Home Journals Progress in Geophysics
Progress in Geophysics

Abbreviation (ISO4): Prog Geophy      Editor in chief:

About  /  Aim & scope  /  Editorial board  /  Indexed  /  Contact  / 

Model of permeability prediction for carbonate rocks based on digital cores

  • Jun ZHAO , 1 ,
  • Xuan HE 1 ,
  • Qiang LAI 2 ,
  • Bing YU 3 ,
  • ZhenGuan WU 1
Expand
  • 1 School of Geoscience and Technology, Southwest Petroleum University, Chengdu 610500, China
  • 2 Research Institute of Exploration and Development, Southwest Oilfield and Gas Company CNPC, Chengdu 610095, China
  • 3 Geological Research Institute of China Petroleum Logging Co., Ltd., Xi'an 710000, China

Received date: 2024-02-23

  Online published: 2025-01-14

Copyright

Copyright ©2024 Progress in Geophysics. All rights reserved.

Abstract

The strong heterogeneity and complex connectivity of carbonate reservoirs in the Moxi area of the Sichuan Basin result in significant errors in conventional logging prediction of permeability. In order to improve the accuracy of carbonate rock permeability prediction, a permeability prediction method based on digital core is proposed. This article takes the carbonate reservoir of the Dengying Formation in the Moxi area of the Sichuan Basin as an example, and constructs a three-dimensional digital core model based on core CT scanning data. Using connectivity algorithms to obtain connected pores, dividing each pore and throat through separation algorithms, and obtaining the geometric parameters of each pore and throat. After obtaining the geometric parameters of pores and throats, they are divided into two spatial types based on industry standards and existing research results: pores and cracks. The pore structure parameters and crack structure parameters are calculated separately. A comparative analysis was conducted on the correlation between different pore structure parameters and weighted pore structure parameters with permeability. Four pore structure parameters sensitive to permeability were selected, including average pore size, average pore throat ratio, average crack opening, and crack complexity. A multiple regression permeability prediction model was established. This article multiplies the pore structure parameters with the corresponding proportion of pore space to obtain weighted pore structure parameters, effectively improving the correlation between pore structure parameters and permeability. Compared with the traditional dual medium porosity and permeability model, this model reduces the average relative error of predicting permeability from 266.7% to 30.27%, and improves accuracy by approximately 236.4%. The results indicate that the permeability prediction model for carbonate reservoirs established by this method can effectively improve the accuracy of permeability in fractured and vuggy carbonate reservoirs, providing a new approach for calculating the permeability of complex carbonate reservoirs.

Cite this article

Jun ZHAO , Xuan HE , Qiang LAI , Bing YU , ZhenGuan WU . Model of permeability prediction for carbonate rocks based on digital cores[J]. Progress in Geophysics, 2024 , 39(6) : 2207 -2218 . DOI: 10.6038/pg2024HH0545

0 引言

储层渗透率是进行储层预测、地层评价的基础参数.与常规砂岩储层储集空间类型单一不同,复杂储层储集空间类型多样,非均质性强(谭开俊等,2022),普遍存在孔隙度相近而渗透率差异较大的现象.深层碳酸盐岩是目前国内油气开发的重点领域,相较常规储层测井综合评价难度增大,对于预测碳酸盐岩等复杂储层渗透率前人提出了许多方法.
基于常规测井资料,可从碳酸盐岩储层呈现出多重介质的特点入手,将储层渗透率分为孔洞孔隙贡献的孔洞渗透率和裂缝孔隙贡献的裂缝渗透率,利用孔隙度曲线计算孔洞渗透率,电阻率曲线计算裂缝渗透率,二者相加得到储层渗透率(任杰,2020侯珏等,2022).基于电成像资料,通过识别裂缝并求取裂缝参数计算渗透率(张宏悦,2019刘沁园等,2021).基于高压压汞技术,通过计算最小有效孔喉半径预测渗透率(王伟等,2021).基于核磁共振,利用核磁共振T2谱求取可动孔隙度,进而得到渗透率预测模型(王迪等,2014何旭,2018李雄炎等,2022赵吉儿等,2023).基于分形理论,利用分形维数来表征复杂储层的非均质性,以此建立渗透率模型(Fan et al., 2022宋泽章等,2023).随着计算机的发展,深度学习的方法越来越多地运用在渗透率预测模型上,许多研究基于神经网络,乃至综合地震数据与测井数据预测包括渗透率在内的储层参数(王伟等,2022钱淼等,2024王猛等,2023).
以上研究成果解决或改善了许多复杂储层渗透率预测不准确的问题.高压压汞、核磁共振等技术都是通过获取储层微观结构数据来预测渗透率,数字岩心技术实现了岩石样品的三维扫描成像,通过不同尺度的(一般是微米和纳米尺度)显示与数值重构,不仅可以呈现孔喉结构的整体特征,还可以对微小孔隙、孤立孔隙等传统方法难以作精细解释的部分进行评价(谭茂金,2022).数字岩心技术作为一种前沿评价手段,具有无损岩心测量、可视化孔隙结构、非均质性研究等优点,但目前还鲜见基于数字岩心研究孔隙结构参数对深层碳酸盐岩储层渗透率影响的研究.
本文以四川盆地磨溪地区灯影组碳酸盐岩储层为例,基于岩心CT扫描数据构建三维数字岩心模型.利用连通性算法获取连通孔隙,通过分离算法划分出各个孔隙及喉道,并得到每个孔隙和喉道的几何参数.获取孔隙和喉道的几何参数后,根据划分标准区别孔洞空间和裂缝空间,分别计算孔洞结构参数和裂缝结构参数.优选与渗透率相关性较高的参数与渗透率进行多元回归建立渗透率预测模型.本文中将孔隙结构参数与相应孔隙空间占比乘积,得到权重孔隙结构参数,有效提高了孔隙结构参数与渗透率相关性.利用孔隙结构参数构建的渗透率预测模型准确性大大提高,比常规的双重介质孔渗模型平均相对误差更小,进一步提高了深层碳酸盐岩储层评价的客观性与可靠性,具有理论价值和实际意义.

1 基于数字岩心的孔隙结构参数提取

1.1 孔隙空间模型提取

本研究岩心样品选自四川盆地磨溪地区灯影组碳酸盐岩地层,单个岩心扫描样品大小为1500×1500×1500,单位像素间距为9.756 μm.以avizo软件为平台将岩心扫描样品分割成大小为300×300×300的单位样品,随机选取一定数量的单位样品进行孔隙结构参数计算.
通过X-CT扫描技术获取岩心样品的灰度图像,以中值滤波对灰度图像进行去噪处理.使用阈值法进行图像二值化处理,利用最大类间方差法确定分割阈值,阈值t用于分割岩心骨架与孔隙,进行图像分割处理后的图像为:
$F(n, m)=\left\{\begin{array}{l}1, H(n, m)<t \\0, H(n, m) \geqslant t\end{array}\right., $
式中,t为图像分割阈值,(n, m)为像素点方位,H(n, m)为像素点灰度值,F(n, m)为图像分割后像素点灰度值.该步骤得到的图像称为二值化图像.二值化图像中标记为0的部分表示骨架,标记为1的部分表示孔隙.
图 1bd为阈值分割后碳酸盐岩岩心灰度图像转化为二值化图像的结果.其中白色部分代表岩石的孔隙空间,黑色部分代表岩石骨架.
图1 岩心CT扫描图像的二值化处理

(a)孔洞-裂缝型岩样CT扫描图像;(b)孔洞-裂缝型岩样CT扫描图像对应二值化图像;
(c)孔洞型岩样CT扫描图像;(d)孔洞型岩样CT扫描图像对应二值化图像.

Fig 1 Binary processing of CT scan images of rock cores

(a) CT scan images of pore-crack type rock samples; (b) CT scan images of pore-crack type rock samples correspond to binary images;
(c) CT scan images of porous rock samples; (d) CT scan images of porous rock samples correspond to binary images.

二值化处理后利用最大球法提取三维孔隙空间模型,通过成簇算法将孔隙空间划分为孔隙和喉道.成簇算法将以最大球集合表征的孔隙空间转换为相互连接的簇,每一个簇中的主球代表孔隙空间中的一个孔隙,不同簇之间相互连接的部分代表连接不同孔隙的喉道.当确定一个喉道后,即可得到该喉道连接两端主球的链路,链路则是由喉道中心最大球与通往主球之间所有最大球的球心链接而成.该算法在表征孔喉关系的过程中可以获取基本的孔喉几何参数.提取部分岩心三维连通孔隙空间模型及球棍模型如图 2所示, 完成对孔隙空间模型的提取后,即可在其基础上对每个孔隙和喉道的几何特征进行研究.
图2 基于数字岩心提取的孔隙空间模型

(a)孔洞-裂缝型岩样提取得到的连通孔隙空间;(b)孔洞-裂缝型岩样连通孔隙空间孔喉球棍模型;(c)孔洞型岩样提取得到的连通孔隙空间;(d)孔洞型岩样连通孔隙空间孔喉球棍模型.

Fig 2 Pore space models based on digital core extraction

(a) The connected pore space obtained from the extraction of pore-crack type rock samples; (b) Pore-crack type rock sample connected pore space pore throat ball stick model; (c) The connected pore space obtained from the extraction of porous type rock samples; (d) Porous type rock sample connected pore space pore throat ball stick model.

1.2 孔隙空间类型划分

研究所用的碳酸盐岩岩样储集类型以孔洞-裂缝型、孔洞型为主,本文孔隙空间类型主要讨论孔洞空间和裂缝空间,孔洞空间包括基质孔和溶蚀孔.利用最大球法提取出孔隙空间结构模型后,孔隙的几何特征皆以体素与最大球的形式反映在三维数字岩心模型中,通过对孔隙最大球单元和体素单元进行运算可获取孔隙结构参数.
为了讨论孔洞与裂缝两种不同储集类型对储层渗透率的影响,需要将孔洞与裂缝分开讨论.结合王俊杰等(2020)提出的一套利用孔隙的球形度和球半径比来划分碳酸盐岩多尺度孔洞与裂缝的标准,本文根据式(2)定义球形度来划分孔洞和裂缝:
$N=\frac{\sqrt[3]{36 \pi V^2}}{S}$
式中,N表示球形度;V表示孔隙体积;S表示孔隙表面积.
球形度即指某不规则几何体与球体的接近程度,本文中的几何体即为提取出来的孔隙空间.在上文利用最大球法求取得到孔隙的体积与表面积后,按公式计算出球形度,其数学含义实则为作一球体,其体积与孔隙体积相等,将此球表面积与孔隙实际表面积相比.当球形度为1时孔隙为标准球体,且此为最大值;而球形度越小,孔隙越扁平狭窄,越表现为裂缝的特征,故球形度可以作为识别裂缝的参数.
为进一步讨论裂缝与孔洞关于球形度的划分界限,根据行业标准《裂缝性油(气)藏探明储量计算细则》(国家能源局, 2010),储集空间类型按孔隙长宽之比划分,孔洞长宽比小于10,裂缝长宽比大于10. 依照该划分标准,可将临界处裂缝抽象为长: 宽: 高=10: 10:1的长方体,将此长方体的面积与体积代入球形度公式中,可得当孔隙的球形度小于0.43时被定义为裂缝.
将该划分标准应用到储集空间类型划分中,发现应用效果较好,但在个别样本中,较大且孔壁不规则的溶蚀孔会出现球形度小于0.43的情况,分析是因为不规则的溶蚀孔壁使孔隙表面积异常变大,导致球形度偏小,这在孔隙空间结构复杂的储层中难以避免.由于该种现象主要出现在较大的溶蚀孔,容易被识别且不是普遍现象,故本文仍采用球形度来划分储集空间类型,本文的孔隙空间划分标准见表 1.
表1 孔隙空间类型划分标准表

Table 1 Table of classification standards for pore space types

孔隙空间类型 几何特征
孔洞 孔隙长宽比≤10,球形度≥0.43
裂缝 孔隙长宽比>10,球形度<0.43
按照以上标准计算各岩样孔洞空间与裂缝空间占比,孔洞空间占比为孔洞率,裂缝空间占比为裂缝率,并将岩样中不同类型的储集空间通过avizo软件Label Analysis算法分别剔除后,单独进行储集空间结构参数评价.

1.3 孔隙结构参数及其计算

基于孔隙空间模型得到孔隙空间几何参数,计算孔洞空间结构参数包括平均孔径、平均喉径、平均孔喉比和平均配位数.裂缝空间参数包括平均裂缝开度、粗糙度和复杂度.本文中裂缝开度、粗糙度和复杂度三个参数的定义或与主流定义可能存在一定差别,在此做简要说明.
裂缝开度:也称裂缝张开度,或者称裂缝宽度,是指裂缝壁之间的距离.裂缝壁面是起伏波动的,开度随裂缝延展会发生一定变化.本文基于微元法通过统计裂缝空间局部开度,根据面积加权求取裂缝整体开度的平均大小,称裂缝平均开度(李新岭,2020),用ε表示.裂缝每部分的局部开度为表征该部分裂缝的最大球直径.
裂缝粗糙度:指裂缝开度大小变化的剧烈程度.裂缝粗糙度对裂缝的渗流性能影响较大,裂缝粗糙度与裂缝开度变化关系密切,通常用裂缝开度的均方差和裂缝平均开度的比值来量化(赵良孝和补勇,1994).因为本文中裂缝平均开度为裂缝局部开度的面积加权平均值,故采用均方差进行计算不能真实反映裂缝粗糙度.本文粗糙度定义式如下:
$C=\frac{\sqrt{\frac{\left|\sum\limits_i\left[S_i \times\left(\varepsilon_i-\bar{\varepsilon}\right)\right]\right|}{\sum\limits_i S_i}}}{\bar{\varepsilon}}, $
式中,C表示粗糙度,ε表示裂缝平均开度,Si表示第i个部分的裂缝面积,εi表示第i个部分的裂缝局部开度.粗糙度越大表示裂缝越粗糙.
裂缝复杂度:表征裂缝空间复杂程度的参数,目前复杂度并没有明确的定义式,但其计算原理总是将裂缝孔隙度和裂缝倾角结合起来,即将裂缝大小、数量与裂缝形态结合起来,共同描述裂缝的复杂程度.裂缝大小、数量主要体现在裂缝孔隙度,裂缝形态主要体现在裂缝倾角.分别求取裂缝孔隙度和裂缝倾角均方差:
$\phi_{\mathrm{f}}=\frac{V_{\mathrm{f}}}{V_{\mathrm{a}}}, $
$\sigma_\theta=\sqrt{\frac{\sum\limits_{i=1}^n\left(\theta_i-\bar{\theta}\right)^2}{n}}, $
式中,ϕf表示裂缝孔隙度,Vf表示裂缝体积,Va表示岩样外观体积.σθ表示裂缝倾角均方差,θ表示裂缝平均倾角,n表示裂缝被分割的份数,θi表示第i个部分的裂缝局部倾角.裂缝局部倾角可由avizo软件Label Analysis算法计算得到.
得到裂缝孔隙度和裂缝倾角均方差后,裂缝复杂度可定义为二者的归一化平均.裂缝复杂度定义为:
$F=\frac{\frac{\phi_{\mathrm{f}}-\phi_{\mathrm{f} \min }}{\phi_{\mathrm{fmax}}-\phi_{\mathrm{fmin}}}+\frac{\sigma_\theta-\sigma_{\theta \min }}{\sigma_{\theta \max }-\sigma_{\theta \min }}}{2}, $
式中,F表示裂缝复杂度,ϕf表示裂缝孔隙度,σθ表示裂缝倾角均方差,ϕfmin表示裂缝孔隙度最小值,σθmin表示裂缝倾角均方差最小值,ϕfmax表示裂缝孔隙度最大值,σθmax表示裂缝倾角均方差最大值.复杂度越大表示裂缝复杂程度越高.
此外,平均孔隙直径用R表示,平均喉道直径用r表示,平均孔喉比用表示,平均配位数用表示.
将数字岩心样品切割为300×300×300,单位像素间距为9.756 μm的单位样品,随机抽取20份单位样品分别计算以上孔隙结构参数,并利用模拟压汞实验得到单位样品渗透率.

2 渗透率预测模型的建立

2.1 渗透率与孔隙结构参数相关性分析

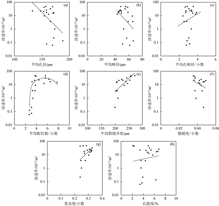
在复杂结构储层中,裂缝对于渗透率的影响十分重要,孔洞由于连通性较差而对渗透率的贡献较少.需要注意的是,本文中讨论的孔隙空间均为连通孔隙,总孔隙度即为总连通孔隙度.将孔洞和裂缝两种储集空间对渗透率的影响纳入考虑范围内,分别计算描述孔洞空间结构的平均孔径、平均喉径、平均孔喉比、平均配位数,描述裂缝空间结构的平均裂缝开度、裂缝粗糙度、裂缝复杂度.根据一般储层研究规律,这七种孔隙结构参数可能与渗透率存在一定相关性,可将这些孔隙结构参数与渗透率分别进行相关性分析,判断其对储层渗透率的影响程度,进而建立渗透率与多个孔隙结构参数的多元回归拟合模型.
本文将多个取自四川盆地磨溪地区灯影组地层的碳酸盐岩岩心CT扫描图像进行二值化处理,裁掉边缘CT扫描分辨率较低的部分,再将剩余岩心切割为单位样品,随机抽取20个单位样品进行孔隙结构参数的计算.计算得到孔隙结构参数并分别绘制各个孔隙结构参数与渗透率的交会图,如图 3所示.
图3 孔隙结构参数与渗透率交会图

Fig 3 Intersection diagram of pore structure parameters and permeability

上述交会图中皆取最佳拟合关系,而孔隙度、各孔隙结构参数与渗透率直接交会相关性并不明显,相关系数如表 2所示.
表2 孔隙结构参数与渗透率相关系数表

Table 2 Table of correlation coefficients between pore structure parameters and permeability

图号 孔隙结构参数 相关关系 相关系数R
a 平均孔径 指数 0.1597
b 平均喉径 指数 0.2086
c 平均孔喉比 指数 0.1039
d 平均配位数 多项式(二次) 0.6468
e 平均裂缝开度 指数 0.8055
f 裂缝粗糙度 指数 0.5804
g 裂缝复杂度 指数 0.1543
h 孔隙度 指数 0.0883
表 2可得,只有平均配位数、裂缝平均开度、裂缝粗糙度与渗透率的相关系数大于0.5,这是与常规认识不相符的.从碳酸盐岩储集空间结构特征层面分析,单纯考虑孔隙结构参数而不讨论对应储集空间类型在有效储集空间中的占比,不能准确衡量不同孔隙结构参数对渗透性的影响权重,故在孔隙结构参数的基础上,还需进一步探讨不同储集空间类型占总孔隙度百分比对储层渗透性的影响.
本文中定义孔洞率为孔洞孔隙度占总孔隙度的百分比,即表示为ϕb/ϕ,裂缝率为裂缝孔隙度占总孔隙度的百分比,即表示为ϕf/ϕ或1-ϕb/ϕ. 裂缝空间是碳酸盐岩储层重要的渗流空间,随着裂缝率的上升渗透率往往呈现上升趋势.碳酸盐岩中的基质孔和溶蚀孔大部分为孤立孔隙,对渗透率贡献极少甚至没有,而相互连通或与裂缝连通的孔洞也因连通关系复杂、喉道狭小等问题导致流体渗流困难,故孔洞率上升渗透率往往呈现下降趋势.在实验统计过程中发现,孔洞率大于90%的单位样品渗透率总是小于10-15 m2,而这些单位样品的平均孔径等孔洞结构参数优于大部分裂缝率更高的单位样品,再次说明孔洞率和裂缝率是影响碳酸盐岩储层渗透率的重要因素,故需要对已获得的孔隙结构参数做一定处理.
经过参数处理后发现,将孔洞结构参数与孔洞率相乘,裂缝结构参数与裂缝率相乘,可以更好地表征孔洞空间与裂缝空间对渗透率的影响权重.因此,文中定义上述孔隙结构参数与相应孔隙类型占比的乘积为权重孔隙结构参数,比如平均孔径与孔洞率的乘积称为权重平均孔径;裂缝复杂度与裂缝率的乘积称为权重裂缝复杂度.
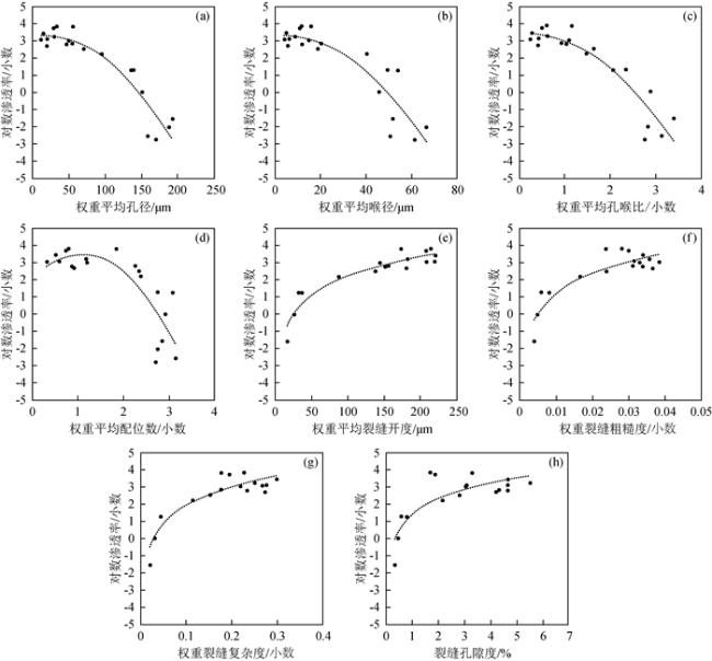
另外,由于渗透率变化往往跨越好几个数量级,故在交会图中渗透率所在坐标轴往往采用对数刻度.但在后续建立渗透率预测模型时,若直接用渗透率进行多元回归,则容易出现渗透率计算值为负数的情况.基于最优化拟合的思想,将渗透率转化为对数形式,利用预测模型先计算出对数渗透率,再转换成渗透率,不仅有效防止了渗透率预测值为负数的情况,也提高了预测准确性.在相关性分析中使用对数渗透率进行交会,绘制各权重孔隙结构参数与对数渗透率交会图如图 4所示.
图4 权重孔隙结构参数与对数渗透率交会图

Fig 4 Intersection diagram of weighted pore structure parameters and logarithmic permeability

由交会图可知,经过相应处理后,裂缝孔隙度、权重孔隙结构参数与对数渗透率相关性明显提升,相关系数如表 3所示.权重孔隙结构参数、裂缝孔隙度与对数渗透率的相关系数均大于0.8,比孔隙结构参数、孔隙度与渗透率直接交会的相关性更好.需要说明的是,为了保证各权重孔隙结构参数与对数渗透率相关性达到最大,权重孔隙结构参数分别采用了不同的拟合方式.权重孔洞结构参数采用多项式(二次)方式拟合对数渗透率,权重裂缝结构参数采用对数方式拟合对数渗透率.
表3 权重孔隙结构参数与对数渗透率相关系数表

Table 3 Table of correlation coefficients between weighted pore structure parameters and logarithmic permeability

图号 孔隙结构参数 相关关系 相关系数R
a 权重平均孔径 多项式(二次) 0.9401
b 权重平均喉径 多项式(二次) 0.9035
c 权重平均孔喉比 多项式(二次) 0.9331
d 权重平均配位数 多项式(二次) 0.8243
e 权重平均裂缝开度 对数 0.9462
f 权重裂缝粗糙度 对数 0.9013
g 权重裂缝复杂度 对数 0.9195
h 裂缝孔隙度 对数 0.8298
从上述交会图中可看出,对数渗透率与四个权重孔洞结构参数之间均存在较强的负相关关系,与三个权重裂缝结构参数之间均存在较强的正相关关系.经过交会可得知,孔洞孔隙度与渗透率呈现负相关性关系,裂缝孔隙度与渗透率呈现正相关性关系,但相比其他结构参数相关性较差,不能在建模上体现优势.证明在复杂储层中随着孔洞率下降、裂缝率上升,渗透率呈现上升趋势.

2.2 构建渗透率预测模型

根据交会图可得,权重孔洞结构参数中,权重平均孔径与对数渗透率相关性最强,相关系数达到了0.9401;其次是权重平均孔喉比,相关系数达到了0.9331.权重裂缝结构参数中,权重平均裂缝开度与对数渗透率相关性最强,相关系数达到了0.9462;其次是权重裂缝复杂度,相关系数达到了0.9195.
综合考虑孔洞空间和裂缝空间对渗透率的影响,选取孔洞结构参数中的平均孔径和平均孔喉比,裂缝结构参数中的平均裂缝开度和裂缝复杂度构建渗透率预测模型.根据交会图研究了渗透率与平均孔径、平均孔喉比、平均裂缝开度和裂缝复杂度的关系后,可得到渗透率与以上参数之间的相关关系式如下:
$\begin{aligned}\ln K= & a_1+a_2\left(\frac{\phi_{\mathrm{b}}}{\phi} \bar{R}-0.017\right)^2+a_3\left(\frac{\phi_{\mathrm{b}}}{\phi} \bar{B}-0.224\right)^2+ \\& a_4 \ln \left(\frac{\phi_{\mathrm{f}}}{\phi} \bar{\varepsilon}\right)+a_5 \ln \left(\frac{\phi_{\mathrm{f}}}{\phi} F\right), \end{aligned}$
式中,K表示渗透率,ϕ表示总孔隙度, ϕb表示孔洞孔隙度,ϕf表示裂缝孔隙度,R表示平均孔径,B表示平均孔喉比,ε表示平均裂缝开度,F表示裂缝复杂度,a1a2a3a4a5表示系数.
为验证该模型具有更高的可靠性,根据同样的建模数据建立适用于双重介质的孔渗模型.利用该地区数字岩心数据可得:孔洞孔隙度与对数渗透率呈现线性相关性,裂缝孔隙度与对数渗透率呈现对数相关性.依照以上相关关系将孔洞孔隙度、裂缝孔隙度和渗透率进行二元回归拟合,所得模型表达式为:
$\ln K=a_1+a_2 \phi_{\mathrm{b}}+a_3 \ln \phi_{\mathrm{f}}, $
式中,K表示渗透率, ϕb表示孔洞孔隙度,ϕf表示裂缝孔隙度,a1a2a3表示系数.

3 应用与效果分析

本文实验数据来自四川盆地磨溪地区灯影组碳酸盐岩地层,以孔洞型、裂缝-孔洞型、孔洞-裂缝型储层为主.
利用avizo建模软件,输入岩心CT扫描图像,进行图像去噪、二值化处理,提取孔隙空间.基于连通性算法获取连通孔隙,通过分离算法划分出各个孔隙及喉道,并得到每个孔隙和喉道的几何参数.获取孔隙和喉道的几何参数后,根据球形度划分标准区别孔隙空间和裂缝空间,即可分别计算孔隙结构参数和裂缝结构参数.最后用模拟压汞实验得到单位样品渗透率.20个用于建模的单位样品连通孔隙度、渗透率以及所求得孔隙结构参数如表 4所示.
表4 建模样品孔渗参数与孔隙结构参数表

Table 4 Table of pore permeability parameters and pore structure parameters for modeling samples

岩心样品
编号
ϕ/% K/10-15 m2 ϕb/ϕ/% R/μm r/μm B N ε/μm C F
1 4.90 46.44 32.75 169.2 48.2 3.51 5.63 257.3 0.0352 0.2627
2 2.31 42.36 18.79 153.7 58.2 2.64 3.94 254.9 0.0369 0.2395
3 6.27 0.134 100 188.0 66.4 2.83 2.75
4 3.58 3.67 83.89 165.3 59.0 2.80 3.29 203.2 0.0372 0.2770
5 2.14 47.17 21.08 157.0 55.2 2.84 3.76 271.0 0.0354 0.2860
6 4.78 15.13 11.72 170.0 49.2 3.46 7.78 204.5 0.0412 0.3092
7 3.36 21.69 8.79 132.5 48.8 2.72 3.70 227.6 0.0419 0.2925
8 3.74 0.079 100 158.3 50.7 3.12 3.14
9 6.37 16.58 26.91 171.5 44.4 3.86 3.24 206.8 0.0461 0.3199
10 4.50 20.64 32.47 153.3 45.7 3.36 3.70 213.2 0.0488 0.3245
11 6.79 25.64 18.78 158.3 47.6 3.32 6.30 223.7 0.0437 0.3073
12 3.89 0.216 91.18 211.2 56.7 3.73 3.13 199.0 0.0464 0.2399
13 5.15 31.74 9.24 165.3 54.2 3.05 5.63 242.5 0.0373 0.3285
14 3.38 0.064 100 169.3 61.4 2.76 2.71
15 3.59 1.02 87.27 173.2 52.3 3.31 3.35 210.3 0.0384 0.2498
16 6.64 17.31 34.64 158.2 58.6 2.70 6.52 237.5 0.0473 0.2694
17 5.39 22.44 13.48 147.5 46.7 3.16 4.47 252.9 0.0362 0.3191
18 4.99 12.63 43.58 162.2 43.0 3.77 5.38 244.6 0.0423 0.2713
19 4.37 3.59 81.98 165.6 65.7 2.52 3.75 206.5 0.0448 0.2458
20 5.72 9.34 62.23 154.2 64.8 2.38 3.82 231.8 0.0439 0.3028
以上数据为20个单位样品计算所得的孔隙结构参数,利用以上数据可绘制上文交会图.将孔隙结构参数与相应孔隙类型占比乘积,基于该处理流程后得到的权重孔隙结构参数构建渗透率预测模型.
借助数值分析软件建立多元回归方程,为防止回归系数过小导致误差放大,平均孔径单位调整为毫米,由此得到模型所求系数如表 5所示.根据20个随机抽取的单位样品所得计算数据,可得该多元回归模型表达式为:
$\begin{aligned}\ln K= & 0.3186-24.95\left(\frac{\phi_{\mathrm{b}}}{\phi} \bar{R}-0.017\right)^2-0.3011 \\& \left(\frac{\phi_{\mathrm{b}}}{\phi} \bar{B}-0.224\right)^2+0.5319 \ln \left(\frac{\phi_{\mathrm{f}}}{\phi} \bar{\varepsilon}\right)- \\& 0.1648 \ln \left(\frac{\phi_{\mathrm{f}}}{\phi} F\right) .\end{aligned}$
表5 孔隙结构参数渗透率预测模型相关系数表

Table 5 Correlation coefficient table of pore structure parameter permeability prediction model

回归系数 回归系数估计值 t Stat 标准误差
a1 0.3186 0.3238 0.9839
a2 -24.95 -0.6192 40.28
a3 -0.3011 -2.678 0.1124
a4 0.5319 2.245 0.2369
a5 -0.1648 -0.8094 0.2037
为了展现该预测模型在本区块具有先进性,再次基于20个单位样品计算孔洞孔隙度与裂缝孔隙度构建适用于双重介质的孔渗模型,将两个模型计算结果及误差进行比较.
借助数值分析软件建立多元回归方程,得到双重介质孔渗模型所求系数如表 6所示.根据20个随机抽取的单位样品所得计算数据,可得双重介质孔渗模型表达式为:
$\ln K=3.0079-105.00 \phi_{\mathrm{b}}-0.3059\ln\phi_{\mathrm{f}} .$
表6 双重介质孔渗模型相关系数表

Table 6 Correlation coefficient table of dual medium pore permeability model

回归系数 回归系数估计值 t Stat 标准误差
a1 3.0079 3.3304 0.9032
a2 -105.00 19.705 -5.3287
a3 -0.3059 0.1905 -1.6063
建立孔隙结构参数渗透率预测模型和双重介质孔渗模型后,在本区块所属数字岩心样品中随机选取10个单位样品作为待判样品进行验证,待判样品取自同一区块不同岩心,在区块中具有代表性.根据筛选得出平均孔径、平均孔喉比、平均裂缝开度、裂缝复杂度四种孔隙结构参数与渗透率具有更高的相关性,故10个待判样品主要计算以上四种孔隙结构参数.将未参与建模的待判样品代入孔隙结构参数渗透率模型和双重介质孔渗模型计算渗透率,并进行相对误差对比分析.需要说明的是,孔隙结构参数渗透率模型计算所得渗透率用K表示,孔隙结构参数渗透率模型计算结果与渗透率相对误差用δ表示.双重介质孔渗模型计算所得渗透率用K表示,双重介质孔渗模型计算结果与渗透率相对误差用δ表示.两种模型计算结果如表 7所示.
表7 待判样品渗透率预测与常规渗透率模型误差对比分析表

Table 7 Comparison analysis table of the error between the predicted permeability of the sample to be determined and the conventional permeability model

岩心样品编号 ϕ/% K/10-15 m2 ϕb/ϕ/% R/μm B ε/μm F K/10-15 m2 δ/% K/10-15 m2 δ/%
21 3.47 7.87 83.65 191.1 2.19 216.7 0.3261 4.09 48.00 4.69 40.44
22 6.17 13.23 45.76 161.6 1.82 239.9 0.3232 20.15 52.34 2.95 77.68
23 5.42 0.258 99.88 279.2 2.20 242.4 0.1764 0.159 38.30 1.33 414.1
24 5.40 1.54 96.56 248.1 2.11 249.3 0.2511 1.02 33.70 0.582 62.30
25 2.29 7.59 67.32 125.6 2.56 285.9 0.2456 10.58 39.44 17.95 136.5
26 3.22 0.667 79.77 223.0 3.89 260.5 0.2562 0.802 20.25 6.37 855.5
27 2.27 0.084 100 235.8 3.34 0.022 73.45 1.88 2134
28 2.56 1.955 65.76 264.2 3.90 325.4 0.2105 2.71 38.47 14.74 653.8
29 4.72 35.64 22.40 182.3 2.11 303.8 0.3512 30.14 15.42 18.35 48.55
30 2.78 6.24 59.70 221.6 3.63 368.9 0.3018 6.39 2.38 13.97 123.8
表 7可得,常规双重介质孔渗模型计算待判样品渗透率平均相对误差高达454.7%, 计算误差波动大,与回判样品平均相对误差(172.7%)差距大,说明双重介质孔渗模型在区块内有效性低且不具有推广性.分析其有效性较低的原因,传统的双重介质孔渗模型是针对裂缝发育储层等复杂储层的常用方法,其原理上综合考虑了孔洞和裂缝对渗透率的影响,但实际应用中,各油田使用的双重介质孔渗模型是长期总结的经验公式,没有深究经验系数变化的深层次原因,传统的双重介质孔渗模型也难以适用于更加复杂的储层.本文基于数字岩心,从微观层面较准确地计算得到裂缝孔隙度和孔洞孔隙度,并构建出双重介质孔渗模型,其预测准确性较差,说明复杂结构储层中单纯考虑裂缝孔隙度而忽视孔隙结构特征亦不能准确地预测渗透率.但这并不说明传统的双重介质孔渗模型是完全错误的,各油田在宏观层面总结的经验公式是符合区域储层实际情况的,能间接反映储层孔隙结构特征,本文在基于数字岩心的微观研究上放大了双重介质孔渗模型的缺陷才致使该模型有效性较低.
孔隙结构参数渗透率模型计算待判样品渗透率平均相对误差为36.18%, 计算误差波动小,计算渗透率与数模软件模拟渗透率均在同一数量级范围内,能满足储层评价的要求,证明该模型在区块内有效性较高.与回判样品平均相对误差(27.32%)差距在合理范围内,证明该模型在区块内具有推广性.
常规双重介质孔渗模型与孔隙结构参数渗透率模型总样品渗透率计算结果对比情况如图 5所示.双重介质孔渗模型总样本集相对误差为266.7%, 孔隙结构参数渗透率模型总样本集相对误差为30.27%, 相较于常规双重介质孔渗模型,本文提出的基于数字岩心的碳酸盐岩孔隙结构参数渗透率预测模型整体误差下降约236.4%, 证明所建立的碳酸盐岩储层孔隙结构参数渗透率模型有效性高,具有可推广性.
图5 双重介质孔渗模型与孔隙结构参数渗透率模型计算渗透率对比图

Fig 5 Comparison chart of permeability calculation between dual medium pore permeability model and pore structure parameter permeability model

4 结论

(1) 数字岩心技术可还原真实的孔隙空间结构特征,并计算得到诸多微观孔隙结构参数.将孔隙结构参数与相应孔隙类型占比乘积,并将其定义为权重孔隙结构参数,可提升孔隙结构参数与渗透率之间的相关性,对于研究复杂结构储层渗透率具有显著优势.
(2) 孔洞结构参数与对数渗透率函数关系表现为二次多项式,裂缝结构参数与对数渗透率函数关系表现为对数.计算多个孔隙结构参数并根据相关性从中优选平均孔径、平均孔喉比、平均裂缝开度、裂缝复杂度四个参数建立渗透率预测模型能达到更好的效果.
(3) 利用孔隙结构参数构建的渗透率预测模型相较于常规双重介质孔渗模型,渗透率预测精度提高约236.4%, 模型有效性高.且待判样品与回判样品计算相对误差接近,能满足研究区内深层碳酸盐岩储层评价的要求,该渗透率模型具备推广至其他碳酸盐岩储层进行渗透率评价的潜力.

感谢审稿专家提出的修改意见和编辑部的大力支持!

Fan Y C , Liu K Y , Yu L J , et al. Assessment of multi-scale pore structures and pore connectivity domains of marine shales by fractal dimensions and correlation lengths. Fuel. 2022, 330 125463

DOI

Hou J , Lin Y P , Zhao W Q , et al. Logging evaluation of Carboniferous carbonate reservoir in North Truwa Oilfield, Kazakhstan. Marine Origin Petroleum Geology. 2020, 27(1 103-112

Li X Y , Qin R B , Cao J J , et al. Method of connected porosity evaluation and quantitative permeability calculation for complex reservoirs. Oil Geophysical Prospecting. 2022, 57(2): 377-385 377-385, 245

Liu Q Q , Tang J , Shen W , et al. Petrophysical classification method and application of fracture-vuggy type dolomite reservoir in Tarim Basin. China Petroleum Exploration. 2021, 26(5): 132-139

National Energy Administration . SY/T 5386-2010 The regulations of proved reserves estimation for fractured oil and gas reservoir Beijing Petroleum Industry Press 2010

Qian M , Zhou J , Xiang Z , et al. Research progress of porous material permeability prediction based on deep learning. Computer Integrated Manufacturing Systems. 2024, 30(3): 791-810

Ren J . Conventional logging evaluation method for carbonate fractured reservoir. Lithologic Reservoirs. 2020, 32(6): 129-137

Song Z Z , M Y , Zhao L B , et al. Fractal-based permeability prediction model for tight sandstone. Acta Sedimentologica Sinica. 2023, 41(6): 1847-1858

Tan K J , Zhao J G , Teng T Y , et al. Research on effectiveness of effective pore aspect ratio based on pore-throat characteristics of digital core. Chinese J. Geophys.. 2022, 65(11): 4433-4447

DOI

Tan M J . Digital rock physics and its progress in log interpretation. Well Logging Technology. 2022, 46(4): 371-379

Wang D , Zhao J , Wang L , et al. Calculating reservoir's microcosmic parameters by NMR logging data. Petrochemical Industry Application. 2014, 33(10): 81-85

Wang J J , Hu Y , Liu Y C , et al. Identification and characterization of multi-scale pores, vugs and fractures in carbonate reservoirs: A case study of the Middle Permian Qixia dolomite reservoirs in the Shuangyushi Structure of the northwestern Sichuan Basin. Natural Gas Industry. 2020, 40(3): 48-57

Wang M , Dong Y , Cai J , et al. Method for reservoir permeability prediction and qualityevaluation based on BP neural network. Progress in Geophysics. 2023, 38(1): 321-327

DOI

Wang W , Song Y J , Huang J , et al. Fractal characteristics of pore-throat structure in tight sandstones using high-pressure mercury intrusion porosimetry. Bulletin of Geological Science and Technology. 2021, 40(4): 22-30 22-30, 48

Wang W , Xu Z L , Li W Z , et al. Determination of permeability in tight sandstone reservoirs using Gaussian process regression and high-pressure porosimetry: A case study of the Member-7 of Yanchang Formation in the Jiyuan area of the Ordos Basin. Bulletin of Geological Science and Technology. 2022, 41(4): 30-37 30-37, 45

Zhao J E , Ge X M , Xiao Y F , et al. Forward simulation and characteristic analysis on the low field NMR transverse relaxation response of fractured shale reservoir. Chinese J. Geophys.. 2023, 66(6): 2621-2630

DOI

Zhao L X , Pu Y . Logging Evaluation Technology for Carbonate Reservoirs Beijing Petroleum Industry Press 1994

国家能源局 . SY/T 5386-2010裂缝性油(气)藏探明储量计算细则 北京 石油工业出版社 2010

, 雅平 , 文琪 , et al. 哈萨克斯坦北特鲁瓦油田石炭系碳酸盐岩储层测井评价. 海相油气地质. 2022, 27(1): 103-112

雄炎 , 瑞宝 , 景记 , et al. 复杂储层连通孔隙度评价与渗透率定量计算方法. 石油地球物理勘探. 2022, 57(2): 377-385 377-385, 245

沁园 , , , et al. 塔里木盆地缝洞型白云岩储层测井细分方法与应用. 中国石油勘探. 2021, 26(5): 132-139

, , , et al. 基于深度学习的多孔材料渗透率预测研究进展. 计算机集成制造系统. 2024, 30(3): 791-810

. 碳酸盐岩裂缝性储层常规测井评价方法. 岩性油气藏. 2020, 32(6): 129-137

泽章 , 明阳 , 力彬 , et al. 基于分形理论的致密砂岩渗透率预测模型. 沉积学报. 2023, 41(6): 1847-1858

开俊 , 建国 , 团余 , et al. 基于数字岩心孔喉特征的等效孔隙纵横比有效性研究. 地球物理学报. 2022, 65(11): 4433-4447

DOI

茂金 . 数字岩石物理学及测井解释应用概论. 测井技术. 2022, 46(4): 371-379

, , , et al. 运用核磁共振测井资料计算储层微观参数. 石油化工应用. 2014, 33(10): 81-85

俊杰 , , 义成 , et al. 碳酸盐岩储层多尺度孔洞缝的识别与表征——以川西北双鱼石构造中二叠统栖霞组白云岩储层为例. 天然气工业. 2020, 40(3): 48-57

, , , et al. 基于BP神经网络的储层渗透率预测及质量评价方法. 地球物理学进展. 2023, 38(1): 321-327

DOI

, 渊娟 , , et al. 利用高压压汞实验研究致密砂岩孔喉结构分形特征. 地质科技通报. 2021, 40(4): 22-30 22-30, 48

, 兆林 , 维振 , et al. 基于高斯过程回归和高压压汞测定致密砂岩渗透率: 以鄂尔多斯盆地长7段致密砂岩为例. 地质科技通报. 2022, 41(4): 30-37 30-37, 45

吉儿 , 新民 , 玉峰 , et al. 含裂缝页岩核磁共振横向弛豫响应正演模拟及T2谱特征分析. 地球物理学报. 2023, 66(6): 2621-2630

DOI

良孝 , . 碳酸盐岩储层测井评价技术 北京 石油工业出版社 1994

Outlines

/