Advances of the inversion of radial slowness profile near borehole with array acoustic logging
Received date: 2023-04-17
Online published: 2024-12-19
Copyright
The slowness information of near-wellbore formation is of great significance to oil-gas exploration and development, which can reflect the properties of rock. However, the near-wellbore formation presents radial heterogeneity with a variable slowness profile, due to the effects from mud filtrate invasion, wellbore stress, drilling machinery damage and fracturing operation. Accordingly, extracting radial slowness profile from acoustic logging inversion has important application value in identifying invasion depth, evaluating wellbore stability, guiding well completion design, and evaluating fracturing effect. Therefore, we have investigated the current inversion methods constructed by researchers in this paper and divided them into three categories: the inversion with arrival time of waves, the inversion with slowness-time coherence (STC), and the inversion with wave dispersion. After comprehensive research and analysis, we found that the usability and performance of the methods is different due to the difference of target mode waves and their algorithms. Based on the obversions, we further concluded the advances of the methods in extracting the slowness profile near a wellbore from array acoustic logging data, and compared their performances in real applications.
Zi WANG , WenZheng YUE , YuMing ZHU , Xin LIU , Bin TIAN . Advances of the inversion of radial slowness profile near borehole with array acoustic logging[J]. Progress in Geophysics, 2024 , 39(5) : 2002 -2012 . DOI: 10.6038/pg2024HH0046


图1 基于滑行波首波到时的反演方法(钱玉萍等, 2018)(a)非均质地层中滑行波路径示意图;(b)该方法在实际资料中评价压裂效果的应用. Figure 1 The inversion with arrival time of slide waves (Qian et al., 2018) (a)Schematics of slide wave ray paths in a heterogeneous formation; (b)Application of the method in evaluating fracturing effect in actual data. |


图3 基于反射波首波到时的概率加权ART反演方法(许令周和范宜仁,2011)(a)理论速度模型; (b)实际反演结果; (c)相对误差分析. Fig 3 Probability weighted ART inversion method with arrival time of reflection wave (Xu and Fan, 2011) (a)Theoretical velocity model; (b) Inversion results; (c) Relative error analysis. |



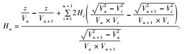
作为临界厚度,当n=1时,H1为:
图4 不同层厚的非均质地层模型反演结果(Liu et al., 2021)(a)拾取的纵波速度序列;(b)纵波速度径向剖面. Fig 4 Inversion results of a heterogeneous formation model with different thickness of velocity variation region(Liu et al., 2021) (a)The sequence of extracted P-wave velocities; (b)Radial profiles of P-wave velocity. |



图7 致密地层横波速度剖面与多种测井结果对比示意图(赵龙等,2014)Figure 7 Comparison of radial shear-wave velocity profile with several logging results (Zhao et al., 2014) |
感谢各位审稿人对论文提出的建设性建议和意见.
|
|
|
|
|
|
|
|
|
|
|
|
|
|
|
|
|
|
|
|
|
|
|
|
|
|
|
|
|
|
|
|
|
|
|
|
|
|
|
|
|
|
|
|
|
|
|
|
|
|
|
|
|
|
|
|
|
|
|
|
|
|
|
|
|
|
|
|
|
|
|
|
|
|
|
|
|
|
|
|
|
|
|
|
|
|
|
|
|
|
|
|
/
| 〈 |
|
〉 |