Home Journals Progress in Chemistry
Progress in Chemistry

Abbreviation (ISO4): Prog Chem      Editor in chief: Jincai ZHAO

About  /  Aim & scope  /  Editorial board  /  Indexed  /  Contact  / 
Review

Reversible Chemical Modification Strategies and Applications in Protein Chemical Synthesis

  • Ling Xu 1† ,
  • Tingting Cui 2† ,
  • Yiming Li , 2, 3, *
Expand
  • 1 Department of Anesthesiology, The First Affiliated Hospital of Anhui Medical University, Hefei 230022, China
  • 2 School of Food and Biological Engineering, Engineering Research Center of Bio-process, Ministry of Education, Hefei University of Technology, Hefei 230009, China
  • 3 Beijing Institute of Life Science and Technology, Beijing 102206, China

These author contributed equally to this work

Received date: 2024-09-09

  Revised date: 2024-10-15

  Online published: 2025-06-17

Supported by

National Natural Science Foundation of China(22277020)

National Natural Science Foundation of China(22227810)

National Natural Science Foundation of China(22207001)

Natural Science Foundation of Anhui Province(2208085QC74)

Abstract

Protein chemical synthesis plays a crucial role in preparing proteins with specific sequences. Although this technology has been successfully applied to the synthesis of various proteins, the issues of solubility and refolding efficiency remain significant challenges for researchers when synthesizing hydrophobic and disulfide-rich proteins. The introduction of reversible chemical modification tags to the side chains or backbone of proteins offers an effective solution. Specifically, the introduction of solubilizing-tag during the protein synthesis process can significantly improve the water solubility of hydrophobic peptide segments, thereby facilitating subsequent protein synthesis and purification. The introduction of glycosylation modification effectively improves the folding of disulfide-rich proteins by stabilization of their folding intermediates. Moreover, these reversible modification tags can ultimately be removed by specific chemical or biological conditions, ensuring that the biological activity and structural integrity of the proteins are unaffected. This review delves into the types, introduction strategies and removal conditions of reversible modification tags and details their important applications in protein synthesis. These strategies not only expand the tools of protein chemical synthesis but also provide strong support for biomedical research and drug development, promising to drive further development in related fields.

Contents

1 Introduction

2 Reversible chemical modification strategies for synthesizing hydrophobic proteins

2.1 Introduction of reversible modification tags in peptide side chains

2.2 Peptide backbone modification

3 Reversible glycosylation modification strategies for the synthesis of difficult-to-fold proteins

4 Conclusion and outlook

Cite this article

Ling Xu , Tingting Cui , Yiming Li . Reversible Chemical Modification Strategies and Applications in Protein Chemical Synthesis[J]. Progress in Chemistry, 2025 , 37(6) : 882 -902 . DOI: 10.7536/PC240818

1 Introduction

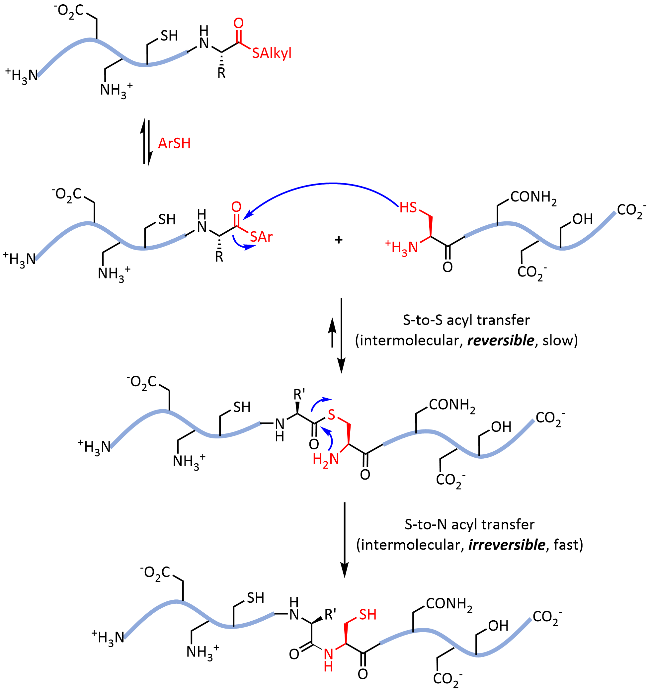
Proteins, as key molecules that perform various biological functions within living organisms, require precise structural and activity analysis for understanding life processes[1-4]. Chemical synthesis serves as an effective approach for obtaining proteins, allowing scientists to precisely control protein structures at the atomic level, thus providing an important tool for studying the structure-function relationship of proteins, discovering lead compounds, and understanding their roles in diseases[5]. Protein chemical synthesis can be divided into total protein synthesis and semi-synthesis. Typically, total protein synthesis relies on solid-phase peptide synthesis (SPPS)[6] to prepare peptides with a C-terminal thioester or acylhydrazide and peptides with an N-terminal cysteine (Cys). Subsequently, these fragments are assembled into the target protein via native chemical ligation (NCL, Scheme 1)[7-8] or protein hydrazide ligation (Scheme 2)[9-11] in mild aqueous media. This strategy has been successfully applied to synthesize a variety of complex molecules, including post-translationally modified proteins[12-29], protein probes carrying chemical reactive groups[30-33], peptide-protein therapeutics and diagnostic molecules[34-39], mirror-image proteins[40-47], active cyclic peptides[48-53], and membrane proteins[54-55]. Despite these milestone achievements, both NCL and protein hydrazide ligation rely on cysteine residues as ligation sites. To overcome this limitation, researchers have developed various ligation strategies, such as α-ketoacid-hydroxylamine (KAHA) ligation[56-58], Ser/Thr ligation (STL)[59-64], cysteine/penicillamine ligation (CPL)[65], diselenide-selenoester ligation (DSL)[66-69], and enzymatic ligation[70-73]. Expressed protein ligation (EPL) is a commonly used method for protein semi-synthesis. EPL utilizes recombinant protein techniques to generate protein fragments with an N-terminal Cys[74], or generates protein fragments with a C-terminal thioester/C-terminal acylhydrazide through N-terminal cleavage of intein[75]/Cys-promoted protein C-terminal hydrazinolysis[76]. These recombinantly produced protein fragments can then be ligated via NCL reactions with chemically synthesized C-terminal thioester fragments or N-terminal Cys fragments to ultimately synthesize the target protein. The establishment of these diverse methods has significantly enhanced the efficiency and applicability of protein chemical synthesis.
图式1 自然化学连接[7-8]

Scheme 1 Native chemical ligation[7-8]

图式2 蛋白酰肼连接[9-11]

Scheme 2 Native chemical ligation based on hydrazide[9-11]

Despite significant progress in the field of protein chemical synthesis, the synthesis of hydrophobic proteins containing "difficult sequences"[77] still faces severe challenges. These sequences are typically rich in hydrophobic amino acids such as leucine, valine, phenylalanine, or isoleucine. When combined with glycine, they may induce the formation of beta-sheets or alpha-helical structures, leading to a high tendency for aggregation and low solubility of the proteins in aqueous solutions[77-80]. This characteristic complicates critical chemical production steps such as SPPS, purification, fragment ligation, or refolding. Moreover, proteins containing multiple intra- or inter-chain disulfide bonds, even when synthesized through conventional methods, face additional difficulties due to mispairing issues during the refolding process.
To overcome these challenges, researchers have employed various strategies, including altering the solvent environment and introducing chemical modifications to the peptide sequences. For instance, using dimethyl sulfoxide (DMSO)[81], dimethylformamide (DMF)[81-82], 2,2,2-trifluoroethanol (TFE)[55], hexafluoroisopropanol (HFIP)[83], or detergents such as anionic sodium dodecyl sulfate (SDS)[84], dodecylphosphocholine (DPC)[85-86], octyl glucoside (OG)[84-86] can improve protein solubility. However, high concentrations of fluorinated organic solvents may lead to hydrolysis of peptide thioesters, while suitable detergents often require tedious and specific optimization.
Introducing chemical modification groups into peptide sequences has become a key strategy for addressing the challenges of hydrophobic peptides. Among these, homooligopeptide tags composed of positively charged lysine or arginine residues have been widely applied due to their significant solubilizing effects.[87] These modification tags can be designed as either permanent or reversible according to specific needs: while permanent tags effectively enhance the solubility of hydrophobic peptides, they may adversely affect the native conformation and biological activity of proteins.[84,88-89] In contrast, reversible modification tags have become the preferred strategy for synthesizing hydrophobic and difficult-to-refold proteins due to their characteristic feature of being selectively removable via chemical or physical methods. These tags can be flexibly introduced at the C-terminus, N-terminus, or internal sites (including side chains or backbone) of peptides to improve solubility or enhance synthetic stability. Various ligation methods have been developed for C-terminal modifications, including thioester ligation[90-91], oxyester ligation[92-94], enzymatic ligation[95], disulfide bond ligation[96], and dialkoxybenzaldehyde linkage[97]. For N-terminal modification, disulfide bond ligation remains the primary strategy[98-99]. It is worth noting that these terminal modifications are typically removed after peptide ligation and therefore cannot continuously improve the solubility of the ligation products. In contrast, introducing reversible chemical modification tags carrying solubilizing tags into the middle portion of the peptide chain, especially onto the side chains or backbone via linkers, can not only facilitate the solubility of hydrophobic peptides during synthesis but also enhance the solubility of the ligation products (see Scheme 3). Moreover, introducing glycosylation modification tags into the side chains of proteins rich in disulfide bonds can effectively stabilize their folding intermediates and thus promote correct protein folding. The continuous development of these innovative strategies provides more effective solutions for the synthesis of challenging proteins.
图式3 多肽侧链和骨架的可逆修饰

Scheme 3 Reversible peptide side chain and backbone modification

This review systematically summarizes recent research advances in the synthesis of hydrophobic or difficult-to-fold proteins through reversible chemical modifications on the side chains or backbone of peptides, with a primary focus on the types of reversible modification tags, their introduction strategies, removal conditions, and significant applications in protein synthesis. By thoroughly discussing these strategies, this article aims to provide new insights and solutions for the synthesis of more challenging proteins.

2 Hydrophobic Protein Synthesis via Reversible Chemical Modification Strategy

In the chemical synthesis of hydrophobic proteins, introducing reversible modification tags into the peptide side chains or backbone during SPPS or post-synthesis provides a key strategy for synthesizing hydrophobic proteins. These modification tags consist of two components: solubilizing tags and linker groups. The linker group plays a crucial role in this system, as it not only determines the attachment mode of the solubilizing tag but also significantly influences the conditions required for tag removal.

2.1 Reversible Modification Tags Introduced into Peptide Side Chains

Reversible modifications introduced into polypeptide side chains can be classified into several categories based on the properties of the linking groups, including photosensitive types, metal-catalyzed cleavable types, pH-sensitive types, enzyme-specific recognition types, and specific modification tags.

2.1.1 Photosensitive Reversible Modification Tag

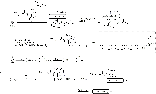
Phosphatidylethanolamine (PE)-conjugated LC3-II protein, as a key lipidated protein in autophagy research, has long faced challenges in chemical synthesis due to the strong hydrophobicity of the PE group. In 2013, Liu et al.[100] innovatively developed a photosensitive o-nitrobenzyl linker and incorporated it into the side chain of 9-fluorenylmethoxycarbonyl (Fmoc)-protected glutamine (Scheme 4). During solid-phase peptide synthesis (SPPS), this unnatural amino acid was site-specifically introduced into the peptide fragment. After synthesis, the allyloxycarbonyl (Alloc) protecting group on the side chain was selectively removed, enabling the attachment of a polyarginine solubility tag to the peptide side chain. Subsequently, the full-length protein was assembled via expressed protein ligation (EPL), and the modified tag was efficiently removed by ultraviolet (UV) photolysis, successfully generating the PE-modified LC3-II protein. Functional validation experiments demonstrated that the fluorescently labeled LC3-II protein exhibited the expected localization behavior within liposomes, confirming its biological activity. This study not only established an efficient synthetic approach for the LC3-II protein, but more importantly, provided a universally applicable strategy for the synthesis of other lipidated proteins. However, it should be noted that the applicability of this method is limited by the requirement for a glutamine residue in the target protein, a constraint that may hinder its application in the synthesis of certain hydrophobic proteins lacking this residue.
图式4 通过邻硝苄基连接体引入助溶标签以合成LC3-Ⅱ蛋白[100]: (A) LC3-Ⅱ肽片段制备;B) 自然化学连接合成LC3-Ⅱ

Scheme 4 Introduction of solubilizing tag via nitrobenzyl linker for synthesis of LC3-Ⅱ[100]: (A) the preparation of LC3-Ⅱ segments; (B) native chemical ligation for synthesis LC3-Ⅱ

2.1.2 Metal-Catalyzed Cleavable Reversible Modification Tags

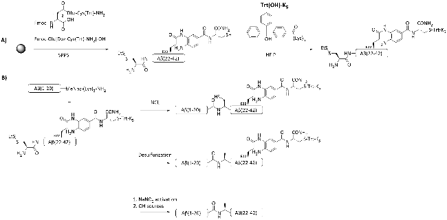
In 2016, Brik et al.[101] developed a linker based on allyloxycarbonyl-phenylacetamide methyl (Alloc-Phacm) (Scheme 5). They first incorporated it into the Fmoc-protected cysteine side chain and then integrated it into the target sequence via SPPS. After selective removal of the Alloc protecting group, a solubilizing tag was successfully introduced. The removal of this tag was also straightforward, efficiently achieved using a palladium catalytic reagent.
图式5 通过Alloc-Phacm连接体引入助溶标签以合成组蛋白H4[101]

Scheme 5 Introduction of solubilizing tag via Alloc-Phacm linker for synthesis of histone protein H4[101]

They successfully applied this innovative linker to the synthesis of histone H4, and ingeniously integrated key steps including peptide ligation, solubilizing tag removal, and desulfurization using a one-pot strategy, ultimately obtaining the target protein with high purity. Characterization techniques such as high-performance liquid chromatography (HPLC), mass spectrometry (MS), and circular dichroism (CD) confirmed the high purity and correct secondary structure of the synthesized protein. Notably, the Alloc-Phacm linker can modify the side chain of cysteine as well as be loaded onto the side chain of alanine, providing a novel solution for the synthesis of various hydrophobic peptides. Additionally, this linker demonstrated significant advantages in the preparation of biotin and other bioconjugates, revealing broad application prospects. However, the use of palladium catalysts may lead to metal residue, which is a potential issue requiring attention and resolution in future research.
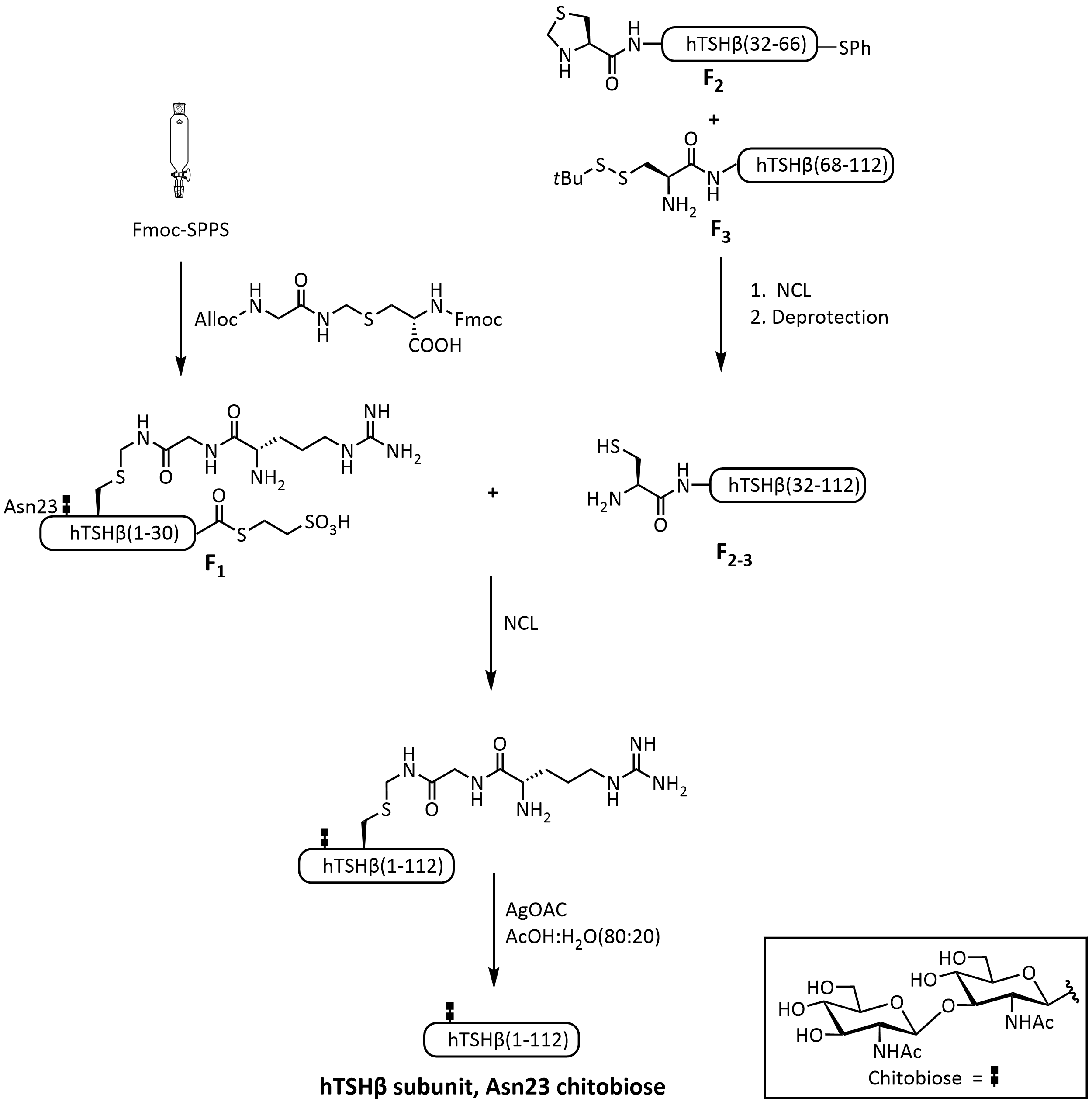
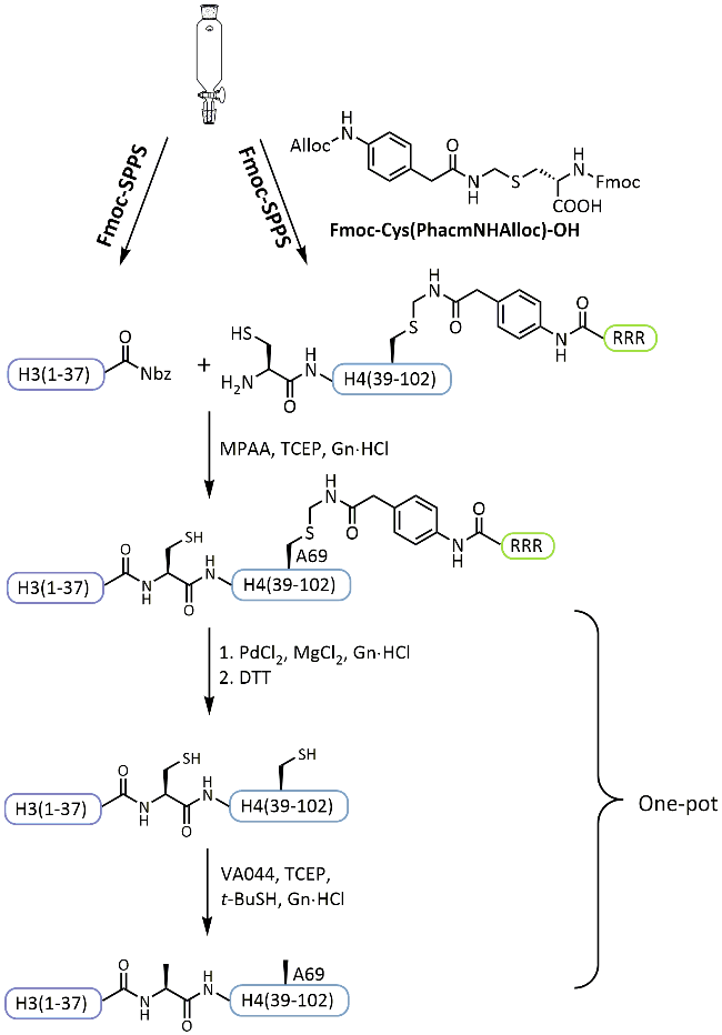
In 2018, Brailsford et al.[102] introduced an acetamidomethyl (Acm) linker into the cysteine side chain to construct a solubilizing tag, and efficiently removed the tag under the catalysis of AgOAc (see Scheme 6). This strategy was successfully applied to the synthesis of the human thyroid-stimulating hormone (hTSH) ·-subunit. Initially, hTSH· was divided into three fragments: F1, F2, and F3. The highly hydrophobic F1 fragment was significantly improved in solubility by incorporating the Acm-modified Fmoc-Cys(AcmNHAlloc)-OH building block and attaching the solubilizing tag. After fragment ligation via two efficient NCL reactions, the full-length target protein was obtained by removing the Acm protecting group under mild conditions catalyzed by AgOAc. The advantages of the Acm linker include its simple and cost-effective synthesis using inexpensive starting materials, and full compatibility with conventional SPPS. Furthermore, the orthogonality of the Acm linker with other amino acid protecting groups allows the solubilizing tag to be directly constructed into the peptide side chain during SPPS, greatly simplifying the operational steps. This work not only provides an efficient solution for the synthesis of the hTSH· subunit but also opens new avenues for the synthesis of other hydrophobic proteins, demonstrating broad application potential.
图式6 通过Acm连接体引入助溶标签以合成糖基化修饰的hTSHβ蛋白[102]

Scheme 6 Introduction of solubilizing tag via Acm linker for synthesis of glycosylated hTSHβ[102]

2.1.3 pH-Sensitive Reversible Modification Tag

In 2018, Yoshiya et al.[103] reported a reversible modification tag, Trt(OH)-K10, which consists of a triphenylmethyl (Trt) linker and a hydrophilic poly-lysine component (Scheme 7). Unlike conventional strategies where tags are introduced during SPPS, the Trt(OH)-K10 tag is introduced after the fragment undergoes NCL. Removal of the tag is also straightforward, requiring only a cleavage cocktail containing triisopropylsilane (TIPS) in trifluoroacetic acid (TFA). To verify the practicality of this modification tag, they applied it to the synthesis of hepatitis B virus (HBV) core protein (Cp149). In this process, Cp149 was divided into three fragments for synthesis, with the second and third fragments incorporating the Trt(OH)-K10 tag in a one-pot NCL reaction under thiol-free conditions. Following ligation with the first fragment, the tag was removed using a TFA cleavage cocktail containing TIPS, successfully yielding full-length Cp149. The advantage of the Trt(OH)-K10 tag lies in its synthetic simplicity, as it can be readily synthesized from commercially available 4-(diphenylhydroxymethyl)benzoic acid. Additionally, the procedure is simple and rapid, providing a practical tool for protein chemical synthesis. However, since the tag is introduced after the NCL reaction rather than during SPPS, its application in the synthesis of peptides containing inherently challenging sequences may be limited.
图式7 利用 Trt-K10 标签通过 C到N的NCL 合成 Cp149蛋白[103]

Scheme 7 Synthetic strategy for Cp149 via C-to-N NCL using the Trt-K10 tag[103]

In 2019, Yoshiya et al.[104-106] further evaluated the stability of Trt(OH)-Kn/Rn modified tags under different synthetic conditions (see Scheme 8). Experiments demonstrated that the Trt(OH)-Kn tag exhibited excellent stability under radical desulfurization conditions[107]; additionally, it was fully compatible with the Ag-mediated thioester ligation method[108-109]. Furthermore, Trt(OH)-Kn was applied to the synthesis of BM2(1-51), the proton channel of the influenza virus BM2 protein. Initially, the C-terminal MeNbz-modified BM2(1-21) peptide was reacted with Trt(OH)-K5 in HFIP, successfully introducing the solubilizing tag. Subsequently, it was ligated with BM2(22-51) in aqueous solution via NCL. After radical desulfurization converted Cys22 into Ala22, the solubilizing tag was finally removed to obtain the target product. These studies demonstrated the broad application potential of Trt(OH)-Kn/Rn modified tags in peptide synthesis, providing an efficient and flexible method for synthesizing complex peptides and proteins.
图式8 Trt(OH)-Kn/Rn修饰标签用于合成 BM2(1-51)蛋白[104-106]

Scheme 8 Solubilizing Trt(OH)-Kn/Rn-tagging strategy for synthesis of BM2(1-51)[104-106]

In 2018, Yoshiya et al.[110] reported a novel hydroxylamine-based linker named Canaline (Can). This linker exhibited excellent stability under neutral conditions, while it could trigger specific self-cleavage in slightly acidic environments, enabling efficient removal from the peptide chain (<xref ref-type="fig" rid="S9">Scheme 9>). They applied this linker to the synthesis of the LC31 protein of Escherichia coli ribosomal subunits. Initially, the LC31 (Met1-Leu39) peptide with a MeNbz group at the C-terminus was obtained via SPPS. Subsequently, the Can linker was introduced to the side chain of Lys63 using Fmoc-Can (2-Cl-Trt), followed by conjugation with a Gly-Lys-Lys-Lys solubilizing tag to synthesize the LC31 (Cys40-Lys70) peptide. In the NCL reaction buffer at pH 7.2, the two fragments were successfully ligated. Then, treatment with NH4OAc buffer at pH 4.5 enabled mild removal of the solubilizing tag, ultimately yielding the target protein. The advantage of the Can linker lies in its ability to be directly incorporated into hydrophobic peptides using conventional SPPS techniques, offering a new strategy for the synthesis of hydrophobic proteins. However, the hydroxylamine moiety of the linker reacts with NaNO2 used in hydrazide ligation methods, limiting its application in such techniques. Additionally, the Can-containing peptide faces challenges under both radical and non-radical desulfurization conditions, which somewhat restricts the broader application of this linker in the synthesis of hydrophobic proteins.
图式9 通过Can连接体引入助溶标签以合成LC31蛋白[110]

Scheme 9 Introduction of solubilizing tag via Can linker for synthesis of LC31 protein[110]

In 2016, Kay et al.[111] reported a novel linker—4,4-dimethyl-2,6-dioxocyclohexyl diene-3-[2-(2-aminoethoxy)-ethoxy]-propyl (Ddae), and demonstrated its application in peptide synthesis (Scheme 10). This linker employs lysine protected with (4,4-dimethyl-2,6-dioxocyclohexyl diene)-ethyl (Dde) as a building block, which is incorporated into specific sites of peptides via SPPS. Subsequently, the Dde protecting group is selectively removed using hydrazine solution, followed by reaction with Fmoc-Ddae-OH to introduce the Ddae linker. The Ddae linker also exhibits high sensitivity to hydrazine, allowing its selective removal from the lysine side chain at later stages of synthesis using 1 M hydrazine solution. To demonstrate its utility, they applied it in the synthesis of the auxiliary chaperone L-/D-GroES. The GroES protein was divided into two fragments, GroES-N and GroES-C, where a Lys6 solubilizing tag linked via the Ddae linker was introduced at position Lys77 of GroES-C. The native structure of the product was ultimately obtained through NCL and radical desulfurization followed by treatment with hydrazine hydrate. Introduction of the Ddae linker simplified the synthesis process, improved synthetic efficiency, and reduced the number of protein purification steps. Subsequently, Kay et al.[112] further developed a next-generation linker N-Fmoc-2-(7-amino-1-hydroxyheptylidene)-5,5-dimethylcyclohexane-1,3-dione (Fmoc-Ddap-OH). This linker exhibits better stability compared to Ddae, and its removal can be significantly accelerated by hydroxylamine cleavage. However, the linker must be introduced through a lysine residue, which limits its potential application in the synthesis of hydrophobic proteins lacking lysine residues.
图式10 通过Ddae/Ddap连接体引入助溶标签以合成目标蛋白[111-112]: (A) Ddae连接体的引入策略;(B) 基于酰肼的自然化学连接合成GroES蛋白; (C) Ddap连接体的引入策略

Scheme 10 Introduction of solubilizing tag via Ddae/Ddap linker for synthesis of target proteins[111-112]. (A) Strategies for the introduction of Ddae linker to peptide fragments; (B) Hydrazine-based native chemical ligation for synthesis of GroES; (C) Strategies for the introduction of Ddap linker to peptide fragments

2.1.4 Reversible Modification Tag Recognized by Enzyme Specificity

In 2024, Zheng et al.[113] reported a reversible modification tag based on enzyme-specific recognition, designed to assist in the chemical synthesis of mirror-image hydrophobic proteins (Scheme 11). The core of this technology lies in utilizing a single L-Lys as a linker, introduced onto the side chains of D-Lys/D-Ser/D-Thr or the N-terminal α-amino group of D-peptides. The addition of (Lys/Arg)n solubilization tags significantly improves the solubility of hydrophobic sequences. The unique advantage of this system is its highly efficient and specific enzymatic cleavage mechanism; the L-Lys-linked modification tag can be precisely recognized and hydrolyzed by Lys-C protease. Even in the presence of strong denaturants or detergents (such as 40% acetonitrile, 7 mol/L urea, or 10% n-dodecyl-β-D-maltoside (DDM)), it enables the efficient removal of up to five modification tags in a single step. To validate the practicality of this technology, they applied it to the synthesis of the D-enantiomer of the programmed cell death protein 1 (PD-1) IgV domain and the D-enantiomer of the SARS-CoV-2 envelope (E) protein (termed DE protein). First, the DE protein was divided into two fragments for synthesis, and L-Lys-linked D-Lys10Gly2 tags were introduced at the N-terminus of the DE(1-39) peptide and at D-Ser55 of the DE(40-75) peptide. After obtaining the full-length DE protein containing the solubilization tags via NCL, Lys-C protease was added to a Tris buffer containing 7 mol/L urea and 10% DDM to successfully remove the solubilization tags. Finally, the folded DE protein was purified by dialysis and size-exclusion chromatography and characterized using MS and CD, confirming that it possessed the same secondary structure as the native L-E protein. Compared with traditional chemical cleavage methods, enzymatic hydrolysis is milder and more efficient, reducing the risk of structural damage to the protein. Additionally, Lys-C-cleavable modification tags can be easily installed at multiple sites and remain stable under reaction conditions such as peptide synthesis, ligation, desulfurization, and metal-mediated deprotection. However, this technology relies on the characteristics of the L-Lys linker and Lys-C protease, and thus is primarily suitable for the synthesis of D-proteins.
图式11 L-Lys连接的助溶标签用于合成DE蛋白[113]: (A) L-Lys连接的助溶标签的引入策略;(B) 基于酰肼的自然化学连接合成DE蛋白

Scheme 11 Chemical synthesis of DE protein via the L-Lys linked solubilizing tag[113]. (A) Strategies for the introduction of L-Lys linked solubilizing tag; (B) Hydrazine-based native chemical ligation for synthesis of DE protein

2.1.5 Special Modified Tags

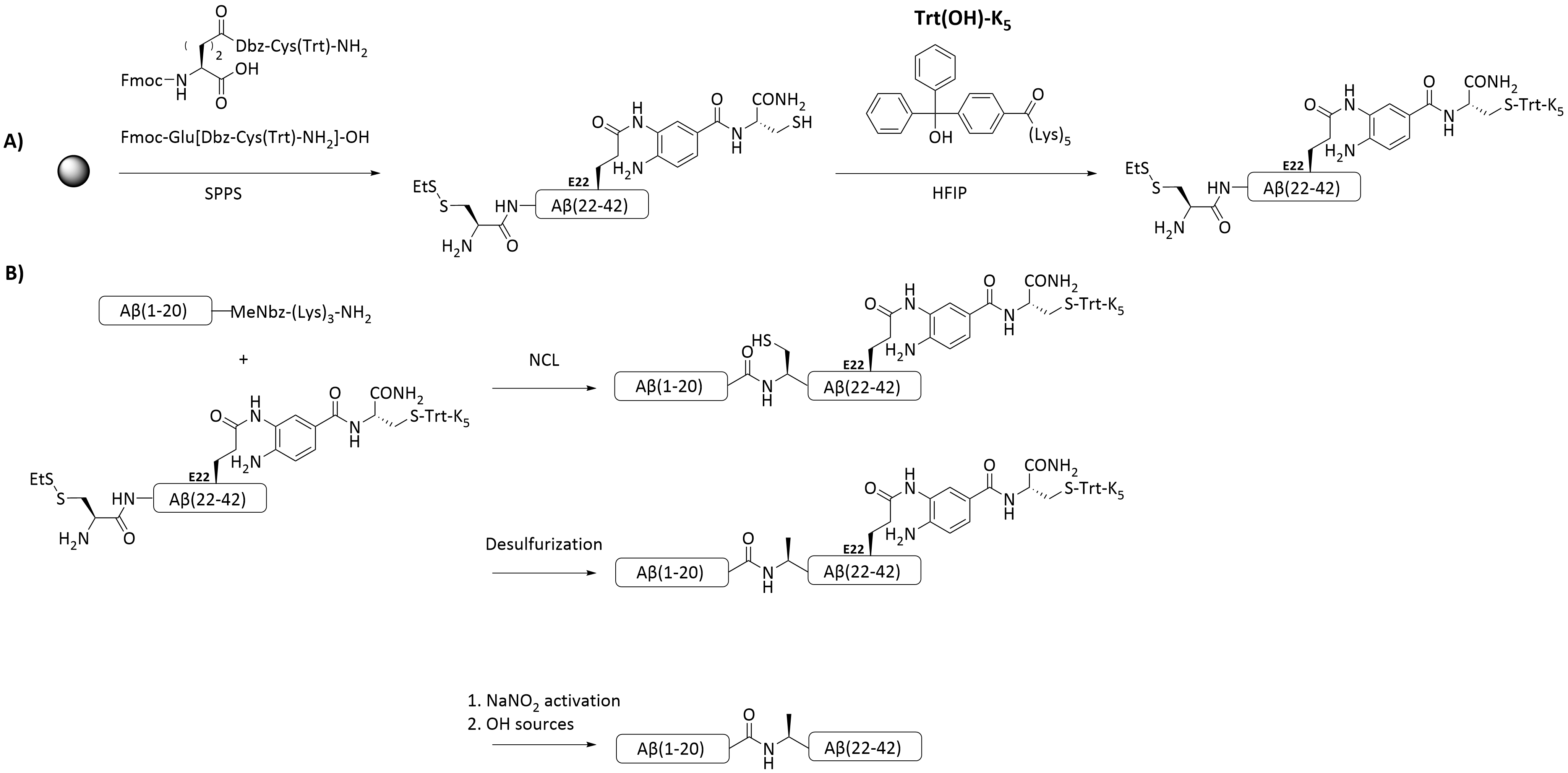
In 2019, Yoshiya et al.[114] developed a 3,4-diaminobenzoic acid (Dbz) linker for the synthesis of hydrophobic proteins containing Asp/Asn/Glu/Gln (collectively referred to as Asx/Glx) (Scheme 12). They first designed and synthesized Fmoc-Asp/Glu[Dbz-Cys(Trt)-NH2]-OH building modules, which were then precisely introduced into the target sequence via SPPS. Subsequently, the efficient conjugation of a solubilizing tag was achieved by leveraging the specific reaction between Trt(OH)-Kn and cysteine residues. To remove the solubilizing tag linked via Dbz, the researchers employed a two-step strategy: first, the Dbz group was activated into a benzotriazole derivative using NaNO2, followed by the addition of either a TCEP-containing buffer or an NH4OAc buffer, depending on the amino acid composition of the target product, to convert the amino acids into Asp/Glu or Asn/Gln. To validate the practicality of this strategy, they applied it to the synthesis of amyloid-ß protein Aß42. Specifically, Aß(1-20) and a peptide fragment of Cys21-Glu22[Dbz-Cys(Trt-K5)-NH2]-Aß(23-42) with Trt-K5 introduced at position Glu22 were first synthesized via SPPS. Then, high-purity target protein was obtained through NCL, radical desulfurization, and efficient removal of the solubilizing tag via Dbz activation and reduction.
图式12 通过Dbz连接体引入助溶标签合成Aβ42蛋白[114]: (A) Dbz连接体的引入策略;(B)自然化学连接合成Aβ42

Scheme 12 Introduction of solubilizing tag via Dbz linker for synthesis of Aβ42 protein[114]. (A) Strategies for the introduction of Dbz linker to Aβ42 segments; (B) Native chemical ligation for synthesis of Aβ42

This strategy expands the options for protein synthesis methodologies. However, because the introduction of the solubilizing tag relies on the specific reaction between Trt(OH)-Kn and cysteine, when the peptide contains multiple cysteine residues, the other cysteine residues must be simultaneously protected to avoid nonspecific modification.

2.2 Peptide Backbone Modification

2.2.1 Removable Backbone Modification (RBM)

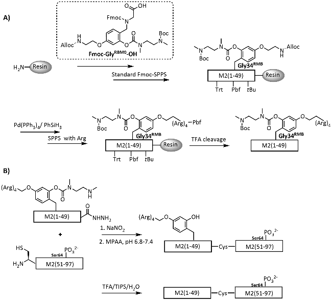
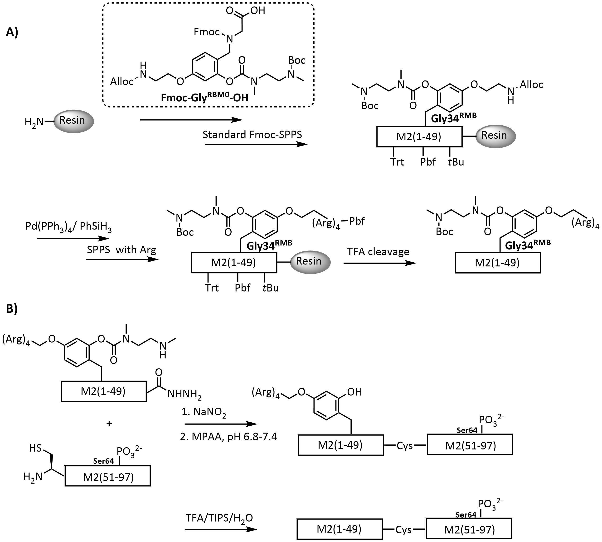
In 2014, Zheng et al.[54] proposed an innovative removable scaffold modification strategy for medium-sized and small membrane proteins with multiple transmembrane domains (Scheme 13). This strategy was inspired by the N-(2-hydroxy-4-methoxybenzyl) (Hmb) protecting group. When Hmb is directly linked to the peptide backbone, it can be cleaved under trifluoroacetic acid (TFA) conditions. However, acylation blocking of its 2-hydroxy group allows the Hmb group to remain stable in TFA[115-117]. Based on this principle, Zheng et al. introduced Boc-N-methyl-N-[2-(methylamino)ethyl]-carbamoyl as an RBM protecting group at the 2-hydroxy position of Hmb, constructing it onto the α-amino group of a Gly residue to form the Fmoc-GlyRBM0-OH building block. This building block can be site-specifically introduced into the target position during SPPS.
图式13 通过RBM策略合成Ser64-磷酸化的M2蛋白[54]: (A) Fmoc-GlyRBM0-OH的引入策略;(B) 基于酰肼的NCL合成Ser64-磷酸化的M2蛋白

Scheme 13 Chemical synthesis of Ser64-phosphorylated M2 via RBM[54]. (A) Strategies for the introduction of Fmoc-GlyRBM0-OH to peptide fragments; (B) Hydrazine-based NCL for synthesis of Ser64-phosphorylated M2

After the assembly of the polypeptide chain, the Alloc protecting group on the RBM moiety can be selectively removed to introduce a solubilizing tag. When removal of the RBM modification is required, the Boc-N-methyl-N-[2-(methylamino)ethyl]carbamoyl group can undergo spontaneous cleavage under neutral pH conditions via an intramolecular cyclization reaction, allowing the RBM bearing the solubilizing tag to be rapidly removed in a TFA/TIPS/H2O mixture. This strategy was validated in the synthesis of the fourth transmembrane domain of the signal peptide peptidase (SPP), where they found that incorporating four arginine residues into the RBM increased the solubility of a hydrophobic peptide by 100-fold. This significant solubilization effect is not only attributed to the solubilizing tag itself, but also results from the disruption of the secondary structure of the peptide caused by backbone modification, which effectively prevents solubility loss due to self-assembly and aggregation. Furthermore, this approach was applied to the synthesis of the wild-type and Ser64 phosphorylated forms of the M2 proton channel from the influenza A virus. They synthesized the M2 protein in two fragments, M2(1-49, Gly34RBM)-NHNH2 and M2(50-97)(Ser64/pSer64), which were then joined via hydrazide-based native chemical ligation under neutral pH conditions to form the full-length polypeptide. Under these conditions, the Boc-N-methyl-N-[2-(methylamino)ethyl]carbamoyl protecting group was also simultaneously removed. Subsequently, the RBM was removed using cleavage reagents to obtain the final product. The synthesized M2 protein was able to fold correctly in dipalmitoylphosphatidylcholine (DPPC) vesicles, as verified by CD spectroscopy. Additionally, single-channel current measurements further confirmed the biological activity of M2, showing that Ser64 phosphorylation had minimal effect on channel activity. The advantage of RBM backbone modification lies in its ability to significantly enhance the solubility of hydrophobic proteins, with the modification group being easily removable from the protein, which holds great significance for the synthesis and study of membrane proteins. However, the synthesis of Fmoc-GlyRBM0-OH is relatively complicated and yields are low, limiting its widespread application.
In 2016, Zheng et al.[118] developed a second-generation RBM to address the limitation of the first-generation RBM, which could only be used at glycine sites. This advancement enabled the introduction of RBM at all amino acid sites except proline, significantly enhancing the versatility of this technique (Scheme 14)[118-121]. The core of this technique involves the site-specific introduction of a 4-methoxy-5-nitrosalicylaldehyde molecule, which can be attached via reductive amination to the alpha-NH2 of specific amino acids during SPPS. Subsequently, after reacting with the next amino acid, an intramolecular O—N acyl transfer automatically occurs, forming the amide bond of the peptide backbone. Following the completion of amino acid addition to the peptide backbone, the nitro group in the RBM molecule is reduced to an amino group by SnCl2[122], providing a reactive site for subsequent attachment of solubilizing tags. To ensure stability during the TFA deprotection step, the phenolic hydroxyl group of the molecule needs to be acetylated. When removing the RBM, the acetylated RBM can undergo hydrolysis in a neutral aqueous solution containing Cys, followed by quantitative removal using a TFA mixture, releasing the target peptide segment. To verify the practicality of this method, they applied it to the synthesis of various membrane proteins, including the transmembrane domains of the type I membrane protein family mechanoprotein p24 and M2, site-specific 15N-labeled and wild-type hepatitis C virus (HCV) p7 ion channels, and the four-transmembrane-domain protein EmrE. In the same year, they successfully prepared milligram quantities of Aβ48 and Aβ49 using the second-generation RBM technique[123]. The advantage of second-generation RBM backbone modification lies in its ability to introduce tags through any amino acid residue, thereby overcoming the limitations of the first-generation technology.
图式14 通过第二代RBM策略合成P7[118-121]。(A)第二代RBM的引入策略;(B)基于酰肼的自然化学连接合成P7

Scheme 14 Chemical synthesis of P7 via new RBM strategy[118-121]. (A) Fmoc SPPS of the new RBM-containing peptides; (B) Chemical synthesis of P7 via new RBM strategy

However, this technique also faces challenges, as removing RBM requires either more acidic cleavage reagents or longer lysis times, which can lead to the formation of byproducts. Although they proposed removing the amino group in RBM through a two-step chemical reaction to achieve rapid removal of RBM in 2024[120], this approach still involves multiple chemical steps. Nevertheless, the development of second-generation RBM strategies has provided a more robust and flexible tool for the chemical synthesis of membrane proteins, advancing the field.
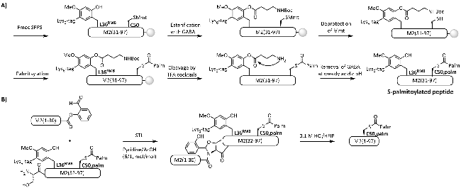
In 2019, Zheng et al.[125] developed an innovative third-generation RBMGABA strategy to address key challenges in the synthesis of S-palmitoylated membrane proteins. This technique replaces the acetyl protecting group of the second-generation RBM with a gamma-aminobutyric acid (GABA) group, leading to the development of a novel RBMGABA-assisted STL method for synthesizing S-palmitoylated membrane proteins (Scheme 15). The key feature of this strategy is the ability of the GABA group to undergo rapid self-cyclization under STL ligation conditions (pyridine/AcOH), thereby enabling the removal of the group. Using this approach, they successfully synthesized S-palmitoylated sarcolipin (SLN) and the M2 ion channel.
图式15 (A)通过RBMGABA策略合成S-棕榈酰化M2(31-97) [126];(B) RBMGABA-辅助的STL方法合成S-棕榈酰化的M2膜蛋白[126]

Scheme 15 (A) Synthesis of S-palmitoylated M2(31-97) by the RBMGABA strategy[126]; (B) chemical synthesis of Cys50-palmitoylated M2 by the RBMGABA-assisted STL method[126]

Taking the synthesis of S-palmitoylated M2 as an example, M2 was first divided into two fragments: M2(1-30)-SAL and M2(31-97, L36, RBMGABA, C50, palm). Subsequently, they utilized weak acidic conditions to remove the GABA at the 2-OH site, generating the M2(31-97, L36, RBM, C50, palm) fragment. This fragment was then ligated with M2(1-30)-SAL via STL to form an N,O-benzylidene acetal intermediate. Finally, the intermediate was treated with HCl/HFIP solution containing 1% TIPS, achieving the removal of the N,O-benzylidene acetal and the RBM tag, thereby successfully obtaining the target S-palmitoylated M2 protein. This work not only highlights the importance of non-NCL methods in chemical protein synthesis, but also provides a unique research tool for studying the role of S-palmitoylation in membrane protein function.
To further enrich the toolbox for protein synthesis, Zheng et al.[126] further applied RBMGABA to N-C sequential NCL-STL ligation for the preparation of S-palmitoylated M2 and S-palmitoylated interferon-induced transmembrane protein 3 (IFITM3). In 2023, they[127] proposed an innovative backbone installation of split intein-assisted ligation (BISIAL) strategy for peptide ligation. This strategy utilizes RBMGABA to install the natural Cfa split intein fragments L-CfaN and L-CfaC onto two separate peptide segments, enabling efficient NCL ligation at micromolar concentrations. They successfully applied this strategy to the preparation of the extracellular domain and ITIM domain of T cell immunoglobulin, as well as the D-enantiomer of tropomyosin receptor kinase C (TrkC). The BISIAL technique not only provides an effective approach for synthesizing challenging D-type protein targets, but also brings new ideas and strategies to the field of protein synthesis.

2.2.2 Skeleton Modification Based on N, S-Benzylidene Acetal Structure

In 2022, Li et al.[128] developed a chemical synthetic strategy termed "linker-enabled aggregation disruption" (LEAD) for the synthesis of proteins with aggregation-prone or colloidal peptide segments (Scheme 16). This strategy temporarily alters the secondary structure of insoluble peptides by generating N,O/S-benzylidene acetal five-membered rings via STL ligation or Cys/Pen ligation[65] (collectively referred to as STC ligation), thereby effectively disrupting peptide aggregation. After completion of protein synthesis, a simple TFA treatment restores the peptide backbone to an amide structure. The effectiveness of the LEAD strategy was verified through the synthesis of the C-terminal tail sequence of the PD-1 immunoglobulin-like V-type domain and the inhibitory leukocyte-associated Ig-like receptor-1 (LAIR-1). Furthermore, this strategy was successfully applied to the total synthesis of the PD-1 immunoglobulin-like V-type domain (PD-1-ID) and extracellular domain (PD-1-ED). During the synthesis of PD-1-ID, they divided PD-1-ID into four fragments and applied the LEAD strategy to address solubility and synthesis issues of certain fragments. Through one-pot STL and NCL ligations, followed by desulfurization and deprotection steps, the linear PD-1-ID was successfully synthesized and correctly folded under optimized refolding conditions. The advantage of the LEAD strategy lies in its lack of requirement for introducing modifications during the SPPS phase, instead being installed after chemical ligation points in the protein synthesis process, offering an effective new method for addressing aggregation issues in protein synthesis. The development of this strategy not only enhances the efficiency of protein synthesis but also provides new possibilities for synthesizing proteins with specific functions and structures.
图式16 (A) 基于Ser/Thr/Cys 连接的LEAD策略[128];(B) PD-1-ID各片段的合成;(C) 线型PD-1-ID的合成路径

Scheme 16 (A) Development of the LEAD strategy from STC ligation[128]; (B) synthetic scheme of PD-1-ID segments; (C) synthetic scheme of linear PD-1-ID

In 2023, Li et al.[129-130] further developed a tunable backbone modification (TBM) strategy, which was achieved by introducing Alloc-protected amino acid salicyl aldehyde esters (AA-SAL-Alloc) during SPPS, enabling the incorporation of N, S-benzylidene acetal intermediates (Scheme 17). The key feature of the TBM strategy lies in its tunability; acetylation protection of phenolic hydroxyl groups allows control over the stability of the intermediates during synthesis, thereby restoring the original amide structure of the peptide segments during subsequent TFA treatment. This strategy was applied to the synthesis of IL-2, a critical immunomodulator, whose hydrophobicity and highly aggregative nature make chemical synthesis particularly challenging[131]. Li et al. divided IL-2 into four fragments and, for the more hydrophobic fragments F3 and F4, significantly improved the synthesis efficiency and solubility of these fragments by introducing TBM modifications individually. Subsequently, a sequential NCL, desulfurization, STL reaction, and removal of the TBM ultimately yielded biologically active IL-2. The simplicity, efficiency, and compatibility of the TBM strategy with existing NCL and desulfurization conditions highlight its significant potential in the field of protein chemical synthesis. However, the requirement for individual synthesis of salicyl aldehyde ester derivatives corresponding to each amino acid limits the general applicability of the TBM strategy.
图式17 (A) TBM 策略;(B) F4片段合成方案;(C) 线型IL-2合成策略[129-130]

Scheme 17 (A) TBM strategy; (B) synthetic scheme of F4 segments; (C) synthetic scheme of linear IL-2[129-130]

2.2.3 Skeleton Modification Based on the 2-Methoxy-4-Methylsulfinylbenzyl Structure

In 2014, Albericio et al.[132] developed a backbone modification strategy introducing 2-methoxy-4-mesyloxobenzyl (Mmsb) as a side-chain amide protecting group in SPPS. The Mmsb group remains stable during Fmoc SPPS synthesis and TFA-mediated cleavage, and can be efficiently removed via an NH4I/TFA system, thereby releasing the target peptide. By synthesizing the building block Fmoc-N(Mmsb)-Ala-OH, the research team successfully applied this strategy to the synthesis of the model peptide H-(Ala)10-NH2, and further extended it to the synthesis of bioactive peptides Ac-(RADA)4-NH2 and Alzheimer's disease-related Aβ(1-42). The use of Mmsb not only improved peptide synthesis yields but also enhanced peptide solubility due to its ability to disrupt secondary structures, thereby simplifying the purification process. In addition, the incorporation of the Mmsb protecting group helps prevent the formation of byproducts such as aspartimide and diketopiperazine. However, integrating Mmsb at different amino acid positions requires prior synthesis of specific building blocks, which may increase the complexity of the synthetic strategy. Moreover, the steric hindrance of the Mmsb group may affect the coupling efficiency of certain amino acids.
图式18 Mmsb作为安全-捕捉型主链酰胺保护基用于合成Aβ(1-42) [132]

Scheme 18 2-Methoxy-4-methylsulfinylbenzyl based backbone amide safety catch protecting group for the synthesis of Aβ(1-42) [132]

3 Reversible Glycosylation Modification Strategy for Synthesis of Refractory Proteins

In the field of protein synthesis, the correct pairing of disulfide bonds is crucial for stabilizing the three-dimensional structure of proteins, yet it remains a significant challenge during the synthesis process. Although traditional protein folding strategies have achieved certain success in synthesizing proteins containing multiple disulfide bonds, these methods rely on multi-step oxidative folding reactions and complex protecting group strategies, resulting in lengthy and inefficient synthetic routes that severely limit the feasibility of large-scale production[133-137]. To overcome this limitation, researchers have developed various innovative solutions, including replacing cystine with diamino dicarboxylic acids[138-149], methods combining small molecules, ultraviolet light and palladium[150], and protein folding strategies assisted by the chaperonin GroEL/ES[151]. Despite these methods significantly improving protein folding efficiency, the folding yields remain unsatisfactory when dealing with certain disulfide-rich proteins such as hepcidin[152-153], and interleukin-5 (IL-5) cannot even fold correctly under in vitro conditions[154-155].
To address this technical challenge, Liu et al.[156] innovatively proposed removable glycosylation modification (RGM) (Scheme 19). The core of this strategy involves introducing β-N-acetylglucosamine (O-GlcNAc) groups at serine/threonine sites via solid-phase peptide synthesis (SPPS), utilizing the steric hindrance effect and hydrophilic characteristics of glycosylation modifications to guide efficient and correct three-dimensional folding of disulfide-rich proteins. Notably, these O-GlcNAc groups can be efficiently removed by O-acetylglucosaminidase (OGA) after protein folding, thereby significantly enhancing synthesis efficiency and product yield.
图式19 RGM策略用于富含二硫键蛋白质的正确折叠[156]

Scheme 19 RGM-assisted protein folding strategy for chemical synthesis of correctly folded disulfide-rich proteins[156]

In 2022, the RGM strategy was successfully applied to the synthesis of two important bioactive proteins, L-hepcidin and IL-5. Taking the synthesis of hepcidin as an example, they first synthesized the O-GlcNAc modified hepcidin peptide at the Ser17 position and the unmodified control peptide in one single step via SPPS (Scheme 20). The two peptides were then subjected to protein folding under conditions containing urea, EDTA, glutathione (GSH), oxidized glutathione (GSSG), and phosphate buffer. The results indicated that the glycosylated hepcidin peptide rapidly oxidized and folded during this process, forming a folded product with four disulfide bonds with a yield of 56%. In contrast, the unmodified hepcidin peptide exhibited lower folding efficiency under the same conditions and failed to form the correct disulfide bond structure. Through OGA treatment, the glycosylated folded hepcidin product was completely deglycosylated and converted into the target product within 6 h. Subsequent DQF-COSY, TOCSY, and NOESY two-dimensional NMR spectra confirmed the correct folding and proper pairing of the disulfide bonds in hepcidin. The RGM strategy is characterized by its simplicity, practicality, and cost-effectiveness. When applying the RGM strategy, the O-GlcNAc group should be introduced at a position on the protein loop or on the solvent-exposed surface of the protein to minimize potential interference with the protein structure.
图式20 RGM 辅助蛋白质折叠策略用于铁调素4的化学合成[156]

Scheme 20 RGM- assisted protein folding strategy for chemical synthesis of hepcidin 4[156]

In 2024, Zheng et al.[157] successfully extended the RGM strategy to the field of mirror-image protein synthesis (Scheme 21). Based on the validation of the D-hepcidin model, the team further synthesized two more challenging targets: the D-tumor necrosis factor alpha (D-TNF·) homotrimer and the receptor-binding domain of the D-Omicron spike protein (D-RBD). Taking the synthesis of D-TNF· as an example, they first successfully obtained the full-length D-TNF· with O-GlcNAc modification through fragment synthesis and NCL ligation. Subsequently, after oxidation and trimer assembly, the D-TNF· homotrimer was obtained. Finally, the protein was treated with the L-OGA enzyme to successfully remove the glycan and achieve the target product with high purity. Using the same synthetic pathway, they then successfully prepared the correctly folded D-RBD, which exhibited high-affinity binding to the L-peptide inhibitor L-covid3. These results highlight the practicality of the RGM strategy in facilitating the synthesis and folding of D-proteins, providing a simple and reliable approach for the efficient preparation of D-proteins. This strategy is expected to accelerate the broad application of D-proteins in cutting-edge fields such as mirror-image diagnostics and therapeutics, racemic protein crystallography analysis, and the construction of mirror-image life.
图式21 RGM 辅助蛋白质折叠策略用于D-TNFα的化学合成[157]

Scheme 21 RGM-assisted protein folding strategy for chemical synthesis of D-TNFα[157]

4 Conclusion and Prospect

Protein chemical synthesis, as a powerful tool for in vitro protein synthesis, plays a crucial role in biomedical research and drug development. It breaks through the limitations of traditional molecular biology, enabling scientists to customize structural modifications of protein molecules through meticulous design, thereby producing proteins that are difficult to express in vivo, such as membrane proteins[158], mirror-image proteins[159-160], and those containing unnatural amino acids or post-translational modifications[161-167]. Proteins synthesized chemically not only allow researchers to deeply investigate the biological activity and functions of proteins, but also provide strong support for disease treatment, vaccine development, drug screening, and structural biology research[168-169].
This review comprehensively summarizes recent advances in reversible chemical modification strategies for protein chemical synthesis, providing effective solutions for the synthesis of hydrophobic and difficult-to-refold proteins. By introducing reversible modification tags on the side chains or backbone of polypeptide chains, the synthesis efficiency and solubility of these challenging proteins are enhanced, while also promoting the correct folding of difficult-to-refold peptides after ligation. Moreover, these modifying groups can be removed post-synthesis, ensuring the biological activity and structural integrity of the target proteins.
Although reversible chemical modification strategies have achieved significant progress in the field of protein chemical synthesis, several challenges remain. For example, the synthesis of certain reversible modification tags is complicated and associated with low yields, limiting their widespread application. Moreover, many developed reversible tags lack universality and require cumbersome operations in practical applications. Additionally, the reagents used for removing some tags might be relatively harsh, increasing the risk of byproduct formation. Future research should focus on the following aspects: first, developing new reversible modification tags with improved yields and synthesis efficiency, and simplifying operational steps to enhance their applicability in practical applications. Second, designing tag removal processes that are mild yet efficient, to minimize byproduct formation and ensure high purity and biological activity of the target proteins. Furthermore, exploring and designing novel commercially viable reversible modification tags could enhance synthesis efficiency and scalability, thereby reducing costs and promoting the feasibility of protein chemical synthesis in industrial applications. Finally, utilizing chemically synthesized proteins as tools to deeply investigate protein functions and mechanisms of action, as well as explore the potential applications of D-proteins in mirror-image medicine, could provide new perspectives and strategies for disease treatment and drug development.
[1]
Huang Y C, Fang G M, Liu L. Natl. Sci. Rev., 2016, 3(1): 107.

[2]
Wu X W, Du Y X, Liang L J, Ding R C, Zhang T Y, Cai H Y, Tian X L, Pan M, Liu L. Nat. Commun., 2024, 15: 1266.

[3]
Tong Z B, Ai H S, Xu Z Y, He K Z, Chu G C, Shi Q, Deng Z H, Xue Q M, Sun M S, Du Y X, Liang L J, Li J B, Pan M, Liu L. Nat. Struct. Mol. Biol., 2024, 31(2): 300.

[4]
Ai H S, Tong Z B, Deng Z H, Tian J K, Zhang L Y, Sun M S, Du Y X, Xu Z Y, Shi Q, Liang L J, Zheng Q Y, Li J B, Pan M, Liu L. Chem, 2023, 9(5): 1221.

[5]
Kent S B H. Chem. Soc. Rev., 2009, 38(2): 338.

[6]
Merrifield R B. J. Am. Chem. Soc., 1963, 85(14): 2149.

[7]
Dawson P E, Muir T W, Clark-Lewis I, Kent S B H. Science, 1994, 266(5186): 776.

[8]
Agouridas V, El Mahdi O, Diemer V, Cargoët M, Monbaliu J M, Melnyk O. Chem. Rev., 2019, 119(12): 7328.

[9]
Fang G M, Li Y M, Shen F, Huang Y C, Li J B, Lin Y, Cui H K, Liu L. Angew. Chem. Int. Ed., 2011, 50(33): 7645.

[10]
Fang G M, Wang J X, Liu L. Angew. Chem. Int. Ed., 2012, 51(41): 10347.

[11]
Zheng J S, Tang S, Qi Y K, Wang Z P, Liu L. Nat. Protoc., 2013, 8(12): 2483.

[12]
Deng Z H, Ai H S, Sun M S, Tong Z B, Du Y X, Qu Q, Zhang L Y, Xu Z Y, Tao S X, Shi Q, Li J B, Pan M, Liu L. Mol. Cell, 2023, 83(17): 3080.

[13]
Shin Y, Winans K A, Backes B J, Kent S B H, Ellman J A, Bertozzi C R. J. Am. Chem. Soc., 1999, 121(50): 11684.

[14]
Zhao J, Liu X L, Liu J L, Ye F R, Wei B C, Deng M G, Li T H, Huang P, Wang P. J. Am. Chem. Soc., 2024, 146(4): 2615.

[15]
Ye F R, Zhao J, Xu P, Liu X L, Yu J, Shangguan W, Liu J Z, Luo X S, Li C, Ying T L, Wang J, Yu B, Wang P. Angew. Chem. Int. Ed., 2021, 60(23): 12904.

[16]
Bondalapati S, Jbara M, Brik A. Nat. Chem., 2016, 8(5): 407.

[17]
Li Y T, Yi C, Chen C C, Lan H, Pan M, Zhang S J, Huang Y C, Guan C J, Li Y M, Yu L, Liu L. Nat. Commun., 2017, 8: 14846.

[18]
Thompson R E, Liu X Y, Alonso-García N, Pereira P J B, Jolliffe K A, Payne R J. J. Am. Chem. Soc., 2014, 136(23): 8161.

[19]
Pan M, Gao S, Zheng Y, Tan X D, Lan H, Tan X L, Sun D M, Lu L N, Wang T, Zheng Q Y, Huang Y C, Wang J W, Liu L. J. Am. Chem. Soc., 2016, 138(23): 7429.

[20]
Gao S, Pan M, Zheng Y, Huang Y C, Zheng Q Y, Sun D M, Lu L N, Tan X D, Tan X L, Lan H, Wang J X, Wang T, Wang J W, Liu L. J. Am. Chem. Soc., 2016, 138(43): 14497.

[21]
Tang S, Liang L J, Si Y Y, Gao S, Wang J X, Liang J, Mei Z Q, Zheng J S, Liu L. Angew. Chem. Int. Ed., 2017, 56(43): 13333.

[22]
Marcaurelle L A, Mizoue L S, Wilken J, Oldham L, Kent S B H, Handel T M, Bertozzi C R. Chemistry, 2001, 7(5): 1129.

[23]
Warren J D, Miller J S, Keding S J, Danishefsky S J. J. Am. Chem. Soc., 2004, 126(21): 6576.

[24]
Ai H S, Peng S, Li J B. J. Pep. Sci., 2022, 28(5): e3381.

[25]
Yamamoto N, Tanabe Y, Okamoto R, Dawson P E, Kajihara Y. J. Am. Chem. Soc., 2008, 130(2): 501.

[26]
Ai H S, Sun M S, Liu A J, Sun Z X, Liu T T, Cao L, Liang L J, Qu Q, Li Z C, Deng Z H, Tong Z B, Chu G C, Tian X L, Deng H T, Zhao S W, Li J B, Lou Z Y, Liu L. Nat. Chem. Biol., 2022, 18(9): 972.

[27]
Pan M, Zheng Q Y, Wang T, Liang L J, Mao J X, Zuo C, Ding R C, Ai H S, Xie Y, Si D, Yu Y Y, Liu L, Zhao M L. Nature, 2021, 600(7888): 334.

[28]
Ai H S, Pan M, Liu L. ACS Cent. Sci., 2024, 10(8): 1442.

[29]
Chu G C, Liang L J, Zhao R, Guo Y Y, Li C T, Zuo C, Ai H S, Hua X, Li Z C, Li Y M, Liu L. CCS Chem., 2024, 6(8): 2031.

[30]
Liang L J, Chu G C, Qu Q, Zuo C, Mao J X, Zheng Q Y, Chen J N, Meng X B, Jing Y, Deng H T, Li Y M, Liu L. Angew. Chem. Int. Ed., 2021, 60(31): 17171.

[31]
Xu L, Fan J, Wang Y, Zhang Z P, Fu Y, Li Y M, Shi J. Chem. Commun., 2019, 55(49): 7109.

[32]
Zuo C, Shi W W, Chen X X, Glatz M, Riedl B, Flamme I, Pook E, Wang J W, Fang G M, Bierer D, Liu L. Sci. China Chem., 2019, 62(10): 1371.

[33]
Yeo D S Y, Srinivasan R, Uttamchandani M, Chen G Y J, Zhu Q, Yao S Q. Chem. Commun., 2003(23): 2870.

[34]
Chang H N, Liu B Y, Qi Y K, Zhou Y, Chen Y P, Pan K M, Li W W, Zhou X M, Ma W W, Fu C Y, Qi Y M, Liu L, Gao Y F. Angew. Chem. Int. Ed., 2015, 54(40): 11760.

[35]
Zhang L, Shen H, Gong Y Y, Pang X J, Yi M Q, Guo L, Li J, Arroyo S, Lu X, Ovchinnikov S, Cheng G, Liu X D, Jiang X, Feng S, Deng H T. Chem. Sci., 2019, 10(11): 3271.

[36]
Tam J P, Lu Y A, Yang J L, Chiu K W. Proc. Natl. Acad. Sci. U. S. A., 1999, 96(16): 8913.

[37]
Zhao R, Shi P, Wei X X, Xia Z M, Shi C W, Shi J. Org. Lett., 2023, 25(35): 6544.

[38]
Premdjee B, Andersen A S, Larance M, Conde-Frieboes K W, Payne R J. J. Am. Chem. Soc., 2021, 143(14): 5336.

[39]
Wang J X, Fang G M, He Y, Qu D L, Yu M, Hong Z Y, Liu L. Angew. Chem. Int. Ed., 2015, 54(7): 2194.

[40]
Levinson A M, McGee J H, Roberts A G, Creech G S, Wang T, Peterson M T, Hendrickson R C, Verdine G L, Danishefsky S J. J. Am. Chem. Soc., 2017, 139(22): 7632.

[41]
Bunker R D, Mandal K, Bashiri G, Chaston J J, Pentelute B L, Lott J S, Kent S B H, Baker E N. Proc. Natl. Acad. Sci. U. S. A., 2015, 112(14): 4310.

[42]
Mandal K, Uppalapati M, Ault-Riché D, Kenney J, Lowitz J, Sidhu S S, Kent S B H. Proc. Natl. Acad. Sci. U. S. A., 2012, 109(37): 14779.

[43]
Wang Z M, Xu W L, Liu L, Zhu T F. Nat. Chem., 2016, 8(7): 698.

[44]
Pech A, Achenbach J, Jahnz M, Schülzchen S, Jarosch F, Bordusa F, Klussmann S. Nucleic Acids Res., 2017, 45(7): 3997.

[45]
Jiang W J, Zhang B C, Fan C Y, Wang M, Wang J X, Deng Q, Liu X Y, Chen J, Zheng J S, Liu L, Zhu T F. Cell Discov., 2017, 3: 17037.

[46]
Zhou X M, Zuo C, Li W Q, Shi W W, Zhou X W, Wang H F, Chen S M, Du J F, Chen G Y, Zhai W J, Zhao W S, Wu Y H, Qi Y M, Liu L, Gao Y F. Angew. Chem. Int. Ed., 2020, 59(35): 15114.

[47]
Qi Y K, Zheng J S, Liu L. Chem., 2024, 10(8): 2390.

[48]
van de Langemheen H, van Hoeke M, Quarles van Ufford H C, Kruijtzer J A W, Liskamp R M J. Org. Biomol. Chem., 2014, 12(25): 4471.

[49]
Yim V V, Kavianinia I, Cameron A J, Harris P W R, Brimble M A. Org. Biomol. Chem., 2020, 18(15): 2838.

[50]
Chaudhuri D, Ganesan R, Vogelaar A, Dughbaj M A, Beringer P M, Camarero J A. J. Org. Chem., 2021, 86(21): 15242.

[51]
Wierzbicka M, Waliczek M, Dziadecka A, Stefanowicz P. J. Org. Chem., 2021, 86(17): 12292.

[52]
Camarero J A, Muir T W. Chem. Commun., 1997(15): 1369.

[53]
Tam J P, Lu Y A. Tetrahedron Lett., 1997, 38(32): 5599.

[54]
Zheng J S, Yu M, Qi Y K, Tang S, Shen F, Wang Z P, Xiao L, Zhang L H, Tian C L, Liu L. J. Am. Chem. Soc., 2014, 136(9): 3695.

[55]
Kochendoerfer G G, Salom D, Lear J D, Wilk-Orescan R, Kent S B H, DeGrado W F. Biochemistry, 1999, 38(37): 11905.

[56]
Bode J W. Acc. Chem. Res., 2017, 50(9): 2104.

[57]
Pusterla I, Bode J W. Nat. Chem., 2015, 7(8): 668.

[58]
Pusterla I, Bode J W. Angew. Chem. Int. Ed., 2012, 51(2): 513.

[59]
Zhang Y F, Xu C, Lam H Y, Lee C L, Li X C. Proc. Natl. Acad. Sci. U. S. A., 2013, 110(17): 6657.

[60]
Liu H, Li X C. Acc. Chem. Res., 2018, 51(7): 1643.

[61]
Wu H X, Zhang Y W, Li Y X, Xu J C, Wang Y, Li X C. J. Am. Chem. Soc., 2021, 143(20): 7808.

[62]
Li X C, Lam H Y, Zhang Y F, Chan C K. Org. Lett., 2010, 12(8): 1724.

[63]
Lee C L, Li X C. Curr. Opin. Chem. Biol., 2014, 22: 108.

[64]
Ma W, Wu H X, Liu S, Wei T Y, Li X D, Liu H, Li X C. Angew. Chem. Int. Ed., 2023, 135(1): e202214053.

[65]
Tan Y, Li J S, Jin K, Liu J M, Chen Z Y, Yang J, Li X C. Angew. Chem. Int. Ed., 2020, 59(31): 12741.

[66]
Mitchell N J, Malins L R, Liu X Y, Thompson R E, Chan B, Radom L, Payne R J. J. Am. Chem. Soc., 2015, 137(44): 14011.

[67]
Sayers J, Karpati P M T, Mitchell N J, Goldys A M, Kwong S M, Firth N, Chan B, Payne R J. J. Am. Chem. Soc., 2018, 140(41): 13327.

[68]
Chisholm T S, Kulkarni S S, Hossain K R, Cornelius F, Clarke R J, Payne R J. J. Am. Chem. Soc., 2020, 142(2): 1090.

[69]
Liu J, Chen Q Q, Rozovsky S. J. Am. Chem. Soc., 2017, 139(9): 3430.

[70]
Pishesha N, Ingram J R, Ploegh H L. Annu. Rev. Cell Dev. Biol., 2018, 34: 163.

[71]
Nguyen G K T, Wang S J, Qiu Y B, Hemu X Y, Lian Y L, Tam J P. Nat. Chem. Biol., 2014, 10(9): 732.

[72]
Thompson R E, Muir T W. Chem. Rev., 2020, 120(6): 3051.

[73]
Li Y M, Li Y T, Pan M, Kong X Q, Huang Y C, Hong Z Y, Liu L. Angew. Chem. Int. Ed., 2014, 53(8): 2198.

[74]
Tolbert T J, Wong C H. Angew. Chem. Int. Ed., 2002, 41(12): 2171.

[75]
Muir T W, Sondhi D, Cole P A. Proc. Natl. Acad. Sci. U. S. A., 1998, 95(12): 6705.

[76]
Adams A L, Cowper B, Morgan R E, Premdjee B, Caddick S, MacMillan D. Angew. Chem. Int. Ed., 2013, 52(49): 13062.

[77]
Paradís-Bas M, Tulla-Puche J, Albericio F. Chem. Soc. Rev., 2016, 45(3): 631.

[78]
Gluhacevic von Krüchten D, Roth M, Seitz O. J. Am. Chem. Soc., 2022, 144(24): 10700.

[79]
Gavins G C, Gröger K, Bartoschek M D, Wolf P, Beck-Sickinger A G, Bultmann S, Seitz O. Nat. Chem., 2021, 13(1): 15.

[80]
Sayers J, Payne R J, Winssinger N. Chem. Sci., 2018, 9(4): 896.

[81]
Dittmann M, Sauermann J, Seidel R, Zimmermann W, Engelhard M. J. Pept. Sci., 2010, 16(10): 558.

[82]
Dittmann M, Seidel R, Chizhov I, Engelhard M. J. Pept. Sci., 2014, 20(2): 137.

[83]
Shen F, Tang S, Liu L. Sci. China Chem., 2011, 54(1): 110.

[84]
Bianchi E, Ingenito R, Simon R J, Pessi A. J. Am. Chem. Soc., 1999, 121(33): 7698.

[85]
Kochendoerfer G G, Jones D H, Lee S, Oblatt-Montal M, Opella S J, Montal M. J. Am. Chem. Soc., 2004, 126(8): 2439.

[86]
Clayton D, Shapovalov G, Maurer J A, Dougherty D A, Lester H A, Kochendoerfer G G. Proc. Natl. Acad. Sci. U. S. A., 2004, 101(14): 4764.

[87]
Liu L-P, Deber C M. Biopolymers, 1998, 47(1): 41.

[88]
Paradís-Bas M, Tulla-Puche J, Albericio F. Org. Lett., 2015, 17(2): 294.

[89]
Tan Z P, Shang S Y, Danishefsky S J. Proc. Natl. Acad. Sci. U. S. A., 2011, 108(11): 4297.

[90]
Sato T, Saito Y, Aimoto S. J. Peptide Sci., 2005, 11(7): 410.

[91]
Johnson E C B, Kent S B H. Tetrahedron Lett., 2007, 48(10): 1795.

[92]
Harris P, Brimble M. Synthesis, 2009, 2009(20): 3460.

[93]
Harris P W R, Brimble M A. Pept. Sci., 2010, 94(4): 542.

[94]
Baumruck A C, Tietze D, Steinacker L K, Tietze A A. Chem. Sci., 2018, 9(8): 2365.

[95]
Johnson E C B, Malito E, Shen Y Q, Rich D, Tang W J, Kent S B H. J. Am. Chem. Soc., 2007, 129(37): 11480.

[96]
Liu J M, Wei T Y, Tan Y, Liu H, Li X C. Chem. Sci., 2022, 13(5): 1367.

[97]
Tanaka S, Narumi T, Mase N, Sato K. Chem. Pharm. Bull., 2022, 70(10): 707.

[98]
Linn K M, Derebe M G, Jiang Y X, Valiyaveetil F I. Biochemistry, 2010, 49(21): 4450.

[99]
Abboud S A, Cisse E H, Doudeau M, Bénédetti H, Aucagne V. Chem. Sci., 2021, 12(9): 3194.

[100]
Huang Y C, Li Y M, Chen Y, Pan M, Li Y T, Yu L, Guo Q X, Liu L. Angew. Chem. Int. Ed., 2013, 52(18): 4858.

[101]
Maity S K, Mann G, Jbara M, Laps S, Kamnesky G, Brik A. Org. Lett., 2016, 18(12): 3026.

[102]
Brailsford J A, Stockdill J L, Axelrod A J, Peterson M T, Vadola P A, Johnston E V, Danishefsky S J. Tetrahedron, 2018, 74(15): 1951.

[103]
Tsuda S, Mochizuki M, Ishiba H, Yoshizawa-Kumagaye K, Nishio H, Oishi S, Yoshiya T. Angew. Chem. Int. Ed., 2018, 57(8): 2105.

[104]
Tsuda S, Masuda S, Yoshiya T. Org. Biomol. Chem., 2019, 17(5): 1202.

[105]
Yoshiya T, Tsuda S, Masuda S. ChemBioChem, 2019, 20(15): 1906.

[106]
Masuda S, Tsuda S, Yoshiya T. Org. Biomol. Chem., 2019, 17(48): 10228.

[107]
Wan Q, Danishefsky S. Angew. Chem. Int. Ed., 2007, 46(48): 9248.

[108]
Hojo H, Aimoto S. Bull. Chem. Soc. Jpn., 1991, 64(1): 111.

[109]
Hojo H. Org. Biomol. Chem., 2016, 14(27): 6368.

[110]
Tsuda S, Nishio H, Yoshiya T. Chem. Commun., 2018, 54(64): 8861.

[111]
Jacobsen M T, Petersen M E, Ye X, Galibert M, Lorimer G H, Aucagne V, Kay M S. J. Am. Chem. Soc., 2016, 138(36): 11775.

[112]
Fulcher J M, Petersen M E, Giesler R J, Cruz Z S, Eckert D M, Francis J N, Kawamoto E M, Jacobsen M T, Kay M S. Org. Biomol. Chem., 2019, 17(48): 10237.

[113]
Zheng Y P, Zhang B C, Shi W W, Deng X Y, Wang T Y, Han D Y, Ren Y X, Yang Z Y, Zhou Y K, Kuang J, Wang Z W, Tang S, Zheng J S. Angew. Chem. Int. Ed., 2024, 63(14): e202318897.

[114]
Tsuda S, Masuda S, Yoshiya T. ChemBioChem, 2019, 20(16): 2063.

[115]
Johnson T, Quibell M, Owen D, Sheppard R C. J. Chem. Soc. Chem. Commun., 1993, (4): 369.

[116]
Quibell M, Turnell W G, Johnson T. J. Org. Chem., 1994, 59(7): 1745.

[117]
Qi Y K, Tang S, Huang Y C, Pan M, Zheng J S, Liu L. Org. Biomol. Chem., 2016, 14(18): 4194.

[118]
Zheng J S, He Y, Zuo C, Cai X Y, Tang S, Wang Z A, Zhang L H, Tian C L, Liu L. J. Am. Chem. Soc., 2016, 138(10): 3553.

[119]
Tang S, Zuo C, Huang D L, Cai X Y, Zhang L H, Tian C L, Zheng J S, Liu L. Nat. Protoc., 2017, 12(12): 2554.

[120]
Li Y, Wang L J, Zhou Y K, Liang J, Xiao B, Zheng J S. Chin. Chem. Lett., 2024, 35(5): 109033.

[121]
Huang D L, Guo W C, Shi W W, Gao Y P, Zhou Y K, Wang L J, Wang C, Tang S, Liu L, Zheng J S. Sci. Adv., 2024, 10(29): eado9413.

[122]
Hunter C L, Kochendoerfer G G. Bioconjugate Chem., 2004, 15(3): 437.

[123]
Zuo C, Tang S, Si Y Y, Wang Z A, Tian C L, Zheng J S. Org. Biomol. Chem., 2016, 14(22): 5012.

[124]
Jiang H, Zhang X Y, Chen X, Aramsangtienchai P, Tong Z, Lin H N. Chem. Rev., 2018, 118(3): 919.

[125]
Huang D L, Montigny C, Zheng Y, Beswick V, Li Y, Cao X X, Barbot T, Jaxel C, Liang J, Xue M, Tian C L, Jamin N, Zheng J S. Angew. Chem. Int. Ed., 2020, 59(13): 5178.

[126]
Huang D L, Li Y, Liang J, Yu L, Xue M, Cao X X, Xiao B, Tian C L, Liu L, Zheng J S. J. Am. Chem. Soc., 2020, 142(19): 8790.

[127]
Zhang B C, Zheng Y P, Chu G C, Deng X Y, Wang T Y, Shi W W, Zhou Y K, Tang S, Zheng J S, Liu L. Angew. Chem. Int. Ed., 2023, 62(33): e202306270.

[128]
Wu H X, Wei T Y, Ngai W L, Zhou H Y, Li X C. J. Am. Chem. Soc., 2022, 144(32): 14748.

[129]
Wu H X, Tan Y, Ngai W L, Li X C. Chem. Sci., 2023, 14(6): 1582.

[130]
Wu H X, Sun Z, Li X C. Angew. Chem. Int. Ed., 2023, 62(44):e202310624.

[131]
Boyman O, Sprent J. Nat. Rev. Immunol., 2012, 12(3): 180.

[132]
Paradís-Bas M, Tulla-Puche J, Albericio F. Chem., 2014, 20(46): 15031.

[133]
Dobson C M. Nature, 2003, 426(6968): 884.

[134]
Ottl J, Moroder L. J. Am. Chem. Soc., 1999, 121(4): 653.

[135]
Akaji K, Fujino K, Tatsumi T, Kiso Y. J. Am. Chem. Soc., 1993, 115(24): 11384.

[136]
He R J, Pan J, Mayer J P, Liu F. ChemBioChem, 2020, 21(8): 1101.

[137]
Szabó I, Schlosser G, Hudecz F, Mező G. Pept. Sci., 2007, 88(1): 20.

[138]
Guo Y, Sun D M, Wang F L, He Y, Liu L, Tian C L. Angew. Chem. Int. Ed., 2015, 54(48): 14276.

[139]
Qu Q, Gao S, Wu F M, Zhang M G, Li Y, Zhang L H, Bierer D, Tian C L, Zheng J S, Liu L. Angew. Chem. Int. Ed., 2020, 59(15): 6037.

[140]
Qi Y K, Qu Q, Bierer D, Liu L. Chem., 2020, 15(18): 2793.

[141]
Cui J B, Wei X X, Zhao R, Zhu H X, Shi J, Bierer D, Li Y M. Org. Biomol. Chem., 2021, 19(41): 9021.

[142]
Tang J H, Yuan R J, Luo J, Wang N, Wang J, Li Y M. Org. Lett., 2023, 25(16): 2939.

[143]
Sun S S, Chen J Y, Zhao R, Bierer D, Wang J, Fang G M, Li Y M. Tetrahedron Lett., 2019, 60(17): 1197.

[144]
Xu Y, Wang T, Guan C J, Li Y M, Liu L, Shi J, Bierer D. Tetrahedron Lett., 2017, 58(17): 1677.

[145]
Wang T, Fan J, Chen X X, Zhao R, Xu Y, Bierer D, Liu L, Li Y M, Shi J, Fang G M. Org. Lett., 2018, 20(19): 6074.

[146]
Liu C, Zou Y, Hu H G, Jiang Y Y, Qin L P. RSC Adv., 2019, 9(10): 5438.

[147]
Wang T, Kong Y F, Xu Y, Fan J, Xu H J, Bierer D, Wang J, Shi J, Li Y M. Tetrahedron Lett., 2017, 58(42): 3970.

[148]
Chen J Y, Sun S S, Zhao R, Xi C P, Qiu W J, Wang N, Wang Y, Bierer D, Shi J, Li Y M. ChemistrySelect, 2020, 5(4): 1359.

[149]
Huang D L, Bai J S, Wu M, Wang X, Riedl B, Pook E, Alt C, Erny M, Li Y M, Bierer D, Shi J, Fang G M. Chem. Commun., 2019, 55(19): 2821.

[150]
Laps S, Atamleh F, Kamnesky G, Sun H, Brik A. Nat. Commun., 2021, 12(1): 870.

[151]
Weinstock M T, Jacobsen M T, Kay M S. Proc. Natl. Acad. Sci. U. S. A., 2014, 111(32): 11679.

[152]
Girelli D, Nemeth E, Swinkels D W. Blood, 2016, 127(23): 2809.

[153]
Jordan J B, Poppe L, Haniu M, Arvedson T, Syed R, Li V, Kohno H, Kim H, Schnier P D, Harvey T S, Miranda L P, Cheetham J, Sasu B J. J. Biol. Chem., 2009, 284(36): 24155.

[154]
Proudfoot A I, Fattah D, Kawashima E H, Bernard A, Wingfield P T. Biochem. J., 1990, 270(2): 357.

[155]
Liu J R, Dong S W. Chin. Chemical Lett., 2018, 29(7): 1131.

[156]
Shi W W, Shi C W, Wang T Y, Li Y L, Zhou Y K, Zhang X H, Bierer D, Zheng J S, Liu L. J. Am. Chem. Soc., 2022, 144(1): 349.

[157]
Shi W W, Wang T Y, Yang Z Y, Ren Y X, Han D Y, Zheng Y P, Deng X Y, Tang S, Zheng J S. Angew. Chem. Int. Ed., 2024, 63(9): e202313640.

[158]
Olschewski D, Becker C F W. Mol. BioSyst., 2008, 4(7): 733.

[159]
Harrison K, MacKay A S, Kambanis L, Maxwell J W C, Payne R J. Nat. Rev. Chem., 2023, 7(6): 383.

[160]
Li Z C, Zhang B C, Zuo C, Liu L. Chin. J. Org. Chem., 2018, 38(9): 2412.

[161]
Conibear A C. Nat. Rev. Chem., 2020, 4(12): 674.

[162]
Wang Z P, Wang Y H, Chu G C, Shi J, Li Y M. Curr. Org. Synth., 2015, 12(2): 150.

[163]
Mezzato S, Schaffrath M, Unverzagt C. Angew. Chem. Int. Ed., 2005, 44(11): 1650.

[164]
Tan X L, Pan M, Zheng Y, Gao S, Liang L J, Li Y M. Chem. Sci., 2017, 8(10): 6881.

[165]
Pan M, Zheng Q Y, Ding S, Zhang L J, Qu Q, Wang T, Hong D N, Ren Y J, Liang L J, Chen C L, Mei Z Q, Liu L. Angew. Chem. Int. Ed., 2019, 58(9): 2627.

[166]
Chu G C, Pan M, Li J B, Liu S L, Zuo C, Tong Z B, Bai J S, Gong Q Y, Ai H S, Fan J, Meng X B, Huang Y C, Shi J, Deng H T, Tian C L, Li Y M, Liu L. J. Am. Chem. Soc., 2019, 141(8): 3654.

[167]
Ai H S, Guo Y, Sun D M, Liu S L, Qi Y K, Guo J, Qu Q, Gong Q Y, Zhao S W, Li J B, Liu L. ChemBioChem, 2019, 20(2): 221.

[168]
Dong S W, Zheng J S, Li Y M, Wang H, Chen G, Chen Y X, Fang G M, Guo J, He C M, Hu H G, Li X C, Li Y M, Li Z G, Pan M, Tang S, Tian C L, Wang P, Wu B, Wu C L, Zhao J F, Liu L. Sci. China Chem., 2024, 67(4): 1060.

[169]
Shi Q, Deng Z H, Zhang L Y, Tong Z B, Li J B, Chu G C, Ai H S, Liu L. Angew. Chem. Int. Ed., 2025, 64(1): e202413651.

Outlines

/