Home Journals Progress in Geophysics
Progress in Geophysics

Abbreviation (ISO4): Prog Geophy      Editor in chief:

About  /  Aim & scope  /  Editorial board  /  Indexed  /  Contact  / 

Study on the rock mechanical properties of Jurassic terrestrial reservoirs: a case study of the lower sub-section of the second section in Lianggaoshan Formation of the eastern Sichuan Basin

  • ZhuYu ZHAO , 1 ,
  • ChuanLiang YAN , 1, 2, * ,
  • YuanFang CHENG 1, 2 ,
  • ZhongYing HAN 1, 2 ,
  • JinChun XUE 3
Expand
  • 1 School of Petroleum Engineering, China University of Petroleum (East China), Qingdao 266580, China
  • 2 Key Laboratory of Unconventional Oil and Gas Development, Ministry of Education, China University of Petroleum (East China), Qingdao 266580, China
  • 3 School of Energy and Mechanical Engineering, Jiangxi University of Science and Technology, Nanchang 330013, China

Received date: 2024-03-01

  Online published: 2025-03-13

Copyright

Copyright ©2025 Progress in Geophysics. All rights reserved.

Abstract

Triaxial compression tests of terrestrial reservoir rocks were carried out with the reservoir rocks of the Lianggaoshan Formation in the eastern Sichuan Basin as the research object. The mechanical properties, damage modes, and energy evolution laws of sandstone and shale were investigated, while the morphological characteristics of the distribution of cracks in the reservoir rocks were determined based on the fractal theory. The results show that the average values of sandstone and shale compressive strength are 293.74 MPa and 140.48 MPa respectively in the range of the studied depth. Sandstone has strong hard and brittle characteristics, showing cross-shear expansion damage mode; shale damage mode is splitting damage. The fracture distribution pattern after rock damage possesses statistical self-similarity. The shale fractal dimension is large, the complexity of the fracture network is high, and the factorability is good. In addition, the energy is mainly dissipated by energy storage and internal crack extension before the ultimate elastic energy, and the instantaneous release of stress-driven elastic energy produces macroscopic damage after the ultimate elastic energy. The results of the study can provide an understanding and theoretical reference for the development of reservoirs in terms of mechanical properties and energy evolution.

Cite this article

ZhuYu ZHAO , ChuanLiang YAN , YuanFang CHENG , ZhongYing HAN , JinChun XUE . Study on the rock mechanical properties of Jurassic terrestrial reservoirs: a case study of the lower sub-section of the second section in Lianggaoshan Formation of the eastern Sichuan Basin[J]. Progress in Geophysics, 2025 , 40(1) : 266 -275 . DOI: 10.6038/pg2025HH0493

0 引言

随着世界经济对油气资源需求的日益增长,非常规油气的勘探开发问题逐步成为能源领域前言热点研究课题(贾承造等,2012邹才能等,2012).四川盆地地处中国内陆西南腹地,赋存多种类型的非常规油气资源,是我国重要的能源基地之一(魏志红等,2022董大忠等,2014王世谦等,2009).侏罗系是川东重要的产油层系,因其分布广、储量多、勘探潜力大等特点被视为有望开启中国“陆相页岩油气革命”的重要储集层(胡德高等,2021).然而,该区储层地质成因复杂、力学性质认识不清等问题,制约其非常规油气的高效勘探开发进程.储层在非同期的不同沉积环境下成岩,其所处应力环境关系岩石能量驱使的累积和释放,在井网部署、钻泵选择及压裂优化设计中尤为重要,均需对储层岩石力学特性和能量演化规律加以论证.甘仁忠等(2023)就准噶尔盆地吉木萨尔凹陷芦草沟组,研究了储集层白云岩、泥岩、粉砂岩的力学特性以及能量演化规律,表明了该区陆相页岩储集层较强的非均质性.Sun等(2022)对松辽盆地南部中洼地青山口组岩石开展单轴抗压试验,指出砂页岩储层垂直层理方向的岩石力学参数优于纯页岩储层.熊健等(2024)对鄂尔多斯盆地东缘山西组页岩、砂岩、煤岩进行了单轴和三轴压缩试验,认为不同岩性岩石的力学特性和变形特征差异显著,随着围压增大,岩石的脆性特征有逐步向延性过渡的趋势.张黎明等(2014)利用MTS电液伺服试验机对三种岩样开展了三向压缩试验,揭示了岩石变形至破坏的能量演化特征.Chen等(2022)基于储层岩石非均质性开展了实验和数值模拟,发现强异质性导致裂隙过程带较大.Guo等(2018)研究了储层岩石力学和裂缝几何形状对非常规储层油气产量和压力分布的影响.刘峻杰等(2022)通过单轴、三轴压缩试验,明确了围压对海陆过渡相页岩储能与破坏耗散规律.而四川盆地东部侏罗系陆相储层整体勘探程度较低,针对凉高山组的岩石力学特性和能量演化规律研究相对较少.因此,本文针对凉高山组储层岩石开展了三轴压缩试验,明确该储层岩石力学特性和破坏模式,并基于分形理论和能量理论,进一步分析了储层岩石压缩裂缝分布形态和能量演化特征,以期为侏罗系陆相储层勘探开发和后期压裂优化提供理论参考.

1 材料及试验方法

1.1 地质概况

四川盆地东部断褶带受印支、燕山和喜马拉雅等多期构造运动影响,发育一系列NE-NNE向高陡背斜和宽缓向斜组合的隔挡式褶皱构造格局(李明阳等,2022).该构造区侏罗系生成了一套以湖泊和三角洲为主的陆相碎屑岩沉积(易娟子等,2022),自下而上依次为下侏罗统自流井组、中侏罗统凉高山组和沙溪庙组,如图 1所示.其中,凉高山组是目前盆地范围内页岩油气富集成藏的主要赋存层系之一,依据物性特征和旋回性凉高山组被划分为3段5个亚段,有机质页岩储层主要集中于凉一上至凉三上亚段,具有储源品质高,物性好,埋深浅等特点.岩性以深黑色、灰绿色纹层状泥页岩和浅灰色块状或反粒序砂岩为主,钻偶薄层粉砂质泥岩,泥质含量逐层增加.底部泥质砂岩与大安寨段介壳灰岩相接,顶部泥页岩与沙溪庙组底部砂岩相接(成大伟等,2023).
图1 研究区构造位置及地层剖面

Fig 1 Tectonic position and stratigraphic section of the study area

1.2 试样准备

本试验岩心取自凉高山组井下2550~2670 m范围内.根据国际岩石力学学会试验规范(ISBN:978-3-319- 07712-3)(Aydin,2015)和岩石物理力学性质试验规程(DZ/T 0276.10-2015),岩心统一制成ϕ25 mm×50 mm的圆柱体试件,如图 2所示.同时,为降低尺寸精度对试验结果的影响,用砂纸对试件两端面进行了打磨,确保其不平整度和不垂直度在±0.05 mm范围内.
图2 岩石样品

Fig 2 Rock samples

1.3 试验设备及方案

三轴压缩试验在中国石油大学(华东)非常规油气开发教育部重点实验室TAW-1000三轴伺服试验系统上进行,如图 3所示.该系统主要由釜、轴压加载系统、围压加载系统及数据采集系统组成.围压加载量可达200 MPa,轴向加载采用位移控制,加载速率为0.1 mm/min;围压加载采用应力控制,加载速率为100 kPa/s.根据储层岩石所处深度,围压统一设置30 MPa.试验前对试件预压0.5 kN轴压,以消除数据弥散现象.
图3 TAW-1000三轴伺服试验系统

Fig 3 Photos of the experimental system

2 试验结果及分析

2.1 岩石力学变形特征

通过伺服试验系统对凉高山组岩心进行了三轴压缩试验,获得其抗压强度、弹性模量和泊松比,如表 1所示.由表 1可知,砂岩的抗压强度分别为204.84 MPa、308.10 MPa、329.08 MPa、332.92 MPa;页岩的抗压强度分别为124.14 MPa、145.84 MPa、151.45 MPa.在研究深度范围内,岩石抗压强度随埋深的增加呈增加趋势.砂岩和页岩的抗压强度平均值分别为293.74 MPa、140.48 MPa,砂岩的抗压强度明显高于页岩,可见不同岩性岩心的抗压强度差异性明显.岩石在宏观上表现出的力学强度特性主要受控于其矿物成分和结构特征(李地元等,2024赵珠宇,2022梁利喜等,2017).页岩矿物成分中石英的含量偏低而黏土矿物含量却较高,为非等粒结构且具有显著的薄页状层理构造,孔隙度大;而砂岩主要矿物为石英和长石,黏土含量偏低,属于等粒结构,其孔隙由胶结物和碎屑杂基填充,结构致密.
表1 岩石三轴压缩试验结果

Table 1 Results of triaxial compression tests on rocks

层位、岩性 编号 深度/m 高度/mm 直径/mm 密度/(g·mm-3) 围压/MPa 抗压强度/MPa 弹性模量/GPa 泊松比
⑦小层-砂岩 7-1 2582.23 50.17 25.29 2.658 30 204.84 20.15 0.135
⑥小层-页岩 6-1 2599.39 49.76 25.27 2.613 30 124.14 20.17 0.246
⑤小层-砂岩 5-1 2604.34 49.78 25.18 2.671 30 308.10 38.52 0.292
④小层-页岩(低GR) 4-1 2620.77 50.10 25.25 2.667 30 145.84 23.04 0.178
③小层-砂岩 3-1 2631.31 49.82 25.21 2.630 30 329.08 35.48 0.209
②小层-页岩 2-1 2639.31 49.74 24.96 2.637 30 151.45 36.51 0.298
①小层-砂岩 1-1 2668.25 49.73 25.24 2.667 30 332.92 35.03 0.174
三轴压缩试验中,弹性模量随埋深大致呈增长趋势,不同岩性岩心的弹性模量、泊松比存在明显差异,砂岩弹性模量平均值为32.30 GPa,泊松比为0.203;页岩弹性模量平均值为26.57 GPa,泊松比为0.241.砂岩具有较高的弹性模量和较低的泊松比,反映出砂岩硬脆性特征;而页岩的弹性模量偏低、泊松比偏高,足见页岩具有明显的可压裂性.
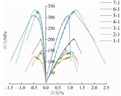
图 4为凉高山组岩心压缩试验的应力-应变曲线.两种岩性岩心的应力-应变曲线趋势相似,大致可分为三个阶段:线弹性阶段、裂隙扩展阶段、破坏阶段.试验前对试件进行了轴向预压,无明显的固结压密段.砂岩的应力-应变曲线表现出较长的线弹性阶段,主要由于砂岩致密、质地均匀.金解放等(2013)Zhao等(2023)Xue等(2022)基于一维应力波理论,明确了该阶段岩石波阻抗大小基本保持不变.比较页岩的应力-应变曲线可知:岩石随着埋深的增加,应力峰值点对应的应变随之增加并表现出较强的塑性特征,通常把此深度处的临界压力称之为转化压力.塑性较强的页岩在水力压裂过程中会额外消耗造缝能量,缝高扩展困难,不利于水力压裂的施工.因此,水力压裂优化过程中一般通过延长压裂施工时间增强滤失作用,降低有效应力,或通过改变地温诱发储层附加温度应力等措施增加储层脆性破坏的概率.
图4 三轴压缩条件下岩石应力应变曲线

Fig 4 Stress-strain curves of rocks under triaxial compression

2.2 岩石破坏模式及分形特征

表 2为凉高山组岩心三轴压缩破坏模式图.由表 2可知,在研究深度范围内砂岩的破坏模式较为复杂,为交叉剪胀破坏,且主裂纹倾角随埋深增加有逐步减小趋势.剪切裂纹的方向与剪切方向基本相同,而拉伸裂纹的方向偏离剪切方向,呈一定角度.凉高山组砂岩由碎屑混杂少量填隙物沉积而成,具有明显多点-线状接触颗粒特征,孔隙式胶结、黏结强度低,通常呈对角交叉破坏.王乐华等(2013)就显著沉积的弱面砂岩指出其理想压剪破坏会形成2个对称的剪切面.试件端部与刚性垫块的接触面在压缩过程中因横向约束产生摩擦效应,使试样端部附近的应力处于异常状态,强化了围压效应.页岩的破坏模式基本相似,压缩后产生了一系列非线性的张拉裂缝,表现为劈裂破坏.由图 4应力-应变曲线可知:随着压缩过程的推进,页岩的塑性逐渐增强,抗压强度降低速率远不及岩石弹性模量降低速度快,从而易产生沿层理面发育的张拉裂缝.
表2 三轴压缩条件下岩石破坏及裂缝图

Table 2 Diagram of broken rocks and cracks under triaxial compression

岩石试件的破裂面潜存有与破坏机理相关的研究信息(Xie et al., 1997Zhang et al., 2016; Zhao et al., 2022).分形几何是一种定量描述不规则几何形态的理论.国内外学者认为:无论是诱导裂缝还是自然裂缝,在统计学上都具有无限尺度的分形和自相似特征.分形维数作为描述分形几何的重要指标,可有效表征岩石破坏后裂缝复杂的分布形态(Zhao et al., 2017).基于计盒维数原理(龙源等,2007马洪岭和谭云亮,2006李一鸣等,2017),采用尺寸为δ的盒网格统计裂缝聚结在二值图像上轮廓重叠的盒子数量N(δ).通过调整盒网格比例尺度δ统计N(δ) 值的变化趋势,计算裂缝的分形维数.根据分形维数的定义,在统计范围内裂缝分布盒子数N(δ)与盒子尺寸δ满足如下的幂律关系:
$D=-\lim _{\delta \rightarrow 0} \frac{\lg N g(\delta)}{\lg \delta},$
式中:δ为自相似范围内盒网格尺寸;N(δ)为裂缝轮廓重叠的盒子数量;D为分形维数.
图 5为凉高山组岩心破坏后不同盒子尺寸δN(δ)值的双对数分布图.从图 5可见,线性拟合程度较好,相关系数大于0.9.点位分布具有良好的Rosin-Ramnlar函数分布,岩石的岩性和埋深变化均不影响这种线性关系,进一步说明了岩样破坏后的裂缝分布形态具有良好的统计自相似性.利用式(1)可计算裂缝的分形维数,拟合直线的斜率即为分形维数,如图 5所示.砂岩破坏后裂缝分形维数分别为1.12、1.05、0.95、0.83;页岩破坏后裂缝分形维数分别为1.43、1.31、1.17.页岩分形维数远高于砂岩,即页岩的裂缝网较砂岩的更为复杂.分析认为:页岩的密实程度远不及砂岩.同等加载条件下,页岩在较高的应力状态,内部积累的能量不易被耗散,只能通过裂纹的膨胀和拓展消耗,使其在压缩过程中极易形成非线性的张拉裂缝.因此,在储层压裂增产过程中,需综合考虑储层岩性对裂缝网成型的差异,调整施工压裂方案、优化施工压裂参数,以达到增效降本的目的.
图5 岩石破坏后裂缝lgN(δ)-lgδ双对数分布图

(a)砂岩;(b)页岩.

Fig 5 lgN(δ)-lgδ curve distribution of cracks after core damage

(a)Sandstone; (b)Shale.

2.3 岩石能量演化特征

岩石压缩破坏是一种由应力驱动作用下的能量释放现象(刘之喜等,2023).应力以岩石形变方向做功的方式积聚应变能,以达到对其能量输入的目的.忽略压缩过程中温差变化,输入岩石的总能量u以弹性应变能ud和耗散能ue的形式存在,即式(2).耗散能指用于引起岩石内部的损坏和不可逆转变形所消耗的能量.式(2)为:
$u=u_{\mathrm{d}}+u_{\mathrm{e}} .$
岩石在三向压应力状态下的总能量为:
$u=u_0+u_1+u_2+u_3,$
$=u_0+\int_0^{\varepsilon_1} \sigma_1 \mathrm{~d} \varepsilon_1+\int_0^{\varepsilon_2} \sigma_2 \mathrm{~d} \varepsilon_2+\int_0^{\varepsilon_3} \sigma_3 \mathrm{~d} \varepsilon_3,$
假三轴试验中,水平方向上的主应力相等,即σ2=σ3,则有:
$u=u_0+\int_0^{\varepsilon_1} \sigma_1 \mathrm{~d} \varepsilon_1+2 \int_0^{\varepsilon_2} \sigma_2 \mathrm{~d} \varepsilon_2,$
施加初始围压做的功及三轴压缩试验条件下的弹性能分别为:
$u_0=\frac{3(1-2 v)}{2 E_0} \sigma_3^2,$
$u_{\mathrm{e}}=\frac{1}{2 E_0}\left[\sigma_1^2+2 \sigma_3^2-2 v\left(\sigma_1 \sigma_3+\sigma_3^2\right)\right],$
式中:u0为施加初始围压做的功,单位为J/cm3u1为轴向应力做的功,单位为J/cm3u2u3为最大水平主应力和最大水平主应力做的功,单位为J/cm3E0v分别为岩石的弹性模量和泊松比.
岩石力学行为的改变伴随着能量的变化(Xu and Cai, 2018).图 6为凉高山组岩心破坏过程的能量演化曲线,可见能量演化曲线是一个复杂连续的非线性关系.结合应力-应变曲线特征,可将能量演化曲线划分为3阶段:弹性阶段、塑性阶段和破坏阶段.由于岩石进行了预压,能量-应变关系曲线无明显固结压密阶段.弹性阶段:弹性能曲线与总能量曲线近似吻合,随着加载的递进逐步上升.损失的耗散能较少,其曲线大致呈水平向延伸.该阶段外界输入的总能量主要以弹性应变能的形式积聚在岩石中,又称储能阶段.当弹性能增加到一定阈值时进入塑性阶段:岩石吸收的总能量持续增加,弹性能逐渐与总能量曲线偏离,但仍呈上升趋势,但增速减缓.用于驱动造缝和扩展的能量增多,耗散能曲线呈“上凸”型快速增长.当积聚的储能达到岩石极限弹性能后进入破坏阶段.应力驱动作用下岩石累积的弹性能量瞬间被释放,其曲线急剧下降,耗散能曲线则相反.岩石内部的裂缝被贯穿造成宏观破坏.深部储层中,岩石的地应力和弹性能越大,在被扰动过程中破坏、岩爆的可能性就越大.Wang等(2020)研究表明能量的变化在岩石破坏过程中起至关重要作用,地层内部能量的积累和释放将影响储能能力和结构单元变化.
图6 三轴压缩条件下岩样能量演化曲线

(a)7-1号砂岩;(b)5-1号砂岩;(c)3-1号砂岩;(d)1 -1号砂岩;(e)6-1号页岩;(f)4-1号页岩;(g)2-1号页岩.

Fig 6 Energy evolution curves of rock samples under triaxial compression

(a)7-1 sandstone; (b)5-1 sandstone; (c)3-1 sandstone; (d)1 -1 sandstone; (e)6-1 shale; (f)4-1 shale; (g)2-1 shale.

根据图 6af可知,砂岩与页岩的能量变化趋势相似,即能量曲线总的变化趋势与岩石岩性无关.但在相同条件下,不同岩性、不同深度岩石的储能速率和总储能量是存在明显差异的.随着岩石埋深的增加,砂岩极限弹性能分别为0.187 J/cm3、0.193 J/cm3、0.244 J/cm3、0.327 J/cm3;页岩的极限弹性能分别为0.103 J/cm3、0.133 J/cm3、0.143 J/cm3.储层岩石极限储能量随埋深增加而增加.值得注意的是在储层压裂改造过程中不同层段压裂破坏所需的能耗是不同的,需根据埋深加以考虑.砂岩储能量明显高于页岩,在宏观力学表现上其抵抗外部载荷的压缩性更强,抗压强度更高,这与2.1、2.2章节中岩力学行为和破坏结果相吻合.在储能速率方面:砂岩储能阶段的斜率分别为0.113、0.160、0.163、0.202;页岩储能阶段的斜率分别为0.091、0.125、0.133.随岩石埋深递增,储能密度越大,储能效率也就越快(Li et al., 2017).因此,对于深部储层段的压裂施工可能需要更快流速和更高的泵压.

3 结论

本文对四川盆地东部凉高山组储层岩心进行了三轴压缩试验,分析了不同埋深岩石的力学特性、破坏模式及能量演化规律,基于分形理论明确了储层岩石裂缝分布形态特征,获得如下结论:
(1) 不同岩性岩石的力学特性存在明显差异,砂岩具有较高的弹性模量和较低的泊松比,反映出砂岩硬脆性特征;而页岩的弹性模量偏低、泊松比偏高,页岩具有明显的可压裂性.
(2) 研究深度范围内,砂岩在三轴压缩条件下表现为交叉剪胀破坏模式;页岩破坏模式为劈裂破坏,产生了一系列非线性的张拉裂缝.
(3) 岩石破坏后裂缝分布形态符合几何分形规律.分形维数越大,裂缝网的复杂程度越高,储层的可压裂性越好.
(4) 在三轴压缩过程中,能量演化是复杂连续的非线性关系.在极限弹性能前主要以存储能量和内部裂纹扩展耗能为主,极限弹性能后以应力驱动弹性能的瞬间释放产生宏观破坏.

感谢审稿专家提出的修改意见和编辑部的大力支持!

Aydin A. 2015. ISRM suggested method for determination of the Schmidt hammer rebound hardness: Revised version. //The ISRM Suggested Methods for Rock Characterization, Testing and Monitoring. The ISRM Suggested Methods for Rock Characterization, Testing and Monitoring: 2007-2014. Cham: Springer, 25-33.

Chen H R , Niu J R , Zhai M Y . Characteristics of the fracture process zone for reservoir rock with various heterogeneity. Energies, 2022, 15 (22): 8332

DOI

Cheng D W , Zhang Z J , Hong H T , et al. Sequence structure, sedimentary evolution and their controlling factors of the Jurassic Lianggaoshan Formation in the East Sichuan Basin, SW China. Petroleum Exploration and Development, 2023, 50 (2): 262- 272.

DOI

Dong D Z , Gao S K , Huang J L , et al. A discussion on the shale gas exploration & development prospect in the Sichuan Basin. Natural Gas Industry, 2014, 34 (12): 1- 15.

DOI

Gan R Z , Xiong J , Peng M , et al. Rock mechanical properties and energy evolution of continental shale reservoirs. Xinjiang Petroleum Geology, 2023, 44 (4): 472- 478.

DOI

Guo X Y , Song H Q , Wu K , et al. Pressure characteristics and performance of multi-stage fractured horizontal well in shale gas reservoirs with coupled flow and geomechanics. Journal of Petroleum Science and Engineering, 2018, 163: 1- 15.

DOI

Hu D G , Shu Z G , Guo Z F , et al. Discovery of the first shale condensate gas reservoir in Jurassic strata in the Fuxin area, eastern Sichuan. Geology in China, 2021, 48 (6): 1980- 1981.

DOI

Jia C Z , Zheng M , Zhang Y F . Unconventional hydrocarbon resources in China and the prospect of exploration and development. Petroleum Exploration and Development, 2012, 39 (2): 129- 136.

Jin J F , Li X B , Chang J R , et al. Stress-strain curve and stress wave characteristics of rock subjected to cyclic impact loadings. Explosion and Shock Waves, 2013, 33 (6): 613- 619.

DOI

Li D Y , Luo P K , Zhu Z G , et al. Experimental study on tensile and compressive mechanical properties of rocks from different depths at a deep mine. Journal of Engineering Geology, 2024, 32 (1): 86- 95.

DOI

Li D Y , Sun Z , Xie T , et al. Energy evolution characteristics of hard rock during triaxial failure with different loading and unloading paths. Engineering Geology, 2017, 228: 270- 281.

DOI

Li M Y , Li C Y , Qu D P . Characteristics and genesis of condensate reservoirs of Lianggaoshan Formation in Fuling area, Southeastern Sichuan Basin. Xinjiang Petroleum Geology, 2022, 43 (4): 387- 395.

DOI

Li Y M , Fu S C , Jiao Y B , et al. Collapsing coal-rock identification based on fractal box dimension and wavelet packet energy moment. Journal of China Coal Society, 2017, 42 (3): 803- 808.

DOI

Liang L X , Zhuang D L , Liu X J , et al. Study on mechanical properties and failure modes of Longmaxi Shale. Chinese Journal of Underground Space and Engineering, 2017, 13 (1): 108- 116.

Liu J J , Wu J J , Xiong J , et al. Rock mechanical properties and energy evolution characteristics of different shale lithofacies in marine-continental transition facies. Special Oil & Gas Reservoirs, 2022, 29 (6): 83- 90.

DOI

Liu Z X , Meng X R , Zhao G M , et al. Energy and damage analysis of sandstone under true triaxial compression. Chinese Journal of Rock Mechanics and Engineering, 2023, 42 (2): 327- 341.

DOI

Long Y , Yan J W , Lou J W , et al. Research on the box dimension of blasting seismic wave based on the fractal theory. Science and Technology Review, 2007, 25 (18): 27- 31.

DOI

Ma H L , Tan Y L . Computer calculating method of box dimension of rock microcosmic cracks. Mining Research and Development, 2006, 26 (2): 29- 30. 29-30, 57

DOI

Sun W T , Li Z H , Lou Y S , et al. Mechanical properties of shale-reservoir rocks based on stress-strain curves and mineral content. Geofluids, 2022, 2022: 2562872

DOI

Wang C L , He B B , Hou X L , et al. Stress-energy mechanism for rock failure evolution based on damage mechanics in hard rock. Rock Mechanics and Rock Engineering, 2020, 53 (3): 1021- 1037.

DOI

Wang L H , Chen X , Dang L . Experimental study on the failure of sandstone with notable bedding under loading and unloading. Engineering Mechanics, 2013, 30 (5): 181- 187.

DOI

Wang S Q , Chen G S , Dong D Z , et al. Accumulation conditions and exploitation prospect of shale gas in the Lower Paleozoic Sichuan basin. Natural Gas Industry, 2009, 29 (5): 51- 58.

DOI

Wei Z H , Liu R B , Wei X F , et al. Exploration evaluation and recognition of continental shale oil and gas in Fuxing area, Sichuan Basin. China Petroleum Exploration, 2022, 27 (1): 111- 119.

Xie H P , Wang J A , Xie W H . Fractal effects of surface roughness on the mechanical behavior of rock joints. Chaos, Solitons & Fractals, 1997, 8 (2): 221- 252.

DOI

Xiong J , Wu J J , Liu X J , et al. Study on rock mechanical properties of different lithologies in marine continental transitional formation: a case study of the Shanxi Formation in the eastern margin of Ordos Basin. Progress in Geophysics, 2024, 39 (2): 759- 769.

DOI

Xu Y H , Cai M . Influence of strain energy released from a test machine on rock failure process. Canadian Geotechnical Journal, 2018, 55 (6): 777- 791.

DOI

Xue J C , Zhao Z Y , Dong L J , et al. Effect of chemical corrosion and axial compression on the dynamic strength degradation characteristics of white sandstone under cyclic impact. Minerals, 2022, 12 (4): 429

DOI

Yi J Z , Zhang S M , Cai L X , et al. Strata and sedimentary filling characteristics of the Lower Jurassic Lianggaoshan Formation and its hydrocarbon exploration in eastern Sichuan Basin. Journal of Jilin University (Earth Science Edition), 2022, 52 (3): 795- 815.

DOI

Zhang K , Cao P , Ma G W , et al. Strength, fragmentation and fractal properties of mixed flaws. Acta Geotechnica, 2016, 11 (4): 901- 912.

DOI

Zhang L M , Gao S , Ren M Y , et al. Rock elastic strain energy and dissipation strain energy evolution characteristics under conventional triaxial compression. Journal of China Coal Society, 2014, 39 (7): 1238- 1242.

DOI

Zhao H B , Zhang H , Li H H , et al. Formation and fractal characteristics of main fracture surface of red sandstone under restrictive shear creep. International Journal of Rock Mechanics and Mining Sciences, 2017, 98: 181- 190.

DOI

Zhao Z Y. 2022. Damage mechanism of the sandstone under the coupling actions between cycle-impact loading and chemical corrosion[Master's thesis] (in Chinese). Ganzhou: Jiangxi University of Science and Technology, doi: 10.27176/d.cnki.gnfyc.2022.000655.

Zhao Z Y , Xue J C , Jin J F , et al. Damage analysis of chemically corroded sandstone under cyclic impacts and axial static pressure. Geotechnical and Geological Engineering, 2022, 40 (5): 2581- 2592.

DOI

Zhao Z Y , Xue J C , Jin J F , et al. Experimental research on the dynamic constringent characteristics and fractal properties of sandstone under impact loading. Case Studies in Construction Materials, 2023, 18: e02174

DOI

Zhao Z Y , Yan C L , Xue J C , et al. Experimental study on dynamic mechanical properties of chemically corroded sandstone. Case Studies in Construction Materials, 2024, 20: e02834

DOI

Zou C N , Zhu R K , Wu S T , et al. Types, characteristics, genesis and prospects of conventional and unconventional hydrocarbon accumulations: taking tight oil and tight gas in China as an instance. Acta Petrolei Sinica, 2012, 33 (2): 173- 187.

DOI

大伟 , 志杰 , 海涛 , 等. 四川盆地东部侏罗系凉高山组层序结构、沉积演化及其主控因素. 石油勘探与开发, 2023, 50 (2): 262- 272.

DOI

大忠 , 世葵 , 金亮 , 等. 论四川盆地页岩气资源勘探开发前景. 天然气工业, 2014, 34 (12): 1- 15.

DOI

仁忠 , , , 等. 陆相页岩储集层岩石力学特性及能量演化特征. 新疆石油地质, 2023, 44 (4): 472- 478.

DOI

德高 , 志国 , 战峰 , 等. 川东复兴地区侏罗系(涪页10HF井)发现国内首个页岩凝析气藏. 中国地质, 2021, 48 (6): 1980- 1981.

DOI

承造 , , 永峰 . 中国非常规油气资源与勘探开发前景. 石油勘探与开发, 2012, 39 (2): 129- 136.

解放 , 夕兵 , 军然 , 等. 循环冲击作用下岩石应力应变曲线及应力波特性. 爆炸与冲击, 2013, 33 (6): 613- 619.

DOI

地元 , 平框 , 志根 , 等. 深部矿山不同埋藏深度岩石拉压力学特性试验研究. 工程地质学报, 2024, 32 (1): 86- 95.

DOI

明阳 , 承银 , 大鹏 . 川东南涪陵地区凉高山组凝析油气藏特征及成因. 新疆石油地质, 2022, 43 (4): 387- 395.

DOI

一鸣 , 世琛 , 亚博 , 等. 基于分形盒维数和小波包能量矩的垮落煤岩性状识别. 煤炭学报, 2017, 42 (3): 803- 808.

DOI

利喜 , 大琳 , 向君 , 等. 龙马溪组页岩的力学特性及破坏模式研究. 地下空间与工程学报, 2017, 13 (1): 108- 116.

峻杰 , 建军 , , 等. 海陆过渡相不同页岩岩相的岩石力学特性及能量演化特征. 特种油气藏, 2022, 29 (6): 83- 90.

DOI

之喜 , 祥瑞 , 光明 , 等. 真三轴压缩下砂岩的能量和损伤分析. 岩石力学与工程学报, 2023, 42 (2): 327- 341.

DOI

, 俊伟 , 建武 , 等. 基于分形理论的爆破地震信号盒维数研究. 科技导报, 2007, 25 (18): 27- 31.

DOI

洪岭 , 云亮 . 岩石细观裂纹盒维数的计算机求解方法. 矿业研究与开发, 2006, 26 (2): 29- 30. 29-30, 57

DOI

乐华 , , . 含显著沉积弱面砂岩加卸荷破坏试验研究. 工程力学, 2013, 30 (5): 181- 187.

DOI

世谦 , 更生 , 大忠 , 等. 四川盆地下古生界页岩气藏形成条件与勘探前景. 天然气工业, 2009, 29 (5): 51- 58.

DOI

志红 , 若冰 , 祥峰 , 等. 四川盆地复兴地区陆相页岩油气勘探评价与认识. 中国石油勘探, 2022, 27 (1): 111- 119.

, 建军 , 向君 , 等. 海陆过渡相地层不同岩性岩石力学特性研究——以鄂尔多斯盆地东缘山西组为例. 地球物理学进展, 2024, 39 (2): 759- 769.

DOI

娟子 , 少敏 , 来星 , 等. 川东地区下侏罗统凉高山组地层-沉积充填特征与油气勘探方向. 吉林大学学报(地球科学版), 2022, 52 (3): 795- 815.

DOI

黎明 , , 明远 , 等. 岩石加荷破坏弹性能和耗散能演化特性. 煤炭学报, 2014, 39 (7): 1238- 1242.

DOI

赵珠宇. 2022. 循环冲击载荷与化学腐蚀耦合作用下砂岩损伤机理研究[硕士论文]. 赣州: 江西理工大学, doi: 10.27176/d.cnki.gnfyc.2022.000655.

才能 , 如凯 , 松涛 , 等. 常规与非常规油气聚集类型、特征、机理及展望——以中国致密油和致密气为例. 石油学报, 2012, 33 (2): 173- 187.

Outlines

/