Home Journals Progress in Geophysics
Progress in Geophysics

Abbreviation (ISO4): Prog Geophy      Editor in chief:

About  /  Aim & scope  /  Editorial board  /  Indexed  /  Contact  / 

Experimental Study on the lower limit of nmr logging physical evaluation and temperature-pressure characteristics of low-porosity and low-permeability sandstone

  • Xi WEI , 1 ,
  • GuiWen WANG 1 ,
  • Meng WANG 2 ,
  • Yu DONG 2
Expand
  • 1 China University of Petroleum(Beijing), Beijing 102249, China
  • 2 China Oilfield Services Limited, Langfang 065201, China

Received date: 2023-08-25

  Online published: 2024-12-19

Copyright

Copyright ©2024 Progress in Geophysics. All rights reserved.

Abstract

With the increasing complexity of exploration and development objects, as well as measurement environment, there is a certain deviation between the nuclear magnetic porosity and the real formation porosity, and the high temperature and high pressure measurement environment makes the NMR response characteristics unclear, which affects the application of NMR logging. In order to explore the influence of formation factors on the evaluation of NMR logging, 15 low-porosity and low-permeability sandstone cores were drilled in Block X. By comparing the errors of nuclear magnetic porosity and permeability with the actual core porosity and permeability, the lower limit of NMR logging evaluation was determined. In addition, with reference to the lithology of H group in Block X, a batch of artificial cores were produced on a trial basis, and variable temperature pressure NMR experiments were carried out when saturated with different fluids. The experimental results showed that temperature had different degrees of influence on one-dimensional and two-dimensional NMR evaluation, while pressure had basically no influence on NMR logging evaluation. Meanwhile, T2 geometric mean temperature correction charts were prepared. The parameters of T2 geometric mean correction model for saturated water sandstone are determined.

Cite this article

Xi WEI , GuiWen WANG , Meng WANG , Yu DONG . Experimental Study on the lower limit of nmr logging physical evaluation and temperature-pressure characteristics of low-porosity and low-permeability sandstone[J]. Progress in Geophysics, 2024 , 39(5) : 1979 -1988 . DOI: 10.6038/pg2024HH0245

0 引言

核磁共振测井弛豫信号来源于储层流体中氢核,在孔隙度计算、流体识别方面具有显著优势.随着勘探开发对象及测量环境的日益复杂,核磁共振测井孔隙度与地层真实孔隙度存在一定偏差(刘欢等,2020),高温高压储层核磁共振响应特征不明确等问题,严重制约了核磁共振测井的现场应用.核磁共振测井信号是被观测区域孔隙流体含氢指数与岩石结构的综合反映,受到仪器采集参数、测量环境、回波串信噪比等多个因素的影响(肖立志,2007谢然红等,2006).针对不同的影响因素,国内外学者开展了相应的核磁孔隙度校正和核磁共振响应特征研究.核磁孔隙度测量偏差主要由含氢指数减少(Minh et al., 2001毛志强等,2010)、内部梯度磁场(周宇等,2011廖广志等,2009)、孔隙结构复杂(王为民等,1997王忠东等,2001)等情况导致,通过定量研究该因素对核磁孔隙度的影响规律进行核磁孔隙度校正.核磁共振弛豫时间温压特性实验研究主要集中于砂岩、碳酸盐岩表面弛豫机理的研究(Godefroy et al., 2002谢然红等,2008Hursan et al., 2019Shao et al., 2021).以上不同影响因素核磁共振孔隙度偏差校正各有优势,但尚未见核磁共振测井物性评价下限研究,此外,温压对含黏土矿物核磁共振响应的影响亦未开展相关实验研究(成家杰等,2023),影响了核磁共振测井对孔隙结构及渗透率评价的精度.
为了研究地层环境对核磁共振测井评价的影响,本文分别进行了两组核磁共振实验:第一组探究核磁共振测井物性评价下限,从X区块钻取了15块代表性的低孔低渗砂岩岩心,将核磁共振测量的岩心孔隙度、渗透率与岩心实际的孔隙度、渗透率进行对比分析;第二组探究温压对核磁共振测井的评价,参考X区块H组的岩性,试制了一批人造砂岩岩心,饱和不同流体进行变温压核磁共振实验,对比分析不同温压状态下测量的T2、D-T2、T1 -T2的形态差异.

1 物性实验

为探究核磁共振技术测量岩石孔隙度的下限,从低孔低渗砂岩储层选取了15块岩心,分别进行常规物性实验分析和核磁共振实验测试分析,其中岩心孔隙度分布范围为5%~13%, 渗透率分布范围为(0.02~32)×10-15 m2.为提高信号信噪比,降低非实验因素影响,选用核磁共振CPMG序列,极化时间5000 ms,回波间隔0.19 ms,回波个数8000个,扫描次数32次.核磁共振测量孔隙度与实测孔隙度的关系如图 1a所示,由于是饱和水的岩心,采用SDR模型计算渗透率与实测渗透率的关系如图 1b所示.
图1 (a) 核磁共振测量孔隙度与实测孔隙度的关系图;(b)SDR模型计算渗透率与实测渗透率的关系图

Figure 1 (a) The relationship between the NMR porosity and the true porosity; (b) The relationship between the SDR permeability and the true permeability

从测试结果可以看出,岩心孔隙度在小于7%左右时,核磁共振测量孔隙度误差急剧增大,且测量孔隙度偏小;岩心渗透率在小于0.2×10-15 m2左右时,SDR模型计算渗透率误差急剧增大.这是因为随着孔隙度减小,岩石孔隙内氢原子含量降低,核磁共振信号减弱,信噪比降低;随着渗透率减小,岩石孔径减小,孔隙内流体分子受表面弛豫的影响增大,T2分布几何平均值会发生变化;回波间隔决定了仪器采集的最小弛豫时间信号,即弛豫时间小于0.19 ms的信号无法被采集,信号损失会导致孔隙度误差增大,T2分布几何平均值发生改变.以上三种因素共同作用使得低孔渗储层流体弛豫时间降低,测量误差增大,孔隙度降低,SDR模型不再可靠.

2 温压实验

根据X区块H组岩心资料分析,发现该层位岩性以细砂岩为主,黏土矿物以伊利石、绿泥石居多.故选用人造砂岩作为岩心样品,泥质含量设计为5%伊利石、10%伊利石和10%绿泥石,其中10%绿泥石的人造砂岩渗透率分别为1×10-15 m2、10×10-15 m2、100×10-15 m2、1000×10-15 m2四种,10%伊利石的人造砂岩渗透率分别为1×10-15 m2、10×10-15 m2、100×10-15 m2三种,5%伊利石的人造砂岩渗透率100×10-15 m2一种.选取部分人造岩心经过清洗、烘干后,分别真空饱和10000 mg/L盐水和真空饱和68#白油,最后选取一部分饱和盐水岩心进行油驱水,获得饱和两相流体的岩心(图 2).
图2 (a) 10%伊利石/绿泥石渗透率为1×10-15 m2的人造砂岩;(b)10%伊利石/绿泥石渗透率为10×10-15 m2的人造砂岩;(c)10%伊利石/绿泥石渗透率为100×10-15 m2的人造砂岩;(d)10%绿泥石渗透率为1000×10-15 m2的人造砂岩与5%伊利石渗透率为100×10-15 m2的人造砂岩

Figure 2 (a) Artificial sandstone with 10% illite or chlorite content and permeability of 1×10-15 m2; (b) Artificial sandstone with 10% illite or chlorite content and permeability of 10×10-15 m2; (c) Artificial sandstone with 10% illite or chlorite content and permeability of 100×10-15 m2; (d) Artificial sandstone with 10% chlorite content and permeability of 1000×10-15 m2, artificial sandstone with 5% lithite content and permeability of 100×10-15 m2

实验设备采用的是英国牛津Geospec2核磁共振岩心分析仪,工作频率为2 MHz.实验变温范围为25~140 ℃、变压范围是0~24 MPa,T2测量采用CPMG序列、T1测量采用反转恢复脉冲序列、扩散系数测量采用脉冲梯度受激回波序列、T1-T2测量采用IR-CPMG脉冲序列,D-T2测量采用脉冲梯度受激回波和CPMG相结合的序列.测量参数设置为回波间隔为0.4 ms,扫描次数为32次,回波个数为2048个,最小180°~90°脉冲间隔为0.1 ms,最大180°~90°脉冲间隔为2000 ms,最大磁场梯度为0.3 T/m,Δ为20 ms,δ为6 ms.

2.1 一维恒压变温实验结果及分析

对于饱和水的砂岩,表面弛豫主导,且随温度升高,由于化学交换作用,近似为指数式的增强,扩散弛豫对总的弛豫也有一定贡献,温度升高,扩散系数增大,扩散弛豫贡献增大,扩散弛豫贡献也增大,总的弛豫时间随温度变化可以表示为:
式中,k1为与温度无关的比例系数.设常温实验室测量得到的弛豫时间为T1, 2ref,实验室温度为Tref,代入式(1),得到系数k1的表达式:
而常温下岩心的弛豫时间与体弛豫时间较为接近,需要考虑常温下体弛豫对岩心总弛豫时间的贡献,即:
将式(3)代入式(1),且由于高温时,饱和水砂岩体弛豫贡献很小,其弛豫时间T1, 2可以近似为全部来自表面弛豫和扩散弛豫的贡献,即:
其中系数K即为Korb团队提出的表面弛豫模型及其温度影响中的-ΔE/R(Korb et al., 19971999),ΔE为表观活化能,R为气体常数.
根据表面弛豫机理,采用理论模型(式(4))分别拟合了饱和水人造砂岩实验大孔峰值、几何均值、算数平均值随温度变化的实验结果,拟合效果良好,并得到了如图 3所示的弛豫时间温度校正实验图版.
图3 (a) 饱和盐水人造砂岩T2谱峰值变温校正图版;(b)饱和盐水人造砂岩T2谱几何均值变温校正图版;(c)饱和盐水人造砂岩T2谱算数平均值变温校正图版

Figure 3 (a) Temperature correction plate for NMR T2 peak values of saturated saltwater artificial sandstone; (b) Temperature correction plate for NMR T2 geometric mean values of saturated saltwater artificial sandstone; (c) Temperature correction plate for NMR T2 arithmetic mean values of saturated saltwater artificial sandstone

由于几何均值能更好的反映T2谱的平均变化程度,进一步通过单因素分析,建立几何均值的系数K与孔隙度、渗透率、泥质类型的交会图(图 4),发现系数K与孔隙度、渗透率无关,而与泥质类型存在良好关系,含伊利石砂岩的系数K(平均约为0.017)大于含绿泥石砂岩系数K(平均约为0.012),说明含伊利石砂岩弛豫时间随温度变化率比含绿泥石砂岩大.
图4 (a) 饱和盐水人造砂岩温度系数K与渗透率交会图版;(b)饱和盐水人造砂岩温度系数K与孔隙度交会图版

Fig 4 (a) Cross-plot for temperature coefficient K and permeability of saturated saltwater sandstone; (b) Cross-plot for temperature coefficient K and porosity of saturated saltwater sandstone

一般认为砂岩是亲水性的,因此对于饱和68#油的砂岩,体弛豫占主导,岩心弛豫时间与68#白油弛豫时间接近.图 5为饱和68#白油人造砂岩岩心T2几何均值随温度变化的实验结果,表 1为按照岩心T2几何均值受温度影响程度排序的岩心物性,随温度增大,T2几何均值增大系数越大的岩心,序号越小.发现含伊利石砂岩弛豫时间随温度变化率比含绿泥石砂岩大,在泥质类型相同时,孔隙度、渗透率越大,饱和68#白油砂岩T2几何均值随温度变化的增大系数越大.说明饱和68#白油砂岩的弛豫时间中表面弛豫贡献较大,不容忽视,且伊利石的亲油性要比绿泥石弱,即随着温度升高,体弛豫率、表面弛豫率降低,体弛豫、表面弛豫时间也随之增大,导致T2增大.
图5 饱和68#白油人造砂岩T2几何均值随温度变化的交会图版

Fig 5 Cross-plot for temperature and NMR T2 geometric mean values of saturated 68# white oil artificial sandstone

表1 饱和68#白油人造砂岩岩心物性参数

Table 1 Physical parameters of saturated 68# white oil sandstone

序号 岩心编号 称重孔隙度/% 黏土含量 渗透率/10-15 m2
1 Y2-27 20.44 10%伊利石 100
2 Y1-1 19.5 5%伊利石 100
3 Y3-15 16.15 10%伊利石 12
4 Y4-4 16.11 10%伊利石 3
5 Y4-5 16.63 10%伊利石 3
6 L100-24 18.08 10%绿泥石 100
7 L10-11 16.23 10%绿泥石 10
8 L1-5 12.53 10%绿泥石 1
9 L1-1 8.87 10%绿泥石 1

2.2 二维恒压变温实验结果及分析

图 6为饱和盐水1×10-15 m2(孔隙度14.09%)、10×10-15 m2(孔隙度18.44%)、100×10-15 m2(孔隙度23.41%)人造砂岩岩心从25 ℃到75 ℃二维T1-T2变温实验结果,发现束缚水T1/T2随温度增加会明显增大,且孔渗越低的岩心增大越显著,而可动水信号T1/T2随温度增加无明显变化.图 7为饱和68#白油人造岩心从25 ℃到75 ℃二维T1-T2变温实验结果,发现油信号T1/T2随温度增加而逐渐减小,但变化并不明显.
图6 (a) 1×10-15 m2饱和盐水人造砂岩岩心变温二维T1-T2实验结果;(b)10×10-15 m2饱和盐水人造砂岩岩心变温二维T1-T2实验结果;(c)100×10-15 m2饱和盐水人造砂岩岩心变温二维T1-T2实验结果

Figure 6 (a) T1-T2 experimental results of saturated saltwater artificial sandstone core with permeability of 1×10-15 m2 at different temperatures; (b) T1-T2 experimental results of saturated saltwater artificial sandstone core with permeability of 10×10-15 m2 at different temperatures; (c) T1-T2 experimental results of saturated saltwater artificial sandstone core with permeability of 100×10-15 m2 at different temperatures

图7 饱和68#白油人造砂岩岩心变温二维T1-T2实验结果

Figure 7 T1-T2 experimental results of saturated 68# white oil artificial sandstone core at different temperatures

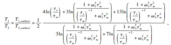
在低场条件下,流体体弛豫远大于表面弛豫,T1/T2的比值可以近似为表面弛豫的比值,且T1/T2与τs/τm存在良好的一致性,T1/T2与τs/τm的关系式如下(McDonald et al., 2005Mitchell et al., 2013梁灿等,2023):
式中,τs/τm为吸附指数,反映孔隙表面与流体分子相互作用的强度,与温度无关;τm为平动扩散相关时间,τm的温度特性与表观活化能ΔE有关,当ΔE>0时,τm随温度升高而增大,反之则随温度升高而减小;ωIωS分别是氢核和电子的频率.
砂岩储层水的ΔE>0,即τm随温度升高而增大,束缚水在砂岩孔隙表面的吸附作用强,水分子扩散严重受限,平动扩散相关时间τm很大,τs/τm相对较小,式(5)中τm的贡献占主导,束缚水T1/T2随温度增加会增大;可动水在砂岩孔隙表面的吸附作用弱,表面扩散能力强,平动扩散相关时间τm偏小,τs/τm相对较大,式(5)中τs/τm的贡献占主导,可动水T1/T2随温度增加会增加,但变化并不显著.同理,砂岩储层油的ΔE<0,即τm随温度升高而减小,油在砂岩孔隙表面吸附作用弱,油T1/T2随温度增加会减小,但变化同样不显著.
图 8图 9分别为饱和盐水、饱和68#白油人造岩心从25 ℃到75 ℃二维D-T2变温实验结果,发现饱和油、水人造砂岩的D-T2均为单峰分布,常温下岩心中水的扩散系数为2.5×10-9 cm2/s,随着温度升高,到75 ℃时增大到7×10-9 cm2/s;常温下岩心中油的扩散系数为2.3×10-10 cm2/s,50 ℃时增大到9×10-10 cm2/s,并趋于定值.同时还对比了自由水和砂岩孔隙中水的扩散系数随温度变化的情况(图 10),发现随着温度升高,自由扩散系数(自由水)与受限扩散系数(孔隙水)的差值越大.
图8 饱和盐水人造砂岩岩心变温二维D-T2实验结果

Figure 8 D-T2 experimental results of saturated saltwater artificial sandstone core at different temperatures

图9 饱和68#人造砂岩岩心变温二维D-T2实验结果

Fig 9 D-T2 experimental results of saturated 68# white oil artificial sandstone core at different temperatures

图10 饱和水人造砂岩二维D-T2受限扩散系数随温度的变化

Fig 10 D-T2 confined diffusion coefficient of saturated water artificial sandstone core at different temperatures

这是因为在孔隙空间中,分子扩散长度大于孔隙尺寸,自旋粒子在运动中会碰到孔隙界面,它们随机运动的方向被改变,此时自旋扩散曲线受孔隙空间限制,当扩散距离Dt较短时,受限扩散系数呈线性衰减,即:
式中,D为自由扩散系数,S/V为比表面积,t为扩散时间.受限扩散系数随温度的变化取决于孔隙半径及脉冲序列中设置的扩散时间,扩散时间越长、孔径越小,受温度的影响越小,当扩散时间足够长时,受限扩散系数趋于定值.
图 11为饱和油、水两相人造砂岩从25 ℃到75 ℃二维T1-T2变温实验结果,发现与之前饱和单相流体的结论一致,油峰T1/T2随温度无明显变化,束缚水T1/T2随温度升高而增大,且增大的程度与之前饱和水砂岩一致.
图11 饱和油、水两相人造砂岩岩心变温二维T1-T2实验结果

Fig 11 T1-T2 experimental results of saturated oil and water two-phase artificial sandstone core at different temperatures

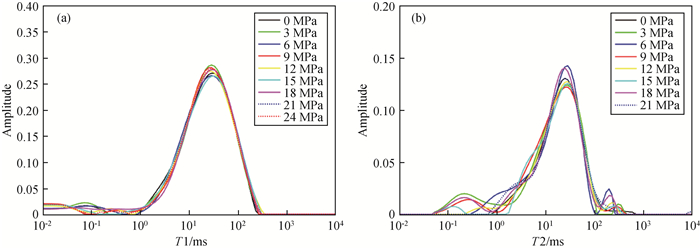
2.3 恒温变压实验结果及分析

图 12图 13分别为饱和盐水砂岩从0 MPa到24 MPa一维T1、T2、二维T1-T2的变压实验结果,整体上看压力对二维T1-T2的谱峰位置、谱的形态基本没有影响.
图12 (a) 饱和盐水人造砂岩岩心变压T1实验结果;(b)饱和盐水人造砂岩岩心变压T2实验结果

Fig 12 (a) T1 experimental results of saturated saltwater artificial sandstone core at different pressures; (b) T2 experimental results of saturated saltwater artificial sandstone core at different pressures

图13 饱和盐水人造砂岩岩心变压T1-T2实验结果

Fig 13 T1-T2 experimental results of saturated saltwater artificial sandstone core at different pressures

3 结论

(1) 核磁共振测量孔隙度的下限为7%, 在此基础上,利用SDR模型计算渗透率的下限为0.2×10-15 m2.
(2) 饱和水砂岩T2几何均值随温度升高而降低,并可以采用公式(4)进行校正,系数K与泥质类型存在良好关系,含伊利石砂岩的系数K取值为0.017,含绿泥石砂岩系数K取值为0.012.
(3) 饱和水砂岩束缚水T1/T2随温度升高而增大,可动水、油T1/T2随温度增加无明显变化,此外压力对饱和水砂岩的T1、T2的谱峰位置、谱的形态基本没有影响.
(4) 随着温度增加,水的自由扩散系数与砂岩孔隙中水的受限扩散系数差值越大.

感谢审稿专家提出的修改意见和编辑部的大力支持!

Cheng J J , Xie Z , Liao G Z . Progress of temperature effect on NMR relaxation of bulk fluid and porous medium. Progress in Geophysics, 2023, 38(4 1551 1562.

DOI

Godefroy S , Fleury M , Deflandre F . Temperature effect on NMR surface relaxation in rocks for well logging applications. The Journal of Physical Chemistry B, 2002, 106(43): 11183-11190.

DOI

Korb J P , Hodges M W , Gobron T . Anomalous surface diffusion of water compared to aprotic liquids in nanopores. Physical Review E, 1999, 60(3): 3097-3106.

DOI

Korb J P , Whaley-Hodges M , Bryant R G . Translational diffusion of liquids at surfaces of microporous materials: Theoretical analysis of field-cycling magnetic relaxation measurements. Physical Review E, 1997, 56(2): 1934-1945.

DOI

Liang C , Jia Z J , Xiao L Z . Review on nuclear magnetic resonance characterization for rock wettability. Progress in Geophysics, 2023, 38(4): 1610-1624.

DOI

Liao G Z , Xiao L Z , Xie R H . Influence of internal magnetic field gradient on nuclear magnetic resonance of volcanic rocks and its detection method. Journal of China University of Petroleum, 2009, 33(5): 56-60

Liu H , Xu J X , Zheng Y . Factors affecting and correction methods for porosity measured by NMR logging in the J oilfield of Bohai Bay. Chinese Journal of Magnetic Resonance, 2020, 37(3): 370-380

Mao Z Q , Zhang C , Xiao L . A NMR-based porosity calculation method for low porosity and low permeability gas reservoir. Oil Geophysical Prospecting, 2010, 45(1): 105-109

McDonald P J , Korb J P , Mitchell J . Surface relaxation and chemical exchange in hydrating cement pastes: a two-dimensional NMR relaxation study. Physical Review E, 2005, 72(1): 011409.

DOI

Minh C C , Gubelin G , Ramamoorthy R . Sonic-magnetic resonance method: A sourceless porosity evaluation in gas-bearing reservoirs. SPE Reservoir Evaluation & Engineering, 2001, 4(3): 209-220.

DOI

Mitchell J , Broche L M , Chandrasekera T C . Exploring surface interactions in catalysts using low-field nuclear magnetic resonance. The Journal of Physical Chemistry C, 2013, 117(34): 17699-17706.

DOI

Wang W M , Sun D Q , Miao S . The fundamental study on NMR logging. Well Logging Technology, 1997, 21(6): 385-392.

DOI

Wang Z D , Wang H , Li N G . Analysis of core NMR data from laboratory measurements. Well Logging Technology, 2001, 25(3): 170-174.

DOI

Xiao L Z . Some important issues for NMR logging applications in China. Well Logging Technology, 2007, 31(5): 401-407.

DOI

Xie R H , Xiao L Z , Deng K J . NMR logging porosity activation and data processing method. Chinese Journal of Geophysics, 2006, 49(5): 1567-1572

Xie R H , Xiao L Z , Fu S Q . Temperature effect of NMR surface relaxation in water saturated rocks. Journal of China University of Petroleum, 2008, 32(2): 44-46 44-46, 52

Zhou Y , Wei G Q , Guo H K . Improvement of nuclear magnet resource reservoir porosity measuring accuracy by artificial intelligent algorithm. Journal of Xi'an Shiyou University (Natural Science Edition), 2011, 26(5): 40-43

家杰 , , 广志 . 温度对流体及其在孔隙介质中核磁共振弛豫影响研究进展. 地球物理学进展, 2023, 38(4): 1551-1562.

DOI

, 子健 , 立志 . 岩石润湿性核磁共振表征技术的研究进展. 地球物理学进展, 2023, 38(4): 1610-1624.

DOI

广志 , 立志 , 然红 . 内部磁场梯度对火山岩核磁共振特性的影响及其探测方法. 中国石油大学学报(自然科学版), 2009, 33(5): 56-60

, 锦绣 , . 渤海J油田储层核磁共振测井孔隙度影响因素分析及校正. 波谱学杂志, 2020, 37(3): 370-380

志强 , , . 一种基于核磁共振测井计算低孔低渗气层孔隙度的新方法. 石油地球物理勘探, 2010, 45(1): 105-109

为民 , 佃庆 , . 核磁共振测井基础实验研究. 测井技术, 1997, 21(6): 385-392.

DOI

忠东 , , 能根 . 核磁共振岩心基础实验分析. 测井技术, 2001, 25(3): 170-174.

DOI

立志 . 我国核磁共振测井应用中的若干重要问题. 测井技术, 2007, 31(5): 401-407.

DOI

然红 , 立志 , 克俊 . 核磁共振测井孔隙度观测模式与处理方法研究. 地球物理学报, 2006, 49(5): 1567-1572

然红 , 立志 , 少庆 . 饱和水岩石核磁共振表面弛豫温度特性. 中国石油大学学报(自然科学版), 2008, 32(2): 44-46 44-46, 52

, 国齐 , 和坤 . 应用人工智能优化降低核磁共振孔隙度测量误差. 西安石油大学学报(自然科学版), 2011, 26(5): 40-43

Outlines

/