependent acoustics in patchy-saturated porous media. The Journal of the Acoustical Society of America, 2001, 110(2): 682-694.

DOI

Le Ravalec M , Guéguen Y , Chelidze T . Elastic wave velocities in partially saturated rocks: Saturation hysteresis. Journal of Geophysical Research: Solid Earth, 1996, 101(B11): 837-844.

DOI

Li D Q , Wei J X , Di B R . Experimental study and theoretical interpretation of saturation effect on ultrasonic velocity in tight sandstones under different pressure conditions. Geophysical Journal International, 2018, 212(3): 2226-2237.

DOI

Li H , Wang D X , Gao J H . Role of saturation on elastic dispersion and attenuation of tight rocks: An experimental study. Journal of Geophysical Research: Solid Earth, 2020, 125(4): e2019JB018513.

DOI

Li M L , Liu H J , Yang H W . Experimental study on cross-frequency wave velocity and dispersion in rocks. Oil Geophysical Prospecting, 2020, 55(2): 373-378.

DOI

Liao J P , Luo Z K , Wen P . Characterization of velocity dispersion and attenuation of gas-water two-phase saturated rock based on Chapman model. Progress in Geophysics, 2023, 38(2): 690-699.

DOI

Ling X , Lei D W , Yang W X . Analysis of dispersive AVO characteristics based on an improved mesoscopic fracture rock physics model. Geophysical Prospecting for Petroleum, 2023, 62(6): 1101-1114.

DOI

Liu J , Ma J M , Yang H Z . Research on P-wave's propagation in White's sphere model with patchy saturation. Chinese Journal of Geophysics, 2010, 53(4): 954-962.

DOI

Mavko G , Jizba D . Estimating grain-scale fluid effects on velocity dispersion in rocks. Geophysics, 1991, 56(12): 1940-1949.

DOI

Mavko G , Mukerji T , Dvorkin J . The Rock Physics Handbook: Tools for Seismic Analysis in Porous Media 2nd ed. New York Cambridge University Press 2009

Mavko G , Nolen-Hoeksema R . Estimating seismic velocities at ultrasonic frequencies in partially saturated rocks. Geophysics, 1994, 59(2): 252-258.

DOI

Mavko G M , Nur A . Wave attenuation in partially saturated rocks. Geophysics, 1979, 44(2): 161-178.

DOI

Müller T M , Gurevich B , Lebedev M . Seismic wave attenuation and dispersion resulting from wave-induced flow in porous rocks-A review. Geophysics, 2010, 75(5): 75A147-75A164.

DOI

Ouyang F , Zhao J G , Li Z . Modeling velocity dispersion and attenuation using pore structure characteristics of rock. Chinese Journal of Geophysics, 2021, 64(3): 1034-1047.

DOI

Papageorgiou G , Chapman M . Wave-propagation in rocks saturated by two immiscible fluids. Geophysical Journal International, 2017, 209(3): 1761-1767.

DOI

Pervukhina M , Gurevich B , Dewhurst D N . Applicability of velocity-stress relationships based on the dual porosity concept to isotropic porous rocks. Geophysical Journal International, 2010, 181(3): 1473-1479.

DOI

Pimienta L , Fortin J , Guéguen Y . Bulk modulus dispersion and attenuation in sandstones. Geophysics, 2015a, 80(2): D111-D127.

DOI

Pimienta L , Fortin J , Guéguen Y . Experimental study of Young's modulus dispersion and attenuation in fully saturated sandstones. Geophysics, 2015b, 80(5): L57-L72.

DOI

Pride S R , Berryman J G , Harris J M . Seismic attenuation due to wave-induced flow. Journal of Geophysical Research: Solid Earth, 2004, 109(B1): B01201.

DOI

Ren S B , Han T C , Fu L Y . Theoretical and experimental study of P-wave attenuation in partially saturated sandstones under different pressures. Chinese Journal of Geophysics, 2020, 63(7): 2722-2736.

DOI

Rubino J G , Holliger K . Research note: Seismic attenuation due to wave-induced fluid flow at microscopic and mesoscopic scales. Geophysical Prospecting, 2013, 61(4): 882-889.

DOI

Song Y J , Hu H S . Elastic waves in fluid-saturated rocks with randomly orientated slit cracks. Chinese Science Bulletin, 2023, 68(26): 3529-3542.

DOI

Song Y J , Hu H S , Rudnicki J W . Dynamic bulk and shear moduli due to grain-scale local fluid flow in fluid-saturated cracked poroelastic rocks: Theoretical model. Journal of the Mechanics and Physics of Solids, 2016, 92: 28-54.

DOI

Subramaniyan S , Quintal B , Madonna C . Laboratory-based seismic attenuation in Fontainebleau sandstone: Evidence of squirt flow. Journal of Geophysical Research: Solid Earth, 2015, 120(11): 7526-7535.

DOI

Sun C , Fortin J , Borgomano J V M . Influence of fluid distribution on seismic dispersion and attenuation in partially saturated limestone. Journal of Geophysical Research: Solid Earth, 2022, 127(5): e2021JB023867.

DOI

Sun C , Zhang H , Tang G Y . 3D digital core applied to numerically predict elastic response caused by mesoscopic flow. Chinese Journal of Geophysics, 2023, 66(8): 3444-3462.

DOI

Sun W T , Liu J W , Ba J . Theoretical models of elastic wave dispersion-attenuation in porous medium. Progress in Geophysics, 2015, 30(2): 586-600.

DOI

Sun Y Y , Carcione J M , Gurevich B . Squirt-flow seismic dispersion models: a comparison. Geophysical Journal International, 2020, 222(3): 2068-2082.

DOI

Tisato N , Quintal B . Measurements of seismic attenuation and transient fluid pressure in partially saturated Berea sandstone: evidence of fluid flow on the mesoscopic scale. Geophysical Journal International, 2013, 195(1): 342-351.

DOI

White J E . Computed seismic speeds and attenuation in rocks with partial gas saturation. Geophysics, 1975, 40(2): 224-232.

DOI

White J E , Mihailova N , Lyakhovitsky F . Low-frequency seismic waves in fluid-saturated layered rocks. The Journal of the Acoustical Society of America, 1975, 57(S1): S30.

DOI

Yin H J , Zhao J G , Tang G Y . Pressure and fluid effect on frequency-dependent elastic moduli in fully saturated tight sandstone. Journal of Geophysical Research: Solid Earth, 2017, 122(11): 8925-8942.

DOI

Zhang G Z , He F , Zhang J J . Velocity dispersion and attenuation at microscopic and mesoscopic wave-induced fluid flow. Oil Geophysical Prospecting, 2017, 52(4): 743-751.

DOI

Zhao L M , Chen T J , Mukerji T . Bulk modulus for fluid-saturated rocks at high frequency: modification of squirt flow model proposed by Mavko & Jizba. Geophysical Journal International, 2021a, 225(3): 1714-1724.

DOI

Zhao L M , Tang G Y , Sun C . Dual attenuation peaks revealing mesoscopic and microscopic fluid flow in partially oil-saturated Fontainebleau sandstones. Geophysical Journal International, 2021b, 224(3): 1670-1683.

DOI

Zhao L X , Wang Y R , Yao Q L . Extended Gassmann equation with dynamic volumetric strain: Modeling wave dispersion and attenuation of heterogeneous porous rocks. Geophysics, 2021c, 86(3): MR149-MR164.

DOI

继新 , 尚旭 , . 介观尺度孔隙流体流动作用对纵波传播特征的影响研究——以周期性层状孔隙介质为例. 地球物理学报, 2012, 55(8): 2716-2727.

DOI

继新 , , . 基于储层砂岩微观孔隙结构特征的弹性波频散响应分析. 地球物理学报, 2015, 58(9): 3389-3400.

DOI

俊鑫 , 呈浩 , 晓非 . 本征各向异性对地震波频散、衰减与频变各向异性的影响. 科学通报, 2023, 68(26): 3491-3505.

DOI

艳晓 , 国庆 , . 饱和碳酸盐岩地震频带弹性参数响应的实验机理分析研究: 压力与孔隙流体影响. 地球物理学报, 2023, 66(12): 5141-5156.

DOI

民龙 , 浩杰 , 宏伟 . 跨频段岩石波速及频散的实验研究. 石油地球物理勘探, 2020, 55(2): 373-378.

DOI

建平 , 志坤 , . 基于Chapman模型的气水两相饱和岩石速度频散及衰减表征. 地球物理学进展, 2023, 38(2): 690-699.

DOI

, 德文 , 万祥 . 基于改进的介观裂缝岩石物理模型的频散AVO特征分析. 石油物探, 2023, 62(6): 1101-1114.

DOI

, 坚伟 , 慧珠 . White球状Patchy模型中纵波传播研究. 地球物理学报, 2010, 53(4): 954-962.

DOI

欧阳 , 建国 , . 基于微观孔隙结构特征的速度频散和衰减模拟. 地球物理学报, 2021, 64(3): 1034-1047.

DOI

舒波 , 同城 , 力耘 . 不同压力下部分饱和砂岩纵波衰减的理论及实验研究. 地球物理学报, 2020, 63(7): 2722-2736.

DOI

永佳 , 恒山 . 含随机指向狭缝流体饱和岩石中的弹性波. 科学通报, 科学通报, 2023, 68(26): 3529-3542.

DOI

, 怀 , 跟阳 . 基于三维数字岩心的介观尺度流弹性响应数值模拟. 地球物理学报, 2023, 66(8): 3444-3462.

DOI

卫涛 , 嘉玮 , . 孔隙介质弹性波频散—衰减理论模型. 地球物理学进展, 2015, 30(2): 586-600.

DOI

广智 , , 佳佳 . 微观与介观波致流下的速度频散与衰减. 石油地球物理勘探, 2017, 52(4): 743-751.

DOI

Outlines

/