Home Journals Progress in Geophysics
Progress in Geophysics

Abbreviation (ISO4): Prog Geophy      Editor in chief:

About  /  Aim & scope  /  Editorial board  /  Indexed  /  Contact  / 

Subway-induced soil stress wave fundamental characteristics research

  • QingZhao KONG , 1 ,
  • XiaoHan SANG 1 ,
  • Yang LI , 1, * ,
  • Xia YANG 1 ,
  • FuGang ZHU 2 ,
  • Lei HAN 2
Expand
  • 1 College of Civil Engineering, Tongji University, Shanghai 200092, China
  • 2 Zhejiang Sunny Innovation Optical Intelligence Technology Co., Ltd., Yuyao 315400, China

Received date: 2024-05-30

  Online published: 2025-01-14

Copyright

Copyright ©2024 Progress in Geophysics. All rights reserved.

Abstract

This study focuses on the propagation of vibrations generated during the operation of urban subway systems in the form of stress waves through the surrounding soil. The aim is to investigate and utilize the soil stress waves generated by subway vibrations for geological exploration around tunnels. The research begins by studying the propagation characteristics of stress waves generated by subway excitations in the soil to reveal their fundamental variations. Concrete slabs are excited using a shaker to simulate subway vibrations, and soil stress wave signal data are collected from different angles using a Laser Doppler Vibrometer(LDV) for analysis. The research findings indicate that the energy of soil stress wave signals exponentially attenuates with increasing distance from the vibration source, and higher excitation frequencies result in faster attenuation. In the direction perpendicular to the propagation of stress waves, the energy of the signals exhibits a characteristic normal distribution as the distance between measurement points and the central point increases. The arrival time of stress wave signals is extracted using the Akaike Information Criterion (AIC) method, and the wave velocity is calculated. It is observed that the stress wave velocity increases with higher excitation frequencies, indicating the dispersive nature of stress wave propagation in the soil. As the distance from the vibration source increases, the main frequency range of soil stress wave signals shifts towards lower frequencies, while the main frequency range of signals in the direction perpendicular to the signal propagation remains relatively consistent. The dominant stress waves that stably propagate to the ground are mainly low-frequency signals at 50 Hz, which can be used for detecting anomalies within the soil with a minimum scale of 0.6 m. Scanning of stress wave field maps on the surface of the soil using a LDV demonstrates that the energy of the wave field is concentrated near the surface of the soil. The scanned wave field maps visualize the propagation state of stress waves in real soil, and the obtained results can be used to validate computer simulation results. The findings of this study are of significant reference value for further exploration and utilization of soil stress waves generated by subway vibrations for geological exploration.

Cite this article

QingZhao KONG , XiaoHan SANG , Yang LI , Xia YANG , FuGang ZHU , Lei HAN . Subway-induced soil stress wave fundamental characteristics research[J]. Progress in Geophysics, 2024 , 39(6) : 2432 -2451 . DOI: 10.6038/pg2024II0231

0 引言

在城市建设发展过程中,浅层地表地质缺陷对城市地下和地面人员安全构成严重威胁;常见的地质缺陷种类包含空洞、断层、地下水和孤石等(Choi et al., 2020);采样物探技术查明城市浅层地表地质结构特征,对于城市地下空间建设、地质灾害评估等具有重要指导意义.然而,由于城市人口密集,环境噪声、地面振动和电磁干扰异常严重,传统依靠电场、磁场变化规律为物性探测原理的探测技术手段受仪器系统、数据采集方式和环境噪声等的制约和干扰,在城市复杂环境中的探测效果并不理想.对此,基于环境噪声开展地质探测的微动探测技术在适应城市复杂干扰环境方面表现出了良好的探测效果.
城市环境干扰噪声主要成分包含有体波、面波等,从能量角度而言,面波的能量占比最大.城市微动探测技术的核心原理便是通过提取环境天然噪声中的频散信息探究地质结构.Tian等(2022)利用空间自相关法提取观测站垂直分量信号的瑞利波频散曲线,并通过遗传算法反演获取到了层厚、横波速度、密度等地层参数,为地热资源的勘探提供了关键参数;Dinesh等(2010)利用微震测量方法评估了班加罗尔市土壤的共振频率,并通过剪切波速与土层厚度之间的关系获取了地下土层厚度信息;You等(2020)提出了一种基于扩展空间自相关法和快速模拟退火算法的视色散曲线提取和反演方法,并通过对三种地质模型的合成微震信号进行分析,成功证明了该方法可以准确描述地层厚度和深度等信息,表明MSM技术在城市地质物探领域是一项可靠的技术;Tian等(2019)通过采集的山东半岛微震数据获取了该地区的表层共振频率,通过H/V光谱比方法生成了该地区的沉积物层厚度图,为城市基础设施建设提供了重要的地质信息.
上述微震探测技术应用的领域主要集中于较深地层内部的探测研究,而利用微震技术对城市浅层地表空间开展探测研究和应用则更加符合实际工程的需求.Yan等(2023)利用城市地铁和汽车等运行过程中产生的环境噪声开展浅层地表探测研究,提出了一种等距线阵色散曲线提取方法,通过在目标函数中加入W/D-D信息对传统方法进行改进,成功绘制了地铁隧道上覆土层剖面,证明了利用车辆信号进行浅层地表探测侧可行性;Shao等(2022)利用分布式光纤声传感技术记录了城市交通噪声地震数据,并利用地震干涉法对数据进行重建,通过获取其频散曲线成功表征了近地表横波速度剖面特征;Wang等(2023)等采用环境噪声层析成像技术ANT,利用富含低频成分的环境噪声通过反演成像获取了地下空洞位置,证明了利用ANT技术对地下异常区域进行物探的可行性.
从当前微震探测技术利用的环境噪声震源种类来看,主要包括环境噪声和城市路面的汽车振动噪声,但这两类噪声的频率一般不超过15 Hz,对城市浅层地层的探测精度十分有限,且能量相对较小,有效穿透深度一般不超过50 m,信号的规律性较差,随机属性较强,导致信号后处理难度较大.与此同时,当前针对微震探测技术所利用的震源信号在土体内部的真实传播特性开展的相关基础性研究并不多见.这些问题均是导致采用微震技术对城市特定区域的浅层地表开展探测研究的瓶颈所在.
城市地铁在正常运行过程中,振动能量以应力波(也叫弹性波)的方式向四周传播.从利用城市天然应力波开展浅层地表地质缺陷探测研究的角度而言,地铁运行过程中通过振动形成的各种类型的应力波在传播过程中遇到地下障碍物后将会发生反射、透射和绕射等现象,信号的某些特征(频率、波速、能量等)也会随之发生变化,最终的应力波信号本身携带了大量浅层地表的地质信息.若能采集并分析这些携带地质信息的土体应力波信号,通过对比完整地质条件和缺陷地质条件下应力波信号某些差异属性或特征,则有可能通过这些差异判断出城市浅层地表内可能存在的缺陷种类和异常区域,后续再利用更加成熟的物探技术手段对该异常区进行详细勘探,从而达到对城市浅层地表脱空等地质缺陷的提早预警的目的,其基本原理如图 1所示.
图1 城市天然应力波与浅层地表缺陷探测原理图

Fig 1 Urban natural stress wave and shallow surface defect detection principle diagram

为了探究利用地铁运行期间产生的土体应力波针对地铁隧道上覆土层开展地质缺陷探测研究思路的可行性,需首先研究地铁运行激励土体应力波在传播过程中的基础特征变化规律.对此,本文首先在室内搭建了模拟地铁运行激励产生土体应力波的试验装置,并采用激光多普勒测振仪和计算机仿真手段重点针对不同振源频率条件下的应力波信号在土体传播过程中的基础特性变化规律开展变量影响分析,意在为后续针对地铁激励产生的土体应力波信号开展地质探测研究和应用提供参考依据.

1 试验研究

1.1 试验装置设计

地铁在运行过程中由于轮轨相互作用激励产生的应力波首先沿着钢轨传向轨道道床,之后在混凝土隧道壁上传播,最后经过隧道壁的振动传导至土体内部,其主要传播路径为钢轨-地铁隧道壁-土体,如图 2a所示.因此,本文采用激振器作为模拟地铁轮轨振动输入到隧道壁的应力波信号源,并通过混凝土板的振动模拟地铁隧道壁振动产生土体应力波的过程.激振器由信号发生器控制,考虑到地铁振动荷载一般可采用激振力函数f(t)=Po+P1sin(ω1t)+P2sin(ω2t)+P3sin(ω3t)表达,而该函数主要由一系列正弦函数f(t)=Psin(ωt)叠加而成,因此,本试验采用的信号发生器激振力函数为单位正弦函数.
图2 试验装置设计

(a)地铁激励土体应力波简化原理图;(b)土体试验箱;(c)激振器-混凝土板-土体装置连接情况.

Fig 2 Experimental device design

(a)Simplified schematic diagram of subway-induced soil stress waves; (b)Soil testing chamber; (c)Connection details of the vibrator-concrete slab-soil setup.

按照上述试验目标,本文设计制作了一个尺寸为1400 mm(长)×800 mm(宽)×500 mm(高)的双层亚克力板土体试验箱(Li et al., 2020),试验箱底部采用橡胶支座,用于减振和吸波,减少外界环境的振动干扰,试验装置如图 2b所示;箱体内表面四周和底部全部粘贴厚度为60 mm的高密度海绵,用于吸收传播至边界的应力波,模仿隧道周边土体的半无限空间特性,减少亚克力板对土体应力波的反射干扰;激振器安装于箱体短边位置,激振器头部与混凝土板顶紧,混凝土板的尺寸为600 mm(长)×400 mm(宽)×50 mm(厚),用于模拟地铁隧道管片;箱内倒入300 mm厚的土体并压实,试验箱内的土体用于模拟地铁隧道周围的土层,如图 2c所示.

1.2 海绵吸波层效果测试

在开展正式试验之前,首先针对土体试验箱海绵吸波层的吸波效果进行测试(Connolly et al., 2015).先在箱体内埋设半箱土并压实,土体一端边界分别按照海绵边界H、土体自然断面T和亚克力板边界B进行设置,各工况如表 1所示.
表1 边界反射效果测试工况

Table 1 Test conditions for boundary reflection effect

边界种类 激励频率/Hz
50 100 150 200 250 300 350 400 450 500 1000 1500 2000
海绵边界H H-1 H-2 H-3 H-4 H-5 H-6 H-7 H-8 H-9 H-10 H-11 H-12 H-13
土体自然断面T T-1 T-2 T-3 T-4 T-5 T-6 T-7 T-8 T-9 T-10 T-11 T-12 T-13
亚克力板边界B B-1 B-2 B-3 B-4 B-5 B-6 B-7 B-8 B-9 B-10 B-11 B-12 B-13
每一种边界条件均采用信号发生器控制激振器分别激励产生50 Hz、100 Hz、150 Hz、200 Hz、250 Hz、300 Hz、350 Hz、400 Hz、450 Hz、500 Hz、1000 Hz、1500 Hz和2000 Hz的单位正弦荷载,如表 1所示,并采用高灵敏度的单点式红外激光多普勒测振仪同步对土体上表面测点进行信号采集(Wang et al., 2012),海绵吸波效果试验测试装置如图 3所示.
图3 边界吸波效果试验

(a)试验装置示意图;(b)试验装置-海绵边界;(c)试验装置-土体自然断面;(d)试验装置-亚克力板边界.

Fig 3 Boundary absorption effect testing

(a)Schematic diagram of the experimental setup; (b)Experimental setup with sponge boundary; (c)Experimental setup-natural cross-section of soil; (d)Experimental setup with acrylic panel boundary.

采用单点式激光测振仪对土体上表面测点进行数据采集的结果如图 4所示,从信号的反射强度来看,相对于自然土体断面边界而言,低频激励信号产生的边界反射更加强烈,反射信号波包比较明显,而高频激励信号产生的边界反射相对较小,反射信号波包比较微弱,不易观察(Asten and Hayashi, 2018).为了定量反应不同边界条件下的信号反射强弱程度,分别计算每条时域信号的能量值:
$E=\sum\limits_{i=1}^N|x(i)|^2$
式中:x(i)为应力波信号对应的离散幅值.
图4 各边界条件下的反射信号强度对比

(a)激励信号50 Hz时域曲线;(b)激励信号250 Hz时域曲线;(c)激励信号1000 Hz时域曲线;(d)不同激励频率信号能量比值.

Fig 4 Comparison of reflection signal intensity under different boundary conditions

(a)Time-domain curve of the excitation signal at 50 Hz; (b)Time-domain curve of the excitation signal at 250 Hz; (c)Time-domain curve of the excitation signal at 1000 Hz; (d)Energy ratio of signals at different excitation frequencies.

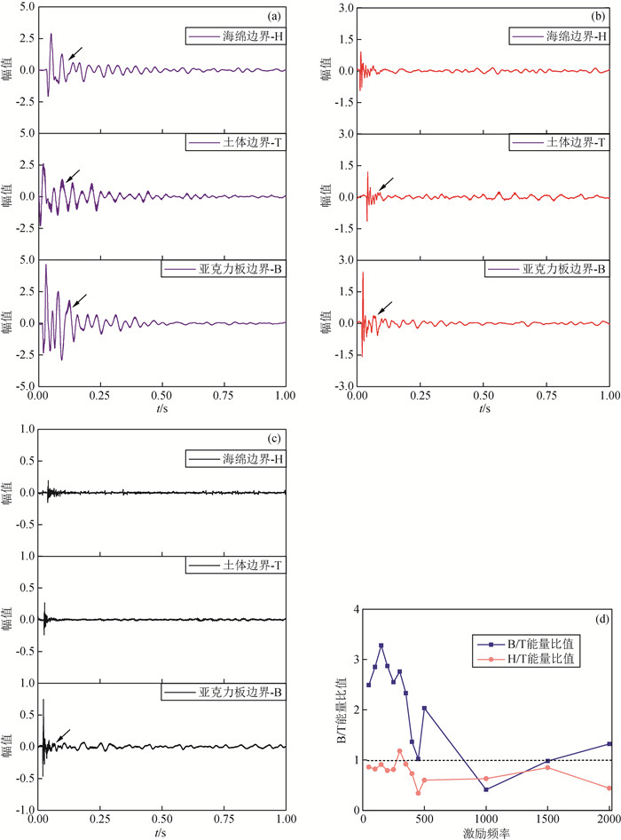
从能量对比角度来看,当边界条件反射比较强烈时,其信号的反射波包幅值也会相应的增大,进而导致其信号的能量值增大,计算结果如图 4d所示,当激励信号频率在500 Hz以内时,随着激励信号频率的增大,相对于土体自然断面边界条件而言,亚克力板边界对信号的反射强度在逐渐下降,激励信号频率大于500 Hz时,亚克力板边界对信号的反射强度与土体自然断面边界的反射强度基本保持一致;而对于海绵边界而言,其对信号具有良好的吸收作用,信号平均反射强度约为土体自然断面条件的70%, 由此可见(Guan et al., 2021),本文所设计的土体试验箱海绵层可以有效减弱土体应力波的反射强度,满足试验需求.

1.3 试验方案设计

本次试验目的主要探究土体中的应力波信号基础特性的变化规律.试验装置中的土体端部横断面的七个横向测点A~G主要用于采集地铁运行激励产生的土体应力波信号传播至自由地面位置的信号;土体纵向六个测点1~6主要用于采集地铁运行激励产生的土体应力波在土体埋深方向的信号(Liu et al., 2021).考虑到激振器激励产生的微振动幅度较小,普通的信号采集传感器难以满足需要,因此,本文采用高灵敏度的单点式红外激光多普勒测振仪进行土体应力波信号的探测提取,试验装置如图 5所示.
图5 试验装置

(a)横向测点试验示意图;(b)横向测点试验装置设置;(c)纵向测点试验示意图;(d)纵向测点试验装置设置.

Fig 5 Experimental setup

(a)Schematic diagram of lateral measurement point test; (b)Lateral measurement point test setup; (c)Schematic diagram of longitudinal measurement point test; (d)Longitudinal measurement point test setup.

在试验过程中,激振器激振方式为依据信号发生器产生的单位正弦荷载分别对混凝土板进行振动激励,每秒激励3次,间歇1 s,激振频率分别为50 Hz、150 Hz、250 Hz、350 Hz、450 Hz和1000 Hz.为了减少长时间激励振动引发的部分松动的土体颗粒对激光点数据的干扰影响,每个测点位置的信号采集三次,取平均值进行处理(Xi et al., 2021).信号采集顺序为首先采集土体端部断面的七个测点A~G,然后再采集纵向六个测点1~6的数据.纵向测点在采集过程中,首先采集测点6,然后在测点6位置纵向开挖宽度50 mm,深度150 mm,长度为200 mm的矩形沟槽,激光束沿沟槽正好打在5号测点的土体断面上,在该断面上依次采集不同激励频率下的应力波信号数据.重复上述过程,继续纵向开挖沟槽,依次测量后续纵向测点的数据,直至沟槽开挖至混凝土板振源位置的测点1,试验操作示意图如图 5所示.

2 试验结果分析

2.1 信号能量变化情况

首先针对纵向测点应力波信号开展分析,纵向测点在激励信号为50 Hz、250 Hz和1000 Hz条件下的时域曲线如图 6所示,对比时域曲线可以明显发现,在相同激励频率条件下(Zhang et al., 2020),距离振源越近的测点信号幅值越大;靠近边界位置的测点6和测点5虽然距离振源最远,但由于靠近土体自由断面位置,测点位置的土颗粒受周围土体的约束作用相对比较弱,因此造成测点6和测点5的时域曲线幅值较大.同时,相同测点位置的应力波信号幅值随着激励信号频率的增大而呈现出显著衰减的趋势,在激励信号频率为1000 Hz时,距离振源最远的测点应力波信号幅值几乎为零,表明高频成分的信号在土体中衰减很快,因此,在实际地铁隧道正上方的地面很难采集到高频成分的振动信号(Zhang et al., 2019).
图6 纵向测点应力波信号情况

(a)50 Hz激励纵向测点时域曲线;(b)250 Hz激励纵向测点时域曲线;(c)1000 Hz激励纵向测点时域曲线;(d)纵向测点能量随频率变化曲线;(e)纵向测点能量衰减曲线.

Fig 6 Longitudinal measurement point stress wave signal conditions

(a)Time-domain curve of the longitudinal measurement point excitation signal at 50 Hz; (b)Time-domain curve of the longitudinal measurement point excitation signal at 250 Hz; (c)Time-domain curve of the longitudinal measurement point excitation signal at 1000 Hz; (d)Curve of energy variation with frequency for the longitudinal measurement points; (e)Energy decay curve for longitudinal measurement points.

为了定量对比各纵向测点应力波信号能量的衰减规律,采用公式(1)计算各测点时域信号能量值,并做归一化处理,如图 6所示,从纵向测点能量随激励频率变化曲线来看,应力波信号能量随着激励频率的增大而呈现出快速衰减的趋势;从能量归一化曲线对比来看,除靠近土体自由界面位置的测点6和测点5外,其他测点的信号能量均随着振源距离的增大而呈现出指数衰减的趋势.
其次对横向测点A~G的信号能量开展分析,各横向测点在50 Hz、250 Hz和1000 Hz激励频率下的时域曲线如图 7所示,在相同激励频率条件下,各测点间的时域曲线波形基本相似;从各测点应力波信号能量角度而言,信号能量随着激励频率的增大而呈现出指数衰减的趋势;对各测点信号能量做相对于中间测点D的能量归一化处理,如图 7所示,相对于中间测点D的能量而言,各横向测点的归一化能量随着与测点D中心距离的增大而有一定程度的下降,横向测点的信号能量分布规律符合正态分布曲线;靠近边界的测点A和G信号能量略有增大,主要与其靠近土体自由界面相关.总体上,横向测点间的信号时域曲线特征相差不大,信号的信噪比较高(Lei et al., 2020),信号能量随着与振源中心距离的增大而有一定程度的减弱,这与地铁隧道正上方地面振动最强烈的现象保持一致.
图7 横向测点应力波信号情况

(a)50 Hz激励横向测点时域曲线;(b)250 Hz激励横向测点时域曲线;(c)1000 Hz激励横向测点时域曲线;(d)横向测点能量随频率变化曲线;(e)横向测点能量衰减曲线.

Fig 7 Lateral measurement point stress wave signal conditions

(a)Time-domain curve of the lateral measurement point excitation signal at 50 Hz; (b)Time-domain curve of the lateral measurement point excitation signal at 250 Hz; (c)Time-domain curve of the lateral measurement point excitation signal at 1000 Hz; (d)Curve of energy variation with frequency for lateral measurement points; (e)Energy decay curve for lateral measurement points.

2.2 信号频率分析

采用快速傅里叶变换对各测点信号数据做处理获取其频率变化情况,计算结果如图 8所示.由于测点1的位置位于混凝土板上,因此其信号特征代表了混凝土板振源位置的信号变化情况,频域曲线结果显示激振器在混凝土板上激励产生的信号主频范围总是低于输入到激振器内的信号主频,由混凝土板振动产生的土体应力波主频范围同样总是低于混凝土板上的主频范围(Saadia and Fotopoulos, 2023a),信号频率变化呈现出逐级衰减的规律;随着输入激振器的信号频率的增大,测点1位置的信号主频频带范围逐渐向高频靠拢;信号由测点1传播至土体内的测点2时,高频信号成分会进一步的衰减;随着应力波继续向土体内部的传播,随着各纵向测点与激励源距离的增大,各测点的特征主频逐渐向低频频段靠拢,且信号幅值同样出现下降衰减趋势;对于纵向测点1~6而言,当激励频率为50 Hz的低频激励源时,由于低频信号衰减较慢,因此各纵向测点的特征频带和幅值随距离的变化并不显著;当激励频率为250 Hz以上的高频激励源时,高频信号幅值和频率衰减十分显著,最终传播至测点6的应力波信号主要是50 Hz左右的低频信号成分.这表明地铁在运行过程中,在钢轨上激励产生的各种频率成分的应力波在经过混凝土道床-隧道-土体时,其信号频率成分呈现逐级衰减的规律(Song et al., 2022),最终传递至土体内部的应力波信号主要由50 Hz左右的低频信号成分构成.
图8 各纵向测点信号频率曲线

(a)50 Hz激励纵向测点信号频率;(b)150 Hz激励纵向测点信号频率;(c)250 Hz激励纵向测点信号频率;(d)350 Hz激励纵向测点信号频率;(e)450 Hz激励纵向测点信号频率;(f)1000 Hz激励纵向测点信号频率.

Fig 8 Frequency curves of each longitudinal measurement point signal

(a)Frequency of the longitudinal measurement point signal excited at 50 Hz; (b)Frequency of the longitudinal measurement point signal excited at 150 Hz; (c)Frequency of the longitudinal measurement point signal excited at 250 Hz; (d)Frequency of the longitudinal measurement point signal excited at 350 Hz; (e)Frequency of the longitudinal measurement point signal excited at 450 Hz; (f)Frequency of the longitudinal measurement point signal excited at 1000 Hz.

对于横向测点而言,尽管信号在传播至各横向测点时的高频频率成分有所衰减,但最终到达各测点的主频频带范围稳定保持在50 Hz范围左右,且由同一频率激励源激励产生的土体应力波在传播过程中(Saadia and Fotopoulos, 2023b),垂直于传播路径上的各测点主频频带范围基本保持一致,如图 9所示;依据本文关于波速的测定可知,此时对应的波长范围在2.4 m左右,考虑到在通常情况下,应力波对异常体的分辨率主要取决于应力波波长,在实际地质勘探工作中,应力波的纵向最大分辨率为四分之一波长,因此,理论上利用地铁运行激励产生的土体应力波探测土体内部的异常体或缺陷的最小尺度范围应在0.6 m以上.
图9 各横向测点信号频率曲线

(a)50 Hz激励横向测点信号频率;(b)150 Hz激励横向测点信号频率;(c)250 Hz激励横向测点信号频率;(d)350 Hz激励横向测点信号频率;(e)450 Hz激励横向测点信号频率;(f)1000 Hz激励横向测点信号频率.

Fig 9 Frequency curves of each lateral measurement point signal

(a)Frequency of the lateral measurement point signal excited at 50 Hz; (b)Frequency of the lateral measurement point signal excited at 150 Hz; (c)Frequency of the lateral measurement point signal excited at 250 Hz; (d)Frequency of the lateral measurement point signal excited at 350 Hz; (e)Frequency of the lateral measurement point signal excited at 450 Hz; (f)Frequency of the lateral measurement point signal excited at 1000 Hz.

2.3 信号初至时间与波速分析

波速是衡量应力波在介质中传播规律的一个重要特征参数,为了准确有效的计算波速,本文统一采用由日本学者Akaike在1973年提出的赤池信息准则Akaike Information Criteria(AIC)作为提取各测点应力波信号初至时间的标准方法(Wu et al., 2023; Ning et al., 2023),AIC法通过求取微震信号AIC函数最小值确定应力波初至时间,该方法运算速度快,应用范围较广,对于本文所采集到的高信噪比应力波信号具有较高的拾取精度. 对于长度为N个信号点的信号S,在n位置处的AIC值计算公式为:
$\log \{\operatorname{var}(S[n+1, N])\}$
式中:N为整个信号采样序列的采样点数;n为第n个采样点;var为序列方差.
各纵向测点应力波信号初至时间随频率的变化规律和平均波速情况如图 10所示,结果显示同一测点获取的应力波信号初至时间随激励频率的增大略有缩短,表明土体的平均波速与激励频率具有一定的相关性,平均波速随着激励频率的增大而有所增大,存在一定的频散效应(Kristekova et al., 2021).同时由波速与频率的对应关系,可以推算出不同激励频率条件下的土体应力波波长,激励频率从50 Hz到1000 Hz变化过程中,波长相应的变化范围为2.5~0.15 m.
图10 纵向测点初至时间与波速

(a)AIC法提取信号初至时间;(b)纵向测点信号初至时间与频率的关系;(c)纵向测点信号初至时间与振源距离的关系;(d)纵向测点平均波速.

Fig 10 Arrival time and wave velocity of longitudinal measurement points

(a)AIC method for extracting signal arrival time; (b)Relationship between the arrival time of longitudinal measurement point signal and frequency; (c)Relationship between the arrival time of longitudinal measurement point signal and the distance from the vibration source; (d)Average wave velocity for longitudinal measurement points.

同理,采用上述方法继续提取各横向测点的应力波初至时间并计算不同横向测点传播路径上的应力波信号平均波速(Zhao et al., 2023),计算结果如图 11所示,由于横向测点与振源之间的距离存在一定的差别,因此各测点间的信号初至时间有微小的差别;同纵向测点的规律一样,横向测点的信号初至时间随着激励频率的增大而有所提早,造成各测点间的平均波速随着激励频率的增大而有所增大,波速变化范围和趋势与纵向测点的平均波速范围和趋势基本保持一致.
图11 横向测点初至时间与波速

(a)横向测点信号初至时间与频率的关系;(b)横向测点平均波速.

Fig 11 Arrival time and wave velocity of lateral measurement points

(a)Relationship between the arrival time of lateral measurement point signal and frequency; (b)Average wave velocity for lateral measurement points.

3 土体应力波扫描测试与计算机仿真

3.1 土体上表面应力波扫描方案

上述研究成果主要是从信号数据角度针对土体应力波信号特征展开了相关基础性研究(Bora et al., 2020),为了更进一步的揭示应力波在土体内部的真实传播过程和波场演化规律,本文采用扫描式氦氖激光多普勒测振仪对土体上表面和纵向剖面分别进行扫描测试,该扫描式激光测振仪依靠其扫描头内部的高精度干涉仪和一对高速摆镜将激光束偏转到测点位置获取信号数据,经扫描软件处理原始多普勒信号数据后即可得到测点扫描区域的应力波波场传播过程二维动画图像.
土体上表面扫描试验方案如图 12所示,首先采用激振器对试验土体上表面中心点进行扫频测试,获取土体的最佳响应主频频段,然后依据扫频结果选定试验激励的主频频段,再通过信号发生器控制激振器激励产生对应的单位正弦荷载(Jiang et al., 2023; Lu et al., 2022),最后采用扫描式激光测振仪对土体上表面进行逐点扫描.由于扫描时间一般在几个小时以上,土体颗粒在经过长时间振动后将会出现松动,自由跳动的土颗粒将会影响激光反射强度.为此,本文将细腻的荧光粉均匀喷洒在扫描区域的土体表面以便提升反射强度,通过关闭灯光,使室内处于黑暗环境中,观察扫描区域荧光粉发光的明暗程度判断荧光粉的喷洒均匀度.
图12 土体上表面扫描试验方案

(a)土体上表面扫描试验方案示意图(纵向剖切图);(b)土体上表面扫描试验装置;(c)扫描区荧光粉均匀性测试.

Fig 12 Experimental plan for surface scanning of soil

(a)Schematic diagram of the scanning test plan on the surface of the soil (longitudinal section); (b)Soil surface scanning test setup; (c)Testing the uniformity of fluorescent powder in the scanning area.

对土体扫频的结果如图 13所示,扫频结果显示:该试验土体的响应频段主要集中在400 Hz以内,其次是600 Hz左右和1000 Hz左右的频段上.由上文应力波信号衰减研究结果可知,当频率过高时,尽管波长较短,但应力波信号的幅值衰减比较严重,因此,综合考虑后本文选定试验的激励频率分别为50 Hz、200 Hz和600 Hz.
图13 扫频信号结果

(a)土体扫频时域曲线;(b)土体扫频频域曲线.

Fig 13 Sweep frequency signal results

(a)Time-domain curve of soil frequency scanning; (b)Frequency-domain curve of soil frequency scanning.

3.2 土体应力波计算机仿真分析

为了更好的研究土体应力波波场传播规律,同步采用计算机仿真软件LS-DYNA对上述试验装置进行2D建模仿真模拟,验证上述波场实测结果.
激励源同样采用单位正弦荷载施加在混凝土板一侧;仿真模型的单元尺寸统一选定为1 mm,边界位置采用关键字Boundary-Non-Reflecting施加无反射边界条件(赵东东等,2022),混凝土板与土体之间采用Automatic-Surface-To-Surface界面接触关系,土体阻尼比设定为0.03,土体和混凝土板均采用弹性材料模型,材料参数如表 2所示.
表2 材料属性参数

Table 2 Material property parameters

混凝土板 土体
弹性模量/MPa 30000 145
密度/(kg/m3) 2500 1836
泊松比 0.21 0.37

3.3 土体上表面应力波波场传播结果

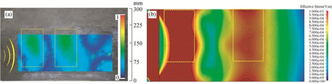
不同激励频率条件下的土体上表面应力波波场传播规律如图 14所示,当采用频率为50 Hz的低频激励源时,扫描获取的波场几乎通红,无法有效观察到波场的传播变化情况,计算机仿真结果同样如此,主要原因是依据前文波速的研究成果,50 Hz的低频激励源在土体中实际激励产生的土体应力波波长约为2.4 m,波长远远超过了试验箱内的土体长度和扫描区域的长度,因此不宜观察到波场的真实传播过程,仅能从变形放大图上观察到波峰与波谷经过时刻的波场变化情况;当采用频率为200 Hz的激励源时,激励产生的波长约为0.6 m,实测波场和计算机仿真结果的传播效果相较于50 Hz激励源的波场传播情况要清晰一些,波峰和波谷清晰可辨,但依然比较模糊;当激励源频率为600 Hz时,在土体中产生的波长约为0.25 m,扫描区域的波场传播规律清晰可见,由于土体本身的非均质特性,应力波在传播过程中不断遇到障碍物,出现能量耗散与反射现象,导致实测波形与仿真计算结果的波形相比不太均匀,但依然可以明显的观察到应力波在土体表面的传播、反射和波形演化等规律,同一张扫描结果上可以清晰观察到多条波峰波谷的波场传播情况;从能量角度而言,靠近激振器激励的部位信号能量较为强烈,两侧略有减弱;由于激振器通过激励混凝土板振动,并在土体界面位置产生应力波(张琼等,2017),因此,从波场图上可以观察到各条应力波几乎是平行向前传递,单条波形略有弧度.
图14 土体上表面应力波波场传播情况

(a)激励频率50 Hz波场实测;(b)激励频率200 Hz波场实测;(c)激励频率600 Hz波场实测;(d)激励频率50 Hz波场仿真;(e)激励频率200 Hz波场仿真;(f)激励频率600 Hz波场仿真.

Fig 14 Propagation of stress wave field on the surface of soil

(a)Experimental measurement of wave field at excitation frequency of 50 Hz; (b)Experimental measurement of wave field at excitation frequency of 200 Hz; (c)Experimental measurement of wave field at excitation frequency of 600 Hz; (d)Simulation of wave field at excitation frequency of 50 Hz; (e)Simulation of wave field at excitation frequency of 200 Hz; (f)Simulation of wave field at excitation frequency of 600 Hz.

3.4 土体剖切面应力波扫描方案

为了探究应力波在土体不同埋深位置的真实传播情况和能量分布情况,将土体沿纵向剖切出300 mm×600 mm的空间,并将荧光粉均匀喷洒在土体纵向剖切面上,将多普勒激光测振仪架设于试验箱的侧面,激光头扫描该土体纵向剖切面上的应力波波场传播情况,试验装置如图 15所示.由上述扫描试验结果可知,采用频率为600 Hz的激励源进行激励时,波长最适合,波场传播效果最佳,因此,本次试验的激励源频率确定为600 Hz.
图15 土体纵断面扫描试验设计

(a)土体纵断面扫描试验示意图;(b)土体纵断面扫描试验装置;(c)土体纵断面扫描区域.

Fig 15 Experimental design for cross-sectional scanning of soil

(a)Schematic diagram of the longitudinal cross-section scanning test on the soil; (b)Soil longitudinal cross-section scanning test setup; (c)Area of longitudinal cross-section scanning on the soil.

3.5 土体剖切面应力波波场传播结果

采用扫描式激光多普勒测振仪对土体剖切面进行扫描测试的结果如图 16所示,由于海绵边界对波的吸收衰减作用,边界位置的应力波反射现象比较微弱,土体上表面的应力波反射比较强烈,因此贴近土体上表面的应力波能量较为强烈;从波形图和能量角度而言,实测波场传播效果与计算机仿真结果在波形方面比较相似,从图像角度也可以验证计算机仿真结果的正确性.
图16 土体剖切面波场传播结果

(a)激励频率600 Hz波场实测;(b)激励频率600 Hz波场仿真.

Fig 16 Propagation results of stress wave field in soil cross-section

(a)Experimental measurement of wave field at excitation frequency of 600 Hz; (b)Simulation of wave field at excitation frequency of 600 Hz.

4 讨论

本文采用激振器激励混凝土板振动产生土体应力波的方式模拟了地铁运行激励产生应力波的过程,通过激光多普勒测振仪采集土体应力波信号数据,分别从信号能量、频率成分变化、波速和波长、波场传播实景和计算机仿真云图角度全方位研究模拟了土体应力波在传播过程中的基础特性变化规律;尽管本文的试验装置尺寸相对较小,无法完整展现土体应力波的全过程传播变化情况,且没有采用激振器真实按照地铁振动情况进行激励,但本文的研究成果充分表明由土体内单一激励源产生的应力波在传播过程中的信号能量和主频频带范围存在一定的变化规律,当土体内具有一定尺度的异常体或缺陷出现在应力波传播路径上时,受不同界面间波阻抗差异的影响,信号的某些特征将会出现相应的改变,这些基础特性的变化规律可以在一定程度上反应地下的某些信息,通过信号解译可被用于地质物探研究.城市地铁在运行中通过隧道振动在土体内产生的应力波每时每刻都在携带隧道周围土体内的地质信息传导至地面,如图 17所示,最终传导至地面的应力波同样以低频信号为主,因此,本文的试验装置和结果在一定程度上可以反应出地铁激励土体应力波的真实信号特征情况,研究成果对于后续研究和应用地铁激励土体应力波开展地质探测具有重要的借鉴价值.
图17 地铁激励土体应力波应用原理

Fig 17 Principle of applying soil stress waves generated by subway excitations

5 结论

为了探究由城市地铁运行激励产生的应力波在土体内部传播过程中的基础特性变化规律,本文在室内搭建了土体应力波试验装置,采用激光多普勒测振仪采集土体应力波信号数据,并从图像角度真实再现了土体应力波波场传播效果,研究结果表明:
(1) 土体应力波信号能量随着与振源距离的增加而呈现出指数衰减的趋势,激振频率越高,衰减越快;垂直于应力波传播方向的信号能量随着与中心点间的距离增大而呈现出正态分布的特点.
(2) 土体应力波信号主频范围随着与振源距离的增加而呈现出逐级衰减的规律,且垂直于信号传播方向的各测点信号主频范围保持一致,最终稳定传播至地面的应力波主要以50 Hz的低频信号为主,该信号可用于最小尺度不低于0.6 m的土体内部异常体的探测.
(3) 采用AIC法提取应力波信号的初至时间表明土体内的应力波信号有一定的频散现象,波速随着频率的增大而有所加快.
(4) 采用多普勒激光测振仪扫描获取的土体表面应力波波场传播规律表明贴近土体上表面的波场能量较为集中,反射现象比较明显,由高频激励源产生的波场传播效果显著,扫描实测波场图可与计算机仿真结果互相验证.

感谢审稿专家提出的修改意见和编辑部的大力支持!

Asten M W , Hayashi K . Application of the spatial auto-correlation method for shear-wave velocity studies using ambient noise. Surveys in Geophysics. 2018, 39(4 633 659

DOI

Bora N , Biswas R , Malischewsky P . Imaging subsurface structure of an urban area based on diffuse-field theory concept using seismic ambient noise. Pure and Applied Geophysics. 2020, 177(10): 4733-4753

DOI

Choi Y W , Park H M , Kim Y T , et al. A risk assessment of asphalt pavement for depression and cave-in caused by subsurface cavity. International Journal of Pavement Engineering. 2020, 21(9): 1092-1102

DOI

Connolly D P , Kouroussis G , Laghrouche O , et al. Benchmarking railway vibrations-Track, vehicle, ground and building effects. Construction and Building Materials. 2015, 92 64-81

DOI

Dinesh B V , Nair G J , Prasad A G V , et al. Estimation of sedimentary layer shear wave velocity using micro-tremor H/V ratio measurements for Bangalore city. Soil Dynamics and Earthquake Engineering. 2010, 30(11): 1377-1382

DOI

Guan B , Mi B B , Zhang H , et al. Selection of noise sources and short-time passive surface wave imaging-A case study on fault investigation. Journal of Applied Geophysics. 2021, 194 104437

DOI

Jiang W B , Lin J N , Liu B , et al. Distributed acoustic sensing for shallow structure imaging using mechanical noise: A case study in Guangzhou, China. Journal of Applied Geophysics. 2023, 215 105139

DOI

Kristekova M , Kristek J , Moczo P , et al. The Finite-interval Spectral Power method for detecting underground cavities using seismic ambient noise. Geophysical Journal International. 2021, 224(2): 945-960

DOI

Lei X Q , Zhang J , Jin W Y , et al. The application of ambient noise and reflection seismic exploration in an urban active fault survey. Interpretation. 2020, 8(4): SU1-SU10

DOI

Li T , Su Q , Kaewunruen S . Influences of piles on the ground vibration considering the train-track-soil dynamic interactions. Computers and Geotechnics. 2020, 120 103455

DOI

Liu Y , Xia J H , Xi C Q , et al. Improving the retrieval of high-frequency surface waves from ambient noise through multichannel-coherency-weighted stack. Geophysical Journal International. 2021, 227(2): 776-785

DOI

Lu X L , Hu X Q , Zhang J , et al. A continuous towed seismic data acquisition and correlation stack method for rapid detection of urban road. Journal of Applied Geophysics. 2022, 199 104585

DOI

Ning L , Xia J H , Dai T Y , et al. Improving the quality of high-frequency surface waves retrieved from ultrashort traffic-induced noise based on eigenvalue selection. Geophysical Journal International. 2023, 235(3): 2020-2034

DOI

Saadia B , Fotopoulos G . Characterizing ambient seismic noise in an urban park environment. Sensors. 2023a, 23(5): 2446

DOI

Saadia B , Fotopoulos G . Unsupervised clustering of ambient seismic noise in an urban environment. Computers & Geosciences. 2023b, 179 105432

DOI

Shao J , Wang Y B , Zheng Y K , et al. Near-surface characterization using urban traffic noise recorded by fiber-optic distributed acoustic sensing. Frontiers in Earth Science. 2022, 10 943424

DOI

Song Z H , Zeng X F , Chi B X , et al. Using the three-station interferometry method to improve urban DAS ambient noise tomography. Frontiers in Earth Science. 2022, 10 952410

DOI

Tian B Q , Ding Z F , Yang L M , et al. Microtremor survey method: A new approach for geothermal exploration. Frontiers in Earth Science. 2022, 10 817411

DOI

Tian B Q , Du Y , You Z W , et al. Measuring the sediment thickness in urban areas using revised H/V spectral ratio method. Engineering Geology. 2019, 260 105223

DOI

Wang J , Jin X , Cao Y . High-speed maglev train-guideway-tunnel-soil modelling of ground vibration. Proceedings of the Institution of Mechanical Engineers, Part F: Journal of Rail and Rapid Transit. 2012, 226(3): 331-344

DOI

Wang Y , Khorrami M , Tran K T , et al. Application of ambient noise tomography for deep void detection. Journal of Applied Geophysics. 2023, 209 104922

DOI

Wu Q Y , Li Q S , Hu X Y , et al. Ambient noise surface wave tomography of Quaternary structures derived from a high-density array in the central Hebei Depression, North China. Geosciences Journal. 2023, 27(2): 177-190

DOI

Xi C Q , Xia J H , Mi B B , et al. Modified frequency-Bessel transform method for dispersion imaging of Rayleigh waves from ambient seismic noise. Geophysical Journal International. 2021, 225(2): 1271-1280

DOI

Yan Y F , Sun C Y , Lin T F , et al. Surface wave exploration technology for the tunnel overlying strata with vehicle vibration source. Tunnelling and Underground Space Technology. 2023, 134 105014

DOI

You Z W , Xu P F , Ling S Q , et al. Estimation of shallow subsurface S-wave velocity structure in urban area based on inversion of apparent dispersion curve. Journal of Geophysics and Engineering. 2020, 17(6): 940-955

DOI

Zhang K , Li H Y , Wang X J , et al. Retrieval of shallow S-wave profiles from seismic reflection surveying and traffic-induced noise. Geophysics. 2020, 85(6): EN105-EN117

DOI

Zhang Q , Lei J , Zhao Y H , et al. Frequency effect of metro and traffic induced ground vibrations response. Progress in Geophysics (in Chinese). 2017, 32(6): 2703-2708

DOI

Zhang Y H , Li Y E , Ku T . Geotechnical site investigation for tunneling and underground works by advanced passive surface wave survey. Tunnelling and Underground Space Technology. 2019, 90 319-329

DOI

Zhao D D , Zhang B S , Zong Q B , et al. Application of integrated geophysical method to detection of boulder in subway shield zone. Progress in Geophysics (in Chinese). 2022, 37(3): 1360-1370

DOI

Zhao Y M , Li Y E , Li B . On beamforming of DAS ambient noise recorded in an urban environment and rayleigh-to-love wave ratio estimation. Journal of Geophysical Research: Solid Earth. 2023, 128(8): e2022JB026339

DOI

, , 永红 , et al. 地铁及地面交通频率对地表环境振动的影响. 地球物理学进展. 2017, 32(6): 2703-2708

DOI

东东 , 宝松 , 全兵 , et al. 综合物探方法在地铁孤石探测中的应用研究. 地球物理学进展. 2022, 37(3): 1360-1370

DOI

Outlines

/