Home Journals Progress in Geophysics
Progress in Geophysics

Abbreviation (ISO4): Prog Geophy      Editor in chief:

About  /  Aim & scope  /  Editorial board  /  Indexed  /  Contact  / 

Forward modeling analysis and description of beach-bar sand reservoir with strong shielding

  • ZhiPeng GUI , 1, 2 ,
  • QiQi SHAO 1, 2 ,
  • JunHua ZHANG , 1, 2, * ,
  • LianJun XIA 3 ,
  • Zhen LUO 3 ,
  • YouZhuang SUN 1, 2
Expand
  • 1 National Key Laboratory of Deep Oil and Gas, China University of Petroleum(East China), Qingdao 266580, China
  • 2 School of Geoscience, China University of Petroleum(East China), Qingdao 266580, China
  • 3 Geophysical Research Institute of Jiangsu Oil Field Branch, Sinopec, Nanjing 210046, China

Received date: 2023-10-14

  Online published: 2024-12-19

Copyright

Copyright ©2024 Progress in Geophysics. All rights reserved.

Abstract

Beach-bar sand reservoir is a common oil and gas reservoir developed in various basins in China. Although it has good potential for oil and gas development, it is difficult to describe. There are relatively few studies on seismic insider reflection characteristics of beach bar sand with strong shielding. In this paper, the finite difference forward modeling of acoustic equation is carried out for the beach bar sand with strong shielding. Through the forward modeling analysis of the seismic response of the beach bar sand reservoir with strong shielding under different conditions such as different main frequency, different formation velocity and multiple sets of sand bodies, we can see that the higher the main frequency is in a certain range, the smaller the formation velocity is, and the smaller the influence range of strong shielding on the thin layer is. For multiple groups of sand bodies, the seismic response often can not directly indicate the characteristics of sand bodies, and the weak reflection signal is the result of the superposition of multiple groups of sand bodies. Combined with Sanhebei industrial area in northern Jiangsu Basin, The research ideas and countermeasures of first lifting frequency and then shielding the last 90° phase shift can effectively separate the overburden cap layer in view of the double-compound beach bar sand reservoir with complex cap layer and weak reservoir signal. Then, the influence of strong reflection on the underlying reservoir is eliminated by the de-strong shielding process. Finally, the 90° phase shift technique is used to describe the beach bar sand body, and satisfactory results are obtained, which provides a feasible method for the exploration of such complex oil and gas reservoirs.

Cite this article

ZhiPeng GUI , QiQi SHAO , JunHua ZHANG , LianJun XIA , Zhen LUO , YouZhuang SUN . Forward modeling analysis and description of beach-bar sand reservoir with strong shielding[J]. Progress in Geophysics, 2024 , 39(5) : 1911 -1922 . DOI: 10.6038/pg2024HH0357

0 引言

滩坝砂是一类特殊的油藏,在国内各大盆地均有发育,具有很好的勘探潜力,同时具有以下几个勘探难点:该类油藏储集层物性差、横向连续性差,主要呈薄互层特征、且单层厚度小(<2 m),储层描述和预测难度大(王永诗等, 2012).含强屏蔽型滩坝砂储层是常规滩坝砂储层上覆地层含一套或多套强层,对下伏滩坝砂储层的有效信号产生影响,从而影响滩坝砂储层的内部描述.因此,含强屏蔽滩坝砂储层作为一类更加特殊的储层,储层描述更困难.
不少专家学者对滩坝砂类储层描述做了很多的研究,刘磊等(2013)通过文献调研与模型验证总结了滩坝砂储层的构造特征与沉积环境,该类储层多见于湖泊边缘、湖中局部隆起和湖湾等滨浅湖区,是湖岸地带的碎屑物经湖浪搬运堆积形成的,但未总结含强屏蔽型滩坝砂的储层特征;张军华等(2014)在东营凹陷滩坝砂的研究中,针对该地区滩坝砂纵向厚度薄,单井储层差异较大,横向上砂体连续性也较差等问题采用基于希尔伯特——黄变换(HHT)的滩坝砂拓频技术,以及三参数小波的滩坝砂薄互层检测技术,同时利用能量半时特殊属性有效刻画了滩坝砂薄互层的内部结构;李莉(2016)在江陵凹陷南斜坡新沟嘴组下段薄互层滩坝砂储层研究中,通过开展地质统计学反演解决了该地区滩坝砂储层岩性复杂、地震纵向分辨率低难以识别等问题;裴然(2017)在金湖凹陷三河地区阜二段滩坝砂体识别中,运用地震属性、地震相、储层反演及古地貌恢复等方法解决了该地区滩坝砂单砂体数量多,厚度薄,地震特征分异差等难点;江馀等(2020)利用优化变分模态分解方法解决了东营凹陷沙四段强屏蔽作用对滩坝砂储层的影响,有效凸显了有效信号;梁书义等(2022)在博兴洼陷樊1断块沙四上亚段滩坝砂体预测中,首先利用谱反演提高地震资料分辨率再利用地震属性精细刻画滩坝砂体的空间展布,有效解决了该地区滩坝砂体埋深大、厚度变化快以及地震资料主频低等因素的影响.
但前人针对含强屏蔽滩坝砂地震内幕反射特征的研究相对较少,认识上还不是很明确,仍需要进一步研究.本文根据苏北盆地三河北研究区滩坝砂特点,在正演模拟基础上,分析了影响含强屏蔽滩坝砂地震成像的影响因素,主要包括资料主频、地层速度等影响.较为全面地分析了含强屏蔽滩坝砂储层的地震响应特征,并针对实际工区中遇到的问题,采用“拓频+去屏蔽+90°相移”多种方法组合的创新举措,较好地解决了工区储层精细描述的难题,对滩坝砂内幕解释提供一种新的解决方案.

1 强屏蔽储层正演分析

强屏蔽储层是指它的附近有地震强反射,使得它的地震信号显得很弱,这类储层简称为“强屏蔽储层”.受强屏蔽的影响,使得储层内部特征刻画与描述变得更加困难.
在油田勘探开发过程中,强屏蔽主要分为两种,如图 1所示,一种是中间为强层,即高波阻抗界面,其上下地层速度略低,且波阻抗变化差异小,目的层信号在强屏蔽作用下多呈现弱反射特征,地震剖面上也难以肉眼分辨,常见的有生物灰岩强反射、岩浆岩侵入、油页岩或煤系地层等;另一种是上下两套地层速度差异大,多由沉积环境的变化造成岩性差异,从而形成强反射界面,对下面的储层造成屏蔽作用.
图1 强屏蔽类型

(a)侵入型强屏蔽模型; (b)岩性变化型强屏蔽模型.

Figure 1 The type of strong shielding

(a) Strong shielding model of intrusive; (b) Strong shielding model of lithologic variation.

为了搞清楚储层的内部特征,明确地质体的地震响应特征(姜岩等,2019),笔者进行模型正演分析,利用已有的测井资料建立合理的地质模型,通过合理设计地震子波等参数正演地震记录,然后通过分析就可以观察到强屏蔽以及下伏目的层的地震响应特征,对于强屏蔽下伏储层构造识别与内幕分析有很大的帮助.

1.1 声波方程数值模拟

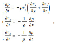
波动方程数值模拟是在波动方程的基础上,借助计算机模拟地震波在地下传播的过程.该方法可以追溯到17世纪Hooke定理,发展至今可以模拟更复杂介质中的地震波场,也衍生出多种方法,如虚谱法、谱元法、有限元法,有限差分法等(Min et al., 2000),其中有限差分法因其简单易行、计算效率高的特点被广泛使用,其本质是采用多个临近点的加权求和来计算中心点的时间和空间导数(王静等,2023).本文正演模拟所用的方法为声波方程有限差分正演模拟方法,其声波方程的二维形式可以表示为:
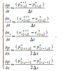
式中,p表示法线应力,vxvz表示质点速度,ρ表示介质密度.vp为纵波速度.再对空间进行离散化为网格点,时间方向也离散化为时间步长.假设网点的空间步长为Δx和Δz,时间步长为Δt,可以将偏导数用差分近似表示:
将式(2)代入声波方程中,再引入地震子波,假设地震子波的时间信号为s(t)整理可得:
其中,s(t)表示时间函数,代表地震子波的振幅随时间变化的情况,w(x, z)表示空间函数,代表地震子波的空间分布.此外,其稳定性条件可以表示为:
式中,vmax表示模型中最大速度,h为水平和垂直网格间距的最小值,Δt表示采样间隔(王静等,2020吴悠等,2022).

1.2 强屏蔽储层正演分析

1.2.1 地质模型的建立

受资料分辨率限制,一些薄互层在地震记录上不能被准确识别,如滩坝砂储层,为验证不同主频、不同速度组合的含强屏蔽滩坝砂储层特征,根据实际资料建立如图 2a所示的速度模型,然后进行正演模拟,考虑到模型中最大最小速度差异,时间步长选用1 ms,有限差分计算所用网格大小用8 m×8 m,纵波速度及密度如表 1所示,本文模型中强屏蔽为正反射,根据后文实际工区声波测井曲线,滩坝砂相对于地层为高速高阻特征.
图2 正演模型及正演过程

(a)速度模型; (b)波场快照; (c)单炮记录; (d)水平叠加.

Fig 2 Model and process of forward

(a) Velocity model; (b) Wave field snapshot; (c) Singleshot records; (d) Horizontal stacking.

表1 速度模型参数

Table 1 The parameters of velocity model

参数 H1 H2 H3 H4 H5 H6 H7 S
低速 速度/(m/s) 2300 2500 3000 3300 2400 2500 2800 3150
密度/(g/cm3) 2.18 2.20 2.32 2.40 2.19 2.20 2.30 2.36
中速 速度/(m/s) 2500 2700 3500 3800 2600 2700 3000 3650
密度/(g/cm3) 2.20 2.28 2.44 2.50 2.24 2.28 2.32 2.47
高速 速度/(m/s) 2800 3000 4000 4200 2900 3000 3200 4100
密度/(g/cm3) 2.30 2.32 2.55 2.57 2.31 2.32 2.36 2.56
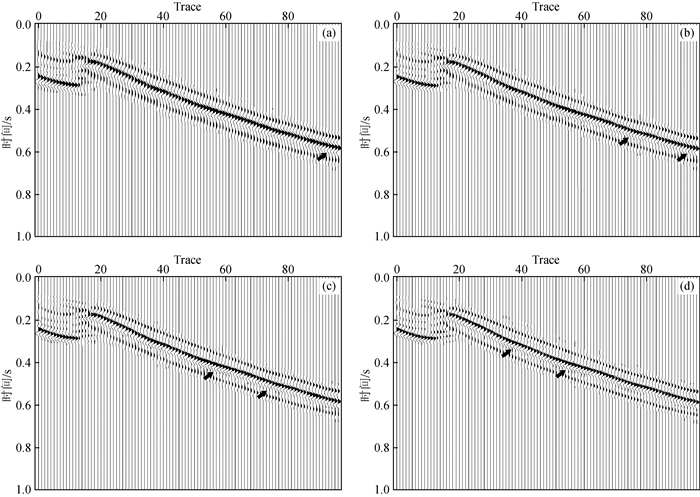
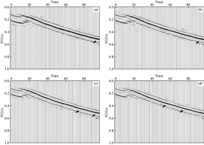
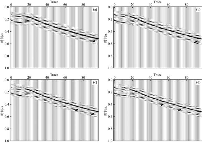
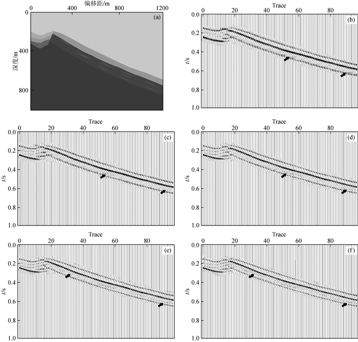
图 2展示的是所设计速度模型以及正演的中间过程,其中图 2a中红色同相轴指示滩坝砂薄砂体,从左至右分别距离上覆强界面5 m、9 m、13 m、17 m、21 m,道间距统一采用12.5 m,正演子波主频分别采用25 Hz、30 Hz、35 Hz、40 Hz雷克子波,炮间距25 m,最大炮检距250 m,采样率2 ms,其中图 2b为其中一炮的波场快照,图 2c为其中一个单炮记录,图 2d为对单炮进行切除,抽取CMP道集后经过动校正后得到的水平叠加剖面.

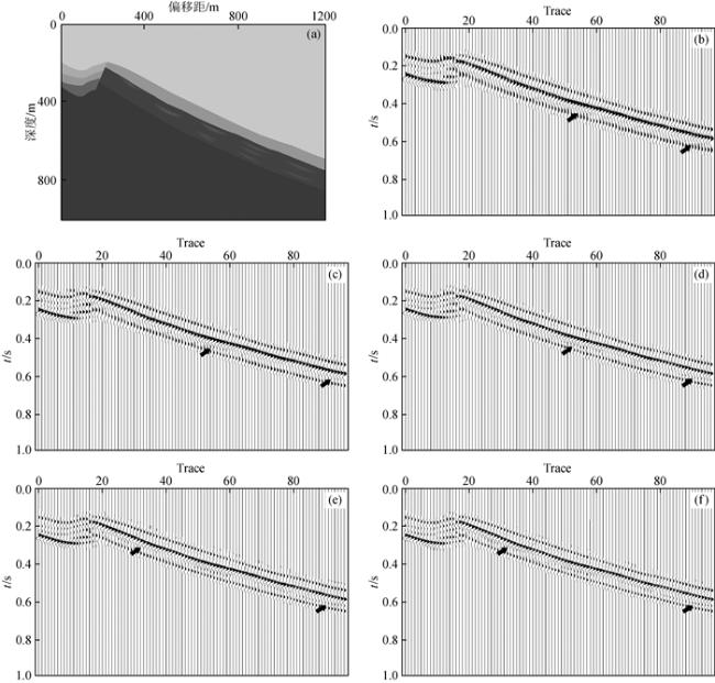
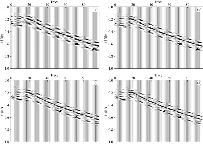
1.2.2 不同主频以及地层速度正演分析

图 3图 5是以岩性变化型强屏蔽为例对比不同速度与主频条件下的叠后时间偏移剖面(为了便于分析,对目的层上下做了切除处理).从图 3可以看出,当主频25 Hz时,强反射同相轴(强轴)下面出现很微弱的反射,很难达到薄层识别与刻画的要求,此时能够识别距离强反射界面超过17 m的薄储层,随着主频的提高,弱反射逐渐增强,同相轴连续性增强,当主频达到40 Hz时,能够识别距强离反射界面超过13 m左右的薄储层.图 4图 5分别是中速地层与高速地层,通过对比可以发现,对于同一个主频,速度越高的地层,薄层距离强反射界面越近,越难识别.通过本小节的研究,可以得出结论,对于低速地层,地震剖面地震走时相对更长,对于薄层的识别更有优势,随着地层速度的增加,识别薄层的难度越来越大.
图3 低速模型不同主频叠后时间偏移剖面

(a)主频25 Hz正演结果; (b)主频30 Hz正演结果; (c)主频35 Hz正演结果; (d)主频40 Hz正演结果.

Fig 3 Post-stack time offset profiles of different dominant frequencies for the low-speed model

(a) Forward results at the dominant frequency of 25 Hz; (b) Forward results at the dominant frequency of 30 Hz; (c) Forward results at the dominant frequency of 35 Hz; (d) Forward results at the dominant frequency of 40 Hz.

图4 中速模型不同主频叠后时间偏移剖面

(a)主频25 Hz正演结果; (b)主频30 Hz正演结果; (c)主频35 Hz正演结果; (d)主频40 Hz正演结果.

Fig 4 Post-stack time offset profiles of different dominant frequencies for the medium-speed model

(a) Forward results at the dominant frequency of 25 Hz; (b) Forward results at the dominant frequency of 30 Hz; (c) Forward results at the dominant frequency of 35 Hz; (d) Forward results at the dominant frequency of 40 Hz.

图5 高速模型不同主频叠后时间偏移剖面

(a)主频25 Hz正演结果; (b)主频30 Hz正演结果; (c)主频35 Hz正演结果; (d)主频40 Hz正演结果.

Fig 5 Post-stack time offset profiles of different dominant frequencies for the high-speed model

(a) Forward results at the dominant frequency of 25 Hz; (b) Forward results at the dominant frequency of 30 Hz; (c) Forward results at the dominant frequency of 35 Hz; (d) Forward results at the dominant frequency of 40 Hz.

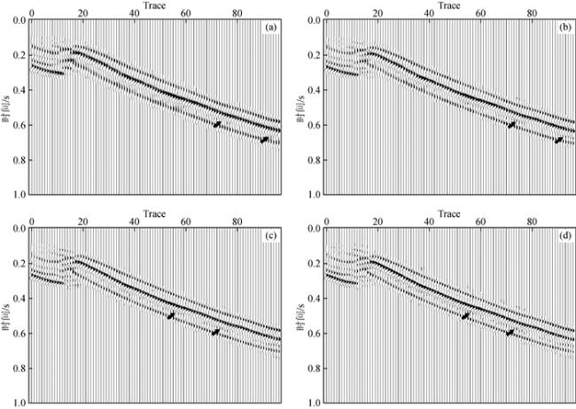
1.2.3 多套砂组特征分析

在实际地震勘探中,强轴下方往往会发育多套砂体,尤其是滩坝砂类储层,受不同时期的沉积环境的影响,往往会发育多套砂组.为研究多套砂组叠置的地震响应特征,以岩性变化型强屏蔽储层模型为基础,设计含有多套砂组的强屏蔽模型,模型如图 6a所示,其中速度参数采用表 1中的中速,正演子波为雷克子波,2 ms采样,道距12.5 m,其他正演参数与前文相同,模型及正演结果如图 6所示.
图6 多套砂组地震响应特征

(a)正演模型; (b)主频25 Hz正演结果; (c)主频30 Hz正演结果; (d)主频35 Hz正演结果; (e)主频40 Hz正演结果; (f)主频45 Hz正演结果.

Fig 6 Seismic response characteristics of multiple sets of sand groups

(a) Forward model; (b) Forward results at the dominant frequency of 25 Hz; (c) Forward results at the dominant frequency of 30 Hz; (d) Forward results at the dominant frequency of 35 Hz; (e) Forward results at the dominant frequency of 25 Hz; (f) Forward results at the dominant frequency of 30 Hz.

对于含有多套砂体的强屏蔽储层,顶部砂体一般难以识别,从图 6对比分析可以看出,从上往下第一套砂组,距离上覆强层很近,拓频已经无法提高该套砂组的地震分辨率;第二套砂组距离顶部强层有一定距离,当主频达到40 Hz以上时,该套砂组能够逐渐被识别出来,对于后面多套砂组组合的类型,当主频较低时,受强屏蔽影响,地震剖面上无明显响应特征.当主频达到30 Hz以上时,地震剖面上才有明显的地震响应特征.值得注意的是,对于多套砂组,其地震响应为一条地震反射同相轴,是综合响应的结果.

1.2.4 描述方法

根据上述正演模拟验证,高频资料在薄储层的研究中具有重要的作用,对于盖层复杂,储层地震反射信号弱的复杂油藏,剥离强轴,突显弱信号是常规的处理方法,对于双复杂盖层,常规方法会导致强轴剥离效果差等一系列问题,笔者通过大量实验,提出了一种新的解决问题的思路.首先要进行拓频处理,将两个叠置的强盖层信号分离,然后剥离强屏蔽,这样能使剥离效果更好,不会有信号残余,剥离强屏蔽后,弱信号虽然能得到突显,但无法进行有效的储层描述,通过90°相移技术可以使得多套砂组信号突显出来,从而能够更准确的对储层进行描述,主要研究方法如下:
(1) 拓频与剥离强屏蔽
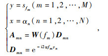
拓频方法采用压缩感知反射系数稀疏反演来提高分辨率,目标函数如下:
表示高斯滤波后的频谱结果,α表示信噪比程度,0≤α≤1,λ为正则项,其他参数如式(6)所示:
其中W(fm)为测量矩阵,Dmn为部分傅里叶矩阵,它们相乘得到感知矩阵Amn.
对于剥离强层,这里用可以调控振幅的多道匹配追踪方法,结合模型研究,选取合适的匹配参数来去强屏蔽(张在金等,2016).基本原理为通过搜索与强反射最佳匹配的原子并减去其投影分量,搜索过程的目标函数公式如下:
式中,grn(t)为搜索得到的原子,〈Rn-1{y(t)}, grn(t)〉为当前残差信号与原子的内积,‖grn(t)‖=表示对原子进行归一化处理.最后,对剥离强层后的地震剖面进行90°相移处理.
(2) 90°相移技术
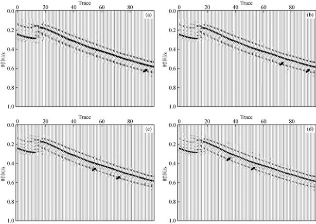
对于零相位子波,当层厚小于λ(地震波长),上下界面产生的反射波逐渐合拢,波形变得不对称,当层厚继续减小到小于λ/4以后,上下界面产生的反射波会产生干涉现象.对于90°相位子波,当层厚小于λ后,来自上下界面产生的反射波合拢成对称型,当厚度很薄时,只用一个波峰或者波谷就代表了“层”.选用30 Hz雷克子波,分别进行零相位与90°相位进行对比,如图 7所示,容易发现,90°相位能够更好地指示薄储层.
图7 零相位子波与90°相移子波分辨能力对比

(a)不同子波对比; (b)反射系数剖面; (c)零相位地震剖面; (d)90°相移剖面.

Fig 7 Comparison of resolving power between zero phase wavelet and 90° phase shift wavelet

(a) Comparison of different wavelet; (b) Reflection coefficient profile; (c) Zero phase seismic profile; (d) 90° phase shift profile.

(3) 道积分薄砂体识别
地震道积分计算公式为:
式中,xj为地震记录,wi为滤波因子,Zi为波阻抗,k为常数,道积分属性实质就是对归一化后的波阻抗对数的滤波,也被称为相对波阻抗.对于单个薄层,设顶面的反射系数为k,时间间隔为Δt,则底面的反射系数相反为-k,则合成的复合波为(张军华等,2018):
对于薄层,Δt很小时,有:
因此,道积分作为一种传统的薄层识别方法,常被应用于各种薄砂体的识别中.

1.2.5 模型分析

结合研究区内外坡滩坝砂的特点,设计地质模型如图 8a所示,其中正演子波采用主频27 Hz的雷克子波,通过声波有限差分进行正演模拟.从图 8b可以看出,高部位滩坝砂顶部两个反射同相轴叠合,难以区分.为了对砂体进行描述,首先进行拓频处理,结果如图 8c所示,顶部盖层同相轴分离,内部弱反射信号有所增强.然后进行去强屏蔽处理,如图 8d所示,顶部强反射得到有效剥离,但对于3组砂体的刻画还是不够理想,因此通过道积分和90°相移技术进行处理,图 8ef分别为对应剖面,通过对比可知道积分处理对于砂组的刻画不明显,且顶部的砂组识别效果较差;而利用90°相移技术识别,能够有效刻画上下两个砂体的空间位置.
图8 模型验证

(a)正演模型; (b)正演结果; (c)拓频结果; (d)去强屏蔽结果; (e)道积分剖面; (f)90°相移剖面.

Fig 8 Model verification

(a) Forward model; (b) The results of forward modelling; (c) The results of frequency extension; (d) The results of strong shielding removal; (e) Trace integration profile; (f) 90° phase shift profile.

2 实际资料应用

金湖凹陷位于苏北盆地西部,是晚白垩世开始发育的小规模断陷湖盆,具有“南断北超”的箕状特征,南自菱塘桥凸起,北至建湖隆起,西部与张八岭隆起相连,东部与柳堡低凸起相接,总面积约5000 km2,分为斜坡带、中央凹陷带及断裂带等构造单元,三河北工区位于西北部斜坡带,整个金湖凹陷共发现十多个油气田及含油构造带,这些油气多呈条带状分布于斜坡带中南部,具有“小而肥”的特点.三河次凹构造与圈闭在金湖凹陷发育程度相对较低,但熟烃源岩分布广泛,油源条件有利,因此具有很高的研究价值.
在对三河北阜宁组二段研究时发现,该地区发育的滩坝砂储层比较复杂,盖层从外坡到内坡逐渐变厚,外坡部分顶部同相轴耦合,顶面无法准确识别,对于去强屏蔽处理有很大影响,其次整个二段发育3套砂组,地震解释精度不高,描述较为困难.整体表现为“盖层复杂,内部弱信号”的双复杂储层描述问题.图 9为该地区一连井剖面,能清楚看见从L井到Hc井,盖层呈相变特征,且整个二段呈现弱反射特征.
图9 过L井与Hc井连井剖面

(a)连井剖面; (b)L井目的层录井图; (c) Hc井目的层录井图.

Fig 9 Well section of L well and Hc well

(a) Well section; (b) Target stratum mud logging of L well; (c) Target stratum mud logging of Hc well.

这里用过Hc井和H井连井剖面来说明.图 10a是过井原始地震数据,其中图中蓝色为声波测井曲线,绿色为自然电阻率测井曲线,图 10b是经过压缩感知拓频后结果,可以看见弱信号得到了增强;图 10c是不拓频直接去强屏蔽后结果,此时顶部反射与层间弱反射有混叠现象;图 10d是对图 10c做道积分处理后的剖面,砂体识别效果较差;图 10e是经过拓频后再去强屏蔽剖面,此时顶部砂体反射与层间反射已分离开;图 11f是对图 10e做道积分处理后的剖面, 但整体砂体识别效果一般;图 10g为本文提出的砂体识别方法,可以看见1砂组、2砂组隔层、3砂组三层结构已比较清晰.图 11为采用本文方法识别的1砂组在工区内的分布结果,符合实际中滩坝砂分布规律.总的来说,对于该类复杂滩坝砂储层,该方法能够有效解释与刻画砂体内幕,可以作为一种目标处理方法加以利用.
图10 实际资料处理

(a)原始数据; (b)拓频结果; (c)不拓频去强屏蔽结果; (d)去强屏蔽后道积分剖面; (e)拓频后去强屏蔽结果; (f)对图(e)做道积分结果; (g)本文方法处理结果.

Fig 10 Actual data processing

(a) Original data; (b) The results of frequency extension; (c) The results of strong shielding removal without frequency extension; (d) Trace integration profile after strong shielding removal; (e) The results of strong shielding removal after frequency extension; (f) The resultd of trace integration of Fig.(e); (g) Processing results of methods in this paper.

图11 研究区滩坝砂砂体识别结果

Fig 11 Sand body identification results of beach-bar sand in the study area

3 结论

通过对含强屏蔽薄储层的地震响应特征分析及实际资料应用,可以得出以下结论:
(1) 影响含强屏蔽薄储层的地震响应特征主要包括资料主频与地层速度,地层速度较低时(低于3000 m/s),资料主频在30 Hz左右时一般能识别距离强层17 m以上的薄储层;随着资料主频的增加,薄层分辨率逐渐提高,当主频达到40 Hz时能够识别距离强层13 m以上的薄层;随着地层速度的增加,薄层识别能力逐渐下降.
(2) 对于多套砂体,上覆地层的强屏蔽作用对下伏的储层有较大影响,拓频能够有效提高砂体的地震分辨率,但地震剖面往往不能指示真正的砂体特征,其弱反射信号是多组砂体的综合响应结果.本文提出的“拓频+去屏蔽+90°相移”的研究思路与对策,能够有效描述滩坝砂内部砂体位置,并在实际资料中取得显著效果,为此类复杂油气藏勘探提供一种切实可行的方法.

感谢审稿专家提出的修改意见和编辑部的大力支持!

Jiang Y , Cheng S G , Wang Y B . Seismic forward modeling for correction of fault shadow zones in Changyuan Oilfield, Daqing. Oil Geophysical Prospecting, 2019, 54(2 320 329.

DOI

Jiang Y , Zhang J H , Han H W . Elimination of strong reflection influence based on optimized variational mode decomposition method: a case study of the target processing of beach bar sand of Es4 in Dongying Sag. Oil Geophysical Prospecting, 2020, 55(1): 147-152 147-152, 166

DOI

Li L . Prediction technique for interbedded thin reservoir of beach-bar facies on southern slope of Jiangling. Marine Geology Frontiers, 2016, 32(12): 46-53.

DOI

Liang S Y , Dong Y L , Guan W F . Prediction of beach and bar sand body in the upper of the fourth Member of Shahejie Formation of Fan 1 fault block in Boxing Depression. Fault-Block Oil and Gas Field, 2022, 29(2): 271-277.

DOI

Liu L , Zhu B H , Liu X T . Exploration status and basic characteristics of beach-bar sand reservoirs in China. Special Oil & Gas Reservoirs, 2013, 20(5): 14-18.

DOI

Min D J , Shin C , Kwon B D . Improved frequency-domain elastic wave modeling using weighted-averaging difference operators. Geophysics, 2000, 65(3): 884-895.

DOI

Pei R . Discussion on identification method for beach-bar sand in Fu2 Zone, Sanhe District, Jinhu Depression. Special Oil and Gas Reservoirs, 2017, 24(4): 38-41.

DOI

Wang J , Liu Y , Zhou H Y . Temporal and spatial high-order accuracy implicit finite-difference method for modeling acoustic wave equation on rectangular staggered-grid. Chinese Journal of Geophysics, 2023, 66(1): 368-382.

DOI

Wang J , Zhang J H , Liu X T . Wave equation forward modeling and characteristics analysis of low-level sequence faults. Progress in Geophysics, 2020, 35(3): 1048-1060.

DOI

Wang Y S , Liu H M , Gao Y G . Sandbody genesis and hydrocarbon accumulation mechanism of beach-bar reservoir in faulted-lacustrine-basins: A case study from the upper of the fourth member of Shahejie Formation, Dongying sag. Earth Science Frontiers, 2012, 19(1): 100-107

Wu Y , Wu G C , Li Q Y . A finite-difference scheme in frequency-space domain to solve heterogeneous acoustic wave equation. Oil Geophysical Prospecting, 2022, 57(2): 342-356.

DOI

Zhang J H , Hou J , Xin X . Theory annotation and application of trace integration attribute in the prediction of thin channel sand body. Progress in Geophysics, 2018, 33(1): 326-333.

DOI

Zhang J H , Liu P J , Zhu B H . Problems and countermeasures in seismic interpretation of beach bar sandstone reservoirs. Oil Geophysical Prospecting, 2014, 49(1): 167-175.

DOI

Zhang Z J , Zhang J H , Li J . A method for stripping coal seam strong reflection and low-frequency shadow analysis. Oil Geophysical Prospecting, 2016, 51(2): 376-383.

DOI

, 军华 , 宏伟 . 优化变分模态分解方法消除强反射影响——以东营凹陷沙四段滩坝砂目标处理为例. 石油地球物理勘探, 2020, 55(1): 147-152 147-152, 166

DOI

, 顺国 , 元波 . 大庆长垣油田断层阴影地震正演模拟及校正方法. 石油地球物理勘探, 2019, 54(2): 320-329.

DOI

. 江陵凹陷南斜坡新沟嘴组下段薄互层滩坝砂储层预测技术. 海洋地质前沿, 2016, 32(12): 46-53.

DOI

书义 , 艳蕾 , 维锋 . 博兴洼陷樊1断块沙四上亚段滩坝砂体预测. 断块油气田, 2022, 29(2): 271-277.

DOI

, 博华 , 显太 . 中国滩坝砂勘探现状与储层基本特征分析. 特种油气藏, 2013, 20(5): 14-18.

DOI

. 金湖凹陷三河地区阜二段滩坝砂体识别方法探讨. 特种油气藏, 2017, 24(4): 38-41.

DOI

, , 泓宇 . 时间-空间高阶精度矩形交错网格隐式有限差分声波正演模拟. 地球物理学报, 2023, 66(1): 368-382.

DOI

, 军华 , 显太 . 低序级断层波动方程正演及特征分析. 地球物理学进展, 2020, 35(3): 1048-1060.

DOI

永诗 , 惠民 , 永进 . 断陷湖盆滩坝砂体成因与成藏: 以东营凹陷沙四上亚段为例. 地学前缘, 2012, 19(1): 100-107

, 国忱 , 青阳 . 频率—空间域非均质声波有限差分模拟. 石油地球物理勘探, 2022, 57(2): 342-356.

DOI

军华 , , . 道积分属性理论诠释及其在薄河道砂体预测中的应用. 地球物理学进展, 2018, 33(1): 326-333.

DOI

军华 , 培金 , 博华 . 滩坝砂储层地震解释存在的问题及对策. 石油地球物理勘探, 2014, 49(1): 167-175.

DOI

在金 , 军华 , . 煤系地层地震强反射剥离方法研究及低频伴影分析. 石油地球物理勘探, 2016, 51(2): 376-383.

DOI

Outlines

/