Home Journals Progress in Chemistry
Progress in Chemistry

Abbreviation (ISO4): Prog Chem      Editor in chief: Jincai ZHAO

About  /  Aim & scope  /  Editorial board  /  Indexed  /  Contact  / 
Review

The Origin of Biomolecular Homochirality

  • Jingjing Wu 1 ,
  • Meng Su , 2, *
Expand
  • 1 College of Animal Science and Technology, Southwest University, Chongqing 402460, China
  • 2 MRC Laboratory of Molecular Biology, Cambridge CB2 0QH, UK

Received date: 2024-08-19

  Revised date: 2024-10-30

  Online published: 2025-06-15

Abstract

The origin of homochirality in biomolecules is a pivotal issue in the origin of life field. It is central to our comprehension of the nature of life itself. Homochirality, a term describing the occurrence of molecules in specific chiral forms in three-dimensional space, is fundamental to biological activity. This concept is essential because the chirality of molecules impacts how they interact with one another and how they function within biological systems. Understanding the origin of homochirality not only illuminates the process of symmetry breaking in nature but also has significant implications for various areas within the life sciences.Recent years have witnessed extensive and profound developments in the field of the origin of homochirality. These studies have employed a combination of theoretical deduction, computational simulations, and experimental observations to explore this topic. This review provides a comprehensive review of current knowledge regarding the origin of biomolecular homochirality by examining three key aspects: the emergence of molecular chirality, the amplification, and the propagation of homochirality.Firstly, the emergence of homochirality in biological molecules is a crucial focus. Researchers investigate how and why certain chiral forms become predominant in nature. Secondly, the amplification of homochirality explores how initially minor chiral bias can be amplified to achieve a predominance of one chiral form over another. Finally, the propagation of homochirality involves studying how chiral properties flow through biological molecules and systems and are inherited through generations.By delving into these aspects, this review offers fresh perspectives and insights into the complex issue of homochirality. These insights will not only deepen our understanding of the intricate processes involved in the Origins of Life but also drive advancements in practical applications such as the development of chiral drugs, the design of chiral catalysts, and the synthesis of artificial lives.

Contents

1 Introduction

2 Hypothesis of the origin of molecular chirality

2.1 Chiral molecules and characterization

2.2 Hypotheses of biotic and abiotic origin

3 Emergence of chirality

3.1 Extraterrestrial chiral molecules

3.2 Circularly polarized light leads to deracemization

3.3 β decay leads to deracemization

3.4 Parity Violating Energy Difference

3.5 Deracemization via crystallization

3.6 Deracemization via evaporation

3.7 Attrition-Enhanced Deracemization

3.8 Chiral-Induced Spin Selectivity

4 Amplification of homochirality

4.1 Asymmetric autocatalytic reactions

4.2 Formation of homochiral peptides

4.3 Formation of homochiral oligonucleotides

5 Propagation of homochirality

5.1 Chirality information

5.2 Chirality propagation from amino acids to nucleotides

5.3 Chirality propagation from nucleotides and lipids to amino acids

6 Conclusion and perspective

Cite this article

Jingjing Wu , Meng Su . The Origin of Biomolecular Homochirality[J]. Progress in Chemistry, 2025 , 37(6) : 843 -857 . DOI: 10.7536/PC240806

1 Introduction

Some views suggest that life originated through chemical reactions under the geophysical conditions of about 4 billion years ago and has continued to evolve ever since. However, we have not yet been able to reproduce the process of life's origin in laboratories, nor have we discovered life on other celestial bodies. Therefore, the chemical origin of life remains an unsolved mystery and a very important scientific question. All present-day living organisms are composed of molecules with a single chirality; proteins are made up of L-amino acids, and nucleic acids consist of D-nucleosides. The origin of the single chirality of biomolecules has long attracted academic attention, with various theories continuously emerging, yet a consensus is far from being reached.
Studying the origin of homochirality in biomolecules is crucial for understanding the origin of life. This not only allows us to better comprehend the process of life's emergence but also assists in designing chiral catalysts, developing chiral pharmaceuticals, and providing insights for research on artificial synthesis of living organisms. This paper will summarize current research on the origin, amplification, and transmission of biomolecular homochirality and offer discussions and perspectives based on these findings. At the microscopic scale, the clockwise or counterclockwise helical arrangements of microfilaments and microtubules forming the cytoskeleton generate cellular chirality[1-3]; individual cells influence asymmetric development of tissues or organs[4-5], such as the counterclockwise spiral of nautilus shells and the clockwise coiling growth of cucumber vines, which fall outside the scope of this discussion.

2 Molecular Chirality and Hypotheses on Its Origin

Chirality is used in modern chemistry to describe the stereochemical characteristics of molecules. A carbon atom connected to four different atoms or groups is referred to as a chiral carbon, and the resulting molecule is called a chiral molecule. A molecule containing a single chiral carbon has two structures that are mirror images of each other—L- or D-configurations—known as enantiomers. Life on Earth is carbon-based, and carbon atoms can form four valence bonds, which serves as the structural basis for chirality in biomolecules. Additionally, chiral nitrogen, silicon, and phosphorus compounds also exist; however, these chiral compounds are generally not involved in discussions regarding the chemical origins of life.

2.1 Chiral Molecules and Their Characterization

In 1848, French scientist Louis Pasteur observed two mirror-image crystals precipitating from a racemic saturated solution of sodium ammonium tartrate and separated them using tweezers under a microscope[6], marking the first reported chiral molecule resolution. The process in which one enantiomer is separated or enriched from a racemic mixture is called symmetry breaking, where L- and D-enantiomers are unequal in concentration or quantity, resulting in enantiomeric excess (ee). A higher ee value of a specific enantiomer indicates a greater proportion of that enantiomer. More than 100 years ago, Pasteur examined crystal morphology using a microscope. Today, we have more advanced instruments to characterize the chirality of naturally occurring or synthetically produced organic molecules, with commonly used techniques including circular dichroism and chiral chromatography.
Optically, light with a regular variation of the light vector is called polarized light, and specifically, polarized light with a circular vibration trajectory is referred to as circularly polarized light. Circular dichroism (CD) characterizes molecular chirality based on the differential absorption of left- and right-handed circularly polarized light passing through a sample, and its absorption spectrum arises from electronic energy level transitions in the molecule. The wavelength of circularly polarized light typically ranges from 100 to 400 nm, and it is commonly used for small molecules such as carbohydrates and alkaloids, as well as biomacromolecules like nucleic acids and proteins. CD can provide information regarding chiral configuration, nucleic acid conformation, and secondary and tertiary structures of proteins. This method is non-destructive to the sample, highly sensitive, widely applicable, and capable of providing higher-order structural information. However, it requires relatively large sample quantities and is limited in its application to molecules without strong UV-visible absorption. CD can also be combined with infrared spectroscopy, resulting in vibrational circular dichroism (VCD), which studies the stereochemistry of organic compounds in the mid-infrared region (i.e., 4000–850 cm-1, 2.5–12 μm), with absorption spectra arising from vibrational-rotational energy level transitions of the molecule. Compared to conventional CD, VCD does not require ultraviolet absorption by the sample, has narrower spectral peaks, richer signals, and is suitable for samples such as simple amino acids, carbohydrates, and metabolic intermediates.
Chiral gas and liquid chromatography separate and identify samples based on the differences in the rates at which substances pass through the chromatographic column. Chiral gas chromatography is used for separating volatile substances, while chiral liquid chromatography is suitable for non-volatile polar compounds, peptides, and other large biomolecules. Chromatography-mass spectrometry coupling can detect and separate the relative molecular masses and fragment masses of different components, thereby inferring molecular structures. The application of chiral chromatography-mass spectrometry coupling is very broad; however, some samples require derivatization prior to detection, which involves chemically converting the target substances to alter their volatility, enhance stability, or provide fluorescent or light-absorbing properties, thus facilitating separation and analysis.
Chiral compounds can be analyzed by mass spectrometry alone, without chromatographic separation. Recently, Ou Yang Zheng et al.[7] reported a chiral mass spectrometry method capable of distinguishing the rotational directions of enantiomer ions. This method utilizes alternating current to excite ions, inducing different rotational trajectories of enantiomers in a magnetic field before detecting their relative molecular masses. This is the first instance of chiral molecules being separated and identified using mass spectrometry alone.
In addition to the aforementioned methods for separating and analyzing chiral molecules, there are also methods such as nuclear magnetic resonance and X-ray crystal diffraction.

2.2 The Origin of Life and Abiotic Origin Hypotheses

There are two main hypotheses regarding the origin of biomolecular chirality: the biotic hypothesis and the abiotic hypothesis. The biotic hypothesis suggests that life is a necessary condition for the production of chiral molecules with enantiomeric excess; the abiotic hypothesis posits that, in the absence of life, physical or chemical processes alone can generate chiral molecules with an excess of one enantiomer.
In 1894, Pierre Curie proposed the Curie principle, which states that "symmetric causes lead to symmetric effects, and asymmetric causes lead to asymmetric effects"[8]. The Curie principle is not based on experimentation or knowledge; it is an a priori statement. It does not directly prove or disprove any of the aforementioned hypotheses by itself, but rather serves as a theoretical foundation for explaining the relationship between symmetry and asymmetry. In specific studies on the origin of chirality, researchers often use the Curie principle to support their theoretical models and experimental results.
The representative proponent of the hypothesis on the origin of life is Pasteur. Pasteur cultivated a type of blue-green mold in a racemic tartaric acid solution and found that they metabolized only the dextrorotatory tartaric acid, leaving the levorotatory tartaric acid behind[9]. Based on this, Pasteur concluded that life is a necessary condition for symmetry breaking, and that optically active compounds could not be produced without life. In 1987, Bada and Miller, after reviewing previous work, suggested that the origin of single-chirality molecules occurred later than the origin of life; compounds in the earliest life forms were pre-chiral rather than chiral[10]. These conclusions relied on the experimental techniques and observational methods available at that time, thus having significant limitations.
In contrast, the hypothesis of non-biological origin suggests that homochiral biomolecules existed before the emergence of life. The debate between these two hypotheses continued into the 1990s. In the past two decades, with the gradual refinement of physical theories and continuous improvements in instrumental analytical techniques, research into the origin of biomolecular homochirality has deepened. Increasing evidence indicates that life is not a necessary condition for the generation of homochiral molecules; rather, homochiral molecules could have originated from the physical environment of the early Earth, predating the emergence of life on Earth.

3 Emergence of Chiral Molecules

3.1 Chiral Molecules from Extraterrestrial Bodies

The "extraterrestrial origin hypothesis" suggests that during the early formation of Earth, when celestial bodies such as comets, asteroids, and meteorites impacted the planet, the solid fragments falling onto the Earth's surface might have brought extraterrestrial organic compounds to Earth. In this way, meteorites from outer space have become important research subjects in academia. The Murchison meteorite, discovered in 1969 near Murchison, Australia, is one of the most extensively studied meteorites[11], in which organic compounds essential for life on Earth have been found, including amino acids, aliphatic hydrocarbons, alcohols, ribose, purines, and pyrimidine bases[12-15]. Some amino acids in the meteorite, such as alanine and glutamic acid, exhibit an excess of L-enantiomers[16-19]. Nitrogen isotope analyses[16,20] indicate that the enantiomer excess of amino acids originates from the meteorite itself rather than terrestrial contamination[21]. Chiral analysis of non-protein amino acids (such as α-methylisoleucine) also confirms the phenomenon of enantiomer excess[22].
The Murchison meteorite is about 7 billion years old.[23] Such carbonaceous chondrite meteorites reflect the material composition of their parent asteroids, indicating that organic molecules of life can form in extraterrestrial bodies, and the excess enantiomers can be spread to Earth's surface via celestial impacts. However, these chiral compounds have relatively low ee values, requiring other mechanisms to amplify chirality. At the same time, not all studied meteorites carry organic molecules with enantiomer excess; for example, the amino acids in samples from the near-Earth asteroid "Ryugu" are nearly racemic. It should also be noted that different post-processing methods can yield varying ee values.[24]
In addition to the "extraterrestrial origin hypothesis," current academic research mainly focuses on generating initial enantiomeric excess organic small molecules through various physical methods, such as circularly polarized light, bremsstrahlung, parity violation energy differences, crystallization evaporation, and abrasion.

3.2 Circularly Polarized Light Induces Depolarization

As described in 2.1, different chiral molecules absorb left- and right-handed circularly polarized light with different intensities, leading to the occurrence of asymmetric reactions. In 1930, Kuhn et al.[25-26] discovered the enantioselective photodegradation of ethyl-α-bromopropionate and N,N-dimethyl-α-azidopropionamide (Figure 1a), which was the first report on circularly polarized light catalyzed reactions in chemical history. In 1971, Kagan et al.[27] conducted the hexahelicene photocyclization reaction in the presence of iodine and for the first time used circularly polarized light for asymmetric photo-synthesis (Figure 1b).
图1 (a) 圆偏振光选择性降解某一对映体[25-26];(b) 首例不对称光合成反应[27];(c) 圆偏振光选择性降解消旋亮氨酸[28]l-/r-CPL,左/右旋圆偏振光

Fig.1 (a) Selective degradation of one enantiomer by circularly polarized light[25-26]; (b) first asymmetric photosynthesis reaction; (c) selective degradation of racemic leucine by circularly polarized light[27]. l-/r-CPL, left-/right-handed circularly polarized light[28]

After discovering that circularly polarized light can induce asymmetric photochemical reactions in chiral molecules, scientists attempted to link this phenomenon to the origin of homochirality in biomolecules. In 2005, Meierhenrich and colleagues[28] irradiated racemic leucine solids with right-handed circularly polarized light, obtaining D-leucine with an ee value of 2.6% (Figure 1c); irradiation of racemic alanine yielded D-alanine with an ee value of 4.2%[29], where the enantiomeric enrichment depended on the direction and energy of the circularly polarized light[30]. These experiments demonstrated that circularly polarized light can selectively catalyze the decomposition of one enantiomer in racemic amino acids. By extrapolating the observed phenomena, the authors proposed that circularly polarized light, which is prevalent in interstellar environments, could induce enantiomeric enrichment of amino acids in solid states, potentially serving as the basis for the emergence of homochiral amino acids on Earth.

3.3 β-decay Induced Demagnetization

Beta decay is a process in which a nucleus emits an electron and a neutrino and transforms into another nucleus. In β⁻ decay, a neutron converts into a proton while releasing an electron (β⁻) and an antineutrino (v); in β⁺ decay, a proton converts into a neutron while emitting a positron (β⁺) and a neutrino (v). Currently, all detected electrons and neutrinos are left-handed, whereas positrons and antineutrinos are right-handed. In 1959, German biochemists Frederic Vester and Thomas Ulbricht proposed the Vester-Ulbricht model[31-33]. This model suggests that the bremsstrahlung radiation produced when high-speed electrons from beta decay suddenly decelerate upon entering a material can lead to asymmetric reactions in substrate molecules, thus generating chiral products with enantiomeric excess. Since the 1960s, this hypothesis has attracted widespread attention: Garay[34] observed that electrons from strontium-90 decay caused faster decomposition of D-tyrosine in alkaline solution, resulting in enrichment of L-tyrosine; Bonner[35] detected an excess of L-leucine after irradiating racemic leucine with longitudinally polarized electrons and an excess of D-leucine after irradiation with positrons. The chirality of the substrate amino acid might be related to the enriched handedness after irradiation. When racemic tryptophan was irradiated with electrons produced from phosphorus-32 decay, 19% enrichment of D-tryptophan was observed[36]. However, none of these results have been reliably reproduced[37-40].
In 1993, Wang Wenqing et al.[41] found that the asymmetric decomposition effect of beta-minus particles on amino acids could only be observed when the system was far from equilibrium during the initial low-temperature stage. Wang Jianying and Luo Liaofu studied the inelastic collisions of beta-minus particles with chiral molecules and calculated the relative difference in collision cross-sections between enantiomers to be on the order of 10-6, demonstrating that the interaction between polarized electrons and chiral molecules depends not only on the polarization direction and degree of the incident electrons, but also on the optical activity of the enantiomers. That is, when the optical activity of the L-enantiomer is greater than zero, polarized electrons preferentially decompose the D-enantiomer, whereas they preferentially decompose the L-enantiomer otherwise[42-43].

3.4 Parity Violation Energy Difference Correlates with Molecular Chirality

Parity violation refers to certain physical processes that are not conserved under spatial inversion transformations, commonly occurring in weak interactions. In 1966, Yamagata[44] proposed that weak interactions could cause minute energy differences between enantiomers. The calculated energy difference levels ranged from 10-12 to 10-15 J/mol, known as parity violating energy differences (PVED). Yamagata suggested that PVED could be one of the reasons responsible for the enantiomeric excess of biomolecules. This energy difference indicates that enantiomers of chiral molecules are not equivalent under fundamental physical interactions, thereby influencing molecular physicochemical properties and reaction kinetics, with one enantiomer being more stable or more likely to participate in chemical reactions. This theory provides an explanation for the generation of chiral molecules with enantiomeric excess in prebiotic environments. However, the energy differences caused by PVED are extremely small and difficult to measure directly in experiments. Currently, mathematical models are primarily used to calculate molecular PVED values and simulate the resulting chemical effects.
Tranter[45] calculated the energy differences between L- and D- peptides of alanine, valine, serine, aspartic acid, and those with alpha-helical and beta-sheet structures using ab initio algorithms, demonstrating that the energies of the L-enantiomers were consistently lower than those of the D-enantiomers, a distinction favoring the existence of natural L-enantiomers. Recently, Aucar et al.[46] discovered that the electronic chirality measure (ECM), a chiral metric based on electronic structure, exhibits an exponential relationship with the PVED (parity-violating energy difference) between enantiomers; that is, the higher the molecular chirality, the greater the energy difference caused by weak interactions. The authors further suggested that PVED could be one of the origins of chirality in biomolecules. However, in the early stages of life's emergence, the chiral molecules forming the basis of life would not have possessed highly complex structures, resulting in minimal PVED values. The resulting chemical effects from such small energy differences remain questionable, as the subtle differences might be overshadowed by environmental influences.

3.5 Crystallization-induced deracemization

Crystallization is the process in which a solute precipitates in the form of crystals when the solubility decreases upon cooling a hot saturated solution, resulting in a supersaturated solution. In the "Darwin's little pond" model[47], other organic molecules, such as amino acids, may form single-chirality crystals through crystallization, thereby becoming enriched. Among the 20 natural amino acids, asparagine, aspartic acid, glutamic acid, and threonine can form aggregates (conglomerates), which are single-chirality crystals[48-50].
In addition to crystallization-induced deracemization, amino acids can also undergo deracemization through co-crystallization with other compounds or inorganic ions. For example, during crystallization of glycine with racemic leucine at the air–water interface, glycine crystals expose the same face to the aqueous solution, allowing one enantiomer of the racemic amino acid to crystallize on the glycine surface while the other remains in solution[51-52], thereby enriching a specific enantiomer in the solution. Amino acids can also form ionic co-crystals with lithium halides or zinc chloride, leading to enrichment of a particular chiral configuration among the enantiomers[53-56]. Co-crystallization can enrich various amino acids; however, we cannot assert that the required co-crystallizing substances and prebiotic amino acids or their precursors simultaneously and abundantly coexisted on the early Earth.
Crystallization can also yield optically pure RNA nucleoside precursors. For example, in the reaction forming ribo-aminooxazoline (RAO), if the product's ee value exceeds 60%, it can crystallize into an optically pure form[57]. The Blackmond group[58] found that even a RAO solution with an ee value of 20% could form optically pure crystals. The solubility of the three D-nucleosides, excluding guanosine, is higher than that of their L-enantiomers in aqueous solution. Recrystallization can amplify the initial ee value in solution, while guanosine tends to crystallize into aggregates[59].

3.6 Evaporation-induced Desymmetrization

Most racemic amino acids have lower solubility in water than one of their enantiomers[60], and enantiomeric enrichment of amino acids in solution can occur through dissolution[61]. Based on amino acid solubility data, Morowitz[62] developed a mathematical model describing the behavior of racemic amino acids in solution: by adding different proportions of L-amino acids into saturated solutions of racemic phenylalanine and leucine, the concentration of L-isomers increased relative to D-isomers as the solvent evaporated. Evaporating an L-proline solution with an ee value of 1% yielded an L-proline solution with an ee value of 97% to 99%. Crystal structure analysis revealed that L-proline molecules form a two-dimensional sheet structure via hydrogen bonding, whereas racemic proline forms a ladder-like structure through hydrogen bonding, and this structural difference leads to selective precipitation during the dissolution process[63]. However, evaporation only exhibits deracemization effects in solutions of specific amino acids. Whether evaporation of solutions containing other amino acids and nucleic acid monomers can generate enantiomeric excess remains to be explored.

3.7 Wear-Enhanced Desymmetrization

Attrition-enhanced deracemization (AED) is a method that induces enantiomeric excess in racemic materials by stirring solutions or solids. Obviously, during the prebiotic era on Earth, physical friction on the Earth's surface was mainly caused by tidal phenomena due to the gravitational interaction between Earth and its own satellite, which may have been one of the reasons for the enantiomeric excess of biomolecules.
In 1990, Kondepudi et al.[64] repeated previous experiments[65] and found that stirring aqueous solutions of sodium chlorate could yield sodium chlorate crystals with L- or D- configurations and an ee value of up to 99.7%. Subsequently, stirring was also applied to the crystallization of single enantiomeric amino acids. Optically pure aspartic acid crystals can be obtained by stirring solid-liquid mixtures of aspartic acid[66]. When steel balls coated with zinc oxide were stirred together with racemic crystals of valine, leucine, and isoleucine, aggregates were formed, suggesting that zinc oxide can promote and stabilize amino acid aggregation[67]. Stirring the prechiral reaction mixtures of maleic acid and pyridine in acetic acid yielded N-succinic acid pyridine crystals with an ee value of 99%[68]. These examples demonstrate that mechanical stirring and friction can induce deracemization of organic molecules, indicating that this effect is general and reproducible. For broader substrates, the effect of wear-induced deracemization warrants further investigation.
In-depth studies have been conducted on the mechanism of AED. Kondepudi suggested that stirring leads to rapid secondary nucleation of crystals, reducing the solution concentration to a level insufficient for the formation of primary nuclei. Moreover, the chirality of the secondary nuclei matches that of the original nuclei. Combined with the inhibitory effect of enantiomers, this ultimately results in the precipitation of crystals with a single chirality[64,69]. However, Viedma[70-71] challenged the above theory and proposed a "nonlinear autocatalysis" model, whereby crystals in the solution undergo continuous dissolution and crystallization during stirring. Secondary nucleation caused by stirring continuously increases the effective surface area of the crystal phase. According to the Gibbs-Thompson effect, smaller fragments or clusters have higher solubility than larger crystals[72]. During the repeated dissolution-crystallization process, smaller crystals dissolve while larger ones continue to grow, ultimately yielding optically pure crystals. Iggland and Mazzotti[73] developed a mathematical "population balance" model, and the Blackmond group[74] validated based on this model that crystal aggregation in AED is not essential for the formation of crystals with a single chirality.

3.8 CISS Induces Deracemization

In 1999, Naaman's team at the Weizmann Institute of Science in Israel measured the asymmetric scattering of electron transport in Langmuir-Blodgett films made of L- and D-stearoyl lysine [75] and found that the quantum yield of photoelectrons depended not only on polarized light but also on molecular chirality. They also discovered that the transmission electrons of double-stranded DNA on a gold surface exhibited 60% spin polarization [76], indicating that the chirality of DNA macromolecules influenced electron spin. Naaman et al. [77] termed this phenomenon chiral-induced spin selectivity (CISS) (Fig. 2a), whereby molecular structure affects the selectivity of electron spin states. When chiral molecules interact with electrons, their stereoconfiguration influences the electron spin state through interaction with the electron orbitals. Chiral molecules can act as selective spin filters, selectively blocking or facilitating electrons in specific spin states. Correspondingly, when a magnetic material surface has electrons with a certain polarization direction, specific chiral molecules can accumulate.
图2 (a) CISS选择性富集核糖氨基噁唑啉的微观示意图[82];(b) 核糖氨基噁唑啉在磁体表面重复结晶过程的示意图[82]

Fig.2 (a) Selective enrichment of riboaminoxazoline by CISS[82]; (b) repeated crystallization process of riboaminoxazoline on magnet surface[82]

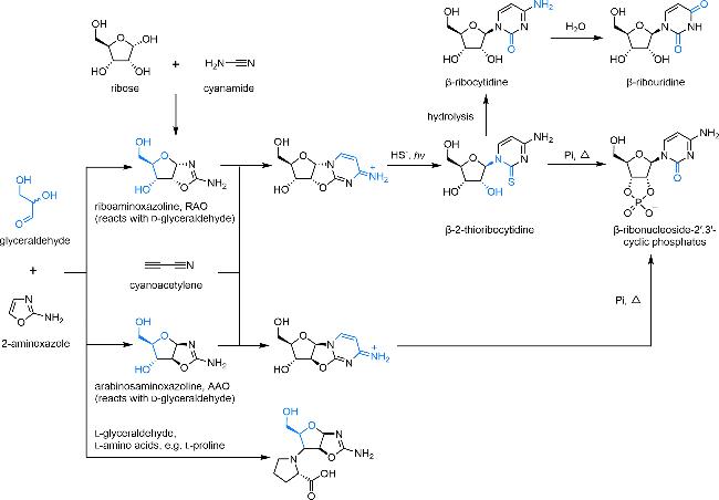
In the "Darwin's little pond" of early Earth, sediments may have been magnetic due to the presence of iron oxides (FexOy·H2O). Early studies suggested that after pond water evaporated, solar ultraviolet light irradiated the magnetic sediments, inducing spin-polarized photoelectrons that initiated enantioselective reduction reactions, resulting in chiral molecule enantiomer excess on the magnetic surfaces.[78-79] Ozturk et al.[82-83] proposed a scenario: after evaporation of shallow magnetic lakes, RNA precursor RAO crystallized on magnetic surfaces, with magnetic sediments inducing excess of one enantiomer, favoring D-RAO over L-RAO. Water flow caused RAO crystals to dissolve again, and during subsequent drying phases, RAO recrystallized on the surfaces, producing D-RAO crystals with higher ee values. After multiple cycles, D-RAO became enriched, its crystals covering larger areas of the pond bottom, thereby increasing surface magnetism in these regions and forming a positive feedback loop, ultimately yielding optically pure D-RAO crystals (Fig. 2b).
Researchers placed a synthesized magnetite film (Fe3O4) on a permanent magnet, allowing the surface electrons of the magnetite film to become spin-polarized, enabling the racemic RAO solution to crystallize on its surface. When the electron spin was downward, the ee value of L-RAO crystallization was approximately 60%; reversing the magnetic field direction yielded the opposite result. Starting crystallization of RAO with an ee value of 25% could produce crystals of a single chirality[82]. Additionally, optically pure RAO crystals can enhance the magnetic properties of the magnetite surface, thereby creating a positive feedback loop between magnetism and enantioselectivity[84]. Magnetic minerals in nature are typically weakly magnetized; this positive feedback can amplify the ee value of surface crystallization induced by the CISS effect. RAO can generate pyrimidine and purine ribonucleosides through a series of reactions[85], leading to nucleotides with defined chirality.
Undoubtedly, the CISS effect is by far the most convincing explanation for the chiral origin of nucleotides. It inherits the idea that crystallization and evaporation lead to the deracemization of simple organic small molecules, producing a notable chiral bias under the influence of natural magnetic fields, and can be easily placed within the geographical context of prebiotic Earth. However, the deracemizing effect of the CISS on simple amino acids and simple organic metabolites remains to be explored. Certainly, we cannot exclude the role of tidal friction phenomena in the homochiral origin of biological small molecules, nor can we rule out the possibility that the homochirality of certain life-related small molecules was not generated through physical effects, but rather determined and transmitted by the chirality of other life molecules.

4 Amplification of Single Handedness

4.1 Asymmetric autocatalytic reaction

Asymmetric catalysis achieves asymmetric synthesis through the use of chiral catalysts. If the resulting product can further catalyze the reaction, it is referred to as an autocatalytic reaction. In 1953, Frank[86] proposed an autocatalytic model to explain the amplification of chirality and the generation of homochirality. In this model, an enantiomeric monomer catalyzes its own production while inhibiting the formation of the other enantiomer, thereby amplifying the initial chiral bias through cycles until homochirality is achieved.
In the following 40 years, people continuously searched for examples of self-catalytic models. In 1995, Soai and colleagues[87] reported the first example of an asymmetric self-catalytic reaction, known as the "Soai reaction" (Figure 3). In this reaction, pyrimidine-5-carbaldehyde 1 and diisopropylzinc react via intermediate 2, catalyzed by low enantiomeric purity pyrimidyl alcohol 3, to produce high enantiomeric purity 3. The pyrimidyl alcohol 3 then catalyzes the same reaction. Even when the initial ee value of (S)-pyrimidyl alcohol is less than 5%, the ee value of the resulting (S)-pyrimidyl alcohol can reach as high as 88%. When using highly enantiomerically pure 2-methyl-1-(5-pyrimidyl)-1-propanol (3a) as the catalyst, the ee value of the generated (S)-3a can reach 93%; when optically pure 2-methyl-1-(2-methyl-5-pyrimidyl)-1-propanol (3b) is used as the catalyst, the ee value of the newly formed (S)-3b reaches 98%[88]. Minor chiral biases in the pyrimidyl alcohol induced by circularly polarized light[89], quartz[90], or isotopes[91] can also be amplified through this reaction. NMR spectroscopy revealed the formation of an intermediate transition state that is stable at -20 °C, providing new insights into understanding and controlling the Soai reaction[92].
图3 典型的硤合反应[87]。嘧啶-5-甲醛1和二异丙基锌在低光学纯度嘧啶醇3的催化下经中间体2生成高光学纯度的3,嘧啶醇3再作为此反应的催化剂

Fig.3 A typical Soai reaction[87]. Pyrimidine-5-carbaldehyde 1 and diisopropylzinc react to form the intermediate 2, which is catalyzed by low optical purity pyrimidine alcohol 3. This process produces high optical purity 3, and the pyrimidine alcohol 3 then serves as the catalyst for this reaction

Blackmond et al.[93] investigated the mechanism of the coupling reaction and proposed a stochastic dimer model, suggesting that the reaction system tends to randomly form product dimers, namely SS:RR:SR = 1:1:2, where the heterochiral dimer SR is inactive, and the homochiral dimers can catalyze product formation. In the absence of a chiral catalyst, the chirality of the coupling reaction products is randomly distributed. The minimum enantiomeric excess (ee) value of a chiral catalyst required to escape random behavior was determined to be 3.5×10-7 to 3.5×10-8, leading to an estimated symmetry-breaking energy requirement of 1.5×10-7 to 1.5×10-8 kJ/mol[94], which is 5 to 7 orders of magnitude higher than the estimated PVED values[95-99]. Based on this, they concluded that the experimentally observed chiral selectivity and amplification are achieved through kinetic control in the autocatalytic reaction, rather than being directly driven by PVED.
The Soai reaction can effectively amplify chirality and is the only known class of chiral self-catalytic reactions. However, its substrate scope is narrow, and the compounds involved in the reaction are difficult to connect with molecules essential for life construction. This also suggests that the homochirality of biomolecules may not be based on several isolated asymmetric (self-)catalytic reactions of small molecules, but rather on chiral catalytic reactions at the oligomer level, and on a network of chemical reaction systems.

4.2 Formation of Single Chiral Peptides

Amino acids and their derivatives can amplify chirality through polymerization reactions. Using thiol compounds 4 or 5 to catalyze the formation of dipeptides from amino nitriles and amino acids (see Figure 4a), the formation rate of heterochiral dipeptides is higher than that of homochiral dipeptides, and the former have lower solubility, thus enabling the enrichment of homochiral dipeptides in solution[100]. When optically pure amino acid esters, dipeptides, and tripeptides are coupled with racemic alanine or aspartic acid amino esters, they tend to form peptides with a single chirality[101]. The sublimation process can also promote amino acid polymerization; during sublimation of non-racemic solid serine, serine monomers in the gas phase tend to form octamers with a single chirality, with an ee value reaching up to 90%[102].
图4 (a) 使用N-乙酰半胱氨酸4N-(2-巯基乙基)乙酰胺5催化形成单一手性二肽[100];(b) 使用消旋的缬氨酸或亮氨酸的N-羧基环内酸酐形成单一手性反平行β折叠[105]

Fig. 4 (a) Formation of homochiral dipeptide catalyzed by N-acetylcysteine 4 or N-(2-mercaptoethyl) acetamido 5[100]; (b) formation of homochiral antiparallel β sheet using racemic valine or leucine N-carboxylic acid anhydride[105]

In addition to direct coupling polymerization, amino acid coupling can also be mediated by other material surfaces or templates, such as mineral surfaces. In the presence of racemic α-quartz, the quartz surface selectively adsorbs peptides of a single chirality, enhancing the stereoselectivity during the polymerization of leucine[103]. The N-carboxyanhydride (NCA) of racemic valine or leucine can generate oligopeptides of a single chirality in aqueous solution (Figure 4b), where S- and R-chiral peptides self-assemble into racemic antiparallel β-sheets that act as templates for extending peptides of a single chirality[104-105]. Furthermore, helical conformations in peptides enhance stereoselectivity during polymerization by favoring helical growth[106-107]. Using a homochiral peptide containing 32 residues as a template and 16-residue homochiral D- and L-peptide segments as substrates, molecular recognition driven by hydrophobic interactions results in faster matching rates between the template and substrates of the same chirality compared with peptides of different chirality. This preference facilitates the ligation of peptides with the same chirality, and the resulting homochiral peptides can act as catalysts to accelerate their own production[108].
The polymerization of amino acids into single-handed peptides via physical, chemical changes, or a combination of both can be considered as an amplification of amino acid chirality. The diversity of amplification methods allows chirality amplification to transcend the limitations of specific early Earth geographical scenarios. However, polymerization reactions typically involve a limited variety of amino acids, result in short peptide products, and may produce heterochiral compounds. Further research is needed on product selection, utilization, degradation, and recycling of by-products. In polymer science, monomers can undergo stereoregular or non-stereoselective polymerization along the backbone[109-110]. In prebiotic environments, polymerization reactions may incorporate heterochiral molecules to form heterochiral polymers. The aforementioned methods of expanding biomolecular chirality through the formation of higher-order structures during polymerization can generate segments with single-handed chirality within heterochiral polymers, and these segments can act as templates for chiral amplification.
Computer simulation studies indicate that an increase in the variety of chiral molecule types leads to a transition of the non-equilibrium reaction network toward a single chiral state, and this transition is stable and reproducible[111]. We anticipate applying this theoretical model to real reaction systems to verify the universality of this approach, demonstrating that the method is applicable not only to specific amino acids but also to nucleic acids, phospholipids, and their mixed systems.

4.3 Formation of Single-Stranded Oligonucleic Acids

Nucleotides can amplify their chirality during the polymerization process. Bolli et al.[112] designed a series of semi-complementary pyranosyl (Pyranosyl, pr-RNA) tetramers, such as pr(ATCG)-2',3'-cyclic phosphate (Figure 5), in a system containing both homochiral and heterochiral tetramers, homochiral oligomers were generated through base-pairing interactions. Computational simulation studies also reached similar conclusions; based on the rapid and exothermic nature of double-stranded RNA formation, during wet-dry cycles, racemic RNA monomers can be converted into homochiral double-stranded structures.[113]
图5 单一手性吡喃糖核酸依据模板的聚合反应示意图[112]

Fig. 5 Schematic representation of termplated oligomerization of homochiral pyranosyl nucleotides[112]

Clay is a general term for a type of soil composed of mineral particles with a particle size smaller than 2 µm, and it possesses good plasticity and water absorption capacity, which can mediate nucleotide polymerization. Polymerization reactions of racemic adenosine and uridine mixtures on clay surfaces demonstrate that as the polymer length increases, the stereoselectivity of single-chirality oligomers also enhances; for instance, the proportion of single-chirality products in the pentamer reaches 97%[114]. Computational simulation studies have also confirmed this conclusion[115].
RNA ribozymes can also generate single-enantiomer oligonucleotides. In reactions where D-ribozymes catalyze nucleotide polymerization, regardless of whether the substrates are racemic or L-enantiomerically pure nucleosides, L-oligonucleotides are produced with comparable yields, and no D-RNA products are detected. This indicates that the ribozyme can catalyze the enantioselective polymerization of nucleotides[116]. More importantly, the L-hammerhead ribozyme synthesized by D-ribozyme catalysis is also active and capable of hydrolyzing L-RNA substrates. This study demonstrates that both L- and D-enantiomerically pure ribozymes can evolve independently and also influence each other.
In conclusion, whether it is peptides or oligonucleotides, the accumulation and aggregation of homochiral monomers occur during their polymerization. This chirality amplification effect at the oligomer level is often more efficient and more likely to meet the geographical conditions of the early Earth compared to the simple chiral amplification at the monomer level. However, the feasibility of recycling and reusing heterochiral oligomers (by-products) still requires further investigation.

5 Transmission of Single Handedness

5.1 Chirality Information

Material, energy, and information are the three pillars of life; the continuous flow and mutual transformation among them sustain life activities and species survival. In biology, the most common information we encounter is genetic information, whose flow follows the central dogma. We have also noticed that chirality, as a form of information, plays an equally important role in the origin of life and is closely related to the flow of matter and energy. The transmission and flow of chiral information between similar and different substances has become a hot topic of discussion in academia in recent years.
The main substances that constitute living organisms include nucleic acids, amino acids, lipids, and metabolic intermediates. Metabolic intermediates refer to small organic acids containing three to six carbons, such as pyruvic acid, oxaloacetic acid, and malic acid, which form important pathways in living organisms responsible for the breakdown and synthesis of other substances—the tricarboxylic acid cycle. Within the tricarboxylic acid cycle, only malic acid and isocitric acid possess chiral carbons. Before the emergence of life, how chiral information propagates among these substances remains a topic of debate, with two prevailing viewpoints in academia.
The first perspective suggests that various enantiomers of life's building blocks (nucleotides, amino acids) existed in the "primordial soup," with one enantiomer present in excess. These monomers could spontaneously assemble into homochiral oligomers (oligonucleotides, peptides, see above). Such homochiral oligomers then formed a primitive version of today's central dogma: oligoRNA or peptide catalyzed the synthesis of RNA-peptide conjugates using oligoRNA as a template, thus initiating the central dogma. The single chirality of biomolecules emerged through co-evolution and mutual influence at both the monomer and polymer levels across different molecular types, meaning the flow of chirality was multidirectional. During evolution, molecular structures and chiral properties gradually converged, enabling the preservation and transmission of chiral information.
The flaw in this viewpoint lies in the fact that, prior to the emergence of life, the probability of all early amino acids (currently recognized as 8–10 types, with residues all being aliphatic hydrocarbons) simultaneously exhibiting enantiomeric excess was extremely low. Moreover, there is no experimental evidence indicating that a particular enantiomeric excess in one amino acid can transfer its chirality to other amino acids through physical or chemical means.
The second perspective suggests that various species existed in the "primordial soup," and an excess of one enantiomer of a substance (i.e., nucleotide precursor RAO) influenced the chirality of other synthetic intermediates and polymers. This perspective parallels the flow of chiral information with the flow of genetic information, considering the flow of chiral information to be unidirectional as well, thereby circumventing the pathway for the early generation of amino acids leading to an excess of enantiomers and avoiding the issue of amino acids determining the chirality of nucleotides.
The above two viewpoints share equal deficiencies in explaining the chiral information of metabolic intermediates. We regard chiral carbon as the smallest unit of chiral information; the greater the number of chiral carbons, the richer and more redundant the chiral information, making it less likely to be lost during transmission. For example, nucleotides and homochiral polypeptides carry more chiral information than D-glyceraldehyde and L-amino acids. The former two retain their chiral information more effectively during material flow and exchange. In the tricarboxylic acid cycle, only malate and isocitrate contain a single chiral carbon, while other metabolic intermediates are not chiral molecules. Regardless of whether the chiral information flows in multiple directions or unidirectionally, there is currently no experimental evidence explaining the emergence and disappearance of chiral information among metabolic intermediates.
On one hand, this phenomenon indicates that the transient and unstable chiral information of metabolic intermediates cannot be transferred to nucleic acids and amino acids. On the other hand, it suggests that the chiral information of metabolic intermediates may have emerged later than life itself, and that material cycling and transformation before the origin of life may not have relied on the chirality of metabolic intermediates.

5.2 Amino Acids Influence the Chirality of Nucleotides

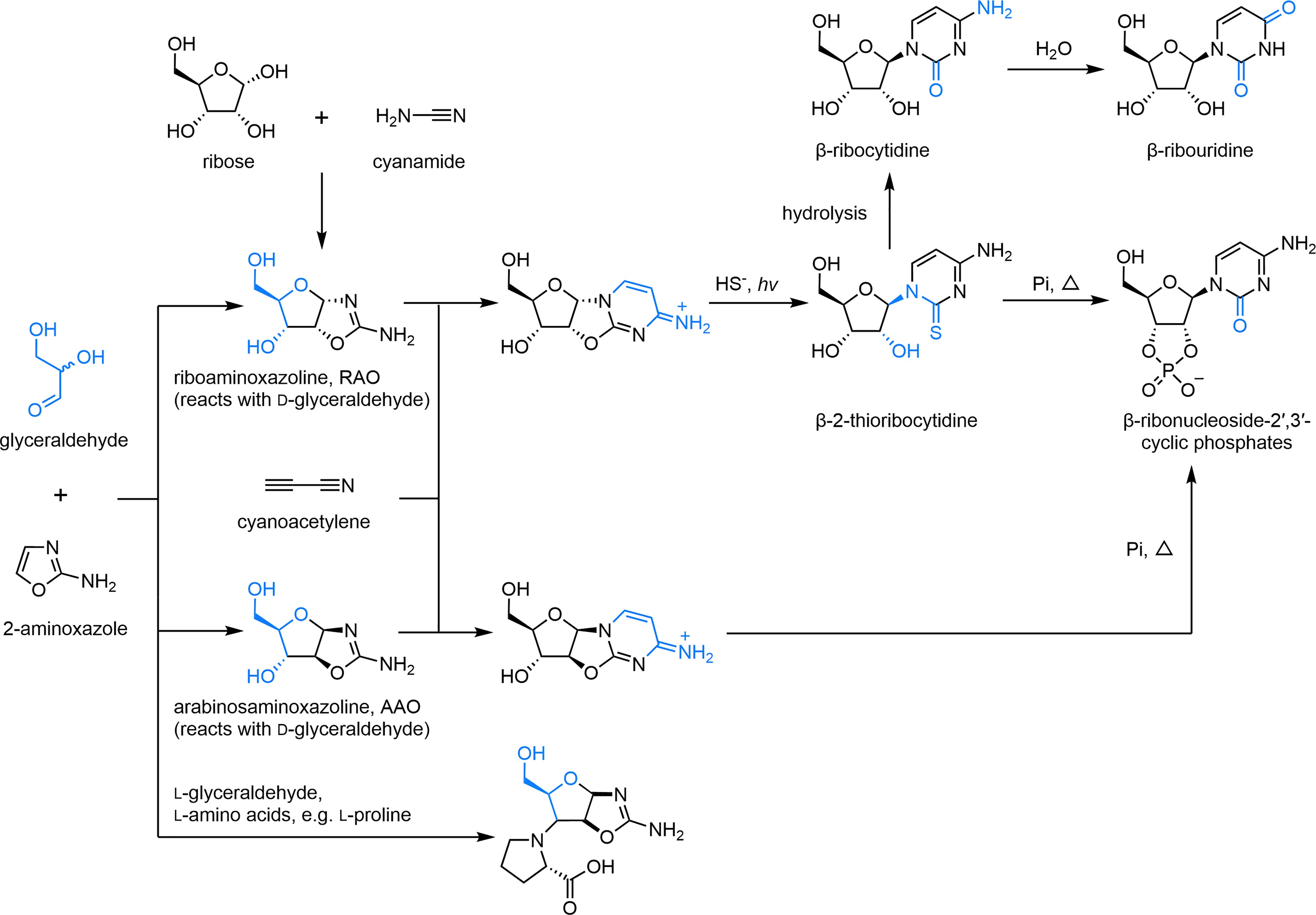
It has been reported that amino acids can transfer chirality to ribose, an RNA precursor (such as glycerol) acting as catalysts or reactants. Under simulated prebiotic Earth conditions, Breslow et al.[117] investigated the reaction products formed from formaldehyde and glycolaldehyde catalyzed by different L-amino acids, finding that all tested L-amino acids except L-proline tended to catalyze the production of D-glycerol, with L-glutamic acid showing the strongest catalytic effect. Thus, amino acids transferred their chirality to glycerol, a precursor of RNA. In the Sutherland-Powner reaction[57], L-amino acids can react with L-glycerol and 2-aminooxazole to form three-component products (Figure 6), while D-glycerol only reacts with 2-aminooxazole, yielding D-RAO with an ee value of 80%[58]. This also demonstrates that L-amino acids can influence the chiral synthesis of RNA precursors. Peptides can also act as catalysts to transfer chirality to nucleotide precursors. Dipeptides with proline at the N-terminus selectively undergo Amadori rearrangement with L-glycerol, thereby enriching D-glycerol from racemic glycerol[118].
图6 嘧啶核苷酸前生命合成路线[57-58]。2-氨基噁唑啉与消旋甘油醛反应生成RAO、AAO等八种中间体,其中与L-甘油醛反应得到的产物可以继续与L-氨基酸反应,生成三组分中间体,与D-甘油醛反应得到的产物中只有RAO可以通过CISS效应富集,继而经由硫化、光照、水解、磷酸化生成嘧啶核苷、核苷酸

Fig. 6 Prebiotic synthesis of pyrimidine nucleotides[57-58]. 2-Aminooxazoline reacts with racemic glyceraldehyde to yield RAO, AAO, and six other intermediates. Among these, the product obtained from the reaction with L-glyceraldehyde can further react with L-amino acids to form three-component intermediates. The product obtained from the reaction with D-glyceraldehyde contains only RAO, which can be enriched via the CISS effect. Subsequently, it undergoes sulfidation, UV irradiation, hydrolysis, and phosphorylation to produce pyrimidine nucleosides and nucleotides

5.3 Nucleotides and Lipids Influence the Chirality of Amino Acids

Similarly, the chirality of nucleotide monomers can also be transferred to amino acids. Amino acids react with cyclic triphosphates to form nitrogen-phosphorus bonds, generating phosphoramidate amino acids. The nucleophilic attack of the 5'-hydroxyl group of nucleosides on phosphoramidate amino acids leads to the formation of amino acid 5'-nucleotides. Interactions between amino acid side chains and D-nucleotide bases within the spatial structure promote the reaction using L-amino acids as substrates[119]. However, the process by which phosphoramidate amino acids form homochiral peptides remains to be explored.
The double-stranded RNA helix can also transfer its chirality to amino acids. In a tRNA acceptor arm mimic structure formed by RNA duplexes with overhangs, the 5'-aminoacyl mixed anhydride spontaneously transfers to the 3'-overhang terminus (Figure 7a). When the overhang sequence is UUCCA, the yield ratio of L-alanyl to D-alanyl is 10:1. The formed amino acid ester is more stable and less prone to hydrolysis compared to the aminoacyl mixed anhydride, which effectively enriches L-amino acids. Conversely, once D-aminoacyl mixed anhydrides are formed, they are rapidly hydrolyzed due to their difficulty in transferring. These results indicate that the optical properties of biomolecules are transferred from the right-handed RNA double helix to L-amino acids[120]. Linking one amino acid to each end on the same side of the double-stranded RNA and using a coupling agent to form an amide bond between the two amino acids revealed that RNA composed of D-ribose, through the formation of a right-handed double helix, preferentially selects L-amino acids to form LL-dipeptides (Figure 7b)[121].
图7 (a) RNA双螺旋-悬挑结构选择转移L-丙氨酸至接受臂3'端[120];(b) RNA双螺旋末端优先生成同手性(L,L)二肽[121]

Fig. 7 (a) Selective transfer of L-alanine to the 3' end of the acceptor arm through RNA double helix-overhang structure[120]; (b) the end of the RNA double helix preferentially generates a homochiral L,L-dipeptide[121]

The double helix of nucleic acids can also influence the chirality of the connected polypeptides. Pandey et al.[122] utilized the alkyne-azide cycloaddition reaction to link right-handed DNA double or triple helices with L- or D-polypeptide chains, forming peptide-oligonucleotide conjugates (Peptide-oligonucleotide conjugates, POC). They found that the yield of D,D-POC was higher than that of L,D-POC, and the mismatched helical direction between the strands hindered the synthesis of POC components. These results indicate the existence of long-range chiral transmission between nucleic acid strands and oligopeptides.
The above examples indicate that the chirality and double-helix properties of oligonucleotides influence the chirality of connected amino acids and peptides. Chirality transfer does not depend on the type of amino acid, and the physicochemical properties of amino acids have minimal impact on the transfer process. As previously mentioned, the CISS effect determines the chirality information of nucleotide precursor RAO, which subsequently synthesizes adenosine monophosphate, cytidine monophosphate, and uridine monophosphate. These nucleotide monomers assemble into right-handed helical RNA. The chirality information at this polymeric level determines the chirality of the connected amino acids, ultimately leading to the formation of homochiral peptides. Thus, the chirality information of nucleotide precursors determined by physical conditions transfers from RNA precursors to peptides. The flow of chirality information is unidirectional and aligns with the flow of genetic information described by the central dogma.
The cell membrane, the smallest unit of life in biology, is composed of a phospholipid bilayer. Lipid molecules that constitute the phospholipid bilayer can influence the chirality of amino acids. Hu et al.[123] found that the membrane permeability of L-amino acids and dipeptides was higher than that of their enantiomers by measuring the permeation rates of alkynyl-labeled amino acids and dipeptides through chiral lipid bilayers. This work suggests that phospholipid molecules in primitive cells favored the enrichment of amino acids with specific chirality within enclosed spaces.

6 Conclusion and Prospect

There are many studies related to the origin of homochirality in biomolecules. In addition to the aforementioned factors such as circularly polarized light, crystallization, and the CISS effect, astrophysical impacts[124-125], Earth's magnetic field[126-127], and vortices[128] have also been considered as causes of chiral bias. Authors of these studies speculate that the pathways leading to chiral bias might be diverse, potentially originating from extraterrestrial sources or arising on Earth. Currently, only a few meteorites showing enantiomeric excesses of organic molecules have been reported. Future space missions may provide more extraterrestrial samples to investigate the emergence of molecular chiral bias in celestial bodies beyond Earth and draw comparisons with our planet. Considering the small enantiomeric enrichment of organic molecules observed in meteorites to date, such extraterrestrial sources of chiral bias would likely have played a minimal role in the formation of homochirality in Earth's biomolecules and may not represent the original source of homochirality.
In contrast, the CISS effect, combined with the "Darwin's little pond" hypothesis and physical processes such as evaporation and crystallization, can readily accommodate the geographical conditions of the early Earth, representing a clear and efficient pathway for producing homochiral nucleic acid precursors, RAO. RAO can subsequently generate three types of nucleotides efficiently under prebiotic conditions, and double-stranded RNA composed of RNA nucleotides can transfer its right-handed helicity to amino acids in aminoacyl-RNA.
The emergence of homochirality and the formation of complex chemical reaction networks depend on the physical and chemical environment of prebiotic Earth. The Soai reaction can amplify small initial enantiomeric excesses of products into homochirality, and is an effective asymmetric autocatalytic reaction for amplifying chirality, however, the reactants involved in such reactions are currently not associated with molecules relevant to the origin of life. More autocatalytic reactions related to the generation of homochirality in biomolecules may be discovered in the future.
Achiral purine-glutamic acid ribose analogs can self-assemble into helical structures[129]. Similarly, oligonucleotide analogs using barbituric acid and melamine as bases can also form double-helix structures. This design circumvents the prebiotic synthesis issues of natural ribose or bases, constructing chirality at the macromolecular level through self-assembly, thus providing a possible material medium for storing primordial life information before the emergence of DNA and RNA[130-131]. These studies also suggest that investigating the origin of homochirality in biomolecules should not be limited to specific substances or categories, but rather should consider the generation of organic small molecules and homochiral oligomers comprehensively at the level of material systems and chemical reaction networks.
In the near future, we also hope to obtain more experimental evidence regarding the origin of the tricarboxylic acid cycle and the reasons for the emergence and disappearance of chirality in its metabolic intermediates. We aim to explore whether peptides or oligonucleotides can influence the chirality of these metabolic intermediates, investigate the impact of these tricarboxylic acid cycle intermediates on material transformation before the emergence of life, and examine the timing and motivations for their appearance in the origin and evolution of life.
Compared to natural D-nucleic acids, mirror DNA/RNA, namely L-DNA/RNA, is less susceptible to degradation. Leveraging the stability of mirror DNA/RNA to construct mirror biological systems can be applied in fields such as orthogonal catalysis and information storage, representing a significant application of the single chirality of biomolecules. Using mirror polymerases, the Zhu Ting research group[132-133] achieved replication, transcription, and RNA reverse transcription of mirror DNA, and transcribed mirror full-length sequences of Escherichia coli ribosomal 5S, 16S, and 23S rRNA using a mirror T7 RNA polymerase[134], assembling them into mirror ribonucleoprotein complexes[135]. High-fidelity mirror polymerases can encode images or textual information into L-DNA[136], enabling bioorthogonal information storage, and information can be retrieved using mirror polymerase chain reaction[137] and mirror DNA sequencing technology[138]. This is an application example based on the understanding of the single chirality of biomolecules. Understanding and exploring the origin of single chirality can also help us rationally design chiral catalysts, develop chiral drugs, and synthesize artificial life forms.
After decades of exploration, although the mystery of the origin of life processes remains unsolved, the origin of homochirality of life molecules has gradually become clearer and is slowly reaching a consensus within the academic community. Research into the origin of homochirality has integrated multiple disciplines, including astronomy, geophysics, theoretical physics, inorganic and organic chemistry, molecular biology, and many others, fostering communication and collaboration among researchers from various fields. This interdisciplinary research approach provides a paradigm reference for ultimately resolving the question of the origin of life.
[1]
Tee Y H, Shemesh T, Thiagarajan V, Hariadi R F, Anderson K L, Page C, Volkmann N, Hanein D, Sivaramakrishnan S, Kozlov M M, Bershadsky A D. Nat. Cell Biol., 2015, 17(4): 445.

[2]
Yamanaka H, Kondo S. Genes Cells, 2015, 20(1): 29.

[3]
Xu J S, Van Keymeulen A, Wakida N M, Carlton P, Berns M W, Bourne H R. Proc. Natl. Acad. Sci. U. S. A., 2007, 104(22): 9296.

[4]
Hatori R, Ando T, Sasamura T, Nakazawa N, Nakamura M, Taniguchi K, Hozumi S, Kikuta J, Ishii M, Matsuno K. Mech. Dev., 2014, 133: 146.

[5]
Ray P, Chin A S, Worley K E, Fan J, Kaur G, Wu M F, Wan L Q. Proc. Natl. Acad. Sci. U. S. A., 2018, 115(50): E11568.

[6]
Pasteur L. Compt. Rend., 1848, 26: 535.

[7]
Zhou X Y, Wang Z F, Li S, Rong X L, Bu J X, Liu Q, Ouyang Z. Science, 2024, 383(6683): 612.

[8]
Pierre C. J. Phys., 1894, 3: 393.

[9]
Pasteur L. Ann. Chim. Phys., 1848: 442.

[10]
Bada J L, Miller S L. Biosystems, 1987, 20(1): 21.

[11]
Elsila J E, Aponte J C, Blackmond D G, Burton A S, Dworkin J P, Glavin D P. ACS Cent. Sci., 2016, 2(6): 370.

[12]
Levy R L, Grayson M A, Wolf C J. Geochim. Cosmochim. Acta, 1973, 37(3): 467.

[13]
Furukawa Y, Chikaraishi Y, Ohkouchi N, Ogawa N O, Glavin D P, Dworkin J P, Abe C, Nakamura T. Proc. Natl. Acad. Sci. U. S. A., 2019, 116(49): 24440.

[14]
Martins Z, Botta O, Fogel M L, Sephton M A, Glavin D P, Watson J S, Dworkin J P, Schwartz A W, Ehrenfreund P. Earth Planet. Sci. Lett., 2008, 270(1-2): 130.

[15]
Koga T, Takano Y, Oba Y, Naraoka H, Ohkouchi N. Geochim. Cosmochim. Acta, 2024, 365: 253.

[16]
Engel M H, Macko S A. Nature, 1997, 389(6648): 265.

[17]
Engel M H, Macko S A, Silfer J A. Nature, 1990, 348(6296): 47.

[18]
Engel M H, Nagy B. Nature, 1982, 296(5860): 837.

[19]
Pizzarello S, Zolensky M, Turk K A. Geochim. Cosmochim. Acta, 2003, 67(8): 1589.

[20]
Pizzarello S, Feng X, Epstein S, Cronin J R. Geochim. Cosmochim. Acta, 1994, 58(24): 5579.

[21]
Bada J L, Cronin J R, Ho M S, Kvenvolden K A, Lawless J G, Miller S L, Oro J, Steinberg S. Nature, 1983, 301(5900): 494.

[22]
Cronin J R, Pizzarello S. Science, 1997, 275(5302): 951.

[23]
Heck P R, Greer J, Kööp L, Trappitsch R, Gyngard F, Busemann H, Maden C, Ávila J N, Davis A M, Wieler R. Proc. Natl. Acad. Sci. U. S. A., 2020, 117(4): 1884.

[24]
Parker E T, McLain H L, Glavin D P, Dworkin J P, Elsila J E, Aponte J C, Naraoka H, Takano Y, Tachibana S, Yabuta H, Yurimoto H, Sakamoto K, Yada T, Nishimura M, Nakato A, Miyazaki A, Yogata K, Abe M, Okada T, Usui T, Yoshikawa M, Saiki T, Tanaka S, Nakazawa S, Tsuda Y, Terui F, Noguchi T, Okazaki R, Watanabe S I, Nakamura T. Geochim. Cosmochim. Acta, 2023, 347: 42.

[25]
Kuhn W, Braun E. Die Naturwiss., 1929, 17(14): 227.

[26]
Kuhn W, Knopf E. Die Naturwiss., 1930, 18(8): 183.

[27]
Kagan H R, Moradpour A, Nicoud J F, Balavoine G, Tsoucaris G. J. Am. Chem. Soc., 1971, 93(9): 2353.

[28]
Meierhenrich U J, Nahon L, Alcaraz C, Bredehöft J H, Hoffmann S V, Barbier B, Brack A. Angew. Chem. Int. Ed., 2005, 44(35): 5630.

[29]
Meinert C, Hoffmann S V, Cassam-Chenaï P, Evans A C, Giri C, Nahon L, Meierhenrich U J. Angew. Chem., 2014, 126(1): 214.

[30]
Meinert C, Hoffmann S V, Cassam-Chenaï P, Evans A C, Giri C, Nahon L, Meierhenrich U J. Angew. Chem. Int. Ed., 2014, 53(1): 210.

[31]
Vester F, Ulbricht T L V, Krauch H. Die Naturwiss., 1959, 46(2): 68.

[32]
Ulbricht T L V. Q. Rev., hem. Soc., 1959, 13(1): 48.

[33]
Ulbricht T L V, Vester F. Tetrahedron, 1962, 18(5): 629.

[34]
Garay A S. Nature, 1968, 219(5152): 338.

[35]
Bonner W A, Dort M A V, Yearian M R. Nature, 1975, 258(5534): 419.

[36]
Darge W, Laczkó I, Thiemann W. Nature, 1976, 261(5560): 522.

[37]
Bonner W A. J. Mol. Evol., 1974, 4(1): 23.

[38]
Bonner W A, Blair N E, Flores J J. Nature, 1979, 281(5727): 150.

[39]
Hodge L A, Dunning F B, Walters G K, White R H, Schroepfer G J JR. Nature, 1979, 280(5719): 250.

[40]
Zhao J, Wang W Q, Zhou Y R, Liu J X.Journal of Nuclear and Radiochemistry, 1993, (1): 46.

(赵健, 王文清, 周玉荣, 刘金祥. 核化学与放射化学, 1993, (1): 46.)

[41]
Wang W Q, Wu J L, Jiang J. Conference on Chemical Evolution and the Origin of Life, 1992, 24(5): 249.

[42]
Wang J Y, Luo L F. Sci.China Ser B, 1985, 15(10): 913

(王建英, 罗辽复. 中国科学 b辑, 1985, 15(10): 913).

[43]
Wang W Q, Wu J L, Pan X M, Luo L F. Conference on Chemical Evolution and the Origin of Life, 1993, 25(7): 32.

[44]
Yamagata Y. J.Theor. Biol., 1966, 11(3): 495.

[45]
Tranter G E. J.Theor. Biol., 1986, 119(4): 467.

[46]
Aucar J J, Stroppa A, Aucar G A. J. Phys. Chem. Lett., 2024, 15(1): 234.

[47]
Darwin C.Darwin Correspondence Project, Letter No. 7471, 1871.[2024-08-01]

[48]
Petruševska-Seebach K, Seidel-Morgenstern A, Elsner M P. Cryst. Growth Des., 2011, 11(6): 2149.

[49]
Viedma C. Origins Life Evol. Biospheres, 2001, 31(6): 501.

[50]
Profir V M, Matsuoka M. Colloids Surf. A Physicochem. Eng. Aspects, 2000, 164(2-3): 315.

[51]
Weissbuch I, Addadi L, Berkovitch-Yellin Z, Gati E, Lahav M, Leiserowitz L. Nature, 1984, 310(5973): 161.

[52]
Weissbuch I, Addadi L, Leiserowitz L, Lahav M. J. Am. Chem. Soc., 1988, 110(2): 561.

[53]
Braga D, Degli Esposti L, Rubini K, Shemchuk O, Grepioni F. Cryst. Growth Des., 2016, 16(12): 7263.

[54]
Shemchuk O, Tsenkova B K, Braga D, Duarte M T, André V, Grepioni F. Chem.- Eur. J., 2018, 24(48): 12564.

[55]
Shemchuk O, Spoletti E, Braga D, Grepioni F. Cryst. Growth Des., 2021, 21(6): 3438.

[56]
Shemchuk O, Grepioni F, Braga D. CrystEngComm, 2020, 22(34): 5613.

[57]
Anastasi C, Crowe M A, Powner M W, Sutherland J D. Angew. Chem. Int. Ed., 2006, 45(37): 6176.

[58]
Hein J E, Tse E, Blackmond D G. Nat. Chem., 2011, 3(9): 704.

[59]
Breslow R, Cheng Z L. Proc. Natl. Acad. Sci. U. S. A., 2009, 106(23): 9144.

[60]
Huang J, Yu L. J. Am. Chem. Soc., 2006, 128(6): 1873.

[61]
Levine M, Kenesky C S, Mazori D, Breslow R. Org. Lett., 2008, 10(12): 2433.

[62]
Morowitz H J. J.Theor. Biol., 1969, 25(3): 491.

[63]
Hayashi Y, Matsuzawa M, Yamaguchi J, Yonehara S, Matsumoto Y, Shoji M, Hashizume D, Koshino H. Angew. Chem. Int. Ed., 2006, 45(28): 4593.

[64]
Kondepudi D K, Kaufman R J, Singh N. Science, 1990, 250(4983): 975.

[65]
Kipping F S, Pope W J. J. Chem. Soc., Trans., 1898, 73: 606.

[66]
Viedma C, Ortiz J E, de Torres T, Izumi T, Blackmond D G. J. Am. Chem. Soc., 2008, 130(46): 15274.

[67]
Viedma C, Lennox C, Cuccia L A, Cintas P, Ortiz J E. Chem. Commun., 2020, 56(33): 4547.

[68]
Uemura N, Sano K, Matsumoto A, Yoshida Y, Mino T, Sakamoto M. Chem. Asian J., 2019, 14(23): 4150.

[69]
McBride J M, Carter R L. Angew. Chem. Int. Ed., 1991, 30(3): 293.

[70]
Viedma C. J. Cryst. Growth, 2004, 261(1): 118.

[71]
Viedma C. Phys. Rev. Lett., 2005, 94(6): 065504.

[72]
Joesten R L. Rev. Mineral. Geochem., 1991, 26(1): 507.

[73]
Iggland M, Mazzotti M. Cryst. Growth Des., 2011, 11(10): 4611.

[74]
Gherase D, Conroy D, Matar O K, Blackmond D G. Cryst. Growth Des., 2014, 14(3): 928.

[75]
Ray K, Ananthavel S P, Waldeck D H, Naaman R. Science, 1999, 283(5403): 814.

[76]
Göhler B, Hamelbeck V, Markus T Z, Kettner M, Hanne G F, Vager Z, Naaman R, Zacharias H. Science, 2011, 331(6019): 894.

[77]
Naaman R, Paltiel Y, Waldeck D H. Acc. Chem. Res., 2020, 53(11): 2659.

[78]
Klein C. Am. Mineral., 2005, 90(10): 1473.

[79]
Sasselov D D, Grotzinger J P, Sutherland J D. Sci. Adv., 2020, 6(6): eaax3419.

[80]
Eib W, Meier F, Pierce D T, Sattler K, Siegmann H C. AIP Conf. Proc., 1975, 24(1): 88.

[81]
Alvarado S F, Erbudak M, Munz P. Physical Review B, 1976, 14(7): 2740.

[82]
Ozturk S F, Liu Z W, Sutherland J D, Sasselov D D. Sci. Adv., 2023, 9(23): eadg8274.

[83]
Ozturk S F, Sasselov D D. Proc. Natl. Acad. Sci. U. S. A., 2022, 119(28): e2204765119.

[84]
Ozturk S F, Bhowmick D K, Kapon Y, Sang Y T, Kumar A, Paltiel Y, Naaman R, Sasselov D D. Nat. Commun., 2023, 14: 6351.

[85]
Powner M, Sutherland J. Angew. Chem. Int. Ed., 2010, 49(27): 4641.

[86]
Frank F C. Biochim. Biophys. Acta, 1953, 11: 459.

[87]
Soai K, Shibata T, Morioka H, Choji K. Nature, 1995, 378(6559): 767.

[88]
Shibata T, Morioka H, Hayase T, Choji K, Soai K. J. Am. Chem. Soc., 1996, 118(2): 471.

[89]
Shibata T, Yamamoto J, Matsumoto N, Yonekubo S, Osanai S, Soai K. J. Am. Chem. Soc., 1998, 120(46): 12157.

[90]
Soai K, Osanai S, Kadowaki K, Yonekubo S, Shibata T, Sato I. J. Am. Chem. Soc., 1999, 121(48): 11235.

[91]
Kawasaki T, Matsumura Y, Tsutsumi T, Suzuki K, Ito M, Soai K. Science, 2009, 324(5926): 492.

[92]
Gehring T, Quaranta M, Odell B, Blackmond D G, Brown J M. Angew. Chem. Int. Ed., 2012, 51(38): 9539.

[93]
Blackmond D G, McMillan C R, Ramdeehul S, Schorm A, Brown J M. J. Am. Chem. Soc., 2001, 123(41): 10103.

[94]
Hawbaker N A, Blackmond D G. Nat. Chem., 2019, 11(10): 957.

[95]
Kondepudi D K, Nelson G W. Phys. Rev. Lett., 1983, 50(14): 1023.

[96]
Kondepudi D K, Nelson G W. AIP Conf. Proc., 1996, 379(1): 11.

[97]
Kondepudi D K, Asakura K. Acc. Chem. Res., 2001, 34(12): 946.

[98]
Berger R, Quack M. ChemPhysChem, 2000, 1(1): 57.

[99]
Quack M. Angew. Chem. Int. Ed., 2002, 41(24): 4618.

[100]
Deng M, Yu J H, Blackmond D G. Nature, 2024, 626(8001): 1019.

[101]
Goldberg S I, Crosby J M, Iusem N D, Younes U E. J. Am. Chem. Soc., 1987, 109(3): 823.

[102]
Chen R, Wei Z W, Cooks R G. Anal. Chem., 2021, 93(2): 1092.

[103]
Hitz T, Luisi P. Helv. Chim. Acta, 2002, 85(11): 3975.

[104]
Rubinstein I, Eliash R, Bolbach G, Weissbuch I, Lahav M. Angew. Chem. Int. Ed., 2007, 46(20): 3710.

[105]
Rubinstein I, Clodic G, Bolbach G, Weissbuch I, Lahav M. Chem.- Eur. J., 2008, 14(35): 10999.

[106]
Lundberg R D, Doty P. J. Am. Chem. Soc., 1957, 79(15): 3961.

[107]
Brack A, Spach G. Nat. Phys. Sci., 1971, 229(4): 124.

[108]
Saghatelian A, Yokobayashi Y, Soltani K, Ghadiri M R. Nature, 2001, 409(6822): 797.

[109]
Satoh K, Kamigaito M. Chem. Rev., 2009, 109(11): 5120.

[110]
Thomas C M. Chem. Soc. Rev., 2010, 39(1): 165.

[111]
Laurent G, Lacoste D, Gaspard P. Proc. Natl. Acad. Sci. U. S. A., 2021, 118(3): e2012741118.

[112]
Bolli M, Micura R, Eschenmoser A. Chem. Biol., 1997, 4(4): 309.

[113]
Ross D, Deamer D. Astrobiology, 2022, 22(2): 192.

[114]
Joshi P C, Aldersley M F, Ferris J P. Biochem. Biophys. Res. Commun., 2011, 413(4): 594.

[115]
Sponer J E, Mladek A, Sponer J. PCCP, 2013, 15(17): 6235.

[116]
Bare G A L, Joyce G F. J. Am. Chem. Soc., 2021, 143(45): 19160.

[117]
Breslow R, Cheng Z L. Proc. Natl. Acad. Sci. U. S. A., 2010, 107(13): 5723.

[118]
Yu J H, Jones A X, Legnani L, Blackmond D G. Chem. Sci., 2021, 12(18): 6350.

[119]
Han D X, Wang H Y, Ji Z L, Hu A F, Zhao Y F. J. Mol. Evol., 2010, 70(6): 572.

[120]
Wu L-F, Su M, Liu Z W, Bjork S J, Sutherland J D. J. Am. Chem. Soc., 2021, 143(30): 11836.

[121]
Węgrzyn E, Mejdrová I, Müller F M, Nainytė M, Escobar L, Carell T. Angew. Chem. Int. Ed., 2024, 63(19): e202319235.

[122]
Pandey S, Mandal S, Danielsen M B, Brown A, Hu C P, Christensen N J, Kulakova A V, Song S X, Brown T, Jensen K J, Wengel J, Lou C G, Mao H B. Nat. Commun., 2022, 13(1): 76.

[123]
Hu J, Cochrane W G, Jones A X, Blackmond D G, Paegel B M. Nat. Chem., 2021, 13(8): 786.

[124]
Managadze G G, Engel M H, Getty S, Wurz P, Brinckerhoff W B, Shokolov A G, Sholin G V, Terentev S A, Chumikov A E, Skalkin A S, Blank V D, Prokhorov V M, Managadze N G, Luchnikov K A. Planet. Space Sci., 2016, 131: 70.

[125]
Managadze G. Planet. Space Sci., 2007, 55(1-2): 134.

[126]
Pospelov M E. Phys. Lett. A, 1996, 220(4-5): 194.

[127]
Mörtberg L. Nature, 1971, 232(5306): 105.

[128]
Sun J S, Li Y K, Yan F S, Liu C, Sang Y T, Tian F, Feng Q, Duan P F, Zhang L, Shi X H, Ding B Q, Liu M H. Nat. Commun., 2018, 9(1): 2599.

[129]
Deng M, Zhang L, Jiang Y Q, Liu M H. Angew. Chem. Int. Ed., 2016, 55(48): 15062.

[130]
Cafferty B J, Fialho D M, Khanam J, Krishnamurthy R, Hud N V. Nat. Commun., 2016, 7(1): 11328.

[131]
Fialho D M, Karunakaran S C, Greeson K W, Martínez I, Schuster G B, Krishnamurthy R, Hud N V. J. Am. Chem. Soc., 2021, 143(34): 13525.

[132]
Wang Z M, Xu W L, Liu L, Zhu T F. Nat. Chem., 2016, 8(7): 698.

[133]
Wang M, Jiang W J, Liu X Y, Wang J X, Zhang B C, Fan C Y, Liu L, Pena-Alcantara G, Ling J J, Chen J, Zhu T F. Chem., 2019, 5(4): 848.

[134]
Xu Y, Zhu T F. Science, 2022, 378(6618): 405.

[135]
Ling J J, Fan C Y, Qin H, Wang M, Chen J, Wittung-Stafshede P, Zhu T F. Angew. Chem. Int. Ed., 2020, 59(9): 3724.

[136]
Fan C Y, Deng Q, Zhu T F. Nat. Biotechnol., 2021, 39(12): 1548.

[137]
Jiang W J, Zhang B C, Fan C Y, Wang M, Wang J X, Deng Q, Liu X Y, Chen J, Zheng J S, Liu L, Zhu T F. Cell Discov., 2017, 3: 17037.

[138]
Liu X Y, Zhu T F. Cell Chem. Biol., 2018, 25(9): 1151.

Options
Outlines

/