Home Journals Progress in Geophysics
Progress in Geophysics

Abbreviation (ISO4): Prog Geophy      Editor in chief:

About  /  Aim & scope  /  Editorial board  /  Indexed  /  Contact  / 

Classification of seabed sediment based on multi-beam backscatter statistical distribution

  • JinHua LUO , 1, 2 ,
  • XiangZi FENG 1
Expand
  • 1 China Oilfield Services Limited, Tianjin 300459, China
  • 2 National Key Laboratory of Marine Natural Gas Hydrates, Beijing 100028, China

Received date: 2024-05-18

  Online published: 2025-05-09

Copyright

Copyright ©2025 Progress in Geophysics. All rights reserved.

Abstract

Multi-beam Backscatter Strength (BS) data can be used to identify the types of the seafloor and the distribution of seafloor geological hazards, but the traditional method for BS data interpretation is time-consuming and subjective. We applied K-S test techniques to automatically interpret the multibeam BS data. After eliminating the effect of incidence angle, our statistics analysis show that four typical sediments have the Gaussian distributions, and there is a good correlation between BS and the grain size of seafloor sediments. Based on the distribution trends, five other BS distributions were constructed the missing typical seafloor without seafloor samplings. Then, we performed a single sample K-S test method to classify the seafloor sediments for the whole surveyed region. The unknown types of seafloor sediments can be judged and classified by compared their BS distribution with the known typical Gaussian distributions and measuring the similarity between the two. Through experimental comparisons, we determined the optimal window size for experiments on this area to be 30 m × 30 m. At the same time, we set the classification confidence level to 90%, and we obtained results from our experiments that the overall recognition rate (the ratio of the identified area to the total area) reached 92%, and the classification results also matched all the sampling results with high classification accuracy, and the method achieved good results. The results illustrate our automatic method can replace the conventional in-house BS interpretations and reduce offshore operation costs. It requires only a small amount of seafloor samples to achieve automatic seabed classification for the entire area. In addition, the reliability of the classification can be evaluated by a parameter of statistics analysis. The high accuracy of the classification results of this method is particularly suitable for areas where large areas of typical substrate are distributed.

Cite this article

JinHua LUO , XiangZi FENG . Classification of seabed sediment based on multi-beam backscatter statistical distribution[J]. Progress in Geophysics, 2025 , 40(2) : 798 -805 . DOI: 10.6038/pg2025HH0552

0 引言

海底底质的物理性质如粒径、密度、声速、表面粗糙度、体散射等物理参量与海底回波信号的强度密切相关(Anderson et al., 2008Brown et al., 2011Ferrini and Flood, 2006Briggs,1994Briggs et al., 2001Siwabessy et al., 2004Urick,1983杨永等,2016),这是声学海底底质自动分类的物理基础.自动分类,即以获取的海底反射/反向散射强度数据为基础,结合海底样品数据,通过研究一定空间范围内海底反射/散射强度及其变化特征,建立适当的分类算法或模型来判断海底表层沉积物的分布.
基于多波束海底反向散射强度(Backscatter Strength,BS)的底质分类大致可分两种方案,即(1)基于原始回波信号的底质分类和(2)基于二维平面图(mosaic)的底质分类(McGonigle and Collier, 2014).基于原始回波信号的底质分类主要关注时间序列的回波信号,研究热点是不同底质的原始BS随入射角的变化而呈现的曲线形态及其特征(角度响应曲线).角度响应曲线(Angular Response Curve,ARC)(Clarke,1994Clarke et al., 1997)最早由Clarke提出,随后大量的学者在此基础上进行了广泛深入的研究,选取的特征量和使用的分类方法不尽相同.例如,使用一定角度范围内的平均角度响应曲线与理论模型(一般在已知类型底质处拟合得到)进行匹配的方法(Fonseca et al., 2005Jackson et al., 1986);或是选取不同类型底质的角度响应曲线的形态参数用作分类的特征量(Parnum,2007Hamilton and Parnum, 2011Clarke et al., 1997).另有研究某个掠射角范围内BS数据的统计分布随入射角的变化特征,用以作为分类的特征参数(Hellequin et al., 2003Le Chenadec et al., 2007),以及某一角度范围内平均强度值作为分类特征量(Dartnell and Gardner, 2004Lamarche et al., 2011).
基于二维平面图的底质分类方法一般先进行补偿处理,生成只与海底底质有关的二维灰度图像.按分类所采用的特征量不同,一般可分为:(1)图像纹理特征(Pace and Dyer, 1979Reed Ⅳ and Hussong, 1989Imen et al., 2005Lucieer and Lamarche, 2011Lucieer et al., 2013),其中基于灰度共生矩阵图像纹理的分类方法(GLCM)应用最为广泛;(2)像素灰度的概率分布特性,如将一定区域内声呐灰度图像的均值、标准差、偏度、峰度、分位数以及概率分布模型等作为分类的特征量(徐超,2014徐超等,2014McGonigle and Collier, 2014);(3)图像功率谱(Pace and Gao, 1988de Oliveira Junior,2007Clarke,2004),即利用不同底质的BS图像的功率谱差别进行分类.
基于原始回波信号的底质分类方法,无论沿航行方向选取数据还是按脉冲(ping)选取数据,都需要大量的人为干预,分类过程异常复杂.若选择某一角度范围(一般1°)内平均强度值或某个波束中固定序号的原始数据作为分类特征参数,需要将多波束海底BS数据沿航向划分为多个很窄的条带,然后统计每个条带的分布特征.若是对全部数据进行全覆盖分类,则需要将单条测线测得的数据划分为上百个条带;若间隔一定角度(如15°)进行选取,在底质剧烈变化区可能会有所遗漏.基于二维平面图的底质分类中使用的纹理分析方法受众多因素影响,如不同水深、不同分辨率时,图像呈现不同纹理;此外,由于多波束换能器离地高度、发射速率等原因限制,其散射图像中不同底质往往无明显纹理差异.
多波束海底BS数据中携带了众多信息源,如海底底质、粗糙度、地形坡度等(Siwabessy et al., 2006徐超,2014),数据随机起伏较大(Parnum,2007Kloser et al., 2010),在砂质海底中尤为明显,即使是平坦、匀质的砂质海底,其多波束海底BS也存在较强的波动性(Jackson and Richardson, 2007).此外,像素级多波束海底BS随机性强,且未考虑数据空间关联性,不宜作为唯一的分类特征.
本文提出一种利用多波束海底BS统计特征进行底质分类的方法,该方法基于二维灰度图像,从几类典型海底底质BS的统计直方图分布出发,得到每种底质的概率分布特征,然后基于该分布特征,采用拟合优度检验中的单样本K-S检验法对全区海底底质进行了分类实践,并得到了分类的置信度.

1 数据采集与处理

1.1 数据采集

资料采集于南海北部琼东南陆坡上缘,水深120~200 m(图 1).调查区西北-东南走向,长度约18 km,宽约1 km,主测线8条.搭载的多波束系统为Kongsberg EM2040 C,声波频率300 kHz,波束角1°×1°,采用高密度等距离方式采集,每ping含400个波束.除此之外,在该研究区还采集了19个重力柱状样.
图1 调查区域及测线、海底取样位置及水深

Fig 1 Survey area and survey lines, seabed sampling locations and water depth

1.2 数据处理

基于二维灰度图像的海底底质分类需要先除去非底质因素对海底BS的影响,为此本文采用了Lambert定律修正、海底局部斜坡修正(唐秋华等,2006)、平均角度响应曲线修正(Parnum,2007)、标准差归一化(Preston and Christney, 2005)等方法进行了处理.进行上述处理后,采用1 m×1 m的滑动窗口进行一次中值滤波,最后采用反距离加权方法将海底BS数据生成最小网格为2 m×2 m的网格化数据,对应的灰度图像如图 2所示.
图2 反向散射图像

Fig 2 Backscatter intensity image

图 2由8条平行测线测得的数据合并而成,图像已旋转为东西向.图中圆点代表海底取样位置,蓝、深绿、橙和红色分别代表海底取样为中到粗砂、粉质细砂、粉土和黏土.图中黑色矩形T1、T2、T3、T4为典型底质的BS数据选取区域.

2 多波束海底反向散射数据的统计特性

Ulaby等(1988)指出,海底原始BS单个波束中固定序号的强度数据沿航迹方向的统计结果呈指数分布;Hellequin等(2003)Le Chenadec等(2007)指出,海底BS在沿航迹的分辨单元内呈现K分布;另外一些学者则简单地根据中心极值定理(the central limit theorem)认定其值服从正态分布(Simons and Snellen, 2009金绍华等,2014Landmark et al., 2014Amiri-Simkooei et al., 2009Snellen et al., 2019);徐超(2014)根据对海底反向散射信号幅度的线性域K分布公式的推导指出,在沿航迹较窄的范围内,海底散射强度(以dB表示)表现为K分布;当沿航迹的范围足够宽,则其分布逐步渐进于高斯分布.
Urick(1983)Goff等(2000)Collier和Brown(2005)的研究均表明,海底表层沉积物的粒径与海底声散射强度之间存在较好的相关性,即一般情况下,粒径越大,BS越大.Simons和Snellen(2009)对北海西北部Cleaver bank海域的6类底质的多波束海底BS数据的研究表明,此6类底质对应的多波束BS均呈高斯分布,且从砂质泥到砂质砾,随着平均粒径增加,BS均值依次增大(从-32.7 dB到-17.5 dB).本文也得到类似的结论,表明上述现象具有普遍性.
根据海底取样结果,海底共分为4种类型,即:中到粗砂、粉质细砂、粉土和黏土,下文分别以T1、T2、T3和T4表示.分别在上述4种典型底质周围一定范围内选取图像均匀、有代表性的数据(图 2中T1、T2、T3和T4矩形范围所示),统计分析的结果见表 1中黑体部分以及图 3中的实线.通过假设检验得知,上述4种分布均为高斯分布,即说明消除了角度影响后,若统计的样本足够大,单一类型底质的海底多波束BS数据符合高斯分布,与前人的研究结论相符.
表1 海底BS统计分布特征及对应的底质类型

Table 1 Statistical distribution characteristics of backscatter intensity and corresponding sediment types

类型编号 均值/dB 标准差/dB 底质类型 图例 颜色
注:表中粗体T1、T2、T3和T4有海底取样支持.
T1 -24.73 1.22 中到粗砂
T12 -26.26 1.25 细砂
T2 -27.82 1.29 粉质细砂 深绿
T223 -29.04 1.28 砂质粉土-粉质细砂 暗红
T23 -30.28 1.27 砂质粉土 浅绿
T233 -31.50 1.25 粉土-砂质粉土
T3 -32.75 1.23 粉土
T34 -33.73 1.22 粉质黏土 洋红
T4 -34.70 1.20 黏土
图3 典型底质的海底BS数据的高斯分布

Fig 3 Gaussian curve of BS data in typical sediment areas

海底底质的类型往往并非突然变化,有时呈现为渐变状态,而限于海底取样的数量等因素限制,本文得到的已知典型底质类型较少,未能详尽的描述研究区所有可能的底质类型与多波束BS统计分布之间的对应关系.用数量有限的已知典型曲线来描述自然条件下复杂的海底底质,有时误差较大.根据统计得到的4种底质的BS分布,参考Simons和Snellen(2009)公布的6种典型底质(砂质泥、泥质砂、砂、含砾砂等)的BS分布,本文构造了5种典型底质的BS分布.即,假设在T1~T4种底质之间还存在若干中间类型的底质,其海底BS均呈现高斯分布,其底质平均粒径和BS的均值均介于已发现的4类典型底质之间,且BS的均值随着平均粒径而递增,BS的标准差介于相邻类型底质之间.如,可在T1和T2之间构造一种新的底质类型T12,其均值和标准差分别是T1、T2均值和标准差的平均,该类型底质介于T1和T2之间.由于T1、T2分别为中到粗砂、粉质细砂,因此可合理的假设T12对应的底质类型为细砂.从概率密度函数可以看出,T2、T3之间间隔较大,为使分布间隔相对均匀,可在其间可构造3种中间类型;T3(粉土)和T4(黏土)间构造T34,可合理的假设其为粉质黏土(或黏质粉土,差别不大).

3 基于拟合优度检验的底质分类

Simons和Snellen(2009)根据贝叶斯决策理论,将某类分布与相邻分布交点间的范围作为该分布类型的接受域,若BS数据分布在某个接受域,则划分为该类;将某个分布中接受域面积所占的比例作为识别正确率,将该分布位于其他分布接受域的部分作为该类型的误判率.该方法用于多波束BS的分类存在两大缺陷:其一,识别的正确率较低(根据表 1中的参数计算,T1、T12、T2、T223、T23、T233、T3、T34和T4分类的正确率分别为0.72、0.49、0.43、0.36、0.44、0.36、0.37、0.28、0.58);其二,分类是以单个像素为单位,忽略了像素在空间上的相关性.本文以正方形窗口对BS进行样本抽取和统计.为判断窗口内的BS数据是否属于同一种类型,以下引入相似性判定准则.

3.1 相似性判定准则

为了度量一个随机样本是否属于某一已知的分布类型,或者说在合理精度范围内,样本与某一理论分布的数据是否“足够接近”,我们采用拟合优度检验方法.拟合优度检验(Test of Goodness of Fit)是检验用特定统计模型对数据进行拟合是否合适,即对于某个样本,检验其经验函数F(x)是否符合某个已知分布的方法.具体做法是通过将待检验的样本x1x2,…, xmf0(x)比较,来判断以f0(x)作为这组样本的真实分布是否合理.
单样本Kolmogorov-Smirnov检验(以下简称K-S检验)(Massey,1951)是一种常用的拟合优度检查方法,其基本原理是将一组变量的累积分布函数F(x)与已知的理论累积分布函数F0(x)进行比较,以两者之间的最大偏离量(D)来推断该样本是否符合理论分布:
$\begin{aligned}D & =\max \left\{\left|F_0(x)-F(x)\right|\right\} \\& =\max \left\{\int_{-\infty}^x\left|f_0(x)-f(x)\right| \mathrm{d} x\right\}, \end{aligned}$
式中f0(x)、f(x)分别为理论和待检验样本的概率密度函数(Probability Density Function,PDF),本文中理论概率密度函数即高斯分布.由于观测数据的PDF是离散的,所以实际计算时采用求和代替积分运算.Di令表示第种类型的理论累积分布函数(Cumulative Density Function,CDF)与待检验样本的累积分布函数的最大偏离量,则式(1)可改写为
$\begin{aligned}D_i & =\max \left\{\left|F_0^{(i)}-F(x)\right|\right\} \\& =\max \left\{\int_{-\infty}^x\left|\frac{1}{\sqrt{2 \pi} \sigma_i} \mathrm{e}^{-\frac{\left(x-\mu_i\right)^2}{2 \sigma_i^2}}-f(x)\right| \mathrm{d} x\right\} \\& =\max \left\{\sum\nolimits_{j=0}^n\left|\frac{1}{\sqrt{2 \pi} \sigma_i} \mathrm{e}^{-\frac{\left(x_j-\mu_i\right)^2}{2 \sigma_i^2}}-f\left(x_j\right)\right|\right\}, \end{aligned}$
式中μiσi分别为第i种类型理论高斯分布的均值和标准差.以本文实际数据为例,对式(2)说明如下:n为频数直方图中的组数,如本次数据中最大强度为-17.1 db,最小强度为-42.0 db,选用的组距为0.3 db,则组数n为83,即[-42.0, -41.7), [-41.7, -41.4), …, [-17.4, -17.1],f(xj)为位于组[xj, xj+1)内的频数.本文共有9种类型数据(即i=9),故要计算出每个窗口内的样本与这9种典型底质累积分布的最大偏离量D1D2,…,D9.
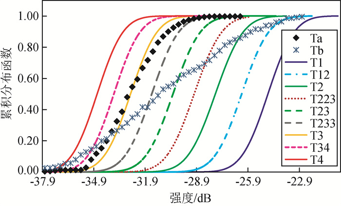
计算Di出后,根据样本容量和选定的置信水平计算出对应的临界值,通过比较Di和临界值的大小来判断该样本是否属于已知类型中的某一种.以图 4中的ab窗口为例,9种典型底质及ab 2个窗口内的多波束海底BS的CDF、F0(i)(x)、F(x)如图 5所示.根据公式(7),计算得到Di(i=1, 2, …, 9)中D3(=0.081)最小,表明a窗口内数据与T3内数据分布最为接近.a窗口内样本容量n=225,当显著水平取0.05时,得到的拒绝临界值D2250.05=0.091>D3,说明可认为a窗口内数据与T3内数据是同一类数据(粉土),判断的正确概率大于0.95.
图4 窗口划分示意图

图中每个窗口内包含15×15个BS数据.

Fig 4 Schematic diagram of window division

Each window in the figure contains 15×15 BS data.

图5 海底BS数据的CDF

Ta、Tb分别为图 5ab窗口内BS图像的CDF,T1~T4为图 4中的9种理论分布的CDF.

Fig 5 Cumulative distribution functions

Ta and Tb are the cumulative distribution functions of the BS data in window of Fig. 5a, b, respectively, and T1~T4 are the CDFs of the nine theoretical distributions in Fig. 4.

表2 图 5中2个窗口内BS数据的K-S检验结果

Table 2 K-S test results for the BS data within the 2 windows in Fig. 5

窗口 Dmax最小值 Dmax最小时对应的类型 是否符合高斯分布*
注:样本容量n=225、显著水平α=0.05.
a 0.081 T3
b 0.321 T233

3.2 最佳样本容量

样本容量对分类结果有较大影响,下面结合试验数据研究样本容量对分类性能的影响.
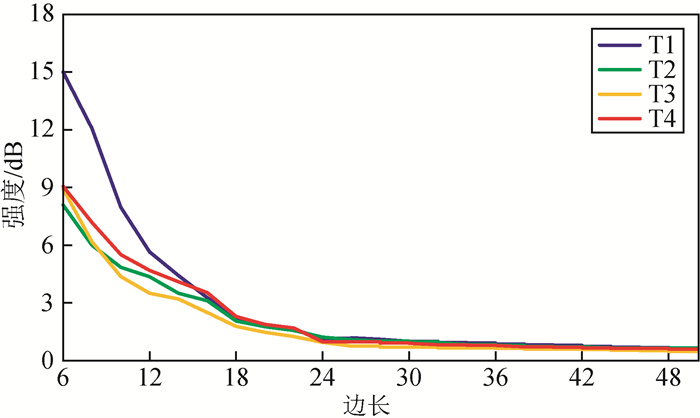
在同类型海底底质的区域(图 2中T1、T2、T3和T4矩形内海底反向散射数据),抽取不同大小的正方形范围(3×3、4×4、5×5…)内的海底反向散射图像样本,观察均值和标准差随样本容量的变化.以均值为例,从图 6可看出,随样本容量的增大,均值和标准差的变动范围均逐渐变小;当样本容量增加到一定程度,其均值和标准差趋于稳定,不再受窗口大小影响.图像窗口不宜过大,否则会使分类结果过于粗糙,降低分类精度.综合考虑分类正确率与分类精度,本文选取窗口尺寸为30 m×30 m,即样本容量为152.
图6 4种典型底质BS平均值波动范围随窗口大小的变化

Fig 6 Variation of the mean BS with window size for four typical sediments

3.3 分类结果及置信度

某个典型底质统计得到的分布只是实际情况的一种代表或特例, 因此假设检验时,应避免因检验条件过于严格而造成实际属于某类典型底质的海底检测结果为“非典型底质”,从而导致分类图上出现较多的空白区.本文取分类置信度为90%, 采用滑动窗口对全区数据进行K-S检验的结果如图 7所示.图中符合不同类型典型高斯分布的窗口分别填充以相应的颜色,置信度小于90%为空白区.总体识别率(识别出的面积与总面积之比)为92%, 分类结果与取样结果全部吻合.
图7 滑动窗口检测结果

Fig 7 Sliding window detection results

通过样本容量与每个统计窗口内的Di值可反算出对应的分类置信度,分类置信度的高低代表与已知典型底质的相似度.全区分类置信度如图 8所示,其中橙色区域分类置信度最高,底质较均一;绿色区域分类置信度中等;红色区域分类置信度最低,主要对应不同类型底质的混合及过渡带.对于分类置信度过低的区域,可辅之以其他信息和手段来确认其底质类型与性质.从图中还可看出存在数条平行于测线方向的条带状的红色区域(图 8中白色箭头所指部分),该部分数据位于波束垂直入射区域附近(θ<15°),属于多波束采集系统固有的特征,目前尚无好的处理方法.
图8 分类置信度

Fig 8 Classification confidence level

4 结论与认识

本文基于实测数据中得到4种典型底质BS的分布参数,构造了5种中间类型的底质,在此基础上采用单样本K-S检验对全区海底底质进行了分类实践.本文所用方法的优势在于只需少量的海底取样,即可对整个BS数据分布区自动完成底质分类,操作简单、自动程度高、抗随机干扰强、分类精度高.
本文方法利用了多波束反向散射数据在一定范围内组合后的分布特征进行分类,不仅能得到较“纯”的底质分布区域,还能给出分类的置信度,尤其适用于典型底质大片分布的区域.对于海底面积较小的目标,以及不同底质混合及过渡区不能得出置信度较高的分类结果.
本文抽取样本是按正方形网格进行划分.也可根据具体情况(如底质的分布形状、调查区域的形状等)选择长宽合适的矩形或其他形状进行划分.
本文取得的典型底质样本较少,用少量的已知典型曲线来衡量实测的数据,会造成较多未知类型的海底,因此本文额外构造了5种底质类型的BS分布曲线.所掌握的典型底质散射强度的分布曲线越多,对实测海底散射强度数据的分类越准确,置信度也越高.
假设检验时,应避免因检验条件过于严格而造成实际属于某类典型底质的海底检测结果为“非典型底质”.所选取的置信水平需要根据研究区底质的变化程度、所允许的误差、样本的容量等进行权衡.

感谢审稿专家提出的修改意见和编辑部的大力支持!

Amiri-Simkooei A , Snellen M , Simons D G . Riverbed sediment classification using multi-beam echo-sounder backscatter data. The Journal of the Acoustical Society of America, 2009, 126 (4): 1724- 1738.

DOI

Anderson J T , Van Holliday D , Kloser R , et al. Acoustic seabed classification: current practice and future directions. ICES Journal of Marine Science, 2008, 65 (6): 1004- 1011.

DOI

Briggs K B. 1994. High-frequency acoustic scattering from sediment interface roughness and volume inhomogeneities [Ph. D. thesis]. Coral Gables: University of Miami, 154.

Briggs K B, Williams K L, Richardson M D, et al. 2001. Effects of changing roughness on acoustic scattering: (1) natural changes. //Proceedings of the Institute of Acoustics. Milton Keynes: Institute of Acoustics, 375-382.

Brown C J , Smith S J , Lawton P , et al. Benthic habitat mapping: a review of progress towards improved understanding of the spatial ecology of the seafloor using acoustic techniques. Estuarine, Coastal and Shelf Science, 2011, 92 (3): 502- 520.

DOI

Clarke J E H , Danforth B W , Valentine P . Areal seabed classification using backscatter angular response at 95 kHz. Lerici: NATO SACLANT Undersea Research Centre, 1997, 243

Clarke J E H. 2004. Seafloor characterization using keel-mounted sidescan: proper compensation for radiometric and geometric distortion. // Canadian Hydrographic Conference. Ottawa: CDROM, 1-18.

Clarke J H . Toward remote seafloor classification using the angular response of acoustic backscattering: a case study from multiple overlapping GLORIA data. IEEE Journal of Oceanic Engineering, 1994, 19 (1): 112- 127.

DOI

Collier J S , Brown C J . Correlation of sidescan backscatter with grain size distribution of surficial seabed sediments. Marine Geology, 2005, 214 (4): 431- 449.

DOI

Dartnell P , Gardner J V . Predicting seafloor facies from multibeam bathymetry and backscatter data. Photogrammetric Engineering & Remote Sensing, 2004, 70 (9): 1081- 1091.

de Oliveira Junior A M. 2007. Maximizing the coverage and utility of multibeam backscatter for seafloor classification [Master's thesis]. Fredericton: The University of New Brunswick, 1-25.

Ferrini V L , Flood R D . The effects of fine-scale surface roughness and grain size on 300 kHz multibeam backscatter intensity in sandy marine sedimentary environments. Marine Geology, 2006, 228 (1-4): 153- 172.

DOI

Fonseca L E, Mayer L A, Kraft B J. 2005. Seafloor Characterization through the application of AVO analysis to multibeam sonar data. //Pace N G, Blondel P eds. Boundary Influences in High Frequency, Shallow Water Acoustics. City of Bath: University of Bath, 241-250.

Goff J A , Olson H C , Duncan C S . Correlation of side-scan backscatter intensity with grain-size distribution of shelf sediments, New Jersey margin. Geo-Marine Letters, 2000, 20 (1): 43- 49.

DOI

Hamilton L J , Parnum I . Acoustic seabed segmentation from direct statistical clustering of entire multibeam sonar backscatter curves. Continental Shelf Research, 2011, 31 (2): 138- 148.

DOI

Hellequin L , Boucher J M , Lurton X . Processing of high-frequency multibeam echo sounder data for seafloor characterization. IEEE Journal of Oceanic Engineering, 2003, 28 (1): 78- 89.

DOI

Imen K, Fablet R, Boucher J M, et al. 2005. Statistical discrimination of seabed textures in sonar images using co-occurrence statistics. //Europe Oceans 2005. Brest: IEEE, 605-610.

Jackson D R , Winebrenner D P , Ishimaru A . Application of the composite roughness model to high-frequency bottom backscattering. The Journal of the Acoustical Society of America, 1986, 79 (5): 1410- 1422.

DOI

Jackson D R , Richardson M D . High-Frequency Seafloor Acoustics. New York: Springer, 2007

Jin S H , Xiao F M , Bian G , et al. A method for extracting seabed feature parameters based on the angular response curve of multibeam backscatter strength. Geomatics and Information Science of Wuhan University, 2014, 39 (12): 1493- 1498.

DOI

Kloser R J , Penrose J D , Butler A J . Multi-beam backscatter measurements used to infer seabed habitats. Continental Shelf Research, 2010, 30 (16): 1772- 1782.

DOI

Lamarche G , Lurton X , Verdier A L , et al. Quantitative characterisation of seafloor substrate and bedforms using advanced processing of multibeam backscatter—Application to cook strait, New Zealand. Continental Shelf Research, 2011, 31 (S2): S93- S109.

Landmark K , Solberg A H S , Austeng A , et al. Bayesian seabed classification using angle-dependent backscatter data from multibeam echo sounders. IEEE Journal of Oceanic Engineering, 2014, 39 (4): 724- 739.

DOI

Le Chenadec G , Boucher J M , Lurton X . Angular dependence of K-distributed sonar data. IEEE Transactions on Geoscience and Remote Sensing, 2007, 45 (5): 1224- 1235.

DOI

Lucieer V , Lamarche G . Unsupervised fuzzy classification and object-based image analysis of multibeam data to map deep water substrates, Cook Strait, New Zealand. Continental Shelf Research, 2011, 31 (11): 1236- 1247.

DOI

Lucieer V , Hill N A , Barrett N S , et al. Do marine substrates 'look' and 'sound' the same? Supervised classification of multibeam acoustic data using autonomous underwater vehicle images. Estuarine, Coastal and Shelf Science, 2013, 117: 94- 106.

DOI

Massey F J Jr . The Kolmogorov-Smirnov test for goodness of fit. Journal of the American Statistical Association, 1951, 46 (253): 68- 78.

DOI

McGonigle C , Collier J S . Interlinking backscatter, grain size and benthic community structure. Estuarine, Coastal and Shelf Science, 2014, 147: 123- 136.

DOI

Pace N G , Dyer C M . Machine classification of sedimentary sea bottoms. IEEE Transactions on Geoscience Electronics, 1979, 17 (3): 52- 56.

DOI

Pace N G , Gao H . Swathe seabed classification. IEEE Journal of Oceanic Engineering, 1988, 13 (2): 83- 90.

DOI

Parnum I M. 2007. Benthic habitat mapping using multibeam sonar systems. Perth: Curtin University of Technology.

Preston J M , Christney A C . Compensation of sonar image data primarily for seabed classification. The Journal of the Acoustical Society of America, 2005, 118 (2): 586

DOI

Reed Ⅳ T B , Hussong D . Digital image processing techniques for enhancement and classification of SeaMARC Ⅱ side scan sonar imagery. Journal of Geophysical Research: Solid Earth, 1989, 94 (B6): 7469- 7490.

DOI

Simons D G , Snellen M . A Bayesian approach to seafloor classification using multi-beam echo-sounder backscatter data. Applied Acoustics, 2009, 70 (10): 1258- 1268.

DOI

Siwabessy P J W, Tseng Y T, Gavrilov A N. 2004. Seabed habitat mapping in coastal waters using a normal incident acoustic technique. //Proceedings of ACOUSTICS 2004. Gold Coast, 187-192.

Siwabessy P J W, Gavrilov A N, Duncan A J, et al. 2006. Statistical analysis of high-frequency multibeam backscatter data in shallow water. //Proceedings of ACOUSTICS 2006. Christchurch.

Snellen M , Gaida T C , Koop L , et al. Performance of multibeam echosounder backscatter-based classification for monitoring sediment distributions using multitemporal large-scale ocean data sets. IEEE Journal of Oceanic Engineering, 2019, 44 (1): 142- 155.

DOI

Tang Q H , Zhou X H , Ding J S , et al. Study on processing of multibeam backscatter data. Acta Oceanologica Sinica, 2006, 28 (2): 51- 55.

DOI

Ulaby F T , Haddock T F , Austin R T . Fluctuation statistics of millimeter-wave scattering from distributed targets. IEEE Transactions on Geoscience and Remote Sensing, 1988, 26 (3): 268- 281.

DOI

Urick R J . Principles of Underwater Sound. 3rd ed. New York: McGraw-Hill, 1983

Xu C. 2014. Study on seabed classification technology based on multibeam bathymetry sonar [Ph. D. thesis](in Chinese). Harbin: Harbin Engineering University.

Xu C , Li H S , Wang C , et al. Seabed classification of multibeam seabed acoustic image based on composite kernel SVM. Progress in Geophysics, 2014, 29 (5): 2437- 2442.

DOI

Yang Y , He G W , Zhu K C , et al. Classification of seafloor geological types of Qianyu seamount from mid-pacific seamounts using multibeam backscatter intensity data. Earth Science, 2016, 41 (4): 718- 728.

DOI

绍华 , 付民 , , 等. 利用多波束反向散射强度角度响应曲线的底质特征参数提取算法. 武汉大学学报·信息科学版, 2014, 39 (12): 1493- 1498.

DOI

秋华 , 兴华 , 继胜 , 等. 多波束反向散射强度数据处理研究. 海洋学报, 2006, 28 (2): 51- 55.

DOI

徐超. 2014. 多波束测深声呐海底底质分类技术研究[博士论文]. 哈尔滨: 哈尔滨工程大学.

, 海森 , , 等. 基于合成核SVM的多波束海底声图像底质分类研究. 地球物理学进展, 2014, 29 (5): 2437- 2442.

DOI

, 高文 , 克超 , 等. 利用多波束回波强度进行中太平洋潜鱼海山底质分类. 地球科学, 2016, 41 (4): 718- 728.

DOI

Outlines

/