Home Journals Progress in Chemistry
Progress in Chemistry

Abbreviation (ISO4): Prog Chem      Editor in chief: Jincai ZHAO

About  /  Aim & scope  /  Editorial board  /  Indexed  /  Contact  / 
Review

Condensed Matter Chemistry in Catalytic Conversion of Small Molecules

  • Hai Wang ,
  • Chengtao Wang ,
  • Hang Zhou ,
  • Liang Wang , * ,
  • Fengshou Xiao , *
Expand
  • College of Chemical and Biological Engineering, Zhejiang University,Hangzhou 310027, China
*Corresponding authore-mail: (Liang Wang);
(Fengshou Xiao)

Received date: 2023-02-07

  Revised date: 2023-03-08

  Online published: 2023-05-15

Abstract

Catalysis has played an important role in the modern chemical industry. The processes of oil refining, petrochemical industry, fine chemical industry, pharmaceutical industry, and environmental protection strongly rely on catalysts. The catalytic transformation of small molecules is a key technology that provides solutions for energy and environmental problems, which has become one of the most important and hot topics in the international community. In this article, we summarize the progress of condensed matter chemistry and focus on the catalytic conversion of small molecules. The dehydrogenation of alkanes, hydrogenation of organic small molecules, efficient hydrogen production, and syngas conversion are summarized and discussed. The changes in the chemical properties of the condensed state caused by the metal-support interactions have been emphasized. We hope this review is helpful for the study of the structure-performance relationship between the multi-level structure of condensed matter and their catalytic properties, guiding the design of efficient catalysts in the future.

Contents

1 Introduction

2 Catalytic dehydrogenations of propane with different condensed matter structures

2.1 PtSn-based catalysts

2.2 PtZn-based catalysts

2.3 Pt-rare earth-based catalysts

2.4 Other dehydrogenation catalysts

3 Selective hydrogenations of organic molecules catalyzed by condensed matter with multi-level structure

3.1 Selective hydrogenation of nitro compounds

3.2 Reductive amination of oxygenated organic molecules

4 Hydrogen production catalyzed by condensed matter with multi-level structures

4.1 Methanol steam reforming

4.2 Water-gas shift reaction

5 Carbon monoxide oxidation catalyzed by condensed matter with multi-level structures

5.1 Gold nanoparticle catalyst for low temperature CO oxidation

5.2 Improved sinter-resistance of metal nanoparticles via condensed matter structure

5.3 Pt nanoparticle catalyst for low temperature CO oxidation

6 Syngas conversion on condensed matter structure

6.1 Identification of the active site in Rh-based catalyst

6.2 Catalysts composition

6.3 Morphologies of Rh species

6.4 Effect of additives

6.5 Effect of supports

6.6 Effect of synthetic methods

6.7 Encapsulated Rh catalysts

7 Conclusion and outlook

Cite this article

Hai Wang , Chengtao Wang , Hang Zhou , Liang Wang , Fengshou Xiao . Condensed Matter Chemistry in Catalytic Conversion of Small Molecules[J]. Progress in Chemistry, 2023 , 35(6) : 861 -885 . DOI: 10.7536/PC221133

1 Introduction

Supported catalysts are the most widely used heterogeneous catalysts. Due to the highly dispersed nanostructure, the surface of metal or oxide nanoparticles as the main active center usually has amorphous characteristics, which may be the main source of their activity[1]. Correspondingly, most of the bulk metals or oxides show only poor catalytic performance. Although the supported metal or oxide nanoparticles can be identified to have a certain lattice structure by different characterization methods, the surface-dominated amorphous structure and abundant low-coordinated atoms after high dispersion are beyond doubt. In addition, in some high-temperature reactions, the thermal motion of the nanostructure surface is very intense, and it is difficult to accurately identify the atomic-level precise structure of the reaction state[2]. Therefore, the crystalline structure of metal or oxide nanocenters in the non-working state is a structural feature that can be accurately identified, and is closely related to the state under dynamic conditions, which is usually used as an important basis for judging the relationship between the condensed structure and catalytic performance. The catalytic performance is closely related to the size, morphology, electronic structure and support interaction of the active species, which are affected by the surface structure, specific surface area and element type of the support[3]. How to accurately obtain the condensed structure information of catalysts and correlate it with their catalytic performance has always been a difficult point in catalytic research. This requires not only the development of catalytic materials with specific structures to achieve flexible control of performance, but also the development of precise characterization methods to identify key intermediates in the reaction process, and the full understanding of the reaction process combined with kinetic analysis. This is of great significance for further improving the catalyst structure and developing more efficient catalytic materials.
In this review, we summarize the structure-activity relationship between the condensed state structure and the catalytic performance of supported catalysts in several typical small molecule conversion reactions, and further explore how to further control the catalyst structure in specific reactions to achieve improved activity, selectivity, or catalytic lifetime.

2 Catalytic propane dehydrogenation with different condensed structures

Propylene is one of the two basic organic chemical raw materials with the highest output in the world, and it is also one of the important links connecting the upstream and downstream industries of the petrochemical industry. Propylene not only has a diversified production process, but also has a rich downstream industrial chain. In recent years, with the development of downstream polypropylene, propylene oxide, acrylonitrile, acrylic acid/ester and other products, propylene, as the main raw material of these bulk chemicals, has also been developed rapidly[4]. Although the co-production of catalytic cracking and steam cracking of traditional petroleum routes is still the mainstream of global propylene production, accounting for more than 50% of global propylene production capacity, the dehydrogenation route with propane as raw material has developed rapidly with the advancement of shale gas revolution around 2010. Catalytic dehydrogenation of propane (PDH) has been industrialized in the 1990s. In 1990, Thailand National Petroleum Corporation completed the world's first commercial propane dehydrogenation plant. In 2013, China's first PDH unit, Tianjin Bohai Chemical's 650,000 tons/year propane dehydrogenation unit, was put into operation. In the following few years, due to the promotion of the downstream low-carbon olefin market and the increasing abundance of low-carbon alkane resources (mainly from oil and gas exploitation and processing), more and more Chinese enterprises are actively introducing foreign alkane dehydrogenation technology. According to statistics, from 2013 to 2020, 21 sets of PDH units have been built and put into operation or will be put into operation in China, with propylene production capacity exceeding 10 million tons, accounting for 1/3 of the total propylene production capacity in China. It can be seen that propane will replace petroleum resources as the main raw material for propylene production in the future, which is one of the most important issues in the innovation of chemical production technology.
Platinum (Pt) -based catalysts are the most widely studied catalysts for propane dehydrogenation. Although Pt is expensive, its leading role is still irreplaceable in a short time[5]. Monometallic Pt-based catalysts have very high activity in dehydrogenation reactions, but their selectivity to olefins and catalyst stability are not sufficient to meet industrial production requirements. Therefore, it is necessary to add a second component metal as a promoter to modulate the catalytic performance of Pt centers. Among them, tin (Sn) is the most studied promoter so far, and almost all Pt-based catalyst formulations for industrial applications contain Sn promoter. From the theoretical point of view, the introduction of additives is to inhibit hydrogenolysis, isomerization and carbon deposition side reactions, minimize metal sintering, neutralize the acidity of the carrier, and promote the diffusion of carbon deposition and its precursors from the metal surface to the carrier[6]. In this part, the optimization principle of three typical promoter metals on Pt catalysts and the recent research progress are introduced.

2.1 PtSn catalyst system

In the early 1970s, UOP introduced Sn into Pt catalysts, which greatly improved the stability and selectivity of Pt catalysts. The Oleflex process based on supported PtSn catalyst developed by the company was successfully put into operation in 1990, and has rapidly developed into the most widely used propane catalytic dehydrogenation technology in the world. As the most commonly used promoter of Pt-based catalysts, researchers have done a lot of in-depth research on the role of Sn in the past decades, and proposed a variety of mechanism models, which can be roughly classified into geometric modification effect and electronic modification effect.
The so-called geometric modification effect means that the introduction of Sn species is beneficial to the dispersion of Pt species, and in the most ideal case, Pt species can be dispersed in the form of single atom/single center. From a geometrical point of view, it has been proposed that: isomerization, hydrogenolysis and coke precursor formation can all be suppressed by reducing the size of Pt nanoparticles. It is worth noting that the formation of PtSn alloy and the partial coverage of Pt particles by Sn species lead to the generation of smaller PtSn ensembles. Olsbye et al. And Jung et al. Believed that Sn could selectively cover low-coordinated Pt sites (such as steps, corners, edges and defects of Pt grains), and they believed that these low-coordinated Pt sites were the cause of hydrogenolysis side reactions[7,8]. In addition, the dehydrogenation main reaction is considered to be a structure-insensitive reaction, which means that very small groups or even a single Pt atom can catalyze the reaction. But in contrast, side reactions such as coking are structure-sensitive. The formation of PtSn alloy can effectively reduce the number of adjacent Pt atoms in the assembly, thus curbing these structure-sensitive reactions. In addition, it has been suggested that the sintering rate of Pt nanoparticles is also slowed down with the addition of Sn. The carbon precursor species prefer to be adsorbed on the surface of Pt particles with larger size, so the introduction of Sn promotes the migration of these carbon precursors from the surface of PtSn to the support, effectively inhibiting the deactivation caused by the deposition of carbon species on the active site surface[9,10].
The so-called electronic modification means that Sn species donate electrons to Pt to increase the electron density of Pt, and accordingly adjust the binding strength of alkanes and alkenes and various intermediates to the catalyst surface. The secondary effect brought by Sn species is to change the electronic characteristics of Pt. The alloyed metallic Sn or SnOx oxides are able to transfer electrons to the 5d orbital of Pt atoms, thereby changing the adsorption and catalytic properties of Pt. Dumesic et al. Conducted a systematic microcalorimetric study of adsorption and observed that the heat of adsorption of ethylene and butene on the surface of Pt-based catalysts decreased with the addition of Sn[11~13]. The infrared spectra show that the introduction of Sn inhibits the deep dehydrogenation of ethylene to acetylene and weakens the molecular adsorption of ethylene on the Pt surface during the ethylene adsorption process. Acetylene is generally considered to be one of the main precursors of coke and hydrogenolysis. In addition, the DFT calculation shows that Sn can increase the energy barrier of propane dissociation adsorption and reduce the dehydrogenation rate of Pt catalyst, but on the other hand, with the increase of the desorption energy barrier of propylene, the deep dehydrogenation and cracking reactions are more difficult to carry out, thus effectively improving the dehydrogenation selectivity[14~16]. These two actions determine the existence of optimal values of Pt and Sn ratios.
Linic et al. Reported a Pt1Sn1/SiO2 of PtSn alloy nanoparticle catalyst supported on silica substrate[17]. The composition ratio of Pt to Sn in the catalyst is about 1 ∶ 1, and the particle size of the metal is less than 2 nm. The results show that the interaction between PtSn alloy nanoparticles and silica substrate is weaker than that of the most widely used alumina substrate, which can inhibit the deactivation caused by the phase separation of PtSn alloy. On the surface of the propane dehydrogenation catalyst, propane can react at a conversion rate close to the thermodynamic reaction equilibrium limit, and the propane conversion rate and the product propylene selectivity can reach 67% and 99% respectively. The carbon deposition on the catalyst was also effectively inhibited, and no catalyst deactivation was observed during the 30 H continuous catalytic reaction.
Corma et al. Have carefully regulated the PtSn bimetallic clusters confined in the pores of molecular sieves, and developed some characterization methods for these highly active species[18]. They selectively encapsulated sub-nanometer Pt or PtSn clusters with a size as low as about 0.5 nm in the zig-zag channels of MFI zeolite, and characterized the reduction and activation process of the catalyst by in situ TEM and CO adsorption in situ infrared spectroscopy. They found that atomically dispersed Pt species can be reduced to Pt clusters by H2 at lower temperatures, and then stabilized in the channels of MFI zeolite. The reduction of Sn lags behind that of Pt, requiring higher temperature and longer time; As Sn is reduced from + 4 to about + 2, Sn migrates to the surface of the Pt cluster and interacts in a Pt-O-Sn manner, so the structure of the bimetallic PtSn cluster is significantly different from that of conventional PtSn alloy nanoparticles. Finally, they investigated the catalytic performance of this series of K-PtSn @ MFI samples in propane dehydrogenation. The results showed that the initial activity of the catalyst did not change significantly with the extension of the reduction time of H2, but interestingly, the deactivation rate of the catalyst was greatly reduced, and the deactivation rate constant decreased by one order of magnitude. Combined with the above structural characterization results, they believe that the formation of bimetallic sub-nanoclusters by PtSn species can effectively inhibit the generation of carbon deposition. At the same time, only a part of Pt in the cluster is covered by Sn atoms, so it does not have a significant impact on the activity of Pt, which makes K-PtSn @ MFI catalyst achieve a good balance between activity and stability.

2.2 PtZn catalyst system

At present, most studies believe that the introduction of Zn promoter is also based on the geometric modification effect and electronic modification effect to optimize the dispersion of Pt species and adjust the electronic structure of Pt centers, thus improving the reaction performance of the catalyst[19~21]. For example, Yu Jihong of Jilin University and Wang Ye of Xiamen University cooperated to develop a series of preparation methods of molecular sieve-coated sub-nanometer metal clusters by using molecular sieve confinement effect[22]. For the propane dehydrogenation reaction, they used the ligand protection-pure hydrogen reduction strategy to successfully encapsulate the PtZn bimetallic sub-nanoclusters inside the pure silicon MFI zeolite (S-1) crystal by a one-step hydrothermal crystallization method. Compared with the Pt @ S-1-C sample prepared by the traditional high temperature calcination-hydrogen reduction process, the Pt @ S-1-H and PtZn4@S-1-H samples prepared by the direct pure hydrogen reduction process have significantly lower sub-nanometer metal particle size and are uniformly dispersed in the 10-membered ring cross channels of the molecular sieve. Due to the ultra-small metal size and the synergistic effect between PtZn bimetals, PtZn4@S-1-H exhibited excellent propane dehydrogenation performance: the propylene selectivity was above 99% and the propylene production rate was as high as 65. 5 mol l C 3 H 6 · g P t - 1 ·h-1 at 550 ℃. In addition, without the introduction of hydrogen, the catalytic performance of the PtZn4@S-1-H catalyst remained stable even after reaction for more than 200 H. The carbon formation rate is calculated to be as low as 0.001 h-1, which is one two-hundredth of the carbon formation rate of the PtZn4/Al2O3 catalyst under the same test conditions. In addition, the introduction of alkali metal ion Cs+ can further improve the regeneration stability of the PtZn4@S-1-H catalyst, and the propane dehydrogenation performance of the catalyst is still unchanged after four regeneration cycles, so that the catalyst has an important industrial application prospect.
Similarly, Gong et al. Reported that an ordered alloy composed of a single PtZn4 site, which does not rely on the confinement of molecular sieve channels, can stably and efficiently convert propane to propylene at 520 ~ 620 ℃: the propylene selectivity is > 95%, and there is no significant deactivation during 160 H of continuous reaction[23]. Its catalytic performance is close to that of the PtZn4@S-1-H mentioned above, and is significantly better than that of the current commercial PtSn catalyst. The structural characterization results show that Pt coordinated by four Zn atoms is the active site, which is consistent with previous studies[23]. Bell et al. Recently reported that by introducing Zn into dealuminated zeolite beta (* BEA), isolated Pt atoms can be stabilized within the hydroxyl nest of the ≡ SiOZn-OH group (Fig. 1)[24]. It is found that once treated at 550 ℃ in He, Pt is automatically reduced to nearly zero valence and Zn is in an average oxidation state close to + 1. In the activated catalyst, Pt is coordinated by approximately six Zn atoms, and the conversion frequency in propane dehydrogenation is as high as ~ 6.8 mol l C 3 H 6 · mol P t - 1 ·s-1, the highest value reported so far in propane dehydrogenation research. Therefore, the active site structure of Pt-Zn catalyst system should be diversified, and there is still the possibility of further optimization.
图1 Bell等提出的高活性PtZn中心的形成过程[24]

Fig.1 The formation process of PtZn active site proposed by Bell et al.[24]. Copyright 2021, American Chemical Society

2.3 Pt-rare earth catalyst system

Although rare earth elements are abundant, there is still a lack of research on Pt-rare earth system, especially Pt-rare earth alloy catalyst system in propane dehydrogenation. This is due to the low chemical potential of rare earth oxides, which is considered to be almost impossible to form Pt-rare earth alloys through the reduction pathway under high temperature hydrogen flow. However, Ryoo et al. Found that the chemical potential of monatomic rare earth elements is significantly higher than that of bulk oxides, which makes them possible to diffuse to Pt, so Pt-REE alloys may be formed by doping monatomic rare earth species with high chemical potential[25]. The researchers further speculated that framework defect sites in zeolites could help form atomically dispersed rare earth elements, while silanol nests in molecular sieves could stabilize monatomic rare earth elements by forming coordination bonds. Therefore, it is possible to promote the formation of Pt-REE alloy nanoparticles by regulating the concentration of silanol pockets in mesoporous MFI zeolites. The results of atomic resolution electron microscopy showed that some of La and Y formed alloy particles with Pt nanoparticles and were uniformly supported on the surface of mesoporous MFI zeolite. The PtLa alloy catalyst (PtLa/mz-deGa) designed based on this method has an initial propane conversion of up to 40% (close to the equilibrium conversion) in the propane dehydrogenation reaction, and can maintain a conversion of more than 25% for more than 10 days, and still maintain a conversion of 8% even after a month of continuous reaction. Similar to PtLa/mz-deGa, PtY and PtCe alloy catalysts have excellent initial propane conversion, propylene selectivity and reaction life, but the overall performance is inferior to PtLa/mz-deGa. Researchers believe that this may be attributed to the differences in atomic size and electronegativity of different rare earth elements. La has a larger atomic size and lower electronegativity among these rare earths, so the geometric and electronic properties of Pt are modified to a greater extent.

2.4 Other dehydrogenation catalyst system

Although most of the current research work on propane dehydrogenation focuses on Pt catalysts, Pt catalysts are expensive and easy to sinter, and the regeneration process is complicated and high in energy consumption. Therefore, the development of non-precious metal based catalysts, such as chromium (Cr), Zn and Fe, has attracted much attention. Compared with Pt, the cost of these metal catalysts is lower, usually less than one tenth or even lower than that of Pt catalysts.

2.4.1 Cr-based catalyst

Since first reported by Frey and Huppke et al. In 1933, supported chromium oxide-based catalysts have rapidly become the most concerned propane dehydrogenation catalyst system in the 20th century. The earliest FBD-4 process and Catofin process using Cr2O3/Al2O3 catalyst in industry were put into production in 1964 and 1986, respectively, while Oleflex and other processes based on Pt-based catalyst were gradually applied after the 1990s.

2.4.2 Zn-based catalyst

As mentioned earlier, Zn or ZnO species have received extensive attention and research as promoters for Pt-based catalysts. On the other hand, ZnO, as a typical semiconductor oxide, has Lewis acidic sites, which may be potential sites for alkane dehydrogenation. Kondratenko and Jiang et al. Successfully synthesized dinuclear ZnOx species on the surface of S-1 zeolite by a simple mechanical mixing-in situ hydrogen reduction treatment[26]. The results show that when the mechanically mixed ZnO-S-1 sample was reduced, the reduced ZnO migrated to the S-1 in the form of Zn element and reacted with its silanol nest to form a binuclear ZnOx species. Under reductive conditions, the low-coordinated dinuclear ZnOx species are the active sites for propane dehydrogenation. When the catalyst was applied to the oxygen-free dehydrogenation of propane, the catalyst showed excellent catalytic performance in 400 H of continuous reaction. Compared with the commercial K-CrOx/Al2O3, the propylene space-time yield of the catalyst was about 3 times that of the K-CrOx/Al2O3 under the same conditions (Fig. 2). The preparation method of the catalyst can also be extended to other types of molecular sieves rich in hydroxyl groups and metal oxides rich in hydroxyl groups, and shows good application prospect.
图2 (a,b)ZnO-S-1和K-CrOx/Al2O3催化剂的丙烷脱氢转化率以及丙烯时空产率对比;(c)ZnO-S-1催化丙烷脱氢的反应机理[26]

Fig.2 (a, b) Comparison of propane dehydrogenation conversion and propylene yield between ZnO-S-1 and K-CrOx/Al2O3 catalysts; (c) Reaction mechanism of propane dehydrogenation on ZnO-S-1[26]. Copyright 2021, Nature Publishing Group

2.4.3 Fe-based catalyst

Similar to Zn, iron oxide can also catalyze the C-H bond activation of alkanes due to its unique Lewis acid properties. In fact, Fe-based catalysts have been the main component of industrial ethylbenzene dehydrogenation catalysts for a long time. However, the use of Fe in the non-oxidative dehydrogenation of alkanes usually leads to serious cracking and carbon deposition problems (Fe is usually the main catalyst for the growth of carbon nanotubes by vapor deposition of alkanes in the absence of oxygen). In order to solve the problems in the process of direct dehydrogenation of alkanes to olefins, our research group developed an efficient, cheap and anti-carbon deposition alkane dehydrogenation catalyst to overcome the problems of low conversion, high price and short life in the process of direct dehydrogenation of alkanes to olefins. The researchers used sodium ethylenediaminetetraacetate (EDTA) to assist the synthesis of iron-containing MFI silicalite (FeS-1), which improved the unsatisfactory dehydrogenation activity, selectivity and stability of Fe-based catalysts in the past, showed excellent ethane conversion in ethane dehydrogenation reaction, and was significantly better than the most widely used PtSn catalyst in terms of anti-carbon deposition stability[27]. The difference of structure-activity relationship between FeS-1 and conventional Fe-based and other conventional dehydrogenation catalysts was demonstrated by multiple characterizations and density functional calculations (Fig. 3). By studying the two dimensional descriptors (adsorption free energy of *C2H4 and *H), the reaction phase diagram was constructed to unify the different reaction mechanisms of Fe and FeS-1 catalysts.The authors found that the intrinsic activity (conversion) of metal catalysts Pt, Pd and PtSn is limited by the first step of ethane dehydrogenation (R1), while Fe is located at the intersection of R1, R3 (ethylene desorption) and R4 (hydrogen desorption), that is, the catalytic performance of Fe is affected by the above three steps simultaneously. For the zeolite S-1 modified catalyst, the rate-limiting step of NiS-1 and CuS-1 is R4, while FeS-1 is just located at the junction of R1 and R4, and its relatively weak *H adsorption makes it easier to generate hydrogen and desorb. This study theoretically unifies the reaction yield of metal and molecular sieve systems through a microkinetic model, which provides a new direction for the design of catalysts for oxygen-free dehydrogenation.
图3 不同催化剂表面以*C2H4*H为指示符的二维反应相图[27]

Fig.3 Two-dimensional reaction phase diagrams for the EDH reaction with the two descriptors of *C2H4 and *H on the surface of different catalysts[27]. Copyright 2020, American Chemical Society

3 Selective Hydrogenation of Organic Molecules Catalyzed by Condensed Multilevel Structure

3.1 Selective hydrogenation of nitro compound

Amine compounds are important organic chemical raw materials and chemical intermediates, which are widely used in the synthesis of pharmaceuticals, pesticides, fine chemicals, polymers, dyes, spices and so on[28,29]. According to statistics, there are hundreds of products made from amine compounds, which occupy a huge market share in the organic chemical industry. For example, the global consumption of chloroaniline products has reached 3 million tons in 2003, and the annual consumption in China is more than 100,000 tons. Most of the amine compounds are obtained by the reduction of the corresponding nitro compounds. The traditional reduction methods include sodium sulfide reduction, iron powder reduction and catalytic reduction. Among them, sodium sulfide reduction and iron powder reduction produce a large number of "three wastes" in the production process, which cause serious pollution and have been gradually eliminated[30][31]. At present, the industrial production of amines mainly depends on the catalytic reduction of nitro compounds, but the activity, selectivity and stability of the condensed state (solid state catalyst) used in this process still need to be improved.
The main problems in the hydrogenation of nitro compounds are: (I) when two or more unsaturated functional groups exist in the molecule of nitro compounds at the same time, how to ensure that only the nitro (N = O) bond is hydrogenated with high selectivity while maintaining other unsaturated functional groups; (ii) The hydrogenation reaction path of nitro compounds is complex (Fig. 4), and how to control the reaction degree of N = O bond hydrogenation to obtain the target amine products and avoid the formation of intermediate by-products such as nitroso and azobenzene; (iii) how to precisely control the condensed state multi-level structure (for detailed definition, please refer to the website: hppt://en. Wikipeida. org/wiki/condensed matter physics) to obtain high hydrogenation activity and high selectivity at the same time; (iv) How to improve the tunability and stability of the condensed microstructure and avoid the sintering/loss of metal components during the reaction. Therefore, it is of great significance to rationally design the multi-level condensed structure, regulate the condensed microstructure (including surface, interface and defects), and deeply understand the relationship and law among the condensed crystallization construction, multi-level microstructure and function for improving the selective hydrogenation performance of catalysts.
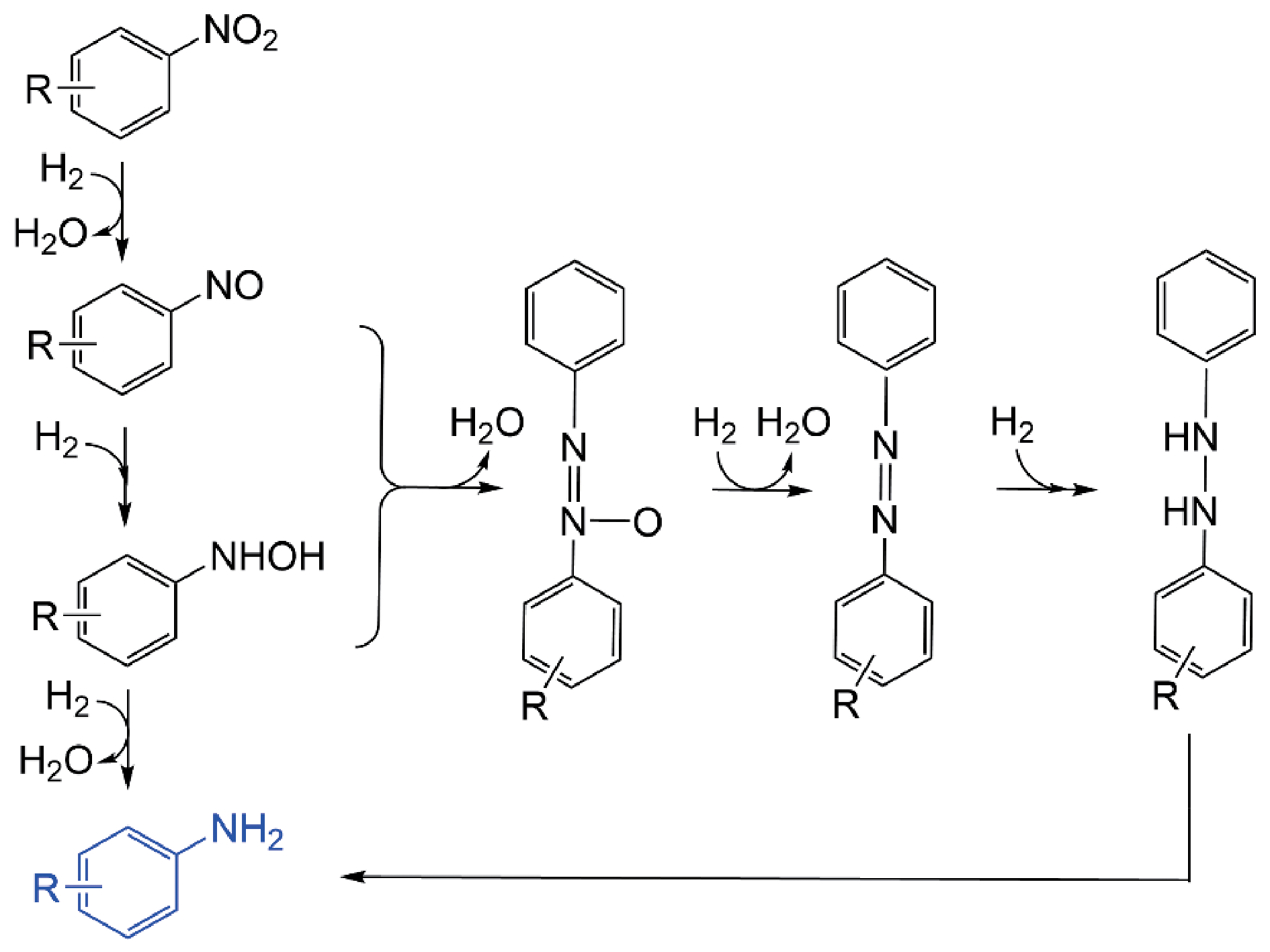
图4 芳香硝基化合物加氢反应路径图

Fig.4 Scheme showing the hydrogenation of aromatic nitro compounds

To solve the above problems, especially the problem of catalytic selectivity, researchers have proposed a series of solutions. For example, by controlling the morphology, composition or electronic structure of metal nanoparticles, the adsorption of different functional groups in reactant molecules on the condensed surface can be changed to control their catalytic selectivity. By changing or modifying the imperfection and inhomogeneity of the surface of the metal particles, the adsorption posture of the reactant molecules is changed so as to regulate the hydrogenation selectivity; Alter that dimension of the metal particle size in the condensed state, E. G. by make the metal component atomically dispersed to alter catalytic activity or selectivity. By summarizing the characteristics of the above methods, the following classifications can be made.

3.1.1 Manipulation of Catalytic Selectivity Using Strong Metal-Support Interaction

The concept of strong metal-support interaction (SMSI) was first proposed by Tauster et al.Its typical feature is that the activated support in the supported metal catalyst migrates to the surface of the metal particles to form a multi-level structure different from the original catalyst (the metal is wrapped by the migrated support), accompanied by changes in microstructure such as electron transfer between the metal and the support (Fig. 5)[32]. The construction of SMSI can not only effectively adjust the electronic structure of metal particles, but also construct a rich metal-support interface structure and stabilize metal particles, thus changing the reactivity and selectivity of solid-state catalysts[33,34].
图5 普通负载型金属催化剂及具有多层次凝聚态结构负载型金属催化剂结构模型图

Fig.5 Scheme showing the structure of general supported metal catalyst and supported metal catalyst with multi-level condensed matter structure

In 1993, Coq et al. First studied the effect of SMSI in Pt/TiO2 catalytic materials on the selective hydrogenation of nitro compounds, and found that after high temperature hydrogen reduction, the carrier could migrate to the surface of Pt nanoparticles to form a package structure.This multi-level wrapping structure can promote the polarization of the N = O bond in the nitro compound, thereby accelerating the attack of active hydrogen on N = O, and further improving the hydrogenation activity and selectivity of p-chloronitrobenzene (Figure 6A)[35]. In 2008, Corma et al. Further studied the catalytic performance of Pt/TiO2 catalytic materials with SMSI in the selective hydrogenation of nitro compounds[36]. They found that after high-temperature hydrogen reduction (> 450 ° C), the step sites on the surface of Pt nanoparticles can be modified by migrating TiOx species and form abundant Pt-Ti interfaces (Fig. 6 B), which can inhibit the adsorption and hydrogenation of other reducible groups except nitro groups, thereby improving the selectivity of amine compounds. Although the above studies have shown that the hydrogenation selectivity of nitro compounds can be greatly improved by using SMSI to construct a condensed multi-level structure, the oxidized species after migration will cover part of the active sites on the surface of metal nanoparticles, thus sacrificing part of the activity, and it is difficult to obtain high activity and high selectivity at the same time. In view of this, Hutchings et al. Proposed that by changing the loading of Pt in the Pt/TiO2 catalytic material and the pretreatment conditions of the catalytic material, the microstructure of the material could be effectively controlled, and the supported metal catalytic material with high activity and selectivity could be obtained in the selective hydrogenation of 3-nitrostyrene[37]. The results show that increasing the metal loading (0. 5 wt%) can easily lead to the agglomeration of metal particles on the surface of the support, which is not conducive to the selective adsorption of N = O bonds, thus reducing the selectivity of the product, and the most appropriate metal loading is 0. 2 wt%. In addition, direct reduction treatment of catalytic materials at high temperature can easily lead to the coverage of metal active sites by oxidized species after migration, thus reducing the catalytic activity. Calcination followed by high-temperature reduction of the catalytic material can not only effectively disperse and anchor the metal particles on the surface of the support, but also inhibit the coverage of the support on the metal active sites to a certain extent, thus keeping the metal active sites exposed and obtaining catalytic materials with both high activity and high selectivity.
图6 (a)Pt/TiO2-SMSI表面对氯硝基苯的吸附[35];(b)Pt/TiO2-SMSI的高分辨TEM照片[36];(c)Pd/C、Pd/Al2O3及Pd/ZnO催化对氯硝基苯选择性加氢[39]

Fig.6 (a) Adsorption of chloronitrobenzene on Pt/TiO2-SMSI[35], Copyright 1993, Elsevier; (b) High-resolution TEM images of Pt/TiO2-SMSI[36], Copyright 2008, American Chemical Society; (c) Pd/C, Pd/Al2O3 and Pd/ZnO catalyzed selective hydrogenation of p-chloronitrobenzene[39], Copyright 2013, American Chemical Society

In addition to constructing multi-level structures on the surface of TiO2 supports to regulate the selective hydrogenation of nitro compounds, other more active oxide supports can also form SMSI with supported metals, resulting in geometric and electronic effects. For example, Mou et al. First proposed that SMSI could be constructed on the surface of Au/ZnO by high temperature calcination in 2012, and the formation of wrapped structure, electron transfer between metal and support, and Au-Zn bonding were confirmed by HRTEM, XPS, XAS and other technical means[38]. Along this line of thought, C Cárdenas-Lizana et al. loaded Pd nanoparticles on the surface of ZnO and effectively regulated the hydrogenation selectivity of p-chloronitrobenzene by using SMSI to induce the formation of Pd-Zn alloy (Fig. 6C)[39]. Compared with Pd/C and Pd/Al2O3, the selectivity of p-chloroaniline on Pd/ZnO surface increased from 0 to 100%.
The above results show that the construction of condensed multi-level structure by SMSI can effectively control the geometric and electronic structure of materials, which provides a way to control the selectivity of catalytic hydrogenation.

3.1.2 Regulation of Catalytic Activity and Selectivity by Core-shell Structure

Compared with single-component materials, condensed materials with typical core-shell multi-level structure (such as metal particles as the core and inorganic or organic materials as the shell) often have unique catalytic properties because of their flexible and adjustable structure. The regularity of its structure provides an opportunity to understand the relationship between crystallization construction and chemical reaction in condensed state. There are many methods to construct core-shell structure, such as using porous carbon or mesoporous silica to encapsulate metal particles to form core-shell structure, using atomic layer deposition (ALD) technology to construct core-shell structure and molecular sieve to encapsulate metal to form core-shell structure[40~42].
Similar to the SMSI effect, in the selective hydrogenation of nitro compounds, the condensed core-shell structure can not only effectively modify the geometric/electronic structure of metal particles, but also realize the tandem catalysis of different interfacial active sites, thus improving the hydrogenation activity and selectivity of materials. In 2017, Corma et al. Found that metal @ carbon materials with multi-level core-shell structure could be obtained by hydrothermal treatment of metal oxides with glucose and then high-temperature carbonization in inert atmosphere (Fig. 7A)[43]. The metal species have excellent oxidation resistance in air due to the protection of the carbon layer. In H-D exchange experiments and nitro compound hydrogenation reactions, the materials (Ni @ C, Co @ C, NiCo @ C) showed excellent catalytic activity and selectivity, even better than the supported noble metal catalyst (Au/TiO2), indicating the importance of the condensed multi-level core-shell structure in hydrogenation reactions. Qin Yong et al., Shanxi Institute of Coal Chemistry, Chinese Academy of Sciences, designed and prepared a series of metal-oxide system multi-interface tandem catalytic materials by atomic layer deposition (ALD) (Fig. 7B).Taking the tube-in-tube multi-level structure with two interface combinations of Ni/Al2O3 and Pt/TiO2 as an example, the high efficiency of the condensed multi-level structure in the catalytic hydrogenation reaction was confirmed in the series reaction of hydrazine hydrate decomposition to produce hydrogen and nitrobenzene hydrogenation[44]. The results show that the active hydrogen decomposed at the Ni/Al2O3 interface can be rapidly transferred to the Pt/TiO2 interface in the nanoconfined space to participate in the nitrobenzene hydrogenation reaction. Our research group designed and synthesized a series of metal @ molecular sieve catalytic materials with core-shell structure, and found that the Beta zeolite encapsulated Pd nanoparticles (Pd @ Beta) with core-shell structure synthesized by seed-induced method had better selectivity in the selective hydrogenation of nitro compounds than the traditional impregnated Pd catalytic materials (Fig. 7C)[45]. The shape-selective effect of zeolite pores can effectively control the adsorption posture of substrate molecules on the surface of Pd nanoparticles, thus realizing the selective hydrogenation of nitro compounds (Fig. 7 d, e). The construction of condensed core-shell structure can effectively control the diffusion of reactant/intermediate molecules and promote the efficient tandem reaction, which provides an important scientific reference for the design of efficient condensed multi-level structure in the future.
图7 (a)金属@碳层结构的构筑示意图[43];(b)利用ALD技术合成具有管套管结构的Ni/Al2O3和Pt/TiO2串联催化剂[44];(c~e)Pd@beta和Pd/C的结构模型及硝基化合物选择性加氢性能对比[45]

Fig.7 (a) Scheme showing the synthesis of metal@carbon structure[43], Copyright 2017, Elsevier; (b) Synthesis of Ni/Al2O3 and Pt/TiO2 catalysts with tubular and encapsulated structure by ALD technique[44], Copyright 2016, Wiley-VCH; (c~e) Structural models of Pd@beta and Pd/C and the comparison of their catalytic performance in hydrogenation of nitro compounds[45], Copyright 2017, Wiley-VCH

3.1.3 Control of catalytic activity and selectivity by atomically dispersed metal

In recent years, single-atom catalysts have become a new research hotspot and frontier in the field of catalysis because of their high metal dispersion, high atom utilization and single structure of active component. Compared with the supported metal nanoparticle catalyst, the metal component in the single-atom catalyst is atomically dispersed, the structure is relatively clear, and the local environment and coordination structure of the metal active center can be flexibly controlled, which provides a good platform for studying the relationship and law between the condensed microstructure and the chemical reaction function.
In 2014, Zhang Tao et al., Dalian Institute of Chemical Physics, Chinese Academy of Sciences, prepared an atomically dispersed single-atom Pt/FeOx catalyst (Pt loading 0.08 wt%) by controlling Pt loading and catalyst reduction temperature using coprecipitation method.In the selective hydrogenation of 3-nitrostyrene, the catalyst exhibited a high TOF value (~1500 h-1), which they attributed to the strong interaction between atomically dispersed Pt and the support. The catalytic material has excellent amine selectivity for the hydrogenation of different nitro compounds, which is mainly due to the fact that the positive valence Pt and the partially reduced carrier surface are beneficial to the adsorption of N = O, thereby improving the selectivity of amine products[46]. Compared with oxide supports, carbon supports containing nitrogen or phosphorus are widely used as single-atom catalyst supports because of their advantages such as strong structural tunability and clear surface composition. Zhongke Dalu Junling et al. Deposited Pt on the pre-adjusted anchor sites on the surface of nitrogen-doped carbon support (CN) through ALD technology, and successfully prepared a Pt single-atom catalyst with high activity and stability by regulating the chemical coordination of Pt on the surface of CN support. The results show that Pt catalysts with higher chemical coordination and less pyridine nitrogen (Npyri) coordination have higher activity (~19 600 h-1) and structural stability in the selective hydrogenation of p-chloronitrobenzene[47]. Recently, Cao Changyan et al., Institute of Chemistry, Chinese Academy of Sciences, reported an N/P double-coordinated single-atom Co catalyst with a Co1-N3P1 coordination structure. Different from the common Co-N4 coordination structure, the introduction of P increases the electron density on the surface of Co, thus promoting the dissociation of H2 and the desorption of products, showing high hydrogenation activity and selectivity[48].
The above results show that the microstructure and chemical properties of condensed matter have a significant impact on chemical reactions, and the precise preparation of metal active centers into atomically dispersed structures by regulating the multi-level structure of condensed matter is an effective means to study the relationship and law between microstructure and function of condensed matter.

3.2 Reductive amination of oxygenated organic molecules

Beside hydrogenation of nitro compounds, amine compound can also be prepared by reductive amination of aldehyde/ketone/alcohol compounds, wherein that reductive amination of aldehyde/ketone compounds is easy relative to the reductive amination of alcohol compound,However, in the presence of hydrogen and ammonia, the network of reductive amination is complex, and the selectivity of target amines is difficult to control[49,50]. Unlike the reductive amination of aldehydes/ketones, the reductive amination of alcohols is limited to the first step of alcohol dehydrogenation, so it is of great significance to develop solid catalysts with efficient alcohol dehydrogenation performance in the presence of ammonia to promote the reductive amination.

3.2.1 Reductive amination of aldehydes/ketones

The reductive amination step of the aldehyde/ketone compound comprises: (I) aldehyde/ketone-ammonia gas condensation to imine; (ii) hydrogenation of imine to amine. However, side reactions such as imine C — N bond polycondensation and aldehyde/ketone-amine polymerization to form polyamines are easy to occur in the reaction process, and when there are many unsaturated functional groups (such as C = C bond, C — Cl bond) in the reactants, these functional groups are easy to continue to hydrogenate to form other by-products. Therefore, it is still a challenge to efficiently catalyze the reductive amination of aldehydes/ketones to target amines through the regulation of condensed multi-level structure.
Furfural, as a typical biomass platform molecule, plays an important role in chemical production. The reductive amination reaction path of furfural is complex, the reactants and products are easy to polymerize, and the target product furfurylamine is easy to continue deep hydrogenation to tetrahydrofurfurylamine, thus reducing the selectivity of furfurylamine (Fig. 8A)[51]. Hara et al. prepared Ru nanoparticles with low electron density by using Nb2O5 to support Ru nanoparticles, which effectively inhibited the adsorption of the product furfurylamine and active hydrogen on its surface, and improved the product selectivity of the reductive amination of furfural to furfurylamine[51]. It is worth noting that after the complete production of furfurylamine on the surface of Ru/Nb2O5 catalyst, the yield of furfurylamine was still maintained even if the reaction time was prolonged (Fig. 8 B), while furfurylamine was deeply hydrogenated to tetrahydrofurfuryl amine on the surface of Ru catalysts supported on SiO2, TiO2 and Al2O3, proving the unique catalytic selectivity of Ru/Nb2O5.
图8 (a)糠醛还原胺化的反应网络;(b)Ru/Nb2O5催化糠醛还原胺化的时间曲线图[51]

Fig.8 (a) Reaction networks for reductive amination of furfural; (b) Time-dependent curve of furfural reductive amination on Ru/Nb2O5[51], Copyright 2017, American Chemical Society

Although the selectivity of furfuryl amine can be effectively controlled by using Nb2O5 as supports, there is still a lack of a universal catalyst synthesis strategy to control the product selectivity of reductive amination, which is an important problem to be solved in reductive amination. In addition, compared with noble metal Ru, the use of non-noble metal to catalyze the reductive amination reaction is helpful to reduce the cost of catalyst synthesis and improve economic benefits. Beller et al., Leibniz Institute for Catalysis, University of Rostock, Germany, prepared a series of transition metal catalysts with excellent performance for reductive amination by complexing metal salt precursors with organic ligands and then carbonizing them at high temperature. For example, they stabilized metal Co by MOFs and then loaded it on the surface of activated carbon to obtain a multi-level structure Co catalyst with excellent performance in the reductive amination of aldehydes/ketones. The catalyst can catalyze the conversion of up to 140 substrates into the corresponding amine compounds, and shows extremely wide substrate universality[52]. In the same way, Kempe et al. Complexed metal Ni with a nitrogen-containing organic ligand, and then supported it on the surface of a γ-Al2O3 and carbonized it at high temperature to obtain a carbon nitride-coated multi-level structure Ni catalyst with broad substrate universality in reductive amination[53]. Although these studies provide a good demonstration for the non-noble metallization of reductive amination catalysts, the use of expensive organic ligands still limits their further industrial application. Therefore, exploring more economical, efficient and controllable catalyst synthesis strategies is still the focus of future research.

3.2.2 Reductive amination of alcohols

The first step of reductive amination of alcohols involves the dehydrogenation of alcoholic hydroxyl groups to aldehydes in the absence of oxygen, so it often needs to be carried out under harsh reaction conditions. However, higher reaction temperature easily leads to the formation of unnecessary by-products of C — N bond polycondensation, which reduces the selectivity of the target product[54]. In addition, dimers may be formed by further polymerization between the amine compounds and aldehydes[55]. Therefore, how to obtain solid catalysts with high activity and selectivity by controlling the multi-level structure of condensed state is a difficult and hot topic in current research.
Sautet et al. Found that the reactivity and primary amine selectivity of solid catalysts in reductive amination are closely related to the oxyphilicity of metals through DFT calculations[55]. Metals with high oxyphilicity (such as Ni and Co) will facilitate the dehydrogenation of alcoholic hydroxyl groups, thus improving the catalytic activity, and at the same time, they can inhibit the condensation of C — N bonds on the surface of the catalyst, thus improving the selectivity of primary amines. However, the dehydrogenation rate of alcohol on the surface of metal with low oxyphilicity (such as Pt) is slow, and the polycondensation reaction is easy to occur, thus reducing the selectivity of primary amine. The utilization of the oxyphilicity of metals as a descriptor helps to guide the synthesis of supported metal catalysts with both high activity and selectivity. Under the guidance of the above theory, they synthesized a series of alloy catalysts, and found that CoAg alloy catalysts showed the best activity and selectivity for primary amine formation in the reductive amination of n-octanol, because both Co and Ag have high oxyphilicity, which proves the reliability of the above theoretical results. In heterogeneous catalytic reactions, the inherent chemical properties of catalyst support (such as reducibility, acidity and basicity) also have an important influence on the reaction. For example, the defect sites on the surface of the solid support can affect the reactant/intermediate adsorption behavior; The acidity and basicity of the surface of solid support will affect the dehydrogenation of reactants or the polycondensation of intermediates. Kondo et al. Studied the catalytic performance of Ni nanoparticles supported on carriers with different acidity and basicity in the reductive amination of n-octanol to n-octylamine. The results showed that Ni catalysts supported on basic oxide supports (such as CaO and MgO) and acidic oxide supports (such as :TiO2, Nb2O5 and SnO2) had almost no activity.While carriers with both acidity and basicity (such as :γ-Al2O3, Y2O3, La2O3, CeO2, ZrO2) have superior reductive amination performance,Among them, γ-Al2O3 has the best performance[56]. The above studies show that the metal active center of the solid catalyst and the microstructure of the support have different effects on the reductive amination reaction, and various factors should be considered in the actual research process.At the same time, it is also necessary to take into account the changes in condensed chemical properties brought about by the interaction between metal and support, and to summarize the laws and gradually establish the laws and theories of "condensed structure", "condensed chemical reaction" and "construction of condensed matter" from both macro and micro aspects.

4 Condensed multi-level structure catalytic hydrogen production

The over-exploitation and use of traditional fossil resources have led to the increasingly serious problems of global environmental deterioration and resource shortage, and it is urgent to find alternative, sustainable and efficient clean energy. Hydrogen energy is an important secondary energy, which has the advantages of high energy density, environmental friendliness, zero carbon emission, non-toxic and pollution-free, and is considered to be an ideal energy carrier to promote the clean utilization of traditional fossil energy and the large-scale development of renewable energy[57]. According to statistics, in 2019, China's hydrogen production exceeded 20 million tons, becoming the world's largest hydrogen producer. It is estimated that China's hydrogen demand will reach 35 million tons by 2030, and hydrogen energy will account for at least 5% of China's terminal energy system.

4.1 Methanol reforming to hydrogen

Traditional hydrogen production processes include hydrocarbon steam reforming, water electrolysis and heavy oil partial oxidation reforming, but these processes have the problems of high energy consumption and low efficiency[58]. In recent years, hydrogen production from non-fossil energy sources, such as biomass derivatives, has gained increasing attention. As one of the biomass derivatives, methanol has the advantages of high hydrogen-carbon ratio, low price and abundant reserves. In addition, as a liquid hydrogen carrier, methanol is easy to store and transport, which overcomes the storage and transportation problems in the process of hydrogen use, and has obvious cost advantages in the process of long-distance hydrogen storage and transportation[59].
To sum up, the technology of hydrogen production from methanol takes into account the production, transportation and use of hydrogen industry, so it is of great significance to study the technology of hydrogen production from methanol. Methanol hydrogen production includes gas phase reforming and liquid phase reforming. At present, methanol gas phase reforming is widely used in industry, including methanol steam reforming, methanol direct cracking and methanol partial oxidation[60].
Methanol steam reforming :CH3OH+H2O→CO2+3H2.
ΔH = +49.4 kJ/mol
:CH3OH→CO+2H2 of hydrogen production by methanol cracking
ΔH = +90.2 kJ/mol
Methanol partial oxidation :CH3OH+1/2O2→CO2+2H2.
ΔH = -192.2 kJ/mol
It can be seen from the above formula that the direct cracking of methanol to produce hydrogen will produce a large amount of CO by-product (formula 2). In the chemical reaction catalyzed by ion exchange membrane fuel cell (PEMFC) and other supported noble metals, CO will be adsorbed on the surface of the noble metal, resulting in the deactivation of the catalyst and shortening the service life and reaction cycle of the cell[61,62]. Partial oxidation of methanol is a strong exothermic reaction, which easily leads to local overheating of the catalyst in the reaction device and deactivation of the catalyst by sintering. Methanol steam reforming is the most promising way to provide hydrogen for PEMFC on a large scale because of its relatively mild reaction temperature (about 200 ~ 350 ℃) and the highest hydrogen concentration in the reaction system. Although the process of methanol steam reforming for hydrogen production has been studied since 1921, there are still some scientific problems to be solved about its application, such as: (I) metal agglomeration leads to catalyst deactivation during the long period of reaction; (ii) The hydrogen production rate in the methanol steam reforming reaction is closely related to the condensed microstructure (such as surface/interface and electronic structure), and how to precisely prepare and control the condensed multi-level structure to achieve high activity and high selectivity (avoiding the formation of CO) hydrogen production is still the focus of research.
Catalysts for hydrogen production from methanol steam reforming mainly include supported noble metal catalysts and non-noble metal catalysts. The type of metal and support and the interaction between metal and support have an important influence on the hydrogen production rate and CO selectivity. The construction of condensed multi-level structure is not only conducive to the formation of rich interfaces, but also can effectively stabilize the metal species and regulate the activity and stability of the catalyst. In recent years, Pt catalysts have been widely studied for methanol steam reforming over supported noble metal catalysts. In 2002, Dumesic et al. Reported the one-pot aqueous phase reforming of biomass-based aqueous glucose solution and small alcohols to hydrogen and gaseous alkanes using Pt/Al2O3 catalyst[63]. When methanol is used as the reactant at 225 ℃, the selectivity of hydrogen in the gas phase products can reach 99%, and the hydrogen formation rate can reach 4×104μmol·g-1·h-1. The system has a good carbon balance, almost no carbon deposition, and the catalyst can run stably for a week. However, the reaction temperature of the reaction system is still higher than 200 ℃, which is not conducive to large-scale industrial application. In 2017, Peking University Martin et al. Realized low-temperature (150 ~ 190 ℃) alkali-free methanol reforming for hydrogen production by using Pt/α-MoC composite catalyst system with dual-function and multi-level structure[64]. The results show that the strong metal-support interaction between the α-MoC support and the Pt species can effectively disperse and anchor the Pt on the surface of the support, and the electronic interaction between the metal-support makes the surface of the atomically dispersed Pt species have positive valence, which is beneficial to the adsorption/activation of methanol and the weakening of CO adsorption. Compared with other oxide supports, α-MoC has a high water dissociation activity, which promotes the further reforming of the reaction intermediates produced by methanol cracking and the surface hydroxyl groups produced by water cracking at the metal-support interface to produce hydrogen. The catalyst exhibited an average turnover frequency (ATOF) of 18 046 h-1 at the initial stage of the reaction, and no significant deactivation was observed during 11 consecutive cycles. Although the above catalysts can achieve high hydrogen production rate from methanol reforming at low temperature, the use of noble metal Pt increases the cost of the catalysts.
The use of non-precious metal catalyst can effectively reduce the production cost of the catalyst, and also has good performance in catalytic performance. At present, Cu/ZnO/Al2O3 catalyst is widely used in industry for methanol reforming because of its low synthesis cost, good catalytic activity and high selectivity. Metal Cu is generally considered as the active site in Cu/ZnO/Al2O3 catalysts, ZnO is usually used as a promoter to control the geometric/electronic structure of Cu nanoparticles, and Al2O3 is used as a support to improve the mechanical strength of the catalyst. Compared with noble metal catalysts, Cu/ZnO/Al2O3 catalysts have obvious price advantages, but due to the low Taman temperature of metal Cu, they are prone to migration and agglomeration in the reaction process, resulting in poor catalyst stability. The stabilization of Cu catalyst is the focus and difficulty of current research. In view of this, researchers have studied the effects of different methods on the multi-level structure of catalysts by changing the synthesis methods of catalysts, adjusting the types of additives, and changing the treatment conditions of catalysts, and initially established the relationship between condensed state synthesis, structure control, and catalytic performance. For example, Patel et al. Synthesized a Cu/ZnO/CeO2/Al2O3 composite catalyst by adding a CeO2 promoter using an impregnation method. The addition of CeO2 promoted the dispersion of Cu, effectively improved the methanol steam reforming catalytic activity and H2 selectivity of the catalyst, and the CO selectivity in the product could be maintained at a low level (about 600 ppm). In addition, the addition of CeO2 improved the service life of the catalyst, and the deactivation rate of the catalyst was significantly slower in the same time. In addition to the directional synthesis and preparation of condensed catalysts, the reaction-induced dynamic evolution of the multi-level structure of catalysts also has an important impact on the catalytic performance[65]. By controlling the treatment atmosphere in the pre-activation stage of the catalyst, Xu Zhi et al. Of East China University of Science and Technology realized the dynamic reorganization of the surface microstructure of the catalyst and constructed a Cu/ZnO/Al2O3 catalyst with a multi-level coating structure[66]. The results showed that the treatment of commercial Cu/ZnO/Al2O3 catalyst with H2/H2O/CH3OH/N2 mixture at 300 ℃ could induce the migration of ZnOx support to the surface of Cu nanoparticles to form a ZnOx coating. This structural change contributes to the formation of abundant Cu-ZnOx interfacial sites, resulting in a 2-fold increase in the catalytic activity of the catalyst in the methanol steam reforming reaction. More importantly, the ZnOx overlayer effectively inhibited the migration and agglomeration of Cu species at high temperature, and the catalyst stability was improved by 3 times. Through comparative experiments and theoretical calculations, they found that in the activation process of H2/H2O/CH3OH/N2 atmosphere, the surface of the catalyst will produce adsorbed *CH3OH and *OCH3 species, which can interact with ZnOx and induce them to migrate to the surface of Cu nanoparticles to form a multi-level package structure. In this work, the reaction atmosphere was used to control the surface reconstruction process of the catalyst, which effectively improved the activity and stability of the catalyst, and may lead to wider industrial applications.

4.2 Water-gas shift reaction

In addition to methanol reforming, water-gas shift (WGS) reaction also plays an important role in hydrogen production. According to statistics, 15 trillion cubic feet of H2 are produced by WGS reaction every year, which can meet the basic needs of petrochemical, electronics, pharmaceutical production and other industries. It should be pointed out that despite the rapid development of hydrogen industry in China, the hydrogen produced in industrial production usually contains 1% ~ 10% CO, which not only reduces the purity of hydrogen, but also poisons the Pt electrode in proton exchange membrane fuel cell, resulting in irreversible deactivation[67,68]. Therefore, the effective elimination of CO in industrial hydrogen is of great significance for the use of proton exchange membrane fuel cells. In addition to industrial hydrogen production, WGS reaction can also be used to eliminate the residual CO in the H2 and improve the purity of hydrogen, so it has received extensive attention and a lot of research.
From the thermodynamic point of view, the WGS reaction is an exothermic reaction:
CO+H2O↔CO2+H2
ΔH = -41.2 kJ/mol
Therefore, the reaction is more favorable to proceed in the forward direction at low temperature. However, from the kinetic point of view, the catalyst efficiency is low and the CO conversion is slow at low temperature. According to the thermodynamic and kinetic characteristics of WGS reaction, two stages of reactions in series are generally used to promote CO conversion in industry, namely, high temperature water-gas shift reaction (HT-WGS) and low temperature water-gas shift reaction (LT-WGS). The reaction temperature range of HT-WGS is 350 ~ 600 ℃, and Fe-Cr catalyst is generally used, which can quickly reduce the CO concentration in industrial crude hydrogen to 2% ~ 5%[69]. The reaction temperature range of LT-WGS is 150 ~ 300 ℃, and the CO concentration can be further reduced to ppm level under the action of the catalyst, and the purified hydrogen can be used for proton exchange membrane fuel cells[70]. The efficiency of the LT-WGS reaction is heavily dependent on solid catalysts. Although CuZnAl catalysts are commercially available, they are extremely sensitive to sulfur and chlorine in the reaction atmosphere, causing catalyst deactivation when the concentration of H2S or chlorine-containing compounds exceeds 0.1 ppm. Therefore, desulfurization and dechlorination of industrial hydrogen feedstocks are generally required. In addition, the stability of CuZnAl catalyst is still the main factor limiting its long-term use. After 6 months of use, the Cu particles in the catalyst agglomerate and sinter, resulting in irreversible deactivation of the catalyst. Therefore, it is of great significance to develop a new LT-WGS catalyst with high efficiency and stability to realize the rapid conversion of CO for the purification and industrial application of industrial hydrogen.
"A workman who wants to do his work well must first sharpen his tools.". In order to design and prepare solid catalysts with excellent activity and stability for LT-WGS reaction, it is necessary to understand the LT-WGS reaction mechanism and the key rate-determining steps. At present, the reaction mechanisms of LT-WGS that have been widely studied and accepted include redox mechanism and associative mechanism[71,72][71]. The redox mechanism suggests that the adsorbed H2O dissociates into H2 and O*,CO on the surface of the catalyst support or at the metal-support interface, and then reacts with O* to form CO2,H2O, which is usually considered to be the key rate-determining step. According to the association mechanism, the H2O on the surface of the catalyst is only dissociated into adsorbed -OH(OH*) and H(H*),CO, and then reacts with OH* to form important intermediates such as formate or carboxyl.These intermediates further dissociate CO2, and the remaining one H* combines with the H* dissociated from H2O to release H2. The dissociation of water and intermediates is the key step in the whole reaction. The specific steps of the two reaction mechanisms are as follows:
Redox mechanism:
H2O*→OH*+H*
OH*→O*+H*
CO*+O*→CO2 gas
H*+H*→H2 gas
Association mechanism:
H2O*→OH*+H*
CO*+OH*→COOH*or HOCO*
COOH*or HOCO*→CO2 gas+H*
H*+H*→H2 gas
Based on the above understanding, researchers have designed and prepared a series of solid catalysts for LT-WGS reaction by different synthetic strategies. Peking University Martin et al. And Beijing University of Chemical Technology Wei Min et al. Prepared a Ni@TiO2-x with a multi-level core-shell structure, in which Ni nanoparticles were encapsulated by partially reduced TiO2-x, and the catalyst showed more excellent reactivity in the LT-WGS reaction than the ordinary supported Ni/TiO2 (Fig. 9a)[73]. In situ infrared and temperature-programmed surface reaction studies showed that the interface sites (Niδ--Ovac-Ti3+) between Ni nanoparticles and TiO2-x contributed to the adsorption of dissociated water molecules, and the introduction of water vapor to the catalyst surface could directly detect H2 production in mass spectrometry, and Niδ- species were oxidized to Niδ+, indicating that the WGS reaction on the catalyst surface mainly followed a redox mechanism. After further introduction of CO to the surface of the catalyst, the CO2 signal can be detected in the mass spectrum, which proves that CO continues to combine with O after the dissociation of H2O to release CO2, while Niδ+ is reduced to Niδ- to complete the catalytic cycle (Fig. 9b). This study once again demonstrates the importance of condensed multi-level package structure in the catalytic transformation of small molecules. In addition to using more active oxide supports to modify the metal to improve the ability of the catalyst to dissociate water, Flytzani-Stephanopoulos et al. Found that loading Au or Pt on the surface of inert supports KLTL and MCM-41 or SiO2, and then adding alkali metal ions Na or K, could significantly improve the WGS activity of the catalyst. The addition of alkali metal ions can form Au-O(OH)x-(Na or K)y or Pt-(Na or K)-Ox(OH)y active species with the metal, in which the O/OH species can promote the dissociation of H2O through hydrogen bonding with H2O molecules, and the CO adsorbed on the Au or Pt surface can react with the abundant OH around the metal to form CO2, following the association mechanism[74]. Although the modification of the geometric/electronic structure of the metal by the above methods can improve the WGS activity of the catalyst to a certain extent, the temperature of complete CO conversion in most of the reported catalytic systems is still higher than 200 ℃, which is difficult to meet the requirements of industrial application. In 2017, Martin et al. Of Peking University reported that a layered Au cluster-α-MoC supported catalyst with WGS activity was synthesized by using cubic α-MoC with efficient hydrolysis activity as the carrier and the strong interaction between Au and α-MoC[75]. In the LT-WGS reaction, the catalyst can achieve 95% CO conversion at 120 ℃, and the catalytic activity per unit metal reaches the ·s-1 of 1.05 molCO·mo l m e t a l - 1, which is superior to other common supported metal catalysts and commercial CuZnAl catalysts. The results show that water molecules can dissociate into surface hydroxyl groups on the surface of α-MoC support at room temperature and release hydrogen, and the adsorbed hydroxyl groups can further react with CO, thus improving the overall reaction efficiency. This catalytic system provides a new idea for the study of LT-WGS. However, the catalyst can be deeply oxidized to MoOx under prolonged oxidation conditions, resulting in catalyst deactivation. In response to this problem, they further proposed to modify the α-MoC surface with high-density and highly dispersed Pt species to improve the oxidation resistance of the catalyst under WGS reaction conditions[76]. The results showed that Pt was mainly dispersed on the surface of the support in the form of monodispersion and clusters, and the catalyst had high catalytic activity in a wide temperature window, and in the long-term stability test.Compared with Pt/α-MoC with low coverage, the catalyst showed more stable catalytic performance, because the presence of Pt species with high coverage promoted the rapid reaction and desorption of active oxygen species produced by the hydrolysis of α-MoC surface, thus effectively preventing the deep oxidation of α-MoC. This study provides a new technical option for the promotion of hydrogen energy economy.
图9 (a)Ni@TiO2-x高效催化LT-WGS反应示意图及(b)氧化还原机理催化循环示意图[73]

Fig.9 (a) LT-WGS reaction catalyzed by highly efficient Ni@TiO2-x and (b) schematic diagram based on a redox mechanism[73], Copyright 2018, American Chemical Society

5 CO Oxidation Catalyzed by Condensed Multilevel Structure

5.1 Gold Nanoparticles Catalysts for Low Temperature CO Oxidation

The oxidation of low concentration CO is an important reaction in the elimination of indoor pollutants and the purification of fuel vehicle exhaust, and it has also become an important model in the study of catalytic surface and interface. The identification and development of active sites for CO oxidation have become an important research direction in the field of heterogeneous catalysis. The study of active sites for CO oxidation in supported catalysts has also promoted the development of surface and interface chemistry[77~79].
As early as the 1980s, Haruta et al. In Japan found that supported gold (Au) nanoparticles could oxidize CO at low temperature, which is in sharp contrast to the Pt-based catalysts that have been used on a large scale in the treatment of internal combustion engine exhaust[80,81]. Under low temperature conditions, the activity of Pt-based metals can not meet the demand, which leads to the catalyst can not work in the cold start stage of internal combustion engine (below 200 ℃). Supported Au nanoparticles can catalyze CO oxidation at room temperature or lower, and their activity is much higher than that of Pt-based catalysts. However, the biggest problem of Au catalyst is still poor stability, which is easy to sinter in the reaction process leading to catalyst deactivation, and the competitiveness of Au catalyst is not as good as that of Pt catalyst in practical application. Therefore, how to combine the advantages of high activity at low temperature and high temperature stability to develop efficient catalytic materials is still a research problem in the current field. The development of new condensed structure and the construction of efficient catalyst surface and interface have become the key to break through this problem.
The complexity of Au catalytic system makes it difficult to accurately identify its catalytic active center. It is found that the small size Au nanoparticles with different morphologies and different exposed crystal planes can efficiently catalyze the low-temperature CO oxidation reaction, which also indicates that the size of Au particles plays an important role in determining its catalytic activity. In addition, the metal oxide support itself also plays a key role[82,83]. A direct way to determine whether an oxide support is necessary is to use unsupported Au particles to catalyze CO oxidation. It was found that 76 nm Au particles could directly catalyze CO oxidation at 249 and 294 K, although their activity was significantly lower than that of titania-supported Au particles. However, the size of the latter Au particles is only 3.6 nm, so it cannot be attributed entirely to the role of the carrier. Furthermore, it was found that the activity of 2 ~ 4 nm particles was more than twice that of 20 ~ 40 nm particles for Au nanoparticles of different particle sizes supported on the same reducible carrier or inert carrier[84]. These results indicate that the size of Au particles plays a major role in the whole reaction process, and the type of support can promote the reaction process to some extent.
Although the size of Au particles plays a decisive role in the catalytic activity, the low coordination center on the Au particles, the number of angular sites on the particles, and the surface electronic state are the essence of affecting the catalytic performance. For example, Au with small particle size has more angular sites, which is also the key to its ability to catalyze low-temperature CO oxidation[85]. The initial recognition of the activity of Au particles was due to the electronic interaction between the oxide support and the Au particles. For example, on the surface of a TiO2(110), the interaction between Au and the support makes the Au species at the interface interact with Ti or O atoms, and the interaction of Au atoms in a monolayer is stronger than that of Au atoms in a bilayer. For large Au particles, the activity mainly comes from the Au atoms at the interface, and the Au atoms at the surface mainly exist in the metallic state, so it is difficult to play a role. It is well known that the average coordination number of Au atoms increases with the size of Au nanoparticles, and therefore, low-coordinated Au atoms are also considered as possible catalytic active centers because of the stronger binding ability of low-coordinated atoms for CO and O2. For example, for Au atoms with coordination numbers of 4 and 9 on the Au (111) surface, the difference in bond strength between Au-CO and Au-O can be more than 1 eV[86].
On the Au catalyst, the preliminary theoretical study shows that the whole process of CO oxidation follows the Langmuir-Hinshelwood mechanism, which can be simply described as the following steps: (1) CO adsorption on the surface of the catalyst; The (2)O2 is adsorbed on the surface of the catalyst and dissociated into two active oxygen atoms; (3) CO reacts with active oxygen atoms to form CO2. For this process, the rate-determining step may be different for different metal catalysts. For metals with strong metal-oxygen interaction, the rate-determining step is mostly the reaction of CO and O, while for metals with weak metal-oxygen interaction, the rate-determining step is mostly the dissociation of O2 to active O. The above findings also lead to further thinking about the mechanism of CO oxidation on Au catalysts.
CO(g)-- COads
O2(g)-- 2Oads
COads + Oads -- CO2(g)
Furthermore, for the Au/TiO2 system, Saavedra et al. Found that trace water species at the interface are essential for the reaction process[87]. The kinetic isotope effect study reveals that the proton transfer process at the metal-oxide interface is beneficial to the adsorption and activation of O2 molecules to form Au-OOH intermediate, which further reacts with Au-CO to form Au-COOH, thus promoting the whole CO oxidation reaction process. Green et al. Further proposed a dual active site view for CO oxidation over Au/TiO2 catalyst, and dual catalytic active site features were observed around Au particles (3 nm) supported on TiO2[88]. Infrared kinetic measurements show that the formation of a CO-O2 composite intermediate on the double Ti-Au sites at the Au/TiO2 interface promotes the cleavage of the O — O bond. The activation barriers for the formation and bond cleavage of the CO-O2 composite intermediate were investigated by density functional theory calculations, which confirmed the model as well as the measured apparent activation energy of 0.16 eV. The results show that the Au-Ti species around the Au particle can be used as active sites for reaction. Under low temperature conditions (e.g. < − 150 ° C), CO adsorbed on TiO2 can quickly migrate to this region and react with dissociated O2 to give CO2 products. Because of the strong adsorption of CO on Au nanoparticles at low temperature, it is difficult for CO to migrate, so it is considered that CO adsorbed on Au nanoparticles will be oxidized only when the reaction temperature is higher than -150 ℃.
Through the above study, it can be seen that the interaction between the oxide support and Au nanoparticles plays an important role in the whole reaction process. Oxide supports with reducible surface can not only enhance the adsorption of CO or O2 during the reaction, but also modulate the charge of Au. To further reveal the role of the support, researchers supported Au clusters (Au8) on different MgO model surfaces, and found that the Au8 clusters deposited on oxygen-vacancy F-center defects MgO surfaces have high CO oxidation activity, while the clusters deposited on near-perfect MgO surfaces are mainly chemically inert. The charge effect of the support on the loaded cluster plays a key role in promoting its catalytic activity. The infrared spectra of CO adsorption show that the C — O vibration of the Au clusters loaded on the defect-rich surface is red-shifted for CO adsorption compared with that of the Au clusters loaded on the perfect surface. This phenomenon should be the signal generated by the electronic effect of MgO defects on Au nanoclusters, which leads to the feedback to the CO antibonding orbital[89].

5.2 Creating Condensed Structure to Improve the Sintering Resistance of Metal Nanoparticles

As an important research object, Au nanoparticle-related catalysts have made important progress in condensed structure and performance, but due to the poor thermal stability of Au nanoparticles, there has been no successful application case so far. The research on the improvement of the stability of Au nanoparticles has also shown the urgency and necessity. To solve this problem, the common method is to encapsulate Au nanoparticles into the nanochannels of mesoporous materials and carbon nanotubes, and the confinement of nanochannels can indeed improve the thermal stability of metal particles to a certain extent. For example, Wan Ying et al. Put Au nanoparticles into the pores of mesoporous carbon[90]. Bao Xinhe et al. Put Rh nanoparticles inside carbon nanotubes and found that the anti-sintering and anti-loss properties were significantly enhanced[91]. However, these need to rely on specific carriers, and sometimes the preparation cost is too high to be applied on a large scale. Therefore, how to effectively stabilize metal nanoparticles on conventional oxides and other supports is still the key.
SMSI was first proposed by Tauster et al. In 1978. They found that the adsorption capacity of group 8 noble metals (such as Pt, Pd, Ir, Ru, Rh, etc.) supported on the surface of TiO2 for H2 and CO was significantly reduced after hydrogen reduction at 500 ℃, and even such small molecules could not be adsorbed[32][32,92]. The series characterization eliminates the factors such as the agglomeration of metal nanoparticles, the collapse of the physical structure of the carrier, or the poisoning caused by the interference of impurities. Through further analysis and characterization, they proposed the concept of SMSI to explain this phenomenon. They suggested that the chemical bonding between the metal species and the surface atoms of TiO2 was the main reason for the weakening of H2 and CO adsorption. Later, with the diversification of testing methods and the progress of characterization technology, some researchers proposed that the weakening of H2 and CO adsorption was caused by the loss of exposed metal active sites due to the encapsulation of metal nanoparticles by migrating TiOx species[32]. Although the fundamental reasons for the weakening of H2 and CO adsorption are controversial, the unified conclusion is that the geometric/electronic structure of metal nanoparticles can be effectively manipulated by constructing SMSI (Fig. 10), thereby changing their adsorption and catalytic properties for small molecules[93].
图10 金属-载体相互作用对催化材料几何/电子结构的影响

Fig.10 Effect of metal-support interaction on geometrical/electronic structure of catalysts

In addition, another remarkable feature of SMSI is that it can stabilize metal nanoparticles and improve the anti-sintering ability of catalytic materials[94,95]. It is generally believed that the sintering of metal particles follows two mechanisms, namely, migration agglomeration mechanism and Ostwald ripening mechanism. In order to inhibit sintering by both mechanisms, it is necessary to inhibit the movement of metal particles. The construction of SMSI can enhance the metal-support bonding and form a coating layer on the surface of metal particles, thus helping to cut off the migration route of metal atoms, thereby improving the stability of metal nanoparticles. In 2017, Wang Junhu et al., Dalian Institute of Chemical Physics, Chinese Academy of Sciences reported that SMSI was constructed on the surface of Au/TiO2 by traditional high temperature hydrogen reduction method. Through electron microscopy characterization, it was found that Au nanoparticles were coated by amorphous TiOx, and the degree of coating was gradually enhanced with the increase of reduction temperature, indicating that the interaction between metal and carrier was enhanced[94]. The catalyst exhibits excellent stability in CO oxidation under harsh conditions. However, the conventional Au/TiO2 without SMSI was gradually deactivated, and its CO conversion decreased from the initial ~ 70% to ~ 50% during 100 H of reaction. After the reaction, the catalyst was characterized by electron microscopy, and it was found that the main reason for the deactivation of ordinary Au/TiO2 was the agglomeration of Au nanoparticles. However, in the Au/TiO2 with SMSI, the size of Au nanoparticles was similar to that of the original catalyst, indicating that the catalyst had excellent sintering resistance and structural stability, which was mainly due to the existence of the surface coating layer of Au nanoparticles, which effectively inhibited the migration of metal particles, thus improving the stability of the catalyst. In 2019, they further reported a method to induce the formation of SMSI with the help of melamine precursor[95]. The SMSI can only be formed by carbonizing melamine at high temperature and calcining in air at a temperature above 600 deg C, and the TiOx coating layer on the surface of the Au nanoparticle in the finally obtained catalytic material has permeability,Moreover, it still exists even if it is calcined in air at 400 ~ 600 ℃, which is quite different from the classical SMSI formed by high temperature hydrogen reduction (the traditional SMSI is unstable in oxidizing atmosphere). In the long period of high temperature CO oxidation reaction, the catalyst still showed excellent structural stability, and the Au nanoparticles did not sinter.
Although the above examples show that the anti-sintering ability and structural stability of supported metal catalysts can be effectively improved by constructing SMSI, it should be noted that the above and most of the construction of SMSI often require high temperature oxidation or reduction treatment.Therefore, metal nanoparticles may agglomerate (> 5 nm) before the formation of SMSI, especially for Au particles with low Tamman temperature values[94,96]. To solve this problem, it is necessary to construct SMSI at relatively low temperature, even at room temperature. In view of this, our research group proposed to construct the wet-chemical strong interaction between metal and support at room temperature by wet-chemical method (wcSMSI, Fig. 11A)[97]. The redox interaction between the host and guest species in this method is particularly important for the formation of SMSI, for example, :Ti3+, as a strong reducing agent, can interact with the surface of Au nanoparticles to form a thin oxide layer covering the Au nanoparticles. This method effectively avoids the construction of SMSI by high temperature treatment, thus preventing the agglomeration of Au nanoparticles at high temperature, and the average diameter of Au nanoparticles in the final sample is about 2 nm. In the CO oxidation reaction, wcSMSI is beneficial to the formation of abundant Au-TiOx interfaces to promote the activation of oxygen molecules, thereby accelerating CO oxidation. In addition, because the Au nanoparticles are coated by a thin oxide layer, the catalytic material shows excellent sintering resistance in a long-time CO oxidation reaction. In addition, the method can be extended to the synthesis of other supported metal catalytic materials (such as Pt, Pd and Rh nanocatalytic materials), showing excellent universality.
图11 利用湿化学方法[97]及高温CO2诱导构筑SMSI[100]

Fig.11 SMSI constructed through wet chemistry method[97] and high temperature CO2-induced method[100]. Copyright 2019, American Chemical Society; Copyright 2021, Nature Publishing Group

Through the above examples, it can be seen that SMSI can not only inhibit the agglomeration of metal nanoparticles in supported metal catalytic materials, but also regulate the local coordination structure of metal species, thus optimizing their catalytic activity. However, SMSI mostly occurs between the reducible metal oxide support and the metal nanoparticles, and the oxide coating on the surface of the metal nanoparticles is very easy to fade under oxidizing and aqueous conditions, resulting in the disappearance of SMSI[98,99]. SMSI is difficult to construct on the surface of relatively "inert" oxide supports (such as MgO) and is difficult to stabilize in aqueous atmospheres. The development of more effective chemical synthesis methods to realize the construction of SMSI on the surface of "inert" oxide supports related to industrial production is of great significance for both theoretical research and chemical production processes. Our research group introduced a method to construct SMSI in Au/MgO system according to Le Chatelier's principle (Le Chatelier's principle means that in an equilibrium reaction, if one of the conditions affecting the equilibrium (such as temperature, pressure, and the concentration of chemical substances participating in the reaction) is changed, the equilibrium will move in a direction that can weaken the change) (Fig. 11b)[100]. The key to the success of this method lies in the use of CO2 to treat Au/MgO at high temperature, and the activation of MgO support by the reversible reaction (MgO+CO2⇌MgCO3) between CO2 and MgO, which drives the support to migrate to the surface of Au nanoparticles. Unlike the classical SMSI (constructed by high temperature reduction), the SMSI constructed by this method can still exist stably even in aqueous atmosphere. In addition, the coating layer on the surface of Au nanoparticles can not only make the reactant molecules diffuse and penetrate, but also inhibit the agglomeration of Au nanoparticles at high temperature, thus improving the anti-sintering ability of catalytic materials.
Up to now, researchers have developed a variety of methods to construct SMSI in different catalyst systems[101~105]. By constructing a coating layer on the surface of the metal nanoparticles, the migration of the metal nanoparticles under high temperature and harsh conditions can be effectively inhibited, thereby effectively improving the structural stability and the service life of the catalyst; The local coordination environment and electronic structure of the metal species can be modified by constructing the metal-oxide support interface, thus changing the reactivity and selectivity of the catalyst[93,101]. SMSI provides a method for improving the anti-sintering performance of metal nanoparticles, provides guidance for creating new condensed structures, and provides a reference for further study of the structure-activity relationship of catalysts.

5.3 Pt Nanoparticle Catalysts for Low Temperature CO Oxidation

Compared with Au, Pt nanoparticles have better anti-sintering properties, but the CO oxidation activity of Pt is still low at relatively low temperatures. Through theoretical simulation, Bao Xinhe et al. Found that the Pt (111) surface has a very strong adsorption of CO, with an adsorption energy of − 1.64 eV, while the adsorption of O2 is relatively weak, only − 0.71 eV. This result indicates that the adsorption of CO on Pt surface is stronger than that of O2, which easily leads to the poisoning of Pt surface by CO, thus inhibiting the oxidation of CO. To solve this problem, they grew a regular monolayer of ferrous oxide (FeO) islands with a size of 2 ~ 5 nm on the surface of noble metal Pt, and formed a coordinatively unsaturated ferrous center at the interface between Pt and FeO[106]. Through theoretical study, it is found that the monolayer ferrous oxide can exist stably on the metal Pt surface, and these ferrous active sites have strong adsorption capacity for molecular oxygen (adsorption energy is-1. 53 eV), but do not adsorb CO, thus solving the problem of CO poisoning. In addition, the molecular oxygen adsorbed at the interface site can be rapidly dissociated to form highly reactive atomic oxygen species with almost no activation energy to complete the catalytic oxidation reaction. Based on these theoretical studies, the researchers prepared SiO2 supported Pt-Fe catalyst with particle size of about 2 – 4 nm for the catalytic oxidation removal of trace CO in hydrogen (PROX). The experimental results show that when the ratio of feed gas (CO∶O2∶H2) is 1 ∶ 0.5 ∶ 98.5, the conversion of CO and the selectivity of CO oxidation by oxygen molecules reach 100% at room temperature. However, under similar reaction conditions, the conversion of CO on the surface of ordinary Pt catalyst is only about 5%. This study reveals the importance of metal-oxide interaction/condensed state interface structure for improving catalytic reaction activity and selectivity. Similarly, Zhongke University Lu Junling et al. Successfully constructed a Fe1(OH)x-Pt single-site interfacial catalytic active center with ultra-high activity and high stability on the surface of SiO2 carrier by using the surface self-limiting reaction in atomic layer deposition (ALD) technology and the characteristics of dissociative adsorption and intermolecular steric hindrance effect of ferrocene metal source on the surface of noble metal[107]. In the PROX reaction, the catalyst showed excellent catalytic activity and selectivity, and achieved 100% selective and complete removal of CO in the ultra-wide temperature range of -75 ~ 110 ℃, which greatly broke through the two limitations of the existing PROX catalyst, namely, relatively high working temperature and narrow range. The catalyst still showed excellent stability in the presence of both CO2 and water vapor, which simulated the real environment, and its specific mass catalytic activity (5.21 molCO·h-1· g P t - 1) was 30 times higher than that of the traditional Pt/Fe2O3 catalyst. Through detailed structural characterization, it is found that the Fe1(OH)x-Pt single-site interface formed on the surface of Pt particles is the catalytic active center, which can efficiently activate oxygen molecules for further reaction of COOH intermediate species to produce CO2.
The above study confirmed the excellent performance of Pt-Fe catalyst in the catalytic oxidation of CO, but the Fe3+-OH-Pt active sites were easily dehydrated during the reaction, resulting in catalyst deactivation. To solve this problem, Zheng Nanfeng et al. Of Xiamen University proposed that a stable hydrotalcite-like structure could be formed by introducing Ni2+ and Fe3+, thus stabilizing the Fe3+-OH-Pt interface and greatly improving the life of the catalyst[108]. On the basis of in-depth understanding of the synergistic effect of Pt-FeNi(OH)x interface, they further developed an alloy-assisted synthesis strategy to prepare Pt-FeNi(OH)x composite nanoparticle catalysts with interwoven structure.The utilization rate of Pt in the novel catalyst is 1.4 to 1.8 times higher than that of the core-shell Pt/FeNi(OH)x nanoparticles, 100% conversion of CO can be realized at room temperature, and the performance of the novel catalyst can work continuously for one month without attenuation[108]. In contrast to iron oxide, ceria is also commonly used as a supported metal catalyst support. In 2017, Wang Yong et al. Of the Pacific Northwest National Laboratory reported that atomically dispersed Pt2+/CeO2 catalysts could be prepared for low-temperature CO oxidation by hydrothermal treatment[109]. Compared with the Pt/CeO2 catalyst without high-temperature steam treatment, oxygen vacancies (VO) in atomically dispersed Pt/CeO2 can be redistributed to the surface of support CeO2(111) during high-temperature steam treatment,The H2O molecules can fill the oxygen vacancies on the surface and generate two adjacent active hydroxyl species near Pt, which can efficiently react with CO adsorbed on the Pt surface to form CO2, thus accelerating the reaction.

6 Condensed structure catalytic syngas conversion

In recent years, ethanol has attracted much attention as a fuel additive and energy carrier, but the ethanol product is heavily dependent on grain fermentation. Conversion of syngas (a mixture of CO and H2) to ethanol offers an alternative route to avoid competition with food. In this process, nano-Rh catalysts have shown unique catalytic properties, but there are still some problems. The performance of Rh catalysts is closely related to the geometric/electronic structure of Rh species. For example, the controllable dissociation of C — O bond, the selective coupling of C — C bond and how to inhibit the deep hydrogenation of CO to methane. In this chapter, the reaction mechanism of Rh-catalyzed syngas to ethanol and the achievements of Rh catalysts in improving catalytic activity, ethanol selectivity and durability in recent years are briefly introduced.

6.1 Active site recognition of Rh-based catalyst

In supported Rh catalysts, the interaction between Rh-promoter-support leads to the existence of different active sites, and it has been reported that ethanol selectivity is closely related to the ratio of Rh+/Rh0 on the catalyst surface. Somorjai et al. Found that H2 and CO are usually decomposed on the Rh0 site, while the *CO insertion reaction is carried out on the Rh+ site[110,111]. If the catalyst contains only Rh0 sites, it will catalyze the CO methanation reaction, but if Rh0 and Rh+ coexist, it will be beneficial to ethanol production. Katzer et al. And Favre et al. Expressed a different view. They believed that ethanol selectivity was not related to the Rh+ site, and the Rh+ site only affected the formation of methanol[112][113,114]. Chuang et al. Used in situ Fourier transform infrared spectroscopy (FTIR) to study the adsorption and insertion process of CO on the surface of Rh/SiO2 catalyst[115,116]. After the pre-adsorption of CO, its bridged, linear and geminal adsorption signals were all observed (Fig. 12), when the mixed gas of ethylene and hydrogen (C2H4/H2=1) was introduced, the linear CO adsorption signal was weakened, and the propionaldehyde signal appeared, meanwhile, the bridged and geminal adsorption signals of CO did not change significantly, which confirmed that CO insertion occurred on the surface of Rh0 by linear CO.
图12 Rh基催化剂上CO吸附红外[116]

Fig.12 CO adsorption IR spectra on Rh-based catalyst[116]. Copyright 1992, Elsevier

Subsequent experiments further proved that the Rh+ on the Rh/SiO2 catalyst after oxidation treatment was also the active site for CO insertion. And by comparing the production rate of propionaldehyde, the activity of Rh+ is higher than that of Rh0. It should be noted that different reaction pathways require different active sites, and most researchers believe that the coexistence of Rh+ and Rh0 active sites on the catalyst is the key to improve the efficiency of syngas to ethanol production, and there is an optimal ratio between them. On this basis, researchers generally believe that single-atom Rh catalysts are not suitable for catalytic syngas conversion to ethanol because they cannot form adjacent Rh0 and Rh+.

6.2 Catalyst composition

The products of syngas conversion are mainly hydrocarbons, methanol and other oxygenates, each of which depends on different catalysts. For example, the main products of Fe, Co and Ru-based catalysts are hydrocarbons, while Cu-based catalysts are conducive to the formation of methanol. Rh-based catalysts are beneficial to the formation of oxygenates, but the product distribution of Rh-based catalysts is closely related to the catalyst structure (such as Rh nanoparticle size, promoter and support).

6.3 Morphology of Rh species.

Rh-based catalysts are structure-sensitive, and the size of Rh nanoparticles has an important influence on the catalytic performance. CO dissociation tends to occur on larger Rh particles, and higher CO dissociation capacity can lead to higher conversion, but at the same time, it is easy to lead to a large amount of methane and other hydrocarbons, thus reducing ethanol yield. In addition, the reaction performance of the catalyst is also closely related to the adsorption form of CO on Rh species. The study shows that CO is non-dissociative adsorption on the neat Rh surface, while dissociative adsorption occurs on the step, ladder surface or smaller Rh particles[117~122][123~125]. Therefore, the CO dissociation activity can be optimized by adjusting the size of Rh nanoparticles, and the suitable size of Rh nanoparticles is about 2 ~ 6 nm. Kim et al. Developed three different methods (polyol modification, organometallic ligand, and sonochemical treatment) for the synthesis of ordered mesoporous carbon (OMC) supported Rh nanoparticle catalysts, which were used in the syngas to ethanol reaction[126]. Compared with the conventional impregnation method, these methods can precisely and uniformly control the size of Rh nanoparticles. In the syngas to ethanol reaction, the Rh nanoparticles on the surface of OMC were uniformly distributed in the optimal size range (1. 9 ~ 4.3 nm), thus significantly improving the CO conversion activity and ethanol selectivity.

6.4 Effect of Additives

Although Rh metal has certain advantages in the synthesis of ethanol from syngas, the selectivity of by-products (such as methane and higher hydrocarbons) is still high for Rh catalysts without promoter modification. The addition of promoter can optimize the size and dispersion of Rh species and affect the CO dissociation and *CO insertion activities, thereby improving CO conversion, ethanol selectivity, and catalyst stability. Oxyphilic oxides are commonly used Rh-based catalyst promoters, such as Mn, V, Ti, Mo, and Zr. These metal oxides can provide abundant Rh-oxide interfaces, allowing O in CO to interact with oxophilic oxides to form a tilted CO adsorption posture (Fig. 12), which facilitates the insertion of *CO species to improve ethanol selectivity.
Mn is a commonly used promoter for Rh-based catalysts, and its effects include promoting the adsorption and dissociation of CO, enhancing the reaction rate, and creating interfacial sites for CO insertion. The introduction of Mn can effectively improve the selectivity of oxygenates. However, the promotion mechanism of Mn species is still controversial. Mei et al. reported that the Mn promoter can form a binary alloy with Rh species, reducing the energy barrier for CO insertion (Fig. 13A)[127]. Li et al. Also considered RhMn alloy as the active species and confirmed it by theoretical study (Fig. 13b)[128]. However, most literatures consider that it is difficult to form an alloy between RhMn, because the TPR experiment proves that Mn species are difficult to be reduced to Mn0 below 700 ° C (Fig. 13 C)[129]. The researchers further confirmed that the Rh species was modified by amorphous MnOx through XPS, XANES, STEM and EELS experiments (Fig. The interface between 13D~J),MnOx and Rh species is the key factor to promote ethanol production and inhibit methane[129].
图13 (A)Rh、Rh49Mn和Rh47Mn3 颗粒表面CH4生成能量计算[127];(B)RhMn合金催化剂模型[128];(C~J)不同RhMn催化剂的H2-TPR图谱、同步辐射表征、XPS图谱及HRTEM表征[129]

Fig.13 (A) CH4 formation energy on the surface of Rh, Rh49Mn and Rh47Mn3[127], Copyright 2010, Elsevier; (B) Model of RhMn alloy catalyst[128], Copyright 2008, AIP Publishing; (C~J) H2-TPR profiles, synchrotron radiation characterizations, XPS profiles, and HRTEM characterizations of different RhMn catalysts[129], Copyright 2014, Elsevier

Fe is also an effective promoter for Rh-based catalysts, and many studies have shown that the addition of a certain amount of Fe can inhibit the reduction of Rh+ sites and promote the hydrogenation of oxygenated intermediates such as acetaldehyde and acetic acid to form ethanol. It is worth mentioning that there is still some controversy about the hydrogenation of CO to acetaldehyde and ethanol. Some studies have shown that acetaldehyde and ethanol are formed from different intermediates, but some studies have shown that a part of ethanol comes from the further hydrogenation of acetaldehyde[130][131~135]. In particular, the addition of Fe promoter can promote the hydrogenation of acetaldehyde to ethanol. For example, Burch et al. Reported that the addition of Fe to the catalyst significantly improved the selectivity of ethanol, and the presence of Fe could stabilize the adsorption of acetyl species (*CH3CHO) on the catalyst, thus facilitating the subsequent hydrogenation to ethanol rather than desorption after the formation of acetaldehyde[134,135]. Based on DFT calculations, Choi and Liu found that Fe-modified Rh (111) facets can increase the elementary reaction barrier for methane formation (from 0.57 eV to 1.21 eV) compared to unmodified Rh (111), thereby suppressing methanogenesis and increasing ethanol selectivity (Fig. 14)[136]. It should be pointed out that the loading of Fe has a great influence on the catalytic performance of the catalyst, and the optimum Fe content varies with the support and catalyst structure.
图14 Rh(111)和Fe促进的Rh(111)表面 C H 3 * + H* → CH4 (g) + 2*基元步骤能垒计算[136]

Fig.14 Energy barrier of C H 3 * + H* → CH4 (g) + 2* on Rh (111) surface promoted by Rh (111) and Fe[136]. Copyright 2009, American Chemical Society

Alkali metal additives such as Li, Na, K and Cs can inhibit the dissociation of CO, thereby inhibiting the methanation reaction and improving the selectivity of oxygenates. However, the alkali metal promoter can also partially cover the Rh active sites and thus reduce the Rh catalyst activity. For example, the addition of 3% K to Rh-Mn/SiO2 catalyst decreased the CO conversion from 24.6% to 15.6% under the same reaction conditions. At the same time, the selectivity of methane decreased significantly while the selectivity of methanol increased, which may be related to the increase of non-dissociative CO on the catalyst surface. Goodwin et al. Also found the promotion effect of Li promoter and obtained similar results[137]. Spivey et al. Found that the addition of 0.1% Li to the Rh/TiO2 catalyst could double the CO conversion, and Li enhanced the dispersion of Rh, resulting in more CO species being adsorbed, thus increasing the CO conversion[138].
Du et al. Found the promotion effect of rare earth metals such as La, Ce, Pr, Nd and Sm on CO hydrogenation reaction[139]. When Ce and Pr promoters were added to the surface of 2%Rh/SiO2, high oxygenates selectivity could be obtained under the reaction conditions of 220 ℃, 0.1 MPa and H2/CO ratio of 1. 69, in which 48% was ethanol. They believed that the added promoter partially covered the Rh metal, and the interfacial site between Rh and promoter could effectively inhibit the chemisorption activity of Rh on H2. It is worth mentioning that there may be one or two or more promoters, and the superposition and synergy of multiple promoters can greatly improve the catalyst performance.

6.5 Effect of carrier

Modification of the support surface can improve metal dispersion or promote the formation of SMSI. Ding et al. Used C1-C5 alcohol to modify the SiO2 to improve Rh dispersion and catalyst activity[140]. With the increase of the molecular weight of n-alcohol, many alkoxy groups were formed on the surface of SiO2, the density of surface silanol groups decreased, and the hydrophobicity of SiO2 was further improved, which was beneficial to Rh dispersion and led to enhanced activity. However, more than 80% of the oxygenated products in the product are acetic acid and ethyl acetate. Yu et al. Showed that the type and number of hydroxyl groups on the surface of SiO2 had a significant effect on Rh dispersion[141,142]. They synthesized SiO2 supported Rh catalyst by Stober method, and found that the catalyst prepared by Stober method had higher activity and ethanol selectivity than the catalyst prepared by impregnation method, although it had lower BET surface area. They demonstrated that the silanol groups on the surface of SiO2 can interact with Rh and further affect the dispersion of metal particles, thereby increasing the number of active sites (Fig. 15)[142].
图15 Rh/SiO2催化剂制备示意图及催化数据[142]

Fig.15 Scheme showing the preparation of Rh/SiO2 catalyst and the catalytic performance[142]. Copyright 2013, Elsevier

Han et al. Prepared Rh-based catalyst with SiO2-TiO2 mixed oxide as support by sol-gel method[143]. The results show that compared with the single SiO2 or TiO2 support, the SiO2-TiO2 mixed oxide can significantly improve the Rh dispersion, thereby significantly improving the CO adsorption and dissociation capacity[144]. Chai et al. Found that the surface CO conversion of Rh-based catalysts supported on graphite mesoporous carbon (GMC) was significantly higher than that of catalysts supported on other carbon allotropes and SiO2[145]. In addition to the porosity, the strong interaction between the metal particles and the π-bonds on the graphitic carbon surface leads to an increase in the dispersion of Rh nanoparticles, which directly promotes their catalytic performance. It should be emphasized that Arakawa et al. And Fan et al. Proposed that higher Rh dispersion does not necessarily mean better catalytic performance[146][147].
The support can not only improve the dispersion of Rh nanoparticles, but also modify the electronic structure of Rh species through interaction. Kawai et al. Studied the effect of the acidity and basicity of the support on the catalytic performance[148]. They found that the main product on the surface of Rh catalysts supported on strong basic oxides (such as ZnO or MgO) was methanol. However, the surface of Rh catalysts supported on weak basic supports (such as TiO2, La2O3, ThO2, and Cr2O3) produced ethanol and higher C2+ oxygenates. In addition, the surface of Rh catalysts supported on acidic supports (such as Al2O3, SnO2, V2O5, and WO3) tends to produce methane and higher hydrocarbons. Tauster et al. And Kip et al. Found that SMSI could be generated with metal nanoparticles using TiO2 and V2O5 as carriers (Fig. 16)[32,149][150]. The low valence oxides formed by high temperature reduction will partially cover the Rh active sites and reduce the adsorption of CO and H2, thus increasing the CO insertion activity and favoring the formation of ethanol.
图16 不同负载型金属催化剂结构模型图

Fig.16 Structural models of different supported metal catalysts

6.6 Influence of preparation method

The impregnation method is a typical method for the preparation of supported Rh catalysts, which only requires the co-impregnation of Rh and the precursor solution of the promoter on the support, followed by calcination. Goodwin et al. Prepared 1.5%Rh-La-V-(Fe)/SiO2 catalyst by impregnation method, and found that the Rh/SiO2 catalyst with La and V promoters had higher CO conversion and ethanol selectivity in the synthesis gas to ethanol reaction[151]. The 1.5 wt%Rh/SiO2 catalyst with 2.6% La, 1.5% V, 0.8% Fe showed the highest selectivity to ethanol (34.6%). La enhances the adsorption and insertion of CO, the addition of V enhances the dissociation and chain growth of CO although it reduces the adsorption of CO, and the addition of Fe reduces the adsorption of CO but enhances the hydrogenation ability. However, the reaction also produced 18.7% methane and 33.2% hydrocarbons.
In order to improve this, Meyer et al. Pointed out that ethanol selectivity could be improved by changing the degree of interaction between the promoter and the metal[129]. They demonstrated that the 2% Mn3% Rh/CNTs catalyst had better Rh-Mn contact than the 1% Mn3% Rh/CNT catalyst by scanning transmission electron microscope-electron energy loss spectroscopy (STEM-EELS) (Fig. 13 g-j), and the ethanol selectivity was improved by approximately 10%. To further increase the interaction between the promoter and the metal, the researchers utilized the strong electrostatic adsorption (SEA) method to maximize this effect: the precursor of Mn promoter ( MnO 4 -) was anchored to the Rh oxide supported on the surface of SiO2 by controlling the pH value in the synthesis system (Fig. 17)[152]. The catalytic data showed that the strong electrostatic adsorption method produced RhMn/SiO2 with significantly improved ethanol selectivity (57% C2+ oxygenate, 20% ethanol) compared to the impregnation method (30% C2+ oxygenate, 6% ethanol).
图17 (a)强静电吸附法(SEA)制备的RhMn/SiO2催化剂示意图;(b)金属纳米颗粒粒径统计;(c)催化剂暗场透射电镜照片;(d)EELS元素谱图[152]

Fig.17 (a) Scheme showing the preparation of RhMn/SiO2 via strong electrostatic adsorption (SEA); (b) size distributions of metal nanoparticles; (c) dark field transmission electron microscopy of catalyst; (d) EELS elemental spectra[152]. Copyright 2013, Wiley-VCH

Therefore, even if the catalyst components are the same, the different preparation methods can significantly affect the catalytic performance. Inspired by this, more research teams have proposed new preparation methods to better regulate the fine structure of catalysts. For example, Wang et al. Prepared a catalyst (Rh/FeOx-SiO2) with FeOx-SiO2 composite support by sol-gel technique[153].
The 5%Rh/FeOx-SiO2 catalyst exhibited higher ethanol selectivity (42%) and CO conversion (12.4%, fig. 18) than the 5%Rh-FeOx-SiO2 catalyst prepared by CO-impregnation method and the 5%Rh-FeOx-SiO2 catalyst prepared by co-sol-gel method. The results showed that the larger contact interface between Rh and FeOx and the coexistence of Rh+ and Rh0 were the key factors for improving ethanol selectivity. Bent et al. Used ALD to deposit manganese oxides onto the support surface to modify the Rh catalyst (fig. 19)[154]. Compared with the impregnation method, the catalyst with ultrathin MnO layer can better control the spatial distribution and surface concentration of Rh, showing better selectivity of C2+ oxygenates. They believe that the Rh-MnO unique interface is the key to the performance improvement.
图18 溶胶-凝胶技术制备FeOx-SiO2复合载体的催化剂[153]

Fig.18 Preparation of FeOx-SiO2 composite support by sol-gel method[153]. Copyright 2013, Elsevier

图19 (A)MnO/Rh/SiO2催化剂制备示意图及(B)催化数据[154]

Fig.19 (A) Scheme showing the synthesis of MnO/Rh/SiO2 catalyst and (B) the catalytic data[154]. Copyright 2017, American Chemical Society

6.7 Encapsulated Rh catalyst

The physical and chemical properties of catalytic materials can be more flexibly controlled by constructing core-shell structures, and the synergistic effect between "core" and "shell" has an important impact on improving catalytic activity, selectivity and stability. Huang et al. Proposed a colloidal encapsulation method to encapsulate Rh nanoparticles into mesoporous silica nanoparticles (MSN), achieving a more intimate and effective interaction with Mn species (Fig. 20)[155]. Compared with the supported RhMn/MSN catalyst prepared by impregnation method, the encapsulated RhMn @ MSN catalyst has better thermal stability. At the same time, the selectivity of oxygenates in C2+ is as high as 48.8%, the conversion of CO is 24%, but the selectivity of methane is 51.2%.
图20 RhMn@MSN催化剂制备过程示意图[155]

Fig.20 Scheme showing the synthesis of RhMn@MSN catalyst[155]. Copyright 2012, Wiley-VCH

In addition to mesoporous silica, Pan et al. Reported carbon nanotube-encapsulated Rh nanoparticle catalysts[156]. Rh, Mn, Li, and Fe species were introduced into the carbon nanotube cavity (denoted as RMLF-in-CNTs) by a wet chemical method with the assistance of ultrasound. Transmission electron microscopy (TEM) images show that more than 80% of the nanoparticles are uniformly distributed in the channel. Compared with the metal nanoparticles located on the outside of carbon nanotubes (RMLF-out-CNTs) and the conventional supported Rh catalyst, the RMLF-in-CNTs has more excellent performance. A C2+ oxygenate yield of 84.4 mol·mol R h - 1 ·h-1 can be obtained at a temperature of 330 ° C. The study shows that the excellent catalytic activity of RMLF-in-CNTs is attributed to the difference of electron density between the surface and the interior of carbon nanotubes. At the same time, the oxophilic Mn species in the carbon nanotubes will attract the O atoms in the CO adsorbed on the adjacent Rh sites, forming a tilted CO adsorption, thus promoting the dissociation of CO and increasing the activity of C2+ oxygenates.
Recently, our research group reported that zeolite molecular sieve encapsulated RhMn nanoparticles can promote syngas conversion to ethanol (Fig. 21 A), and RhMn nanoparticles were encapsulated in pure silicon M FI zeolite (RhMn @ S-1) by solvent-free seed directing method[157]. Scanning transmission electron microscopy (STEM) and TEM showed that the metal nanoparticles were distributed in the range of 1.2 – 5.9 nm with an average size of 2.7 nm (Fig. 21 B, C). The RhMn @ S-1 catalyst has excellent catalytic performance, with CO conversion of 42. 4% and oxygenate selectivity of 40. 3%, of which 67. 8% is ethanol. The ethanol yield could reach 71.2 mol·mol R h - 1 ·h-1, and the reaction had no obvious deactivation for a long time (220 H) (Fig. 21 D). The Rh+-O-Mn interface was found to be the key site for the coupling of the *CHx intermediate and the undissociated intermediate (CHO* and/or CO*) to generate the C2 oxide intermediate,However, in the reductive reaction atmosphere, the core-shell catalyst preserves abundant Rh+-O-Mn interfaces. DFT calculation results show that the zeolite encapsulation structure can reduce the kinetic energy barrier of C — C bond coupling, thus promoting the formation of C2 oxide intermediates required for ethanol. In addition, the zeolite framework hinders RhMn nanoparticle migration and sintering to maintain its initial size, which is the key for the catalyst to exhibit excellent stability.
图21 RhMn@S-1催化剂(A)模型,(B、C)TEM照片及(D)CO加氢催化性能[157]

Fig.21 (A) Structural model, (B, C) TEM images and (D) CO hydrogenation performance of RhMn@S-1 catalyst[157]. Copyright 2020, American Chemical Society

7 Conclusion and prospect

The application of condensed multilevel structure in small molecule catalytic conversion is discussed above, and the important influence of condensed multilevel structure on its catalytic properties is briefly introduced for propane dehydrogenation, nitrobenzene hydrogenation, reductive amination, methanol reforming to hydrogen, water-gas shift, CO oxidation and syngas conversion.It aims to provide ideas for understanding the relationship and law among the multi-level structure of condensed matter, chemical properties and chemical reactions, the construction of condensed matter and the precise preparation of microstructure.
[1]
Harris P J F. Int. Mater. Rev., 1995, 40: 97.

[2]
Satoh N, Nakashima T, Yamamoto K. Sci. Rep., 2013, 3: 1959.

[3]
Guo J, Huo J, Liu Y, Wu W, Wang Y, Wu M, Liu H, Wang G. Small Methods, 2019, 3: 1900159.

[4]
Chen S, Chang X, Sun G, Zhang T, Xu Y, Wang Y, Pei C, Gong J. Chem. Soc. Rev., 2021, 50: 3315.

[5]
Cybulskis V, Bukowski B C, Tseng H T, Gallagher J R, Wu Z, Wegener E, Kropf A J, Ravel B, Ribeiro F H, Greeley J, Miller J. ACS Catal., 2017, 7: 4173.

[6]
Sattler J J H B, Martinez J R, Eduardo S J, Weckhuysen B M. Chem. Rev., 2014, 114: 10613.

[7]
Virnovskaia A, Morandi S, Rytter E, Giovanna G, Olsbye U. J. Phys. Chem. C., 2007, 111: 14732.

[8]
Nagaraja B M, Shin C H, Jung K D. Appl. Catal. A., 2013, 467: 211.

[9]
Wu J, Peng Z M, Bell A T. J. Catal., 2014, 311: 161.

[10]
Mizuhata M, Yasuda K, Oguro K, Takenaka H. J. Catal., 1966, 6: 92.

[11]
Cortright R D, Dumesic J A. J. Catal., 1995, 157: 576.

[12]
Natal-Santiago M A, Podkolzin S G, Cortright R D, Dumesic J A. Catal. Lett., 1997, 45: 155.

[13]
Shen J, Hill J M, Watwe R M, Spiewak B E, Dumesic J A. J. Phys. Chem. B, 1999, 103: 3923.

[14]
Yang M, Zhu Y, Zhou X, Sui Z, Chen D. ACS Catal., 2012, 2: 1247.

[15]
Nykanen L, Honkala K. J. Phys. Chem. C., 2011, 115: 9578.

[16]
Gao J, Zhao H, Yang X, Koel B E. Angew. Chem. Int. Ed., 2014, 53: 3641.

[17]
Motagamwala A H, Almallahi R, Wortman J, Igenegbai V O, Linic S. Science, 2021, 373: 217.

[18]
Liu L, Lopez-Haro M, Lopes C W, Rojas-Buzo S, Concepcion P, Manzorro R, Simonelli L, Sattler A, Serna P, Calvino J J, Corma A. Nat. Catal., 2020, 3: 628.

[19]
Silvestre-Albero J, Serrano-Ruiz J C, Sepulveda-Escribano A, Rodriguez-Reinoso F. Appl. Catal. A, 2005, 292: 244.

[20]
Silvestre-Albero J, Serrano-Ruiz J C, Sepulveda-Escribano A, Rodriguez-Reinoso F. Appl. Catal. A, 2008, 351: 16.

[21]
Vu B K, Song M B, Ahn I Y, Suh Y W, Suh D J, Kim W I, Koh H L, Choi Y G, Shin E W. Appl. Catal. A, 2011, 400: 25.

[22]
Sun Q, Wang N, Fan Q, Zeng L, Mayoral A, Miao S, Yang R, Jiang Z, Zhou W, Zhang J, Zhang T, Xu J, Zhang P, Cheng J, Yang D, Jia R, Li L, Zhang Q, Wang Y, Terasaki O, Yu J. Angew. Chem. Int. Ed., 2020, 59: 19450.

[23]
Chen S, Zhao, Z, Mu R, Chang X, Luo J, Purdy S C, Kropf A J, Sun G, Pei C, Miller J T, Zhou X, Vovk E, Yang Y, Gong J. Chem, 2021, 7: 387.

[24]
Qi L, Babucci M, Zhang Y F, Lund A, Liu L M, Li J W, Chen Y Z, Hoffman A S, Bare S R, Han Y, Gates B C, Bell A T. J. Am. Chem. Soc., 2021, 143: 21364.

[25]
Ryoo R, Kim J, Jo C, Han S W, Kim J C, Park H, Han J, Shin H S, Shin J W. Nature, 2020, 585: 221.

[26]
Zhao D, Tian X N, Doronkin D E, Han S L, Kondratenko V A, Grunwaldt J D, Perechodjuk A, Vuong T H, Rabeah J, Eckelt R, Rodemerck U, Linke D, Jiang G Y, Jiao H J, Kondratenko E V. Nature, 2021, 599: 234.

[27]
Yang Z, Li H, Zhou H, Wang L, Wang L, Zhu Q, Xiao J, Meng X, Chen J, Xiao F S. J. Am. Chem. Soc., 2020, 142: 16429.

[28]
Muller T E, Hultzsch K C, Yus M, Foubelo F, Tada M. Chem. Rev., 2008, 108: 3795.

[29]
Hartwig J F. Nature, 2008, 455: 314.

[30]
Formenti D, Ferretti F, Scharnagl F K, Beller M. Chem. Rev., 2018, 119: 2611.

[31]
Zhang S, Chang C, Huang Z, Li J, Wu Z, Ma Y, Zhang Z, Wang Y, Qu Y. J. Am. Chem. Soc., 2016, 138: 2629.

[32]
Tauster S J, Fung S C, Garten R L. J. Am. Chem. Soc., 1978, 100: 170.

[33]
Dong J, Fu Q, Jiang Z, Mei B, Bao X. J. Am. Chem. Soc., 2018, 140: 13808.

[34]
Zhang Y, Liu J X, Qian K, Jia A, Li D, Shi L, Hu J, Zhu J, Huang W. Angew. Chem. Int. Ed., 2021, 60: 12074.

[35]
Coq B, Tijani A, Dutartre R, Figueras F. J. Mol. Catal., 1993, 79: 253.

[36]
Corma A, Serna P, Concepcion P, Calvino J J. J. Am. Chem. Soc., 2008, 130: 8748.

[37]
Macino M, Barnes A J, Althahban S M, Qu R Y, Gibson E K, Morgan D J, Freakley S J, Dimitratos N, Kiely C J, Gao X, Beale A M, Bethell D, He Q, Sankar M, Hutchings G J. Nat. Catal., 2019, 2: 873.

[38]
Liu X, Liu M H, Luo Y C, Mou C Y, Lin S D, Cheng H, Chen J M, Lee J F, Lin T S. J. Am. Chem. Soc., 2012, 134: 10251.

[39]
Cardenas-Lizana F, Hao Y F, Crespo-Quesada M, Yuranov I, Wang X D, Keane M A, Kiwi-Minsker L. ACS Catal., 2013, 3: 1386.

[40]
Wang G, Hilgert J, Richter F H, Wang F, Bongard H J, Spliethoff B, Weidenthaler C, Schuth F. Nat. Mater., 2014, 13: 293.

[41]
Murugesan K, Chandrashekhar V G, Kreyenschulte C, Beller M, Jagadeesh R V. Angew. Chem. Int. Ed., 2020, 59: 17408.

[42]
Guan Q, Zhu C, Lin Y, Vovk E I, Zhou X, Yang Y, Yu H, Cao L, Wang, H, Zhang X, Liu X, Zhang M, Wei S, Li W, Lu J. Nat. Catal., 2021, 4: 840.

[43]
Liu L, Gao F, Concepcion P, Corma A. J. Catal., 2017, 350: 218.

[44]
Ge H, Zhang B, Gu X, Liang H, Yang H, Gao Z, Wang J, Qin Y. Angew. Chem. Int. Ed., 2016, 55: 7081.

[45]
Zhang J, Wang L, Shao Y, Wang Y Q, Gates B C, Xiao F S. Angew. Chem. Int. Ed., 2017, 56: 9747.

[46]
Wei H, Liu X, Wang A, Zhang L, Qiao B, Yang X, Huang Y, Miao S, Liu J, Zhang T. Nat. Commun., 2014, 5: 5634.

[47]
Wang L, Zhu C, Xu M, Zhao C, Gu J, Cao L, Zhang X, Sun Z, Wei S, Zhou W, Li W X, Lu J. J. Am. Chem. Soc., 2021, 143: 18854.

[48]
Jin H, Li P, Cui P, Shi J, Zhou W, Yu X, Song W, Cao C Y. Nat. Commun., 2022, 13: 723.

[49]
Murugesan K, Beller M, Jagadeesh R V. Angew. Chem. Int. Ed., 2019, 131: 5118.

[50]
Tong T, Guo W, Liu X, Guo Y, Pao C, Chen J, Hu Y, Wang Y. J. Catal., 2019, 378: 392.

[51]
Komanoya T, Kinemura T, Kita Y, Kamata K, Hara M. J. Am. Chem. Soc., 2017, 139: 11493.

[52]
Jagadeesh R V, Murugesan K, Alshammari A S, Neumann H, Pohl M M, Radnik J, Beller M. Science, 2017, 358: 326.

[53]
Hahn G, Kunnas P, De-Jonge N, Kempe R. Nat. Catal., 2019, 2: 71.

[54]
Ho C R, Defalque V, Zheng S, Bell A T. ACS Catal., 2019, 9: 2931.

[55]
Wang T, Ibanez J, Wang K, Fang L, Sabbe M, Michel C, Paul S, Pera-Titus M, Sautet P. Nat. Catal., 2019, 2: 773.

[56]
Shimizu K, Kon K, Onodera W, Yamazaki H, Kondo J N. ACS Catal., 2013, 3: 112.

[57]
Schultz M G, Diehl T, Brasseur G P, Zittel W. Science, 2003, 302: 624.

[58]
Zou X, Zhang Y. Chem. Soc. Rev., 2015, 44: 5148.

[59]
Chen L, Hou K, Liu Y, Qi Z, Zheng Q, Lu Y, Chen J, Chen J, Pao C, Wang S, Li Y, Xie S, Liu F, Prendergast D, Klebanoff L E, Stavila V, Allendorf M D, Guo J, Zheng L, Su J, Somorjai G A. J. Am. Chem. Soc., 2019, 141: 17995.

[60]
Palo D R, Dagle R A, Holladay J D. Chem. Rev., 2007, 107: 3992.

[61]
Lin L, Yao S, Gao R, Liang X, Yu Q, Deng Y, Liu J, Peng M, Jiang Z, Li S, Li Y, Wen X, Zhou W, Ma D. Nat. Nanotechnol., 2019, 14: 354.

[62]
Nilekar A U, Sasaki K, Farberow C A, Adzic R R, Mavrikakis M. J. Am. Chem. Soc., 2011, 133: 18574.

[63]
Cortright R D, Davda R R, Dumesic J A. Nature, 2002, 418: 964.

[64]
Lin L, Zhou W, Gao R, Yao S, Zhang X, Xu W, Zheng S, Jiang Z, Yu Q, Li Y, Shi C, Wen X, Ma D. Nature, 2017, 544: 80.

[65]
Patel S, Pant K K. Appl. Catal. A, 2009, 356: 189.

[66]
Li D, Xu F, Tang X, Dai S, Pu T, Liu X, Tian P, Xuan F, Xu Z, Wachs I E, Zhu M. Nat. Catal., 2022, 5: 99.

[67]
Yu K M K, Tong W Y, West A, Cheung K, Li T, Smith G, Guo Y L, Tsang S C E. Nat. Commun., 2012, 3: 1230.

[68]
Chen L, Qi Z, Peng X, Chen J, Pao C, Zhang X, Dun C, Young M, Prendergast D, Urban J J, Guo J H, Somorjai G A, Su J. J. Am. Chem. Soc., 2021, 143: 12074.

[69]
Rodriguez J A, Ma S, Liu P, Hrbek J, Evans J, Perez M. Science, 2007, 318: 1757.

[70]
Gokhale A A, Dumesic J A, Mavrikakis M. J. Am. Chem. Soc., 2008, 130: 1402.

[71]
Rodriguez J, Liu P, Hrbek J, Evans J, Perez M. Angew. Chem. Int. Ed., 2007, 46: 1329.

[72]
Liang J, Lin J, Liu J, Wang X, Zhang T, Li J. Angew. Chem. Int. Ed., 2020, 59: 12868.

[73]
Xu M, Yao S, Rao D, Niu Y, Liu N, Peng M, Zhai P, Man Y, Zheng L, Wang B, Zhang B, Ma D, Wei M. J. Am. Chem. Soc., 2018, 140: 11241.

[74]
Yang M, Li S, Wang Y, Herron J A, Xu Y, Allard L F, Lee S, Huang J, Mavrikakis M, Flytzani-Stephanopoulos M. Science, 2016, 346: 1498.

[75]
Yao S, Zhang X, Zhou W, Gao R, Xu W, Ye Y, Lin L, Wen X, Liu P, Chen B, Crumlin E, Guo J, Zuo Z, Li W Z, Xie J L, Lu L, Kiely C J, Gu L, Shi C, Rodriguez J A, Ma D. Science, 2017, 357: 389.

[76]
Zhang X, Zhang M T, Deng Y C, Xu M Q, Artiglia L, Wen W, Gao R, Chen B, Yao S, Zhang X, Peng M, Yan J, Li A, Jiang Z, Gao X, Cao S, Yang C, Kropf A J, Shi J, Xie J, Bi M, van Bokhoven J A, Li Y, Wen X, Flytzani-Stephanopoulos M, Shi C, Zhou W, Ma D. Nature, 2021, 589: 396.

[77]
Freund H J, Meijer G, Scheffler M, Schlogl R, Wolf M. Angew. Chem. Int. Ed., 2011, 50: 10064.

[78]
Twigg M V. Appl. Catal. B, 2007, 70: 2.

[79]
Liu K, Wang A, Zhang T. ACS Catal., 2012, 2: 1165.

[80]
Haruta M, Yamada N, Kobayashi T, Iijima S. J. Catal., 1989, 115: 301.

[81]
Haruta M, Kobayashi T, Sano H, Yamada N. Chem. Lett., 1987, 16: 405.

[82]
Comotti M, Li W, Spliethoff B, Schüth F. J. Am. Chem. Soc., 2006, 128: 917.

[83]
Arab L, Boutahala M, Djellouli B, Dintzer T, Pitchon V. Appl. Catal. A, 2014, 475: 446.

[84]
Lizuka Y, Tode T, Takao T, Yatsu K, Takeuchi T, Tsubota S, Haruta M. J. Catal., 1999, 187: 50.

[85]
Mavrikakis M, Stoltze P, Nørskov J K. Catal. Lett., 2000, 64: 101.

[86]
Lopez N. Janssens T V W, Clausen B S, Xu Y, Mavrikakis M, Bligaard T, Nørskov J K. J. Catal., 2004, 223: 232.

[87]
Saavedra J. Doan H A, Pursell C J, Grabow L C, Chandler B D. Science, 2014, 345: 1599.

[88]
Green I X, Tang W, Neurock M, Yates J T. Science, 2011, 333: 736.

[89]
Yoon B, Ha¨kkinen H, Landman U, Wörz A S, Antonietti J M, Abbet S, Judai K, Heiz U. Science, 2005, 307: 403.

[90]
Wang S, Zhao Q, Wei H, Wang J Q, Cho M, Cho H S, Terasaki O, Wan Y. J. Am. Chem. Soc., 2013, 135: 11849.

[91]
Xiao J, Pan X, Guo S, Ren P, Bao X H. J. Am. Chem. Soc., 2015, 137: 477.

[92]
Tauster S J. Acc. Chem. Res., 1987, 20: 389.

[93]
Van Deelen T M, Mejía C H, De Jong K P. Nat. Catal., 2019, 2: 955.

[94]
Tang H, Su Y, Zhang B, Lee A F, Isaacs M A, Wilson K, Li L, Ren Y, Huang J, Haruta M, Qiao B, Liu X, Jin C, Su D S, Wang J H, Zhang T. Sci. Adv., 2017, 3: e1700231.

[95]
Liu S, Xu W, Niu Y, Zhang B, Zheng L, Liu W, Li L, Wang J H. Nat. Commun., 2019, 10: 5790.

[96]
Wang Y, Widmann D, Heenemann M, Diemant T, Biskupek J, Schlögl R, Behm R J. J. Catal., 2017, 354: 46.

[97]
Zhang J, Wang H, Wang L, Ali S, Wang C, Wang L, Meng X, Li B, Su D S, Xiao F S. J. Am. Chem. Soc., 2019, 141: 2975.

[98]
Tauster S J, Fung S C, Baker R T K, Horsley J A. Science, 1981, 211: 1121.

[99]
Matsubu J C, Zhang S, De Rita L, Marinkovic N S, Chen J G G, Graham G W, Pan X, Christopher P. Nat. Chem., 2017, 9: 120.

[100]
Wang H, Wang L, Lin D, Feng X, Niu Y, Zhang B, Xiao F S. Nat. Catal., 2021, 4: 418.

[101]
Wang H, Wang L, Xiao F S. Sci. China Chem., 2022, 65: 2051.

[102]
Dong J, Fu Q, Li H, Xiao J, Yang B, Zhang B, Bai Y, Song T, Zhang R, Gao L, Cai J, Zhang H, Liu Z, Bao X. J. Am. Chem. Soc., 2020, 142: 17167.

[103]
Chen H, Yang Z, Wang X, Polo-Garzon F, Halstenberg P W, Wang T, Sun X, Yang S Z, Meyer H M, Wu Z, Dai S. J. Am. Chem. Soc., 2021, 143: 8521.

[104]
Yu J, Sun X, Tong X, Zhang J, Li J, Li S, Liu Y, Tsubaki N, Abe T, Sun J. Nat. Commun., 2021, 12: 7209.

[105]
Zhang J, Zhu D, Yan J, Wang C A. Nat. Commun., 2021, 12: 6665.

[106]
Fu Q, Li W X, Yao Y, Liu H, Su H Y, Ma, Gu X K, Chen L, Wang Z, Zhang H, Wang B, Bao X H. Science, 2010, 328: 1141.

[107]
Cao L, Liu W, Luo Q, Yin R, Wang B, Weissenrieder J, Soldemo M, Yan H, Lin Y, Sun Z, Ma C, Zhang W, Chen S, Wang H, Guan Q, Yao T, Wei S, Yang J, Lu J L. Nature, 2019, 565: 631.

[108]
Chen G, Zhao Y, Fu G, Duchesne P N, Gu L, Zheng Y, Weng X, Chen M, Zhang P, Pao C W, Lee J F, Zheng N F. Science, 2014, 344: 495.

[109]
Nie L, Mei D H, Xiong H, Peng B, Ren Z, Hernandez X I P. De La Riva A, Wang M, Engelhard M H, Kovarik L, Datye A K, Wang Y. Science, 2017, 358: 1419.

[110]
Watson P R, Somorgai G A. J. Catal., 1981, 72: 347.

[111]
Watson P R, Somorgai G A. J. Catal., 1982, 74: 282.

[112]
Katzer J R, Sleight A W, Gajardo P, Michel J B, Gleason E F, McMillan S. Faraday Discuss., 1981, 72: 121.

[113]
Favre T L F, Vanderlee G, Ponec V. J. Chem. Soc. Chem. Commun., 1985, 4: 230.

[114]
Vanderlee G, Schuller B, Post H, Favre T L F, Ponec V. J. Catal., 1986, 98: 522.

[115]
Chuang S S C, Stevens R W, Khatri R. Top. Catal., 2005, 32: 225.

[116]
Chuang S S C, Pien S I. J. Catal., 1992, 135: 618.

[117]
Castner D G, Sexton B A, Somorjai G A. Surf. Sci., 1978, 71: 519.

[118]
Thiel P A, Williams E D, Yates J T, Weinberg W H. Surf. Sci., 1979, 84: 54.

[119]
Yates J T, Williams E D, Weinberg W H. Surf. Sci., 1980, 91: 562.

[120]
Gorodetskii V V, Nieuwenhuys B E. Surf. Sci., 1981, 105: 299.

[121]
Bowker M, Guo Q M, Joyner R. Surf. Sci., 1991, 253: 33.

[122]
Batteas J D, Gardin D E, Van Hove M A, Somorjai G A. Surf. Sci., 1993, 297: 11.

[123]
Sexton B A, Somorjai G A. J. Catal., 1977, 46: 167.

[124]
Castner D G, Somorjai G A. Surf. Sci., 1979, 83: 60.

[125]
Liu W, Ren D M. Surf. Sci., 1990, 232: 323.

[126]
Kim M J, Chae H J, Ha K S, Jeong K E, Kim C U, Jeong S Y, Kim T W. J. Nanosci. Nanotechnol., 2013, 13: 7511.

[127]
Mei D, Rousseau R, Kathmann S M, Glezakou V A, Engelhard M H, Jiang W, Wang C, Gerber M A, White J F, Stevens D J. J. Catal., 2010, 271: 325.

[128]
Ma X, Deng H, Yang M M, Li W X. J. Chem. Phys., 2008, 129: 244711.

[129]
Liu J, Guo Z, Childers D, Schweitzer N, Marshall C L, Klie R F, Miller J T, Meyer R J. J. Catal., 2014, 313: 149.

[130]
Jackson S D, Brandreth B J, Winstanley D A. J. Catal., 1987, 106: 464.

[131]
Bhasin M. J. Catal., 1978, 54: 120.

[132]
Liu W, Wang S, Sun T, Wang S. Catal. Lett., 2015, 145: 1741.

[133]
Mo X, Gao J, Jmnajkaseam N, GoodwinJ G. J. Catal., 2009, 267: 167.

[134]
Nonneman L E Y, Bastein A G T M, Ponec V, Burch R. Appl. Catal., 1990, 62: L23.

[135]
Burch R, Petch M I. Appl. Catal. A, 1992, 88: 61.

[136]
Choi Y, Liu P. J. Am. Chem. Soc., 2009, 131: 13054.

[137]
Chuang S C, Goodwin J G, Wender I. J. Catal., 1985, 95: 435.

[138]
Egbebi A, Schwartz V, Overbury S H, Spivey J J. Catal. Today, 2010, 149: 91.

[139]
Du Y H, Chen D A, Tsai K R. Appl. Catal., 1987, 35: 77.

[140]
Jiang D, Ding Y, Pan Z, Chen W, Luo H. Catal. Lett., 2008, 121: 241.

[141]
Yu J, Mao D, Han L, Guo Q, Lu G. Fuel Process. Technol., 2013, 106: 344.

[142]
Yu J, Mao D, Han L, Guo Q, Lu G. J. Mol. Catal. A Chem., 2013, 367: 38.

[143]
Han L, Mao D, Yu J, Guo Q, Lu G. Catal. Commun., 2012, 23: 20.

[144]
Han L, Mao D, Yu J, Guo Q, Lu G. Appl. Catal. A, 2013, 454: 81.

[145]
Chai S H, Howe J Y, Wang X Q, Kidder M, Schwartz V, Golden M L, Overbury S H, Dai S, Jiang D. Carbon, 2012, 50: 1574.

[146]
Arakawa H, Takeuchi K, Matsuzaki T, Sugi Y. Chem. Lett., 1984, 1607.

[147]
Fan Z, Chen W, Pan X, Bao X. Catal. Today, 2009, 147: 86.

[148]
Ichikawa M, Shikakura K, Kawai M.Proceedings of Symposium, Dalian, China, 1982.

[149]
Tauster S J, Fung S C. J. Catal., 1978, 55: 29.

[150]
Kip B J, Smeets P A T, Van Grondelle J, Prins R. Appl. Catal., 1987, 33: 181.

[151]
Subramanian N D, Gao J, Mo X H, Goodwin J G, Torres W, Spivey J J. J. Catal., 2010, 272: 204.

[152]
Liu J, Tao R, Guo Z, Regalbuto J R, Marshall C L, Klie R F, Miller J T, Meyer R J. ChemCatChem, 2013, 5: 3665.

[153]
Wang J, Zhang Q, Wang Y. Catal. Today, 2011, 171: 257.

[154]
Yang N, Yoo J S, Schumann J, Bothra P, Singh J A, Valle E, Abild-Pedersen F, Nørskov J K, Bent S F. ACS Catal., 2017, 7: 5746.

[155]
Huang Y, Deng W, Guo E, Chung P W, Chen S, Trewyn B G, Brown R C, Lin V S Y. ChemCatChem., 2012, 4: 674.

[156]
Pan X, Fan Z, Chen W, Ding Y, Luo H, Bao X. Nat. Mater., 2007, 6: 507.

[157]
Wang C, Zhang J, Qin G, Wang L, Zuidema E, Yang Q, Dang S, Yang C, Xiao J, Meng X, Mesters C, Xiao F S. Chem, 2020, 6: 646.

Outlines

/