Elastic Gaussian-beam migration of multicomponent-source and-receiver data
Received date: 2024-04-01
Online published: 2024-12-19
Copyright
Multicomponent Gaussian beam migration methods of elastic waves are currently mainly focused on PP/PS imaging, which is a subset of full elastic-wave imaging. Owing to the employment of pure P-wave explosive sources, these methods only require mode decomposition on the receiver side. However, elastic wave imaging also includes SP and SS cases. SP and SS waves, as part of the complete elastic wavefield, can provide valuable complementary supplementary insights to conventional PP and PS images, because each wave mode offers a distinct illumination pattern, a unique reflectivity behavior, and various amounts and types of information about the geology and rock/fluid properties. To obtain complete reflection elastic-wave images, we propose an extension of the elastic Gaussian beam migration method to multicomponent source and receiver seismic data. The use of multicomponent sources allows for the generation of rich direct-S modes in areas without local interfaces and the ability to send strong S-waves into the deep subsurface. To implement this method, we initially formulate continuation and mode decomposition formulations for free-surface, ocean-bottom, and free-space models. These are derived from the elastic Kirchhoff-Helmholtz integral coupled with corresponding complete boundary conditions on both the source and receiver sides. Such a framework allows for the decomposition of both sides to be automatically performed during migration. With our approach, multicomponent data are decomposed into PP-, PS-, SP-and SS-waves during migration without prior separation, leading to more accurate results. Furthermore, we introduce a vector cross-correlation imaging condition in tensor form to address the polarity reversal issue associated with converted waves. We demonstrate the effectiveness of the proposed method using two synthetic data tests on the free-space model, which corresponds to the case of finite-difference modeling with an absorbing top boundary. It is important to note that multicomponent wavefields are excited separately in a time-series manner using point forces in mutually perpendicular directions.
Key words: Elastic Gaussian-beam; Migration; Vector sources
XingChen SHI , WeiJian MAO , YanBao ZHANG , BaoQing TIAN . Elastic Gaussian-beam migration of multicomponent-source and-receiver data[J]. Progress in Geophysics, 2024 , 39(5) : 2059 -2068 . DOI: 10.6038/pg2024II0127
图1 多分量震源(箭头表示震源振动方向)和多分量检波器(箭头表示质点运动方向)物理实验示意图由垂直或水平力源运动产生的地震能量被垂直或水平方向的检波器分量记录.P波和S波均被无差别地产生和记录. Fig 1 Schematic diagram of a physics experiment involving a multicomponent source (arrows indicating source motion) and a multicomponent receiver (arrows indicating particle motion) is shown Seismic energy generated by either vertical or horizontal source motion is recorded by either vertically-or horizontally-oriented geophones. Both P and S waves are emitted and recorded indiscriminately. |












表示由“理想”的纯ϑ波震源激发,由“理想”的纯ν波检波器接收到的单一波型的标量平面波.
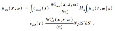
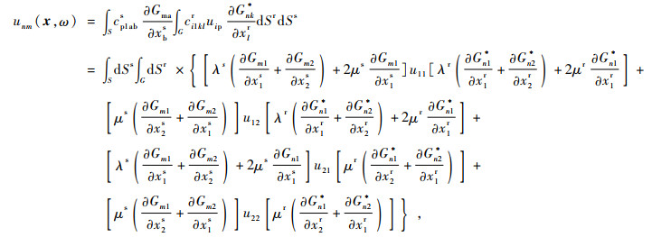
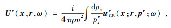
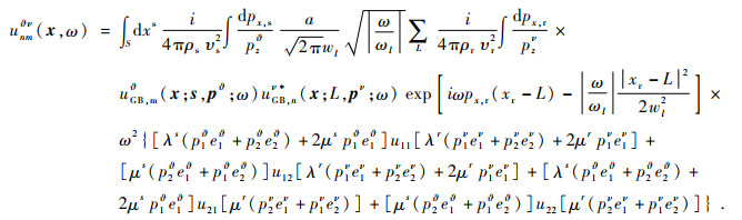
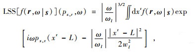
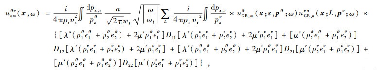
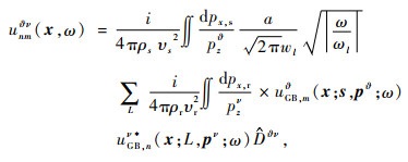
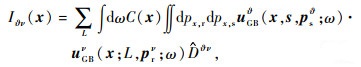
为:
















图3 简单的凹陷地形模型Fig 3 Simple concave terrain model (a)P-wave velocity; (b)S-wave velocity. |
图4 偏移成像结果(仅在检波点进行波型分离)(a)x方向力源激发的P波成像;(b)z方向力源激发的P波成像;(c)x方向力源激发的S波成像;(d)z方向力源激发的S波成像. Fig 4 Migration results after mode decomposition on receiver-side only (a)P-wave image of data generated by directional force source acting in x direction; (b)P-wave image of data generated by directional force source acting in z direction; (c)S-wave image of data generated by directional force source acting in x direction; (d)S-wave image of data generated by directional force source acting in z direction, respectively. |
感谢审稿专家提出的修改意见和编辑部的大力支持!
|
|
|
|
|
|
|
|
|
|
|
|
|
|
|
|
|
|
|
|
|
|
|
|
|
|
|
|
|
|
|
|
|
|
|
|
|
|
|
|
|
|
|
|
|
|
|
|
|
|
|
|
|
|
|
|
|
|
|
|
|
|
|
|
|
|
|
|
|
|
|
|
|
|
|
|
|
|
|
|
|
|
/
| 〈 |
|
〉 |