Home Journals Progress in Geophysics
Progress in Geophysics

Abbreviation (ISO4): Prog Geophy      Editor in chief:

About  /  Aim & scope  /  Editorial board  /  Indexed  /  Contact  / 

Study on the shielding effect of high-velocity overlying layer to transmission waves

  • JiaNan LI ,
  • ChengYu SUN , * ,
  • HongYu HUANG ,
  • Tong LIU ,
  • RuiQian CAI
Expand
  • School of Geoscience, China University of Petroleum (East China), Qingdao 266580, China

Received date: 2023-09-11

  Online published: 2025-01-14

Copyright

Copyright ©2024 Progress in Geophysics. All rights reserved.

Abstract

The current widely used reflective seismic exploration mostly utilizes the target layer information in the reflected seismic data for subsequent processing and interpretation. When the target formation is covered by high-velocity layer, it will affect the propagation of down-going seismic waves excited by the source and up-going seismic waves carrying information about the target layer. In order to study the shielding effect of high-velocity layer on the propagation of seismic wave energy, this paper derives an implicit expression for the transmission coefficient of horizontal layered media through the transfer matrix based on the reflectivity method. It is used to analyze the effects of strata velocity, thickness and longitudinal wave incidence angle on the shielding effect of high-velocity overburden layers. In addition, this paper also analyzes the applicability of the Zoeppritz equation and the reflectivity method, explaining the limitations of the Zoeppritz equation in studying horizontal layered media. Finally, the transmission wave records containing the high-velocity cover layer model were obtained through wavefield forward modeling to verify the study of the shielding effect of the high-velocity cover layer in this paper. According to the study, there are various reasons for the changes in seismic wave shielding effect caused by high-velocity cover layer. It is found that when the longitudinal wave is incident, the high-velocity layer will generally produce shielding effect on the transmission waves, and the shielding effect will change with the changes of velocity, thickness, and incident angle. Therefore, it is necessary to summarize based on different geological parameters. In addition to the influence of formation parameters and seismic wave parameters on the shielding effect, the contribution of the filtering characteristics of the formation to the shielding effect should also be considered. Therefore, this paper believes that in practical exploration, it is necessary to integrate multiple technologies to weaken the shielding effect at different stages, in order to improve imaging quality and improve interpretation accuracy.

Cite this article

JiaNan LI , ChengYu SUN , HongYu HUANG , Tong LIU , RuiQian CAI . Study on the shielding effect of high-velocity overlying layer to transmission waves[J]. Progress in Geophysics, 2024 , 39(6) : 2232 -2241 . DOI: 10.6038/pg2024HH0293

0 引言

高速地层与下伏地层的分界面会形成强反射界面,使透射波能量减弱,这种现象被称为上覆高速地层的屏蔽效应.在对深层进行地震勘探时,目标地层上方难以避免地会存在高速地层,这种情况会严重阻碍入射地震波能量的下传,并对后续处理与解释工作产生影响.
为了克服上覆高速地层带来的屏蔽影响,Haugen和Yu(1998)证明了通过广角反射地震(Wide Aperture Reflection, WAR)能够改善火成岩岩下的成像质量.之后在广角地震的基础上发展出了WARRP法(Wide Aperture Reflection and Refraction Profiling),该方法利用广角折射波和反射波的信息为强阻抗地层覆盖下的地层提供详细的速度-深度模型,并将WARRP法与常规的三维地震成像结合,使高速覆盖层下的地层成像更加精细(Makris et al., 1999Epili et al., 1999).由于广角反射波具有:能量比非广角反射波强、频率比非广角反射波低等优点,广角地震采集逐渐成为应对高速覆盖层发育地区能量屏蔽问题的策略(王志等,2003).在国内,王志等(2003)研究了广角地震中反射波场的特征,并讨论了影响广角反射的几个主要因素.胡中平等(2004)对高速屏蔽层下的广角地震波场进行分析和成像,验证了广角地震勘探可以应用到我国南方玄武岩地层的油气勘探工作中.在处理方面,陈杰和童明胜(2022)针对高速屏蔽区域提出了一套振幅补偿与噪声压制的地震资料处理流程,有效提高了高速屏蔽层下的目标地层的横向连续性.明君等(2022)则利用正演模拟研究了高速底砾岩的振幅屏蔽特性,并提出了“增加照明范围”和“Q-RTM”的技术.
国内对高速覆盖层屏蔽效应的定量研究也开展了许多工作.王建花等(2003)基于Zoeppritz方程对我国几个典型区域的能量屏蔽作用进行了理论分析,并从球面波的角度提出能量透过窗的概念,用以研究能量扩散透射规律.李可恩等(2006)根据Snell定律和Zoeppritz方程讨论了地震波传播至地层分界面时能量与方位角的关系,为利用大偏移距地震采集系统削弱高速地层屏蔽效应提供了理论指导.莫亮台等(2008)依据Zoeppritz方程研究了反射波能量与入射角的关系,验证了地震反射波能量在入射角接近临界角处突然增强的特点.徐文君等(2006)利用Zoeppritz方程模拟验证了转换波在探测高速屏蔽层下伏地层界面信息的优势.韩站一等(2009)根据Zoeppritz方程讨论了火成岩下伏地层中地震波透射系数与地震波入射角、界面上下纵横波速度比之间的关系,同时利用反射率法合成不同主频的地震道集,证明了火成岩非均质性对透射能量的衰减作用.
前人对高速覆盖层屏蔽效应的理论研究主要通过求解Zoeppritz方程以获得单一界面的反射系数来进行,但是Zoeppritz方程的理论前提使其在水平层状介质中的应用受到局限(徐海明,1990Liu et al., 2016),无法考虑地层厚度、层间多次波、透射损失等对反射透射能量的影响.为此,本文采用另一种研究地震波能量分配的经典动力学方法——反射率法对高速覆盖层屏蔽效应进行研究.该方法天然适用于水平层状介质假设,同时相比于Zoeppritz方程其最大的优势就是包含了多次波以及透射损失等动力学信息(Thomson,1950Fuchs and Müller,1971Kennett and Kerry, 1979),并且自Thomson提出后,前人不断改进这种算法以提高其运算效率.目前反射率法广泛用于波场正演、AVO分析、叠前反演、全波形反演等方向(Fryer,1980孙成禹等,2007黄饶等,2012陈康等,2013张营革,2014姚振岸,2018刘立彬等,2019).
本文基于反射率法中的传递矩阵思路推导出包含透射系数的隐式复方程组;并通过对比Zoeppritz方程法与反射率法的不同,说明利用反射率法研究地震波在层状模型中能量分配问题时所具备的优点;然后利用几种不同地层参数的模型开展测试,计算出地震波在层状模型中传播的透射系数曲线,对高速覆盖层的屏蔽效应规律开展研究;最后利用波场正演得到含高速覆盖层模型的透射波记录,用以验证得到的相关规律,以此对实际勘探提供理论指导.

1 层状介质的透射系数

在研究入射波与各透射波的能量分配关系时,一般采用以位移位振幅比表示的透射系数对地震波能量分配进行表示,因此在层状介质的研究中,反射率法也沿用这一方法表述能量分配关系.反射率法将入射波、反射波和透射波的传播形式统一为上、下行波的传播形式,并利用视慢度不变的特点,简化视波数的计算;根据弹性界面的应力位移连续条件,得到由层状介质顶界面到底界面的层传递矩阵,根据应力位移与位函数振幅的数学关系,能够得到层状介质中的透射系数.

1.1 层传递矩阵

建立如图 1所示的第i层模型,其中A表示P波位移位振幅,B表示S波位移位振幅,下标1表示下行波,下标2表示上行波,上标i表示第i层.第i层的P波速度、S波速度、密度和厚度分别为vPvSρih.设P波与法线的夹角为αi,S波与法线的夹角为βi.
图1 第i层波场模型

Fig 1 The i layer wave field model

根据所建立的坐标系,第i层各个波的位函数为:
$\left\{\begin{array}{l}\varphi^{(i)}=A_1^{(i)} \mathrm{e}^{\mathrm{j}[\omega t-(\xi x+d z)]}+A_2^{(i)} \mathrm{e}^{\mathrm{j}[\omega t-(\xi x-d z)]} \\\psi^{(i)}=B_1^{(i)} \mathrm{e}^{\mathrm{j}[\omega t-(\xi x+s z)]}+B_2^{(i)} \mathrm{e}^{\mathrm{j}[\omega t-(\xi x-s z)]}\end{array}, \right.$
其中:
$\begin{aligned}& \left\{\begin{array}{l}k_{\mathrm{P}}^2=\xi^2+d^2=\frac{\omega^2}{v_{\mathrm{P}}^2} \\k_{\mathrm{S}}^2=\xi^2+s^2=\frac{\omega^2}{v_{\mathrm{S}}^2}\end{array}\right. \\& \xi=k_{\mathrm{P}} \sin \alpha=k_S \sin \beta, \end{aligned}$
式中,φ(i)表示P波的位函数;ψ(i)表示S波的位函数;ω为角频率;t为地震波传播时间;ξ为水平波数;ds分别表示P波的垂直波数和S波的垂直波数;kP为P波的波数;kS为S波的波数;j为虚部单位.
将第i层底界面的位移和应力合为列向量[u(i), w(i), σzz(i), τzx(i)]T.根据位移、应力与位函数的数学关系得到:
$\left[\begin{array}{c}u^{(i)} \\w^{(i)} \\\sigma_{z z}^{(i)} \\\tau_{z x}^{(i)}\end{array}\right]=\boldsymbol{F}^{(i)}\left[\begin{array}{l}A_1^{(i)}+A_2^{(i)} \\A_1^{(i)}-A_2^{(i)} \\B_1^{(i)}-B_2^{(i)} \\B_1^{(i)}+B_2^{(i)}\end{array}\right] \mathrm{e}^{\mathrm{j}(\omega t-\xi x)}, $
式中的F(i)是一个4×4矩阵,具体形式为:
$ \boldsymbol{F}^{(i)}=\left[\begin{array}{cccc}-\mathrm{j} \xi \cos P & -\xi \sin P & \mathrm{j} s \cos Q & s \sin Q \\-d \sin P & -\mathrm{j} d \cos P & -\xi \sin Q & -\mathrm{j} \xi \cos Q \\-\left(\lambda k_{\mathrm{p}}^2+2 \mu d^2\right) \cos P & \mathrm{j}\left(\lambda k_{\mathrm{p}}^2+2 \mu d^2\right) \sin P & -2 \mu \xi s \cos Q & 2 \mathrm{j} \mu \xi s \sin Q \\2 \mathrm{j} \mu d \xi \sin P & -2 \mu d \xi \cos P & -\mathrm{j} \mu\left(s^2-\xi^2\right) \sin Q & \mu\left(s^2-\xi^2\right) \cos Q\end{array}\right], $
其中,P=dhQ=sh.
根据弹性界面的位移应力连续条件,当h=0时,第i层顶界面的位移、应力应等于第i-1层底界面的位移、应力,即:
$\left[\begin{array}{c}u^{(i-1)} \\w^{(i-1)} \\\sigma_{z z}^{(i-1)} \\\boldsymbol{\tau}_{z x}^{(i-1)}\end{array}\right]=\boldsymbol{F}_0^{(i)}\left[\begin{array}{c}A_1^{(i)}+A_2^{(i)} \\A_1^{(i)}-A_2^{(i)} \\B_1^{(i)}-B_2^{(i)} \\B_1^{(i)}+B_2^{(i)}\end{array}\right] \mathrm{e}^{\mathrm{j}(\omega t-\xi x)}, $
对式(3)的F(i)进行逆运算得到:
$\left[\begin{array}{l}A_1^{(i)}+A_2^{(i)} \\A_1^{(i)}-A_2^{(i)} \\B_1^{(i)}-B_2^{(i)} \\B_1^{(i)}+B_2^{(i)}\end{array}\right] \mathrm{e}^{\mathrm{j}(\omega t-\xi x)}=\left(\boldsymbol{F}_0^{(i)}\right)^{-1}\left[\begin{array}{c}u^{(i-1)} \\w^{(i-1)} \\\sigma_{z z}^{(i-1)} \\\tau_{z x}^{(i-1)}\end{array}\right], $
此时将式(2)与式(4)建立递推关系,并令$\boldsymbol{G}^{(i)}=\boldsymbol{F}^{(i)}\left(\boldsymbol{F}_0^{(i)}\right)^{-1} $有:
$\left[\begin{array}{c}u^{(i)} \\w^{(i)} \\\sigma_{z z}^{(i)} \\\tau_{z x}^{(i)}\end{array}\right]=\boldsymbol{G}^{(i)}\left[\begin{array}{c}u^{(i-1)} \\w^{(i-1)} \\\sigma_{z z}^{(i-1)} \\\tau_{z x}^{(i-1)}\end{array}\right]$
由于G(i)代表了地震波在第i层中的传播特征,因此将G(i)称为第i层的层传递矩阵.

1.2 地层的透射系数

由弹性界面的连续性条件可知,层矩阵具有传递性,故有关系式:
$\left[\begin{array}{l}u^{(n)} \\w^{(n)} \\\sigma_{z z}^{(n)} \\\tau_{z x}^{(n)}\end{array}\right]\left.\right|_{z=H}=\boldsymbol{M}\left[\begin{array}{c}u^{(1)} \\w^{(1)} \\\sigma_{z z}^{(1)} \\\boldsymbol{\tau}_{z x}^{(1)}\end{array}\right]\left.\right|_{z=0},$
其中,$ \boldsymbol{M}=\prod_{m=n-1}^2 \boldsymbol{G}^{(m)}, H=\sum\limits_{i=2}^{n-1} h_i$hi为第i层厚度.
考虑到仅有下行纵波自顶层介质入射,且底层半空间中不存在上行波,如图 2所示,则A2(n)=B2(n)=0,B1(1)=0.所以根据式(2)中应力、位移与位函数的数学关系,式(6)可改写为:
$\boldsymbol{F}_{\mathrm{H}}^{(n)}\left[\begin{array}{l}A_1^{(n)} \\A_1^{(n)} \\B_1^{(n)} \\B_1^{(n)}\end{array}\right]=\boldsymbol{M} \boldsymbol{F}_0^{(1)}\left[\begin{array}{c}A_1^{(1)}+A_2^{(1)} \\A_1^{(1)}-A_2^{(1)} \\-B_2^{(1)} \\B_2^{(1)}\end{array}\right] .$
图2 仅有下行纵波入射时的层状模型

Fig 2 A layered medium model with only down-going longitudinal wave incidence

构造矩阵:
$\begin{aligned}& \boldsymbol{X}=\left[\begin{array}{llll}1 & 0 & 0 & 0 \\1 & 0 & 0 & 0 \\0 & 1 & 0 & 0 \\0 & 1 & 0 & 0\end{array}\right], \boldsymbol{Y}=\left[\begin{array}{cccc}0 & 0 & -1 & 0 \\0 & 0 & 1 & 0 \\0 & 0 & 0 & 1 \\0 & 0 & 0 & -1\end{array}\right], \\& \boldsymbol{l}=\left[\begin{array}{l}1 \\1 \\0 \\0\end{array}\right], \end{aligned}$
令:
$\left\{\begin{array}{l}\boldsymbol{P}=\boldsymbol{F}_{\mathrm{H}}^{(n)} \boldsymbol{X}+\boldsymbol{M} \boldsymbol{F}_0^{(1)} \boldsymbol{Y} \\\boldsymbol{A}=\boldsymbol{M} \boldsymbol{F}_0^{(1)} \boldsymbol{l} \\R_{\mathrm{PP}}=A_2^{(1)}, R_{\mathrm{PS}}=B_2^{(1)}, T_{\mathrm{PP}}=A_1^{(n)}, T_{\mathrm{PS}}=B_1^{(n)}\end{array}, \right.$
将式(8)和式(9)代入式(7),整理后可以得到:
$\boldsymbol{P}\left[\begin{array}{c}T_{P P} \\T_{P S} \\R_{P P} \\R_{P S}\end{array}\right]=\boldsymbol{A}.$
对式(10)进行求解,就能得到地震波在该层状介质中的透射系数TPPTPS和反射系数RPPRPS.其中TPPTPS表征上表面入射的P波在穿透地层后的下传P波和S波与入射波的位移位振幅之比.这种利用层传递矩阵研究反射透射问题的方法即为反射率法.

1.3 与单界面透射系数的对比

Zoeppritz方程通过求解地震波在地层界面上的反射透射系数来揭示地震波入射至地层界面时反射波、透射波与入射波之间的能量关系.但由于Zoeppritz方程没有考虑到地层的厚度、地层顶底界面透射波场的叠加以及地层内的多次反射问题,所以仅仅利用Zoeppritz方程来研究上覆高速层的屏蔽效应是不够准确的.
图 3所示,虽然使用Zoeppritz方程求解单一弹性界面时的地震波能量分配问题较为方便,但是其忽略了地层厚度对地震波能量分配带来的影响.Zoeppritz方程认为发生反射、透射的地层界面到其他界面的距离足够远使得其他界面不会对地震波的反射、透射造成影响(李子坤,2021).但地层厚度都是有限的,地层顶、底界面总是会对地震波能量传播产生综合影响,尤其当地层中存在高速薄层时会产生层间多次波,此时若仍然使用Zoeppritz方程,则由层间多次波产生的调谐干涉将无法忽略.另外,层状介质中产生的波场复杂,若使用Zoeppritz方程会增加计算难度.如图 4所示,在仅考虑三层介质且不存在多次波的情况下,其透射波场有PPP、PPS、PSP和PSS 4种情况.
图3 纵波入射至阻抗差界面的能量分配

Fig 3 Energy distribution of longitudinal wave incident on impendence difference interface

图4 三层介质中的透射波场

Fig 4 Transmission wave field in a three-layer medium

反射率法从地震波位移位函数入手,将波场统一为上、下行波的形式,避免了纵横波解耦.同时反射率法在层传递矩阵中引入角频率因子,将地层厚度因素包含其中,使反射率法考虑到了层间多次波与调谐干涉效应的动力学信息,令反射率法具备波场全面的优点.由于推导出了带有地层信息和地震波信息的层矩阵,所以层矩阵可作为传递矩阵进行层间递推,从数学角度简化了地震波在层状介质中的能量传播表示,即只需要知道各地层参数和入射波参数便可以得到入射波与到达目标层地震波的相对能量大小.因此,在研究层状介质时,反射率法更具优势.

2 高速覆盖层屏蔽效应的定量研究

由于反射率法得到的透射系数是关于地层信息和地震波信息的函数,因此分别改变高速覆盖层的速度、厚度、地震波入射角度等参数,可以得到透射系数振幅曲线随参数变化的特点.另外,层矩阵中包含角频率信息,所以该方法也可用于研究高速覆盖层对透射波的滤波作用.由于本文旨在通过目标地层所接收到的透射波能量来研究高速覆盖层的地震波屏蔽效应,所以选用透射系数TPPTPS的振幅曲线作为衡量高速覆盖层屏蔽效应强弱的指标.

2.1 覆盖层速度的影响

建立一个三层水平地层模型(如图 5所示),假设平面纵波以10°入射至第一层与第二层的界面,其中第一层为低速层(Low-Velocity Layer,简称LVL)、第二层为高速地层(High-Velocity Layer,简称HVL),第三层为目标层(Target Layer,简称TL),地层介质为泊松体,即满足每层的横波速度与纵波速度具有$v_{\mathrm{s}}=v_{\mathrm{P}} / \sqrt{3} $的关系.vP1vP2vP3分别代表LVL、HVL、TL的纵波速度,其中vP1为1800 m/s,vP3为2500 m/s,vP2分别设置为2000、4000、5000、6000 m/s. ρ1ρ2ρ3分别代表LVL、HVL、TL的密度,均为2.2 g/cm3.设定地震波频带为0.1至100 Hz.考虑到层间多次波的影响,令高速覆盖层为5 m薄层.
图5 含有高速覆盖层的三层水平层状模型

Fig 5 A three-layer horizontal layered model with high-velocity cover layer

通过反射率法计算得到图 6图 6aTPP振幅曲线,图 6bTPS振幅曲线.其中模型第二层纵波速度为2000 m/s的曲线用于对比不含高速覆盖层和含高速覆盖层的曲线变化.经过对比发现,若地层不含高速覆盖层,透射至目标层的纵波能量有所增强,但会削弱透射转换波的能量;若地层中含有高速覆盖层,则随着高速覆盖层的速度增大,对透射纵波的屏蔽效应加强,尤其是高频范围的透射纵波,但反之也增强了透射转换波的能量.然而根据纵坐标的变化可以看出,TPP振幅变化幅度明显要大于TPS振幅变化幅度,这也说明虽然高速覆盖层的速度增大对透射转换波起到了增强作用,但总体而言,高速情况仍然对透射波产生了较强的屏蔽作用.
图6 透射系数振幅随高速覆盖层速度变化曲线

(a) TPP振幅曲线;(b) TPS振幅曲线.

Fig 6 Transmission coefficient amplitude variation curve with high-velocity cover layer velocity

(a) Amplitude curve of TPP; (b) Amplitude curve of TPS.

2.2 入射角度的影响

本节对入射角变化对高速覆盖层屏蔽效应的影响进行研究.模型参数仅改变平面纵波的入射角度分别为0°、5°、10°、15°、20°;vP2设置为4000 m/s.其余参数均与2.1节保持一致.经过计算得到图 7所示的透射系数振幅随入射角变化曲线.
图7 透射系数振幅随入射角变化曲线

(a) TPP振幅曲线;(b) TPS振幅曲线.

Fig 7 Transmission coefficient amplitude variation curve with incident angle

(a) Amplitude curve of TPP; (b) Amplitude curve of TPS.

图 7aTPP振幅曲线,图 7bTPS振幅曲线.由图 7a的对比发现,随着入射角的增大,高速覆盖层的屏蔽效应减弱,透射纵波的能量不断增强.虽然此时高速覆盖层的屏蔽效应会因为入射角增大的原因而被削弱,但是需要注意一旦入射角大于临界角后将会受到高速覆盖层更为强烈的屏蔽效应,这是因为平面波大于临界角后发生全反射,即使会在入射界面以下产生不均匀波,这种不均匀波的振幅也会随着深度的增加产生指数型衰减,因此本文不对入射角大于临界角时的情况进行定量分析.
而对于图 7bTPS振幅曲线,由于0°入射时无转换波,因此透射系数始终为0,且随着入射角的增大,高速覆盖层对透射转换波的屏蔽效应不断减弱.需要注意,与透射纵波的变化特征相反,高频范围的透射转换波会因为入射角的增大能量更强,这也为广角地震和多波勘探用于克服高速覆盖层的屏蔽效应提供了理论指导.

2.3 覆盖层厚度的影响和滤波特征

在推导层矩阵时,曾令P=dhQ=sh.由于ds代表垂直波数,所以将PQ展开可以得到:
$P=h k_{\mathrm{P}} \cos \alpha=\frac{\omega h}{v_{\mathrm{P}}} \cos \alpha, $
$Q=h k_{\mathrm{S}} \cos \beta=\frac{\omega h}{v_S} \cos \beta .$
由于ω·h体现了厚层使用长波长地震波等效于薄层使用短波长地震波,所以在反射率法当中,一般将ω·h当作一个复合变量进行研究.但是本节需要研究高速覆盖层层的滤波效应,所以将这两个变量分开进行研究.
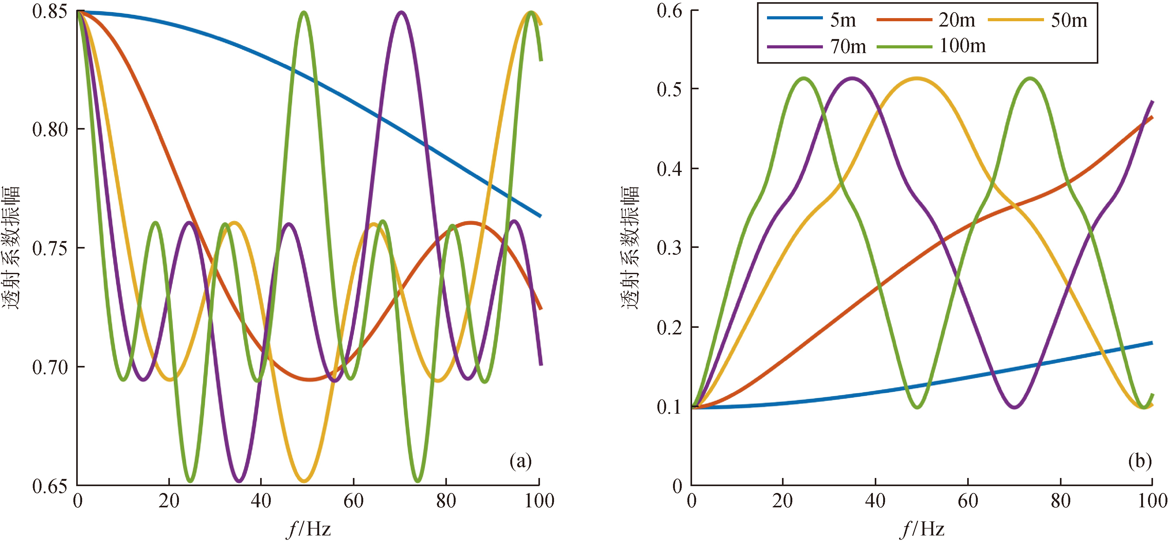
本节所采用的模型参数在2.1节的基础上进行修改,将vP2设置为4000 m/s,平面纵波的入射角度为15°, 高速覆盖层厚度分别设置为5、20、50、70、100 m,其余参数与2.1节的设置保持一致.
图 8所示,无论是透射纵波还是透射转换波,想要单纯地研究透射系数大小随厚度变化的规律较为困难,但由于地层对地震波具有滤波效应,因此可以从地层滤波角度分析.图 8a表示TPP振幅曲线,图 8b表示TPS振幅曲线.经过对比发现,当高速覆盖层为薄层(比如5 m)时,对透射波的滤波特征不够明显,但是随着厚度的增加,透射系数振幅曲线变化开始呈周期性变化,滤波特征开始显示,且厚度越大,透射系数振幅曲线的变化周期越小,在低频范围内的振幅变化信息越丰富.以高速覆盖层厚度为70 m和100 m的透射系数曲线为例,虽然这两条曲线的变化周期不同,但是变化趋势是一致的,这体现出了反射率法中ω·h作为复合变量的特点.
图8 透射系数振幅随高速覆盖层厚度变化曲线

(a) TPP振幅曲线;(b) TPS振幅曲线.

Fig 8 Transmission coefficient amplitude variation curve with high-velocity cover layer thickness

(a) Amplitude curve of TPP; (b) Amplitude curve of TPS.

3 数值模拟

本文利用反射率法对高速覆盖层屏蔽效应进行了定量研究,但由于只通过透射系数曲线变化进行分析,可能会与实际资料情况存在差异,因此本节利用数值计算对透射波场进行模拟,以验证上文得到的结论.数值计算采用时间二阶、空间十二阶交错网格有限差分法模拟弹性波波场,水平和垂直方向的网格长度均为2 m.设置四层速度模型,其中第二层为高速覆盖层,第四层为均匀半空间,震源采用纵波震源,雷克子波主频为35 Hz.检波器放置在第三层底面,总共500道记录.地震记录为1 ms采样,采样时长为0.8 s.将模型的第一、三、四层纵波速度设定为1800、2000、2200 m/s,第二层高速覆盖层纵波速度为4000、5500、7500 m/s,介质为泊松体,密度均为2.2 g/cm3,第一、二、三层厚度为300、200、300 m.
通过有限差分法正演得到图 9,其中(a)、(b)、(c)的高速覆盖层速度为4000、5500、7500 m/s.以图 9a为例,该记录从上至下可以看到共有五条较为明显的同相轴,通过走时计算和0°入射角无转换波的验证后,由上至下分别以PPP、PSP、PPPPP、PPS、PSS命名.除了PPPPP中包含层间多次反射外,以PSS为例,其代表地震波在第一层为P波传播,然后透射至第二层形成透射S波,最后透射到第三层并以透射S波形式传播;而PPPPP指的是地震波在第一层为P波传播,透射至第二层形成透射P波,然后在第二层与第三层的界面形成反射P波并在第二层传播,然后又在第一层与第二层的界面形成反射P波在第二层传播,最后透射至第三层形成透射P波.
图9 透射波波场记录正演

(a) 4000 m/s;(b) 5500 m/s;(c) 7500 m/s.

Fig 9 Forward modeling of transmission wave field records

(a) 4000 m/s;(b) 5500 m/s;(c) 7500 m/s.

单独提取图 9的第250道记录,如图 10所示.这一道记录由于与震源位于同一道,因此不产生转换波,因此可以单独用于分析高速覆盖层对透射纵波的屏蔽效应.以图 9a的4000 m/s记录为例,0.3443 s到0.4261 s是PPP信号,0.4461 s到0.4987 s是PPPPP信号,能够看出当高速覆盖层速度增大后,PPP信号振幅明显减小,说明高速覆盖层对纵波产生了较强的屏蔽效应,但由于速度增大后,纵波在高速层的走时缩短,导致一部分在第二、三层界面上产生的反射纵波与一次透射纵波形成干涉,反而增强了PPPPP信号振幅.
图10 第250道透射波信号

Fig 10 250th transmission wave signal

通过图 9的对比,当高速覆盖层速度增大时,若在第二层形成透射S波并一次到达检波器位置的同相轴振幅明显增强,如PSP、PSS,尤其在靠近第250道(0°角入射)时,同相轴振幅变化更易于区分,这与2.2节中的结论一致.此外在远道接收处,如第1道和第500道,能够明显看出PPP同相轴振幅能量没有近道接收强,PSP同相轴和PSS同相轴的远道接收反而比近道接收强,这也印证了2.3节的理论分析.

4 结论与认识

本文推导了适用于水平层状介质的反射率法理论,得到了纵波入射时的反射透射系数隐式表达式,对比了Zoeppritz方程与反射率法在应用到层状介质中的优劣势;然后设置三层模型,通过调整高速覆盖层速度、厚度和纵波入射角度得到相应的透射系数振幅变化曲线,并分析这些因素对高速覆盖层屏蔽效应的影响;最后利用有限差分正演对含有高速覆盖层的速度模型进行正演,以验证所进行的理论分析.通过研究,得到以下结论:
(1) 高速覆盖层速度越大,会加强对透射纵波的屏蔽效应,但会削弱对透射转换波的屏蔽效应,但是总体而言高速情况仍然会对透射波产生较强的屏蔽效应.
(2) 入射角增大会削弱高速覆盖层对透射波的屏蔽效应;但当入射角大于临界角后,由于全反射和不均匀波的特点,会使高速覆盖层的屏蔽效应增强.
(3) 高速覆盖层随着层厚的增加对透射波产生了滤波效应,并且层厚越大,透射系数的周期性增强,在低频范围内产生了更多的振幅变化信息.
(4) 在研究削弱高速覆盖层屏蔽效应的采集方案时,不能单一地考虑某一种因素的改善效果,而应该综合考虑几种因素的效果.这也启示在野外地震采集中,可以合理选择采集技术,将低频震源激发、多波技术及广角采集技术综合运用,以提高穿透高速覆盖层的透射波能量,改善成像效果和后续解释的准确性.

感谢审稿专家提出的修改意见和编辑部的大力支持!

Chen J , Tong M S . Seismic data processing technology of thick limestone shielding area in the north of Oriente basin. Computing Techniques for Geophysical and Geochemical Exploration. 2022, 44(3 277 285

DOI

Chen K , Wu G C , Yin X Y , et al. The modeling based on the reflectivity method in TTI media. Oil Geophysical Prospecting. 2013, 48(5): 717-727

DOI

Fryer G J . A slowness approach to the reflectivity method of seismogram synthesis. Geophysical Journal of the Royal Astronomical Society. 1980, 63(3): 747-758

DOI

Fuchs K , Müller G . Computation of synthetic seismograms with the reflectivity method and comparison with observations. Geophysical Journal International. 1971, 23(4): 417-433

DOI

Han Z Y , Shang X M , Sun C Y , et al. Study on seismic reflection wave field characteristics of formations below igneous rock. Geophysical Prospecting for Petroleum. 2009, 48(3): 226-231

Hu Z P , Guan L P , Gu L X , et al. Wide angle seismic wave field analysis and imaging method below the high velocity shield layers. Chinese Journal of Geophysics. 2004, 47(1): 88-94

DOI

Huang R , Zhang Y M , Liu Z B . The effect of seismic converted wave on pre-stack simultaneous inversion. Progress in Geophysics. 2012, 27(2): 619-625

DOI

Kennett B L N , Kerry N J . Seismic waves in a stratified half space. Geophysical Journal of the Royal Astronomical Society. 1979, 57(3): 557-583

DOI

Li K E , Xiong X J , Yang J . Seismic acquisition analysis in the area of high velocity shielding layers. Natural Gas Geoscience. 2006, 17(4): 527-531

DOI

Liu H X , Li J Y , Chen X H , et al. Amplitude variation with offset inversion using the reflectivity method. Geophysics. 2016, 81(4): R185-R195

DOI

Liu L B , Wang Y G , Sun C Y . Thin inter-bed AVO characteristics analysis based on forward model. Oil Geophysical Prospecting. 2019, 54(6): 1246-1253

DOI

Ming J , Peng G , Wang J L . Analysis and compensation of amplitude shielding characteristics of high-velocity basal conglomerate based on forward modeling. Geophysical Prospecting for Petroleum. 2022, 61(6): 1065-1076

DOI

Mo L T , Tang D L , Gao J L . High velocity shielding layer underside coal seam reflection wave energy forward modeling. Coal Geology of China. 2008, 20(S1): 77-78 77-78, 86

DOI

Sun C Y , Wan X J , Ni C K . Forward modeling of reflected wavefield from strata with weakly bonded interfaces. Geophysical Prospecting for Petroleum. 2007, 46(5): 425-432

DOI

Thomson W T . Transmission of elastic waves through a stratified solid medium. Journal of Applied Physics. 1950, 21(2): 89-93

DOI

Wang J H , Li Q Z , Qiu R . Energy shielding action of shallow strong reflector. Oil Geophysical Prospecting. 2003, 38(6): 589-596 589-596, 602

DOI

Wang Z , He Z H , Huang D J , et al. The wave-field features researching of wide-angle reflection and the analyzing of forward modeling. Progress in Geophysics. 2003, 18(1): 116-121

DOI

Xu H M . Discussion on Knott's equations and Zoeppritz equations. Oil Geophysical Prospecting. 1990, 25(2): 224-238

Xu W J , Yu W H , Hu Z P . Feature and forward simulation of wide-angle reflection. Oil Geophysical Prospecting. 2006, 41(4): 390-395

DOI

Zhang Y G . The full-wave field simulation in saturated porous media using the reflectivity method. Progress in Geophysics. 2014, 29(3): 1369-1376

DOI

, 明胜 . 奥连特盆地北部厚层灰岩屏蔽区地震资料处理技术研究. 物探化探计算技术. 2022, 44(3): 277-285

DOI

, 国忱 , 兴耀 , et al. 基于反射率法的TTI介质正演模拟. 石油地球物理勘探. 2013, 48(5): 717-727

DOI

站一 , 新民 , 成禹 , et al. 火成岩下伏地层地震反射波场特征研究. 石油物探. 2009, 48(3): 226-231

中平 , 路平 , 连兴 , et al. 高速屏蔽层下广角地震波场分析及成像方法. 地球物理学报. 2004, 47(1): 88-94

DOI

, 益明 , 志斌 . 地震转换波对叠前同时反演的影响研究. 地球物理学进展. 2012, 27(2): 619-625

DOI

可恩 , 晓军 , . 高速屏蔽层下地震数据的采集. 天然气地球科学. 2006, 17(4): 527-531

DOI

立彬 , 延光 , 成禹 . 基于正演模型的砂泥岩薄互层AVO特征分析. 石油地球物理勘探. 2019, 54(6): 1246-1253

DOI

, , 建立 . 基于正演模拟的高速底砾岩振幅屏蔽特性分析及补偿. 石油物探. 2022, 61(6): 1065-1076

DOI

亮台 , 德林 , 久灵 . 高速屏蔽层下煤层反射波能量正演模拟. 中国煤炭地质. 2008, 20(S1): 77-78 77-78, 86

DOI

成禹 , 学娟 , 长宽 . 弱连接界面地层地震反射波场的正演方法. 石油物探. 2007, 46(5): 425-432

DOI

建花 , 庆忠 , . 浅层强反射界面的能量屏蔽作用. 石油地球物理勘探. 2003, 38(6): 589-596 589-596, 602

DOI

, 振华 , 德济 , et al. 广角反射波场特征研究及正演模拟分析. 地球物理学进展. 2003, 18(1): 116-121

DOI

海明 . 诺特方程组及佐普里兹方程组问题讨论. 石油地球物理勘探. 1990, 25(2): 224-238

文君 , 文辉 , 中平 . 广角反射波的特征及正演模拟. 石油地球物理勘探. 2006, 41(4): 390-395

DOI

营革 . 饱和流体多孔隙介质反射率法全波场模拟. 地球物理学进展. 2014, 29(3): 1369-1376

DOI

Outlines

/