Three-dimensional forward modeling and response analysis of semi-airborne transient electromagnetic with arbitrary anisotropy based on finite volume method
Received date: 2023-04-24
Online published: 2024-12-19
Copyright
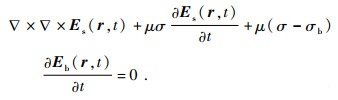
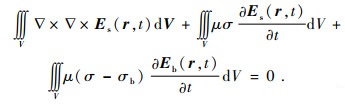
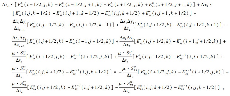
Most research on transient electromagnetic phenomena in the field of airborne electromagnetics focuses on three-dimensional isotropic media, with limited studies on anisotropy. Interpreting data from regions with significant electrical anisotropy using isotropic models can lead to significant deviations from reality. To analyze the impact and extent of electrical anisotropy on transient electromagnetic signals from long conductive sources, this study employs a finite volume-based three-dimensional forward modeling algorithm for arbitrary anisotropic media. By solving the discretized full tensor conductivity time-domain electromagnetic field equations, a methodology is developed. First, based on Maxwell's equations, and employing the background and anomaly separation theory, the computational domain is divided into a homogeneous half-space and an anomalous body. The electromagnetic response of the homogeneous half-space serves as the background field, while the electromagnetic response of the anomalous body forms the anomaly field. The curl equation of the electric field anomaly is further curled to obtain the curl equation for the secondary electric field. Integrating the curl equation for the secondary electric field within a control volume yields an integral equation. Applying Gauss's theorem converts the volume integral equation into a surface integral equation, which is then discretized for independent computation on the surface. Employing backward Euler algorithm in the time domain leads to the final discrete equation.To enhance accuracy and efficiency of time-domain electromagnetic field solution, the algorithm combines time segmentation with direct equation solving. The algorithm's validity is verified through one-dimensional anisotropic layered model calculations. Subsequently, the impact of principal axis anisotropy on attenuation voltage is simulated and analyzed. Arbitrary anisotropic models are then simulated and the effects of anisotropic dip and azimuth angles on the response are investigated. Finally, the algorithm's simulation capabilities for complex geological models are tested. Experimental results demonstrate the algorithm's effectiveness in three-dimensional arbitrary anisotropic forward modeling of transient electromagnetic phenomena, offering high precision in simulation outcomes.
XiaoTeng JIAGN , HuaiFeng SUN , Dong LIU , ShangBin LIU , Zhen WANG , XiaoSheng ZHOU , Jing Yang . Three-dimensional forward modeling and response analysis of semi-airborne transient electromagnetic with arbitrary anisotropy based on finite volume method[J]. Progress in Geophysics, 2024 , 39(5) : 2046 -2058 . DOI: 10.6038/pg2024HH0168



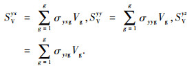
为3×3对称张量:
可以通过对主轴各向异性电导率张量做图 1所示的欧拉旋转得到.首先将原始坐标系绕z轴逆时针旋转角度αs得到一个新坐标系,然后将其绕新坐标系的x轴逆时针旋转角度αd得到中间坐标系,最后绕中间坐标系的z轴逆时针旋转角度αl得到最终坐标系.其中,αs、αd、al三个角度分别为各向异性走向角、各向异性倾角、各向异性偏角,每次旋转都可以得到对应角度的旋转矩阵,将旋转矩阵与主轴各向异性电导率张量相乘就可以得到
.







感谢审稿专家提出的修改意见和编辑部的大力支持!
|
|
|
|
|
|
|
|
|
|
|
|
|
|
|
|
|
|
|
|
|
|
|
|
|
|
|
|
|
|
|
|
|
|
|
|
|
|
|
|
|
|
|
|
|
|
|
|
|
|
|
|
|
|
|
|
|
|
|
|
|
|
|
|
|
|
|
|
|
|
|
|
|
|
|
|
|
|
|
|
|
|
|
|
|
|
|
|
/
| 〈 |
|
〉 |