Home Journals Progress in Geophysics
Progress in Geophysics

Abbreviation (ISO4): Prog Geophy      Editor in chief:

About  /  Aim & scope  /  Editorial board  /  Indexed  /  Contact  / 

Pre-slip activities or unidentifed meteorological driven factors?—discussion with the author on the "pre-slip activities before Wenchuan MW7.9 earthquake at North China and Northeast Asia tectonic-block region"

  • XiaoLin YANG
Expand
  • Jinggangshan University, Ji'an 343009, China

Received date: 2024-05-26

  Online published: 2025-03-13

Copyright

Copyright ©2025 Progress in Geophysics. All rights reserved.

Abstract

During the period of 18 to 22 April 2008, a visually slow drawdown in groundwater level signal with a magnitude of approximately 0.156 m lasting about 4.5 days was recorded in the Jingyang well, Shaanxi. The paper entitled "Pre-slip activities before Wenchuan MW7.9 earthquake at North China and Northeast Asia tectonic-block region" suggests that this episode originated from the pre-slip Xp2 phase of the tectonic block before the 2008 MW7.9 Wenchuan earthquake. However, the main signature of the "pre-slip Xp2 phase" is negatively correlated with the shape of low-frequency change of atmospheric pressure; therefore, we quantitatively investigated the pressure coefficient of the Jingyang well at low frequencies using the linear regression method. The final result indicated that the "pre-slip Xp2 phase" was mainly caused by a transient increase of atmospheric loading. This retrospective and reassessed study will help to reveal the real driving mechanism of the pre-slip Xp2 phase.

Cite this article

XiaoLin YANG . Pre-slip activities or unidentifed meteorological driven factors?—discussion with the author on the "pre-slip activities before Wenchuan MW7.9 earthquake at North China and Northeast Asia tectonic-block region"[J]. Progress in Geophysics, 2025 , 40(1) : 48 -53 . DOI: 10.6038/pg2025II0235

0 引言

如何有效探测和科学识别地震前兆信号,一直是地震预测预报业务中的一大热点和难点.1966年邢台6.8级和7.2级地震之后,我国便相继建立了以捕捉地震前兆为要旨的地电、地磁、地下流体和定点地壳形变(以下简称定点形变)等地球物理观测站网;截止目前,在网运行的台站数量业已超过1100个(吴翼麟, 1985, 1990赵莹,2019陶志刚,2022王晓等,2022吴凯等,2022赵旭东等,2022);在时间分辨率方面,不少台站的数据采样间隔小于1 s(娄家墅和田家勇,2022).如此丰富的“大”数据,既为地震前兆挖掘和断裂系统灾变感知等提供了有力支撑,同时也对地球物理工作者的数据分析和解释能力提出了更高的要求.
2008年5月12日在四川龙门山断裂带发生了汶川MW7.9级地震(以下简称汶川地震),此次强震给当地人民的生命财产带来了巨大的损失(雷建设等,2009).而深入剖析和提炼该典型震例的前兆变化及机理(Ma and Wu, 2012Wang et al., 2018),不单能为地震前兆信号的提取和溯源等提供新的思路和着眼点,而且还能促进地震精细化和物理预报能力的提升.鉴于此,震后许多学者从不同视角和地球物理观测数据,来对震前可能的前兆信号进行统计分析和机理探究;其中,论文“汶川MW7.9地震前华北和东北亚地块区的预滑活动”(许健生等,2023),分析了中国大陆55个井水位和定点形变台在2008年3月20日至5月31日的分钟级观测数据,发现其中38个井水位测点在4月18~23日均记录到了“准同步”的Xp2震相(阶跃形),并推测这可能是由于青藏、华北和东北亚等地块的预滑活动所致.尽管该工作对汶川地震前兆的识别和动力学成因研究具有一定的参考价值(许健生等,2023),但该文作者却忽视了3个关键问题:(1)一些Xp2震相是否真的源自构造块体的预滑活动?(2)各测点井水位对气压波动的响应特性如何?(3)井水位观测数据长期的变化特征如何(Wyss,1997; Wyss and Booth, 1997刘杰和张国民,2016杨百存等,2016)?所以不难理解,论文中所列举的一些井水位的Xp2震相成因仍需进一步考证.
由于笔者长期从事陕西地区井水位的观测和解释工作,故而对文中(许健生等,2023)泾阳井水位变化的物理本源较为了解.为了更好地佐证部分井水位“Xp2震相”的非预滑成因性,我们有必要将泾阳井作为范例,并尝试采用统计归纳和井—含水层系统性质分析等方法,来对其记录的“预滑事件”展开归因诊断.相关认识,不仅有助于Xp2震相的去伪存真,而且还能为类似变化的溯源研究提供例证参考.

1 台站及仪器概况

泾阳井位于陕西省泾阳县口镇(34.73°N,108.68°E)(图 1),井孔口的标高为597.14 m,该井于1990年8月12日成井,成井时的水位埋深为85 m,井深则为493.07 m.花管段深度介于95.51~493.07 m之间,花管和套管直径分别为150 mm、194 mm;其含水层岩性主要为石灰岩,地下水类型为孔隙承压水.成井时的抽水试验结果显示,该井含水层的渗透系数为0.0783 m/d.在气候方面,该井所在的泾阳县属暖温带大陆性季风气候,年均降水量约548 mm.
图1 汶川地震矩心的水平位置(来自哈佛大学GCMT)、泾阳井和乾陵台的分布

Fig 1 Distribution of the centroid location of MW7.9 Wenchuan earthquake (from Harvard GCMT), and the observatories Jingyang and Qianling

泾阳井的主要测项为静水位和气压,其布设的数字化水位仪和户外气压计分别为LN-3 A和WYY-1型,它们的分辨率依次为1 mm和0.1 hPa,采样间隔则均为1 min.这里要说明的是,在2008年4月期间,泾阳井的户外气压仪发生了故障,所以本文特意选用了乾陵台(34.57°N,108.23°E)同时段的气压测值(注:仪器类型亦为WYY-1型),该台距泾阳井约45 km(图 1).另外还需要指出的是,泾阳井和乾陵台距汶川地震矩心的距离依次约为561 km和519 km(图 1).

2 Xp2震相疑点和成因推测

为了更好地刻画文献(许健生等,2023)对泾阳井水位在2008年4月18~22日期间所记录的Xp2震相的界定,本文首先采用2阶Butterworth滤波器,对4月1~30日泾阳井水位和乾陵台气压的分钟级数据进行了无相移低通滤波,该处理步骤旨在滤除M2、O1、K1、S1和S2等潮波成分,进而保留周期大于30 h的信号.
图 2a可以清晰地看出,“Xp2震相”的持时约108 h,最大降深为0.156 m,视周期约为11078 min(7.69 d);若单从表相特征来看,该“Xp2震相”的确与预滑移或慢滑移信号相仿(Kitagawa et al., 2020),但这是否就意味着其真相是源自构造块体的预滑活动?显然,此刻我们尚难以据此给出笃定的答案;因为凭借多年的地下流体观测实践和理论研究,我们深知井水位是潮汐、气压、降雨、水文变动、仪器问题、人类活动和构造运动等众多变量影响下的综合物理量.以Kitagawa等(2020)的研究为例,若要客观、精准地提取预滑移事件,首要任务便是充分扣除井水位时变曲线中的各种非构造运动成分,否则极有可能会被误导.相比之下,文献(许健生等,2023)在没有合理排除非构造运动成分的前提下,便将泾阳井水位的短时波动推定为“Xp2震相”,所以其结论的合理性和可靠性可能存在疑点,值得进一步考证.
图2 泾阳井水位所记录的Xp2震相(a)及同时段乾陵台气压(b)的变化

Fig 2 (a) Groundwater level change in Jingyang well in response to Xp2 wave phase, and (b) the atmospheric pressure variation recorded at Qianling station in the corresponding time period

更近一步,再仔细观察户外气压的变化,可以发现一个有趣的现象:即在“Xp2震相”时段内,气压准同步地出现了18.5 hPa的缓升变化,其形态与“Xp2震相”高度负相关,两者的相关系数高达-0.9933(图 2b).不仅如此,纵观井水位和气压在4月期间所有的低频波动形态,就能清晰地看出二者始终具有较强的负相关关系,其相关系数为-0.9717,即逆变气压计效应(inverted barometer effect)显著(图 2).而之所以呈现高度负相关,主要是由于泾阳井含水层系统的岩性为石灰岩且承压性较好(董守玉等,1987殷积涛和汪成民,1988张昭栋等,1989车用太等,1990Lai et al., 2013McMillan et al., 2019).
综上所述,我们有理由怀疑“Xp2震相”很可能是源于18.5 hPa的气压加载过程.在下一节,本文将重点探究二者的量化关系.

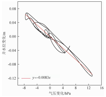
3 “Xp2震相”与气压变化的定量关系

为定量揭示泾阳井水位对低频气压的响应关系,本文首先去除了图 2中低频时序曲线(T>30 h)的线性趋势和均值,之后再利用线性回归方法来计算井水位和气压之比,也即气压系数.最终结果显示,泾阳井的气压系数为-0.0083 m/hPa(图 3).在此基础上,我们可以算出18.5 hPa的气压升幅所导致的井水位降幅为0.154 m.进一步对比“Xp2震相”的变幅,可以发现两者十分接近.换言之,若将泾阳井水位中的气压效应进行剔除,那么“Xp2震相”也就随之消失了.这一实证结果,也合理印证了上文的猜测.
图3 井水位和气压之间的线性关系

Fig 3 Regression between groundwater level in well and atmospheric pressure

综上分析,本工作已能较好地证实泾阳井水位所记录的“Xp2震相”主要是由气压波动的负荷所激发.

4 结论和讨论

为探究2008年4月18~22日期间,泾阳井水位所记录的“Xp2震相”的真实动力源,本文结合气压观测数据,并借助相关性分析和回归分析等方法,对该问题进行了较深入的解析.结果表明,气压波动负荷才是“Xp2震相”的“震源”.尽管在经验和统计物理学的层面上,本文较好地揭示了泾阳井水位与气压波动的定量关系,但要彻底阐明泾阳井—含水层系统对气压波动响应的动力学机制,今后还需要进一步开展含水层介质参数(如:孔隙度、泊松比、Skempton系数和固体骨架压缩系数等)的测定工作.
长期以来,针对地球物理观测台网中的一些准同步和群体性的异常变化,不少学者会对其时空强的统计规律进行挖掘和建模(Ida,1974Kasahara et al., 1983里嘉千茂,1989田中豊,1989Nersesov and Latynina, 1992Harada et al., 2003周龙寿等,2009Bykov and Trofimenko, 2016Amoruso et al., 2017Xu et al., 2019吕品姬等,2022Hirose et al., 2024Yang and Yang, 2024).尽管这种方法有助于“深度学习”和解释其潜在的机制,但泾阳井这个“负样本”却提醒我们,科学的统计推断和动力学模型构建往往依赖于坚实的“正样本”.
最后还要说明的是,由于地球物理观测数据中的噪声成分通常较为复杂,所以难免会给地震短临前兆的识别和分析工作带来挑战,而在地震前兆和震例研究中,一些学者也往往会将观测数据的形态异常简单地归因于地震等构造活动,这种“不求甚解”的因果推断,显然无益于地震预测预报的科学发展.例如:2013年岷县漳县MS6.6地震前,许康生和曾文浩(2017)将昭通台洞体应变仪的降雨干扰(李智蓉等,2018)误判为前兆异常,而杨晨艺等(2024)又在不明机理的前提下,表象地将这些“异常样本”作为地震前兆时空演变模型构建的统计依据.因此,只有在观测证据及其动力学机制上不懈求索,相信很多关于震源或场源信号以及非构造活动性异常的解释问题会“迎刃而解”.

感谢审稿专家提出的修改意见和编辑部的大力支持!

Amoruso A, Crescentini L, Chiaraluce L. Surface temperature and precipitation affecting GPS signals before the 2009 L'Aquila earthquake (Central Italy). Geophysical Journal International, 2017, 210(2): 911- 918.

DOI

Bykov V G, Trofimenko S V. Slow strain waves in blocky geological media from GPS and seismological observations on the Amurian plate. Nonlinear Processes in Geophysics, 2016, 23(6): 467- 475.

DOI

Che Y T, Yu J Z, Wu J Y. Study of the air-pressure effect on the deep well groundwater level in China. Hydrogeology & Engineering Geology, 1990,(4): 12- 17.

Dong S Y, Jia H Z, Wan D K, et al. Basic characteristics, types and mechanism of atmosphere effect of groundwater level. North China Earthquake Sciences, 1987, 5(1): 58- 66.

Harada M, Furuzawa T, Teraishi M, et al. Temporal and spatial correlations of the strain field in tectonic active region, southern Kyusyu, Japan. Journal of Geodynamics, 2003, 35(4-5): 471- 481.

DOI

Hirose H, Kato A, Kimura T. Did short-term preseismic crustal deformation precede the 2011 great Tohoku-Oki earthquake? An examination of stacked tilt records. Geophysical Research Letters, 2024, 51(12): e2024GL109384

DOI

Ida Y. Slow-moving deformation pulses along tectonic faults. Physics of the Earth and Planetary Interiors, 1974, 9(4): 328- 337.

DOI

Kasahara M, Shichi R, Okada Y. On the cause of long-period crustal movement. Tectonophysics, 1983, 97(1 - 4): 327- 336.

DOI

Kitagawa Y, Matsumoto N, Kimura T. Estimation of fault models for short-term slow slip events from groundwater pressure in soft sedimentary layers. Earth, Planets and Space, 2020, 72(1): 90

DOI

Lai G J, Ge H K, Wang W L. Transfer functions of the well-aquifer systems response to atmospheric loading and Earth tide from low to high-frequency band. Journal of Geophysical Research: Solid Earth, 2013, 118(5): 1904- 1924.

DOI

Lei J S, Zhao D P, Su J R, et al. Fine seismic structure under the Longmenshan fault zone and the mechanism of the large Wenchuan earthquake. Chinese Journal of Geophysics, 2009, 52(2): 339- 345.

Li Z R, Fu H, Zhang Z X. Analysis on the relationship between deformation anomaly and rainfall in Zhaotong station before Ludian 6.5 earthquake. Journal of Yunnan University: Natural Sciences Edition, 2018, 40(5): 919- 928.

Liu J, Zhang G M. Discussion on "Are there earthquake precursors that can lead to useful predictions?". Chinese Science Bulletin, 2016, 61(18): 1988- 1994.

DOI

Lou J S, Tian J Y. Review on seismic strain-wave observation based on high-resolution borehole strainmeters. Progress in Geophysics, 2022, 37(1): 51- 58.

DOI

P J, Li Z Y, Sun L L, et al. Analysis of impact of the Tonga volcanic eruption in 2022 on the strain observation of Chinese. Geomatics and Information Science of Wuhan University, 2022, 47(6): 927- 933.

DOI

Ma T F, Wu Z L. Precursor-like anomalies prior to the 2008 Wenchuan earthquake: a critical-but-constructive review. International Journal of Geophysics, 2012, 2012: 583097

DOI

McMillan T C, Rau G C, Timms W A, et al. Utilizing the impact of Earth and atmospheric tides on groundwater systems: a review reveals the future potential. Reviews of Geophysics, 2019, 57(2): 281- 315.

DOI

Nersesov I L, Latynina L A. Strain processes before the Spitak earthquake. Tectonophysics, 1992, 202(2- 4): 221- 225.

DOI

Sato K. Numerical experiments on strain migration. Journal of the Geodetic Society of Japan (in Japanese), 1989, 35(1): 27- 36.

Tanaka Y. Modes of crustal movements in subduction zones: observed results in the Kii Peninsula along the Nankai Trough. Journal of the Geodetic Society of Japan (in Japanese), 1989, 35(2): 133- 147.

Tao Z G. Seismic underground fluid well water level and water temperature observation data set. Seismological and Geomagnetic Observation and Research, 2022, 43(3): 128- 133.

DOI

Wang H, Zhang Y X, Liu J, et al. 2018. Pre-earthquake observations and their application in earthquake prediction in China: a review of historical and recent progress. //Ouzounov D, Pulinets S, Hattori K, et al eds. Pre-Earthquake Processes: A Multidisciplinary Approach to Earthquake Prediction Studies. Washington: American Geophysical Union, 19-39, doi: 10.1002/9781119156949.ch3.

Wang X, Ye Q, Wang J, et al. The geoelectrical dataset of China's Seismic Geophysical Observation Network. Seismological and Geomagnetic Observation and Research, 2022, 43(3): 134- 139.

DOI

Wu K, Shi H Q, Zhang Y, et al. The crustal strain dataset of China's Seismic Geophysical Observation Network. Seismological and Geomagnetic Observation and Research, 2022, 43(2): 214- 218.

DOI

Wu Y L. The second generation of a network for continuous observation of crustal deformation in China. Earthquake Research in China, 1985, 1(2): 30- 35.

Wu Y L. Observatory techniques and data analyses for earthquake prediction by precursors observed at deformation stations. Earthquake, 1990, 10(5): 33- 46.

Wyss M, Booth D C. The IASPEI procedure for the evaluation of earthquake precursors. Geophysical Journal International, 1997, 131(3): 423- 424.

DOI

Wyss M. Second round of evaluations of proposed earthquake precursors. Pure and Applied Geophysics, 1997, 149(1): 3- 16.

DOI

Xu J S, Wu Q, Jing Q, et al. Pre-slip activities before Wenchuan MW7.9 earthquake at North China and Northeast Asia tectonic-block region. Progress in Geophysics, 2023, 38(6): 2464- 2475.

DOI

Xu K S, Zeng W H. The characteristics of deformation norm changes before and after the Minxian—Zhangxian M6.6 Earthquake. Journal of Geodesy and Geodynamics, 2017, 37(9): 884- 887.

Xu P L, Shu Y M, Liu J N, et al. A large scale of apparent sudden movements in Japan detected by high-rate GPS after the 2011 Tohoku MW9.0 earthquake: physical signals or unidentified artifacts?. Earth, Planets and Space, 2019, 71: 43

DOI

Yang B C, Qin S Q, Xue L, et al. Do reliable short-imminent physical precursors exist before major earthquakes?. Progress in Geophysics, 2016, 31(5): 2020- 2026.

DOI

Yang C Y, Shi F Q, Ji L Y, et al. Mechanism analysis of spatial distribution of the geophysical observation anomalies before the 2013 Minxian-Zhangxian MS6.6 earthquake and the 2017 Jiuzhaigou MS7.0 earthquake. Acta Seismologica Sinica, 2024, 46(2): 307- 326.

Yang X L, Yang J L. Ricker-wavelet-like strain waves in Shanxi Rift, North China: atmospheric loading effect of the squall line. Doklady Earth Sciences, 2024, 516(2): 1050- 1056.

DOI

Yin J T, Wang C M. Loading effect on confined aquifer and barometric effect on water level in wells. Earthquake Research in China, 1988, 4(2): 41- 50.

Zhang Z D, Zheng J H, Feng C G. Quantitative relationship between the earth tide effect of well water level, the barometric pressure effect and the parameters of aquifers. Northwestern Seismological Journal, 1989, 11(3): 47- 52.

Zhao X D, He Y F, Li Q, et al. Analysis of the geomagnetic component Z daily variation amplitude based on the Geomagnetic Network of China during solar quiet days. Chinese Journal of Geophysics, 2022, 65(10): 3728- 3742.

DOI

Zhao Y. Research on background noise level of vertical pendulum tiltmeter in China. Journal of Geodesy and Geodynamics, 2019, 39(8): 869- 874.

DOI

Zhou L S, Qiu Z H, Tang L, et al. Testing precursory wave before strong earthquakes using borehole strain data. Earthquake, 2009, 29(3): 67- 78.

用太, 金子, 景云. 我国深井水位气压效应研究. 水文地质工程地质, 1990,(4): 12- 17.

守玉, 化周, 迪堃, 等. 地下水位气压效应的基本特征、类型及机理. 华北地震科学, 1987, 5(1): 58- 66.

智蓉, , 中旭. 鲁甸6.5级地震前昭通地震台形变异常与降雨关系分析. 云南大学学报(自然科学版), 2018, 40(5): 919- 928.

建设, 大鹏, 金蓉, 等. 龙门山断裂带地壳精细结构与汶川地震发震机理. 地球物理学报, 2009, 52(2): 339- 345.

, 国民. "是否存在有助于预报的地震前兆"的讨论. 科学通报, 2016, 61(18): 1988- 1994.

DOI

家墅, 家勇. 基于高分辨率钻孔应变仪的地震应变波观测研究进展. 地球物理学进展, 2022, 37(1): 51- 58.

DOI

品姬, 正媛, 伶俐, 等. 2022年汤加火山喷发对中国大陆地应变观测的影响分析. 武汉大学学报(信息科学版), 2022, 47(6): 927- 933.

DOI

志刚. 地震地下流体井水位、水温观测数据集. 地震地磁观测与研究, 2022, 43(3): 128- 133.

DOI

, , , 等. 地震地球物理观测台网地电数据集. 地震地磁观测与研究, 2022, 43(3): 134- 139.

DOI

, 贺青, , 等. 地震地球物理观测台网地应变数据集. 地震地磁观测与研究, 2022, 43(2): 214- 218.

DOI

翼麟. 中国第二代地形变连续观测台网. 中国地震, 1985, 1(2): 30- 35.

翼麟. 定点形变前兆预报地震的观测技术与分析方法. 地震, 1990, 10(5): 33- 46.

健生, , , 等. 汶川MW7.9地震前华北和东北亚地块区的预滑活动. 地球物理学进展, 2023, 38(6): 2464- 2475.

DOI

康生, 文浩. 岷县—漳县M6.6地震前后的形变范数变化特征. 大地测量与地球动力学, 2017, 37(9): 884- 887.

百存, 四清, , 等. 究竟有无可靠的大地震短临物理前兆?. 地球物理学进展, 2016, 31(5): 2020- 2026.

DOI

晨艺, 富强, 灵运, 等. 2013年岷县漳县MS6.6地震和2017年九寨沟MS7.0地震震前地球物理观测异常空间分布机理分析. 地震学报, 2024, 46(2): 307- 326.

积涛, 成民. 承压含水层的荷载效应和井孔水位的气压效应. 中国地震, 1988, 4(2): 41- 50.

昭栋, 金涵, 初刚. 井水位的固体潮效应和气压效应与含水层参数间的定量关系. 西北地震学报, 1989, 11(3): 47- 52.

旭东, 宇飞, , 等. 基于中国地磁台网数据的太阳静日期间地磁场Z分量日变化幅度分析. 地球物理学报, 2022, 65(10): 3728- 3742.

DOI

. 全台网垂直摆倾斜仪背景噪声水平分析. 大地测量与地球动力学, 2019, 39(8): 869- 874.

DOI

龙寿, 泽华, , 等. 用中国钻孔应变台网资料检验大震"前驱波". 地震, 2009, 29(3): 67- 78.

Outlines

/