Home Journals Progress in Chemistry
Progress in Chemistry

Abbreviation (ISO4): Prog Chem      Editor in chief: Jincai ZHAO

About  /  Aim & scope  /  Editorial board  /  Indexed  /  Contact  / 
Review

Application of Polyurethane Materials in Bone Defect Repair

  • Weimo Han 1, 2 ,
  • Yahui Wang 1 ,
  • Yin Li 1 ,
  • Jianan Yan 1 ,
  • Zhiqin Li 1 ,
  • Di Huang , 1, 2, *
Expand
  • 1 Department of Biomedical Engineering,Research Center for Nano-biomaterials & Regenerative Medicine,Shanxi Key Laboratory of Functional Proteins,College of Artificial Intelligence,Taiyuan University of Technology,Taiyuan 030024,China
  • 2 Institute of Biomedical Engineering,Shanxi Key Laboratory of Materials Strength & Structural Impact,Taiyuan University of Technology,Taiyuan 030024,PR China

There authors contributed equally.

Received date: 2024-11-04

  Revised date: 2025-04-27

  Online published: 2025-07-30

Supported by

the National Natural Science Foundation of China(12272253)

the Natural Science Foundation of Shanxi Province,China(202203021212270)

Abstract

Bone defects caused by accidents or diseases are a common and serious problem in orthopedic surgery. Finding ideal bone repair materials has become a hotspot in current bone tissue engineering. Polyurethane (PU) is a multiblock copolymer with a microphase-separated structure formed by alternating soft and hard segments. Its application properties - such as mechanical performance,biocompatibility,and biodegradability-can be tailored by adjusting the soft segment structure,hard segment ratio,crystallinity,and other factors,demonstrating broad prospects in the field of bone defect repair. This paper reviews recent research on the design,synthesis,modification,and biological performance of PU in bone tissue engineering,with a focus on its application progress in bone regeneration,including implantable scaffolds,injectable materials,and drug carriers. The aim is to provide more insights for the future design and clinical application of PU materials.

Contents

1 Introduction

2 Development of polyurethane

3 Synthesis of polyurethane

3.1 Main raw material

3.2 Main reaction pathways

4 Structure of polyurethane

5 Properties of polyurethane

5.1 Mechanical properties

5.2 Biological activity

5.3 Biodegradation

5.4 Shape memory properties

6 Applications of polyurethane in bone defects repairing

6.1 Implanted scaffold

6.2 Injected polyurethane

6.3 Drug carrier

7 Conclusion and outlook

Cite this article

Weimo Han , Yahui Wang , Yin Li , Jianan Yan , Zhiqin Li , Di Huang . Application of Polyurethane Materials in Bone Defect Repair[J]. Progress in Chemistry, 2025 , 37(8) : 1188 -1203 . DOI: 10.7536/PC241103

1 Introduction

In recent years, the number of people worldwide suffering from bone defects due to natural disasters, traffic accidents, sports injuries, diseases, and other causes has increased year by year, making the repair and treatment of bone defects a significant clinical challenge[1-2]. Traditional bone repair materials mainly include autologous bone, allograft bone, xenograft bone, and decalcified bone matrix, but each has obvious limitations: autologous bone is limited in quantity and can cause donor-site injury; allograft and xenograft bones are prone to immune rejection; and decalcified bone matrix suffers from insufficient osteoinductivity and poor mechanical properties. These factors severely restrict the clinical efficacy of traditional bone repair materials[3-4].
Bone tissue engineering technology aims to design bone repair materials that closely match physiological requirements and assemble them into scaffolds, which serve as supporting structures for cell adhesion and mineralized matrix deposition. These scaffolds temporarily fulfill the role of the extracellular matrix (ECM) in tissue formation, thereby restoring (partially or completely) the natural regenerative capacity of bone tissue lost due to injury, significant defects, or diseases such as osteoporosis[5-6]. An ideal bone tissue engineering scaffold should possess a porous structure, pore size, porosity, and mechanical properties similar to or close to those of bone. At the same time, such materials should also exhibit good biocompatibility, bioactivity, degradability, and osteoinductivity[7-8]. Currently, novel bone repair materials mainly include metallic materials, bioceramics, and natural polymer materials[9-10]. Corrosion of metallic materials can alter their physicochemical properties, leading to loosening and damage of the implant, and elevated ion levels may cause potential toxic side effects on the body[11]; bioceramics have good osteoconductivity and biocompatibility, but their toughness and strength are difficult to meet the requirements of clinical applications; natural polymers have insufficient mechanical strength, excessively rapid degradation rates, unstable biological properties, and are difficult to obtain, making them unsuitable for use alone as scaffold materials for bone defect repair. With the rapid advancement of materials science, synthetic polymers have emerged on the stage of bone tissue engineering[12-13]. Polyurethane (PU), as a multifunctional polymer material with strong structural designability and highly tunable performance, can meet the preparation needs of tissue engineering scaffolds for different bone defect repairs and has now become one of the most promising functional materials for clinical application in the field of bone regeneration.
This article reviews the structural design, synthesis methods, performance characteristics, and applications of PU-based bone repair materials in bone tissue engineering, aiming to provide a reference for the design, development, and clinical translation of PU-based bone repair materials.

2 Development of Polyurethane

Polyurethane (PU), formally known as polyamino carbamate, is a class of polymer characterized by repeating urethane structural units (—NHCOO—) in its main chain. It is typically prepared through step-growth polymerization reactions involving polyisocyanates, oligomeric polyols, and polyols or aromatic diamines, forming a typical multi-block copolymer system. In 1937, Otto Bayer's team[14-15]successfully synthesized PU materials using diisocyanates and polyester diols. In 1944, they further developed linear molecular chain PU materials from hexamethylene diisocyanate (HDI) and 1,4-butanediol (BDO), which exhibited thermoplastic properties and spinnability. The resulting fiber products were named Perlon U, marking the first industrialized applications of PU in plastic injection molding and synthetic fibers (such as textiles and industrial ropes), signifying PU's transition from laboratory-scale research to large-scale production. As PU synthesis technology continued to mature, both the variety and production capacity of PU products significantly increased, gradually expanding their applications to numerous industrial fields, including automotive components, environmentally friendly coatings, footwear manufacturing, and green building materials[14-15]. By the 1960s, PU foam was first applied in the biomedical field as a bone gap filler and fixative. During the 1970s and 1980s, PU began to be used in artificial heart valves, artificial blood vessels, interventional catheters, wound dressings, medical adhesives, and bone repair materials (Figure 1)[16]. In recent years, to meet and address clinical needs, various PU materials have been successively researched and developed, particularly in the field of bone repair. In addition to traditional classifications such as thermosetting and thermoplastic PUs, PU foams, and PU elastomers, biodegradable PUs, bio-based PUs, and functionalized PU materials with properties like photoresponsiveness are also being studied and applied in the preparation of bone tissue engineering scaffolds[15-18].
图1 PU在生物医学领域的应用

Fig. 1 Application of PU in biomedicine field

3 Polyurethane Synthesis

3.1 Main preparation materials

The main raw materials for PU synthesis include polyisocyanates (hard segments), polyols and polyamines, which are low-molecular-weight compounds with active hydrogen at their ends (soft segments), as well as catalysts, chain extenders, and other additives[19]. The synthesis is primarily based on step-growth polymerization of isocyanates with polyols, forming a polymer backbone characterized by repeating units containing urethane structures (—NHCOO—). Common hard segment materials include isophorone diisocyanate (IPDI), hexamethylene diisocyanate (HDI), methylene diphenyl diisocyanate (MDI), toluene diisocyanate (TDI), dicyclohexylmethane diisocyanate (HMDI), and l-lysine diisocyanate (LDI); common soft segment materials include polylactic acid (PLA), polycaprolactone (PCL), polyethylene glycol (PEG), and polyetheramine (PEA) (Figure 2)[16,20]. By adjusting the chemical structure of the soft segments, the ratio of hard segments, and the type and amount of chain extenders and additives, it is possible to achieve targeted design of PU material properties (Table 1). In recent years, to enhance the biocompatibility and degradability of materials, bio-based polyols have been increasingly used in PU synthesis, such as rapeseed oil, palm oil, tannin, and sunflower oil[21-23]. Additionally, in the field of bone tissue engineering, researchers often incorporate functional nano-fillers (such as maltodextrin, cellulose, talc, and calcium carbonate) into PU matrices to optimize mechanical properties, biocompatibility, and osseointegration[24-26]. For example, Sanati's research team[27] successfully developed a three-dimensional porous rGO/PU conductive composite scaffold by combining reduced graphene oxide (rGO) nanomaterials with a PU matrix. This material not only exhibits excellent mechanical properties but also significantly promotes cell adhesion and bone tissue regeneration.
图2 PU常见软硬段结构[20]

Fig. 2 Common soft and hard segments of PU[20]

表1 骨修复用PU

Table 1 PU for bone repair

SS HS CE AD APP Ref
PCL MDI BDO HA/rGO bone
adhesive
28
PPG MDI Gl Bi2O3、Ta2O5、ZrO2 bone
replacement materials
29
PCL HDI H2O CAP Shape
memory scaffold
30
GCO IPDI BDO HA Implanted scaffold 31
β-CD HDI H2O HA Implanted scaffold 32
MAG、PEG IPDI - HA Implanted scaffold 33

SS:soft segment; HS:hard segment; CE:chain extender; AD:addition; APP:application; GCO:castor oil; β-CD:β-Cyclodextrin; MAG:monoacylglyceride; BDO:1,4-butanediol; CAP:calcium phosphate; HA:hydroxyapatite

3.2 Main reaction pathways

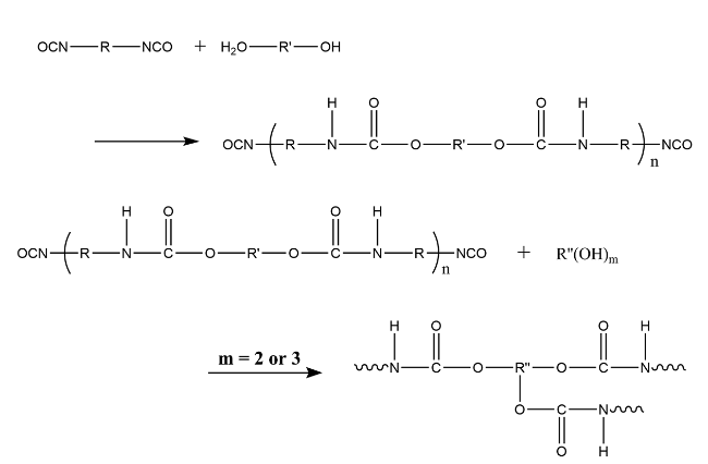
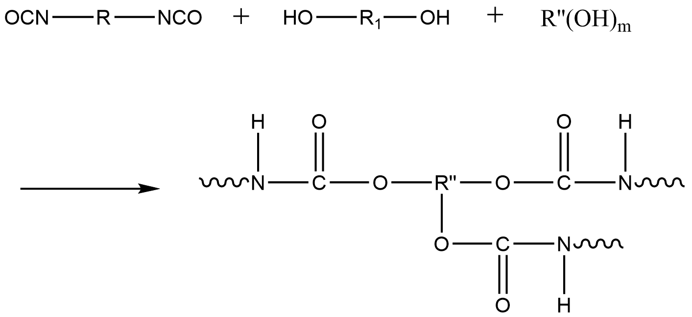
In addition to the raw material system, the synthesis process of PU also significantly affects the performance of its final product. Depending on the order in which reactants are added, the synthesis process of PU can be mainly divided into two methods: the one-shot method and the prepolymer method.
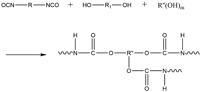
The one-step method is primarily used in the industrial production of PU foam plastics. After metered polyols, chain extenders, and catalysts are melted and uniformly mixed, they are blended with diisocyanates for a co-reaction to produce PU (Figure 3). The core feature of this process lies in the simultaneous occurrence of the polymerization reaction (addition of isocyanates to polyols) and the chain extension reaction (condensation of isocyanates with chain extenders). Due to the higher reactivity of chain extenders compared to oligomeric diols, the hard-segment formation reaction is intense and concentrated, easily leading to uneven distribution of hard-segment microdomains within the soft-segment matrix, resulting in locally over-dense physical cross-linking networks that affect the performance of PU products. This method features a simple process, short cycle time, and low production costs; however, the reaction is relatively difficult to control, and the product performance is somewhat inferior[34].
图3 一步法制备PU:(a) 制备流程;(b) 反应方程式

Fig. 3 One-step method for preparation PU. (a) Preparation process; (b) reaction equation

The two-step method, also known as the prepolymer method, involves a main reaction process divided into two steps: In the first step, a prepolymer is prepared by reacting polyols with an excess of diisocyanates to form a prepolymer system with active —NCO groups at the ends. This stage determines the chain structure of the soft segments and the chemical composition of the hard segments. In the second step, chain extension and shaping are carried out by introducing a low-molecular-weight chain extender, which reacts with the free diisocyanates in the prepolymer to form hard segments, while also chemically bridging the soft and hard segment structural units (Figure 4). The prepolymer stage provides sufficient reaction time for the low-reactivity polyols, ensuring orderly molecular chain growth; the chain extension stage promotes hydrogen bonding between strongly electronegative groups (such as urethane groups) in the hard segments, facilitating their distribution within the soft segment phase and resulting in a more uniform material structure. Although this process is complex, has a long production cycle, and higher costs, it offers milder reactions, easier processing, and controllable molecular structures, making it the preferred synthesis route for high-performance PU products[34].
图4 预聚体法制备PU:(a) 制备流程;(b) 反应方程式

Fig. 4 Prepolymer-step method for preparation PU. (a) preparation process; (b) reaction equation

4 Polyurethane structure

PU has shone brightly in bone repair materials, thanks to its unique molecular structure and highly tunable performance characteristics. The main chain of PU molecules consists of alternating flexible soft segments and rigid hard segments, forming a multi-level hydrogen bonding network through polar groups such as urethane, ether, ester, urethane-urea, urea, and biuret linkages. Due to the thermodynamic incompatibility between soft and hard segments, the material exhibits a microphase-separated structure: soft segments have lower melting points and glass transition temperatures, with their molecular chains adopting multiple random coil conformations, imparting excellent elasticity to the material; hard segments, on the other hand, have higher melting points and glass transition temperatures, forming microcrystalline or subcrystalline regions with high cohesive energy through strong intermolecular hydrogen bonding, significantly enhancing mechanical properties such as tensile strength, tear strength, and hardness of PU materials (Figure 5). By adjusting parameters such as the chemical composition of soft segments, the proportion of hard segments, and crystallinity, it is possible to precisely tailor the material's mechanical properties (strength, elastic modulus), surface characteristics (hydrophilicity/hydrophobicity), and biodegradability, potentially meeting the multifaceted requirements of bone repair materials for mechanical compatibility and biological functionality[35-37].
图5 PU结构示意图:(a) 用于骨修复地PU弹性体及其微相分离结构;(b) PU分子结构

Fig. 5 Structural representation of PU. (a) PU elastomer used for bone defect repair and its micro-phase structure; (b) molecular structure of PU

5 Polyurethane Properties

5.1 Mechanical Properties

Bone tissue structure mainly consists of three parts: bone substance, periosteum, and bone marrow. The bone substance is further divided into cancellous bone and compact bone. Cancellous bone is primarily located at both ends of the bone, characterized by a porous and loose structure with low density. Its longitudinal compressive strength ranges from 2 to 12 MPa, and its Young's modulus is approximately 20 GPa. Compact bone, on the other hand, is situated in the middle section of the bone, featuring a dense and hard structure, with compressive strength and Young's modulus of about 131–224 MPa and 17–20 GPa, respectively. Based on biomechanical compatibility requirements, the mechanical properties of artificial bone graft substitutes should match those of the replaced bone as closely as possible. In particular, the elastic modulus must be similar to that of natural bone to avoid stress shielding effects, while also possessing sufficient toughness[19]. The mechanical properties of PU materials are significantly influenced by the type, composition, structure, and characteristics of their soft and hard segments. The degree of microphase separation between different soft and hard segments can also lead to noticeable differences in material performance. By adjusting the ratio of soft and hard segments and the microphase structure of PU materials, their mechanical properties can be initially controlled, making them better suited for bone substitute applications. For instance, Fernández-d’Arlas et al.[38]used SSrubb(molecular weight 2020 g/mol) and SScryst(molecular weight 1980 g/mol) as soft segments, combined separately with two diisocyanate hard segments, HDI and IPDI, to prepare four PU materials with different structures and systematically studied their mechanical properties. The results showed that although crystalline soft segments are not conducive to hydrogen bond formation, they can more effectively regulate the arrangement of macromolecular chains. Consequently, PU materials synthesized from semi-crystalline soft segments and hard segments exhibited superior mechanical strength (Figures 6a–c). Pourmohammadi‑Mahunaki et al.[39]investigated the effects of varying chain extender length and molecular structure on the properties of PU materials, finding that increasing the phase separation of PU or enhancing hydrogen bonding between chain extenders and diisocyanates in the hard segment can significantly improve the material's mechanical performance. As the content of the hard segment increases, hydrogen bonding is strengthened, further enhancing the toughness of the PU (Figures 6d, e).
图6 软硬段结构对机械性能的影响:(a) PU链结构图[38];(b) 伸展时HSglass-SScryst和HScryst-SScryst分子链条重排模型[38];(c) 不同软段PU的应力应变曲线[38];(d) 不同扩链剂的PU分子结构示意图[39];(e) 扩链剂不同PU的应力应变曲线[39]

Fig. 6 The effect of hard and soft segment structure on mechanical properties. (a) sketches of polyurethane chain architecture[38];(b) model for molecular rearrangement of HSglass-SScryst and HScryst-SScryst chains upon stretching[38]; (c) sress-strains for PU involving in different soft segment[38]; (d) schematic of PU molecular structure using different chain extenders[39]; (e) sress-strains for PU involving in different chain extenders[39]

In addition to regulating the intrinsic structure of PU, material modification is also an important method for improving its mechanical properties, mainly including surface grafting, surface activation treatment, end-capping agent treatment, and nanocomposite techniques. Among these, nanocomposite technology is the most widely used for enhancing the mechanical performance of PU. Li et al.[40]incorporated nano-hydroxyapatite (HA) into a castor oil glyceride-based PU (GCO/PU) porous scaffold, increasing the compressive strength from 2.91 MPa to 4.34 MPa and raising the elastic modulus from 95 MPa to 165.36 MPa (Figure 7a, b). Moreover, the introduction of HA not only enhanced the mechanical properties of the PU scaffold but also effectively promoted cell adhesion, proliferation, and mineralization processes. Zhang et al.[41]successfully constructed a "trampoline"-structured GO/PU nanocomposite with adjustable interlayer spacing by controlling the modification sequence of graphene oxide (GO) during the preparation of the composite material (Figure 7c). The study showed that the tensile strength and Young's modulus of the original PU scaffold were 17 and 118.0 MPa, respectively; after GO modification, the mechanical properties of the material were significantly enhanced, with the tensile strengths of omG-SMC (large interlayer spacing) and imG-SMC (small interlayer spacing) increasing to 42.9 and 21.1 MPa, respectively, and their Young's moduli reaching 456.7 and 338.8 MPa, respectively. The long molecular chain interlayer modification also formed a uniform structure without stress concentration, and omG-SMC exhibited significantly superior mechanical performance compared to the original PU and imG-SMC (Figure 7d).
图7 PU与其他材料复合:(a) GCO/PU分子结构示意图[40];(b) 不同HA含量GCO/PU支架的抗压强度与弹性模量[40];(c) omG-SMC和imG-SMC的制备[41];(d) omG-SMC和imG-SMC的杨氏模量及断裂应力与应变[41]

Fig. 7 Composition of PU with other materials. (a) schematic of the molecular structure of GCO/PU[40]; (b) compressive strength of GCO/PU with HA in different contents[40]; (c) preparation of omG-SMC and imG-SMC[41]; (d) Young’s modulus,stress and strain of omG-SMC and imG-SMC[41]

5.2 biological activity

The development of bone repair materials began in the 1960s, with the core design concept being to match the physicochemical properties of the material to those of the tissue being replaced, while minimizing toxic reactions in the host. These materials are referred to as bioinert materials, and representative products include metallic materials such as titanium and titanium alloys, polymeric materials like polytetrafluoroethylene, and ceramic materials such as alumina. With a deeper understanding of bone regeneration mechanisms, contemporary research has shifted its focus toward a new generation of materials that possess both bioactivity and osteoinductive properties[42].Polyurethane (PU) materials, due to their tunable molecular structure and excellent processing performance, not only achieve ideal biocompatibility but can also enhance their osteogenic capabilities through strategies such as surface functionalization and loading with bioactive molecules, demonstrating significant clinical application potential.
HA has a chemical composition similar to human bone tissue and excellent osteoinductive properties, making it the most widely used biomaterial in the field of bone repair[43]. Chen et al.[44]developed a PEG/PCL/HA/PU scaffold with shape memory and biodegradability by using PCL and PEG as soft segments, HDI as hard segments, and incorporating HA filler. This scaffold not only exhibits good biocompatibility but also outperforms traditional PU materials in osteogenic performance (Figure 8); Alhamoudi[45]further confirmed through room-temperature and condensation methods that when the HA content is within the range of 40% to 60%, the composite material demonstrates optimal osteogenic performance. In addition to HA, calcium phosphate (TCP)[46]and chondroitin sulfate (CA)[47]are also commonly used as fillers to enhance the bioactivity of PU composites. Luo et al.[30]constructed a programmable PCL-based PU composite with shape memory effect by modifying amorphous TCP with citrate as a bioactive component. This system demonstrated excellent osseointegration ability in a rat cranial defect model, with typical osteoid tissue deposition observed at the implant interface. After implantation, these bioactive composites can induce specific biological responses at the material-tissue interface, achieving strong integration with host tissues.
图8 PEG/PCL/HA/PU支架的制备及其促成骨性能表征[44]:(a) PEG/PCL/HA/PU复合多孔支架的制备及原理;(b) 肌肉组织H&E和Masson染色图

Fig. 8 Preparation of PEG/PCL/HA/PU scaffolds and characterization of osteogenic properties[44]. (a) preparation and principle of PEG/PCL/HA/PU composite porous scaffold; (b) H&E and Masson staining pictures of muscle tissue

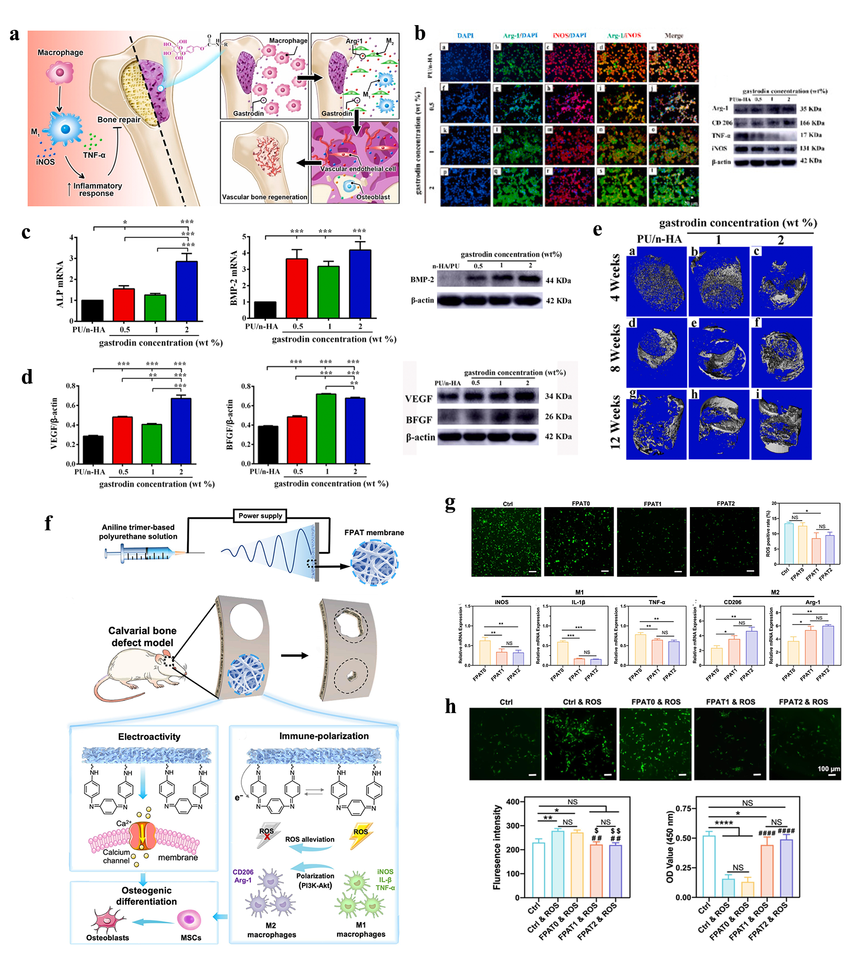
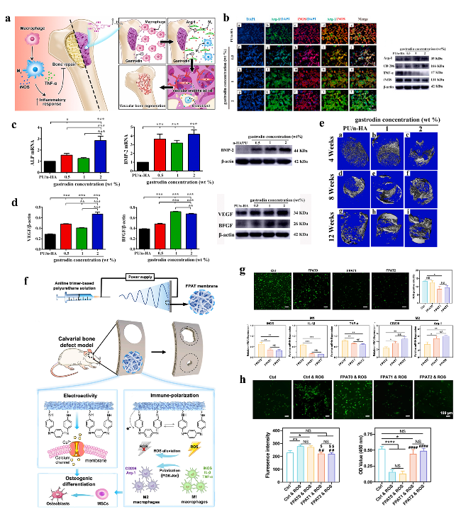
To further optimize the biological performance of bone repair materials, current approaches involve modifying materials through specific methods and techniques to enhance cellular responses, improve cell survival, and induce directed differentiation, thereby activating specific gene expression or using materials to elicit desired cellular reactions[42].Li et al.[48]prepared a novel biodegradable gastrodin-HA/PCL/PU composite material by incorporating gastrodin into HA/PU. This material promotes macrophage polarization toward the M2 phenotype, upregulates pro-regenerative cytokines (CD206, Arg-1), and downregulates pro-inflammatory factors (iNOS), while significantly enhancing the expression of osteogenic factors (BMP-2, ALP) and angiogenic factors in vascular endothelial cells (VEGF, BFGF). Experiments using rat subcutaneous implantation models and femoral condyle defect models demonstrated that this gastrodin-HA/PCL/PU material exhibits dual effects of promoting bone regeneration and angiogenesis (Fig. 9a~e).Tang et al.[49]fabricated an electroactive fibrous AT/PCL/PU (FPAT, where AT refers to aniline trimer) membrane via electrospinning technology. This material not only clears excess ROS, polarizing macrophages toward the M2 phenotype and optimizing the bone immune microenvironment, but also reduces intracellular ROS levels in mesenchymal stem cells (MSCs) and increases Ca2+ concentration, thereby promoting their proliferation and osteogenic differentiation (Fig. 9f~h).Ghimire et al.[50]integrated functionalized multi-walled carbon nanotubes (fMWCNTs), superparamagnetic iron oxide nanoparticles (SPIONs), and strontium oxide (SrO2) nanoparticles into a fibrous porous PU biomembrane, followed by chitosan (CS) modification, to create a highly conductive CS-PU/SPIONs/SrO2-fMWCNTs nanofiber scaffold. This scaffold significantly promotes the proliferation and osteogenic differentiation of MC3T3-E1 cells, upregulating the expression of key osteogenic markers such as ALP, ARS, COL-I, and RUNX2, and facilitating cell survival and osteogenic differentiation.
图9 功能化PU支架调控细胞应答反应并促成骨分化:(a) 天麻素-HA/PCL/PU复合支架及其工作机制[48];(b) 巨噬细胞Arg-1、iNOS和细胞核的免疫荧光染色及相关蛋白的表达[48];(c) rBMSCs ALP和BMP-2基因表达[48];(d) HUVECs血管生成基因BFGF和VEGF的表达[48];(e) 新骨的Micro-CT 3D图像[48];(f) FPAT膜制备及及其工作机制[49];(g) 巨噬细胞ROS阳性率、iNOS、IL-1β、TNF-α、和CD206、Arg-1基因表达[49];(h) H2O2孵育2 h后,FPAT膜上MSCs的荧光图像分析及细胞活力表征[49]

Fig. 9 Functionalized PU scaffolds regulate cellular response reactions and improve osteogenesis. (a) gastrodin-HA/PCL/PU composite and its working principle[48]; (b) immunofluorescence staining of Arg-1,iNOS and nuclei,and relevant gene expression in RAW 264.7 cells[48]; (c) osteogenic gene expression of ALP and BMP-2 in rBMSCs[48]; (d) angiogenic gene expression of BFGF and VEGF in HUVECs[48]; (e) micro-CT 3D images of new bones[48]; (f) preparation and working principle of FPAT membranes[49]; (g) Quantitative analysis of ROS positive rate,and gene expression of iNOS,IL-1β,TNF-α,and CD206,Arg-1[49]; (h) fluorescence images analysis of fluorescence intensity,and cell viability of MSCs on different membranes after incubating with H2O2 for 2 h[49]

5.3 Biodegradability

Biodegradability is a key parameter in the design of bone repair materials, with its core lying in achieving a dynamic balance between material degradation and tissue regeneration, thereby avoiding secondary surgical trauma[51].The degradation mechanisms of PU mainly include hydrolysis, enzymatic degradation, and oxidation, and its degradation rate is easily influenced by the surrounding chemical environment[15,52].Yuvarani et al.[53] studied the degradation behavior of pure CS, pure sodium alginate (SA), and their composite PU scaffolds in enzyme-containing PBS solution, and found that their degradation rate was positively correlated with treatment time and porosity. This is because higher porosity promotes water absorption and swelling of the material, accelerating hydrolysis and enzymatic degradation, ultimately leading to rapid structural breakdown.
In addition to the external chemical environment, the degradation performance of PU materials is closely related to their molecular structural characteristics, especially key parameters such as the chemical composition, ratio, and crosslinking density of soft and hard segments. Studies have shown that under physiological conditions, urethane groups degrade slowly, and the degradation of soft segments is the primary pathway for regulating the degradation behavior of PU materials[54].Song et al.[55]investigated the effect of PEG content on the degradation behavior of waterborne PU and found that enzymatic degradation exhibited a more significant advantage compared to hydrolysis. Moreover, as the PEG content increased, the hydrophilicity of the material significantly improved, effectively promoting the penetration and diffusion of water molecules into the polymer matrix, thereby enhancing the overall degradation rate of the material. This study demonstrated that the degradation performance of PU scaffolds can be regulated by adjusting the soft segment structure and the ratio of soft to hard segments. Based on this principle, researchers have developed various effective modification strategies: Khattab et al.[56]designed a PCL-PEG-PCL-based triblock PU copolymer, in which the hydrophilic PEG segments and low-molecular-weight PCL segments synergistically enhanced the hydrolytic and enzymatic degradation activities of the material; Nilawar et al.[57]regulated the PEG content in olive oil-based PU, obtaining scaffold materials with tunable degradation properties. Following the same principle, Shaabani et al.[58]constructed a PU material system using PCL and AT as soft segments. The polar groups abundant in the AT molecular structure can significantly enhance the hydrophilicity of the PU. As the AT component content increased, the degradation performance of the material improved.
The degradation behavior of the hard segments in PU materials is characterized by slowness and complexity, and the degradation products may pose potential biosafety risks. Therefore, the selection of isocyanate monomers is also an important aspect in the design of PU materials. Traditional aromatic isocyanates (such as MDI and TDI) used to prepare PU materials release carcinogenic and mutagenic aromatic amines during degradation, including harmful compounds like 2,4-diaminotoluene and 4,4'-methylene dianiline. In contrast, the degradation products of aliphatic diisocyanates (such as HDI, BDI, HMDI, IPDI, etc.) exhibit better biocompatibility[19]. In recent years, researchers have developed a new type of lysine-derived isocyanate (LDI), whose degradation products include safe and non-toxic components such as lysine, glycerol, ethanol, and CO2. Moreover, due to the degradable ester bonds and excellent biocompatibility of lysine, PU materials prepared from LDI demonstrate more ideal degradation performance both in vivo and in vitro[59-60]. Additionally, chain extenders are also an important factor influencing the degradation performance of PU. Wang et al.[60]prepared PDLLA/PU (PDLLA stands for racemic polylactic acid) using three different chain extenders—piperazine (PP), 1,4-butanediol (BDO), and 1,4-butanediamine (BDA)—designated as SPU-P, SPU-O, and SPU-A, respectively. The study found that the three materials share the same thermal degradation mechanism but differ in thermal stability, with SPU-O being the best, followed by SPU-P, and SPU-A being the weakest. However, in terms of hydrolytic degradation performance, both SPU-A and SPU-P showed better stability than SPU-O. Based on these findings, the research team further developed a series of PP-based PU materials with controllable degradation properties, based on the PP structure, for applications in bone repair scaffolds[61-64].
Filler composites are also a common approach to regulate the degradation performance of PU materials. In the study by Cetina-Diaz et al.[65], PU scaffolds prepared with ascorbic acid as a chain extender exhibited superior degradation performance compared to those using glutamine, and the introduction of HA further promoted material degradation. The research by Mendonça et al.[66] also confirmed that HA as a filler could significantly improve the hydrophilicity of PU materials, thereby enhancing their degradation performance. Similarly, Amiryaghoubi et al.[67] incorporated CS into PCL-based PU, which also improved its biodegradability by enhancing hydrophilicity. Additionally, Bagheri et al.[68] pointed out that introducing GO into the PU matrix not only increased the material's hydrophilicity but also created microchannels due to its unique flaky structure, facilitating water molecule penetration into the scaffold interior and accelerating the PU degradation process. These studies indicate that selecting appropriate chain extender types, adding functional fillers, or implementing chemical modifications can all serve as effective strategies for regulating the degradation behavior of PU materials.

5.4 Shape memory performance

With the development of tissue engineering technology, novel biomaterials with intelligent responsive properties have increasingly become a research hotspot. Shape memory polymers (SMPs) are a class of smart materials capable of storing a fixed shape (permanent shape) and, upon stimulation from external environmental factors (such as heat, light, magnetism, electricity, etc.), recovering from a temporary shape back to their permanent shape[69-70]. As bone repair materials, SMPs not only enable minimally invasive implantation of bone scaffolds but also allow for more precise morphological matching between the implant and the bone defect site[6,71-72]. Polyurethane (PU) materials are an important type of SMP, and their unique shape memory effect originates from the physical interactions between soft and hard segments in their multi-block molecular structure (including chain entanglement, van der Waals forces, microcrystals and glassy states, hydrogen bonds, and cross-linked networks). Precisely controlling the composition and content of soft and hard segments is a crucial factor determining the shape memory behavior of shape memory polyurethanes (SMPUs).
The PU hard segment acts as the fixed phase, restricting the mutual sliding of molecular chains during deformation through hydrogen bonding, dipole-dipole interactions, glassy state, or physical cross-linking, thereby maintaining the material's fixed shape. Introducing an appropriate amount of hard segment can significantly enhance the shape recovery ability and mechanical properties of PU materials[73]. When the hard segment content is below 25%, weak interactions result in insufficient physical cross-linking density, making it difficult for the material to exhibit an effective shape memory effect. When the hard segment content increases to 30%~45%, the material can achieve a shape recovery rate of 80%~95%. However, when the hard segment content exceeds 50%, the excessively high physical cross-linking density leads to an overly rigid molecular structure, completely eliminating the shape recovery capability[74]. Additionally, chain extenders, which are an important component of the hard segment, also have a significant impact on the shape memory performance of the material due to their type and dosage. Kalajahi et al.[75]systematically investigated the effects of chain extenders with different carbon chain lengths on the properties of PCL-based PU. They compared ethylenediamine, 1,4-diaminobutane, 1,6-diaminohexane, and piperazine as chain extenders and found that as the chain extender length increased from ethylenediamine to 1,6-diaminohexane, the thermodynamic compatibility between the hard and soft segments improved. Although this enhanced compatibility improved intermolecular interactions, it also led to a decline in the material's mechanical properties, resulting in a certain degree of reduction in both shape fixation and shape recovery abilities. In contrast to aliphatic chain extenders, using rigid cyclic aliphatic piperazine as a chain extender significantly reduced the compatibility between the PU hard and soft segments due to its unique molecular configuration. This increased incompatibility, however, favored phase separation of the hard segment microdomains, thereby enhancing the material's mechanical strength and significantly improving its shape memory performance. The PU soft segment, acting as the active phase, responds to external stress by expanding its molecular weight. When the temperature decreases, the soft segment crystallizes and fixes the temporary shape; when the temperature rises, entropy elasticity drives the molecular chains to retract, achieving shape recovery[76-77]. Studies have shown that the molecular structure and arrangement of the soft segment significantly influence the shape memory behavior of PU materials: increasing the length of the soft segment promotes crystallization and enhances both glassy and rubbery moduli; increasing the concentration of the soft segment raises the glassy modulus while lowering the rubbery modulus. This modulus regulation mechanism directly affects the shape memory performance: a higher glassy modulus favors shape fixation, whereas increasing the soft segment concentration enhances shape recovery ability and reduces hysteresis[76].
In addition, modification and compounding can effectively regulate the shape memory performance of PU. Zhang et al.[78]incorporated HA/rGO nanofillers into a shape memory PU matrix and surface-modified it with arginyl-glycyl-aspartic acid (RGD). The resulting SMPU scaffold exhibited excellent shape memory performance, with shape fixation and shape recovery rates reaching 97.3% and 98.2%, respectively. Yu et al.[79]introduced HA particles into a porous shape memory PU scaffold, resulting in a 37% increase in compressive strength, a 41% reduction in compression recovery time, and a 78% decrease in tensile resistance, while the shape recovery rate reached as high as 99%.
The shape memory behavior of PU materials can be regulated through methods such as adjusting the molecular weight of the soft segments, controlling the proportion of hard segments, and modifying composites. This characteristic gives PU materials significant advantages in the research and application of various deformable medical implants. Zhang et al.[78]constructed a matrix using PCL/MDI, filled it with HA, and modified its surface with RGD, thereby developing a programmable PU bone screw material that effectively addresses the technical bottlenecks of traditional bone defect fixation products in terms of mechanical properties, bioactivity, and internal fixation capabilities (Figure 10a); Yuan et al.[80]developed a biodegradable PU with shape memory effect based on the PPDO-PLC/HDI system (PPDO is poly(p-dioxanone), and PLC is polymerized from ε-caprolactone and L-lactide). By adjusting the molecular-level structure, this material achieves an optimal balance among shape memory performance, mechanical properties, degradation rate, and bioactivity. Porous scaffolds or bone screws fabricated via 3D printing exhibit excellent personalized adaptability (Figure 10b); Xu et al.[81]compounded star-shaped POSS-PLA with PEG-based PU prepolymers (POSS-PLA is a covalently bonded compound of polyhedral oligomeric silsesquioxane POSS and PLA) and incorporated 60% HA filler, successfully developing a PU scaffold material that combines high strength, biodegradability, excellent bioactivity, and outstanding shape memory performance, providing new insights for the design of next-generation synthetic bone grafts (Figure 10c).
图10 形状记忆生物智能材料:(a) 形状记忆PU骨螺钉的合成及工作原理[78];(b) 3D打印形状记忆可生物降解PU用于多孔支架或骨螺钉制备[80];(c) 具有星型结构PU的制备及其形状记忆特性、拉伸性、可降解性、生物相容性、多孔结构及其成骨性能[81]

Fig. 10 Shape memory smart material. (a) preparing and working principle of shape memory PU bone screw[78]; (b) synthetic approach of full-biodegradable shape memory PU for the preparation of porous scaffold and bone screw[80]; (c) preparing of star-branched PU and its stretchability,degradation,cytocompatibility,porous structure and osteogenesis[81]

6 Application of Polyurethane in Bone Repair

6.1 Stent implantation

The construction of tissue-engineered bone primarily involves three key elements: scaffold materials, seed cells, and growth factors. As a core component of tissue-engineered bone, scaffold materials provide the necessary microenvironment and microstructure for cell adhesion, growth, and metabolism. Bone tissue scaffold materials should possess the following characteristics: interconnected pore structure, appropriate pore size, excellent biocompatibility, and mechanical properties that meet the required standards. Due to its outstanding comprehensive performance, PU material has become one of the most promising materials in the research of tissue-engineered bone scaffolds. Researchers often prepare PU bone scaffolds using soft segments such as castor oil (GCO), glycerol, or PCL. To further enhance the osteogenic activity of PU materials, techniques such as surface modification and functionalization are employed to optimize material performance, promoting cell adhesion, proliferation, and directed differentiation, thereby improving the scaffold's osteoconductivity and osteoinductivity, ultimately achieving functional design of bone tissue engineering scaffolds[67,82-84]. Ghorai et al.[85]used an in-situ method to introduce nano-hydroxyapatite (nHA) and carboxyl-functionalized multi-walled carbon nanotubes (CCNT) into a PU-urea (SP) matrix, successfully fabricating a nano-composite scaffold SP/CCNTH with a microporous structure via electrospinning. The results showed that the introduction of nHA and CCNT significantly improved the mechanical properties of the material, with tensile strength and hardness increasing by 94.5% and 173.6%, respectively, compared to pure SP scaffolds. More importantly, in vitro experiments confirmed that this composite scaffold exhibited excellent bone regeneration capability, with osteogenic performance significantly superior to that of unmodified SP scaffold materials; Shrestha et al.[86]incorporated corn protein, CS, and functionalized multi-walled carbon nanotubes (fMWCNTs) into PU to develop a high-performance bone repair material. This composite system demonstrated a significant synergistic effect among its components, effectively enhancing the mechanical properties, hydrophilicity, and antibacterial characteristics of the PU scaffold. Additionally, by mimicking the natural bone cell microenvironment, this material not only facilitated rapid intercellular signaling but also significantly enhanced the adhesion, proliferation, and differentiation capabilities of bone cells, exhibiting outstanding osteogenic activity; Zhao et al.[87]successfully constructed a self-activating phosphorus-rich system by loading intestinal alkaline phosphatase (IALP) onto a PU fiber matrix through calcium phosphate chelation, which can regulate mineralization, promote early osteogenic differentiation and angiogenesis, and achieve efficient repair of bone defects. Notably, this system not only accelerates bone tissue regeneration but also exhibits sustained and stable long-term therapeutic effects; Shaabani et al.[58]developed a multifunctional PU-AT scaffold material with temperature-responsive properties, using AT as a functional unit. Under human physiological temperature conditions, this material can simultaneously achieve shape memory and self-healing functions. Its inherent conductive properties not only effectively promote the adhesion, proliferation, and directed differentiation of osteoblasts but also significantly enhance bone matrix mineralization. This design concept, which perfectly combines intelligent responsiveness with bioactivity, ensures both operational adaptability during minimally invasive implantation and long-term repair effectiveness after implantation.
In recent years, 3D printing technology has been increasingly applied in the medical field. Its unique capabilities of personalized customization, precise designability, and efficient fabrication have brought revolutionary breakthroughs to biomedical engineering[88]. In the field of bone tissue engineering, 3D bioprinting technology demonstrates significant advantages over traditional fabrication methods: complex biomimetic structures can be precisely constructed using computer-aided design (CAD) systems, while finite element analysis (FEA) technology is employed to simulate and optimize the mechanical properties of scaffolds, ensuring that the fabricated scaffolds closely mimic the microstructural and macroscopic mechanical characteristics of natural bone tissue[89]. Li et al.[26]used GCO, PCL, and HDI as raw materials, employing fused deposition modeling (FDM) 3D printing to create a PU scaffold with excellent shape-memory performance. They further functionalized the scaffold surface with polyvinylidene fluoride (PVDF), successfully developing an intelligent composite scaffold integrating both shape-memory properties and piezoelectric effects (Figure 11a). This scaffold not only enables minimally invasive implantation through its shape-memory function but also leverages its shape-memory behavior to mechanically stimulate the PVDF layer, inducing piezoelectric charge generation. This allows for self-powered electrical stimulation during the early postoperative period when patient mobility is limited, thereby promoting bone tissue regeneration and repair (Figures 11b and c). Zhang et al.[90]employed low-temperature rapid prototyping (LT-RP) 3D printing technology, using thermoresponsive SMPU as the matrix and photothermal-bioactive Mg as the functional component to fabricate a highly porous, near-infrared (NIR)-responsive SMPU/Mg composite scaffold. This scaffold, produced via low-temperature printing, precisely matches the morphology of bone defects, maintaining excellent mechanical properties while simultaneously exhibiting low-temperature shape-memory effects and Mg-induced osteogenic differentiation capability (Figures 11d–f). It effectively addresses key issues associated with traditional shape-memory implants, such as low porosity, high response temperature, insufficient mechanical performance, and inadequate bioactivity, providing an intelligent solution for bone repair.
图11 3D打印PU支架:(a) 3D打印原位自供电支架的制备及工作机理[90];(b) 复合支架在连续机械冲击下的电压输出[90];(c) 重建大鼠颅骨三维显微ct图及再生骨的骨体积分数(BV/TV)和骨矿物质密度(BMD)值,AF和RF为排列整齐与无序排列的PVDF纳米纤维,SP为SMPU[90];(d) 3D打印形状记忆Mg/PU支架及其工作原理[91];(e) 重建缺损骨三维显微ct图[91];(f) BMD、BV/TV、小梁数、小梁间距和小梁厚度变化[91]

Fig. 11 3D-printed PU scaffold. (a) Preparation and working principle of 3D printed in-situ self-powered scaffold[90]; (b) the voltage output of composite scafolds under continuous mechanical impact[90]; (c) reconstructed three-dimensional micro-CT images of the rat skull and variation of BV/TV and BMD,AF and RF mean the PVDF nanofbers with aligned and random fibers respectively,SP means SMPU[90]; (d) 3D printed shape memory Mg/PU scaffold and its working principle[91]; (e) reconstructed three-dimensional micro-CT images of defective bones[91]; (f) variation of BMD,BV/TV,trabecular number,trabecular separation and trabecular thickness[91]

6.2 Injectable PU

Traditional bone grafting surgery is typically used to repair large bone defects, but it still has obvious limitations in addressing postoperative bone loss, slow trauma healing, and extensive bone injuries. Injectable bone repair materials, with their excellent fluidity and rapid in-situ curing ability, can precisely fill bone defect sites through minimally invasive procedures and continuously release active components such as growth factors after curing, thereby promoting cell proliferation and bone tissue regeneration. As bone gap fillers or bone adhesives, these materials demonstrate advantages such as minimal trauma, simple operation, fewer complications, and reduced patient discomfort in clinical applications like complex fractures, bone defect repair, and implant fixation, making them highly regarded in both research and clinical practice in the field of bone repair[35]. Liu et al.[91]successfully developed a porous two-component PU bone adhesive by grafting dopamine (DA) onto GCO, and achieved controllable design of the adhesive's appearance, morphology, and open porosity through material formulation adjustments. This material incorporates two functional components: HA significantly enhances the mechanical properties and osteogenic activity of the material, while DA modification ensures excellent bonding strength even in moist environments. Additionally, the adhesive can form a Ca2+-enriched zone at the bonding interface, further enhancing its ability to promote bone tissue regeneration. Building on the research of DA-modified GCO-based PU, Li et al.[92]introduced disulfide bonds and successfully developed a biodegradable PU-DACCO-HA bone adhesive with both wet adhesion and biodegradability. Through metal-polyphenol chelation and multiple chemical interactions between catechol-quinone groups and amine groups, this material exhibited outstanding wet adhesion performance in both in vitro and in vivo experiments. Meanwhile, the introduction of disulfide bonds effectively regulated the material's degradation behavior, enabling controlled degradation within the body (Fig. 12a~c). Inspired by tug-of-war, Tao et al.[93]prepared NCO-terminated PU using oligomeric citrate ester-based polyols, PCL, and excess IPDI, then further compounded it with procyanidin (PC)-modified HA to develop an injectable PU-urea material (ICSP-Scr). After injecting this material into the bone-tendon gap, residual -NCO reacts with water, amino groups, and sulfhydryl groups, achieving tight bone-tendon fixation through mechanical interlocking, physical expansion, and chemical bonding. In this process, PC not only exerts antioxidant and anti-inflammatory effects but also bridges HA and the polymer network via hydroxyl groups reacting with -NCO, thereby promoting bone regeneration (Fig. 12d, e).
图12 可注射PU:(a) PU-DACCO-HA制备及应用与促进骨愈合原理示意图[92];(b) PU-DACCO-HA用于复杂粉碎性骨折[92];(c) 不透明为对照,观察湿干条件下PU在松质骨和皮质骨上的拉伸黏附强度与剪切结合强度以及以不透明为对照,PU与不同材料的剪切力[92];(d) 可注射ICSP-Scr螺钉的制备及作用原理[93];(e) 家兔前交叉韧带重建的VG染色与Goldner三色染色[93]

Fig. 12 Injected PU. (a) fabrication of PU-DACCO-HA and principle for fixing fractures and promoting fracture healing[92]; (b) using of PU-DACCO-HA for complicated comminuted fracture[92]; (c) tensile adhesive strength of PU on the cancellous and cortical bones under wet or dry conditions with opacity as control and shear bonding strength of PU for different materials with opacity as control[92]; (d) the synthesis process and working principle of ICSP-Scr[93]; (e) VG staining and goldner trichrome results of anterior cruciate ligament reconstruction in rabbits[93]

6.3 Drug Delivery

PU materials, owing to their excellent modifiability and processability, also demonstrate broad application prospects in the field of drug delivery systems. By regulating parameters such as the porous structure of PU materials (porosity and pore size), chemical composition (soft and hard segment ratio and type), cross-linking density, crystallization characteristics, and hydrophilic-hydrophobic balance, it is possible to control the kinetics of drug release (rate and dosage). Current research efforts primarily focus on developing novel localized drug delivery systems aimed at addressing post-implantation infection and inflammation, while simultaneously promoting vascularization and bone regeneration at the implantation site[19]. Hou et al.[94]prepared a PU microsphere system with oppositely charged components—PU microspheres loaded with HA and PU microspheres loaded with dexamethasone—and utilized electrostatic self-assembly to construct a three-dimensional injectable hydrogel. This material, delivered via minimally invasive injection, achieved precise filling and repair of irregular bone defects, significantly promoting osteogenic differentiation and new bone formation. Zhang et al.[95]designed a nano-HA/PU composite bone cement, endowing the material with antibacterial properties by loading it with the antibiotic enoxacin (EN). The study showed that this material not only effectively promoted MSC proliferation and osteogenic differentiation but also enabled rapid (reaching minimum inhibitory concentration within 2 hours) and sustained (continuous release for nearly 8 days) antibiotic release, demonstrating an outstanding synergistic effect in anti-infection and bone repair. Rezaei et al.[96]incorporated rGO loaded with simvastatin (SV) into a PCL-based PU scaffold. The combination of rGO and SV produced a synergistic osteogenic effect, significantly enhancing the bioactivity of the PU scaffold. Additionally, the introduction of rGO effectively improved the mechanical properties and structural stability of the scaffold, resulting in more ideal bone repair outcomes.

7 Conclusion and Outlook

PU, as a multi-block polymer formed by the polyaddition of soft and hard segments, allows for targeted performance regulation through molecular structure design, demonstrating unique advantages in the field of bone tissue engineering. Studies have shown that by adjusting key parameters such as the ratio of soft to hard segments, crystallinity, and crosslinking degree, it is possible to effectively optimize mechanical properties, biodegradability, pore structure, and other characteristics, thereby meeting personalized requirements for different types of bone defect repair. Deepening the application of PU in bone repair and developing functionalized PU materials have become research priorities in this field, including improving degradation performance, enhancing osteogenic capacity, and utilizing shape-memory properties to achieve minimally invasive treatments. Future research will continue to focus on issues such as regulating the biodegradability of PU materials, integrating multifunctionality, enhancing biocompatibility, and modifying interfaces. Additionally, the application of 3D printing technology has significantly advanced the development of PU-based bone repair materials, with its advantages of personalized customization, digital design, rapid prototyping, and simulated construction enabling more precise alignment of material physicochemical properties with the biological characteristics of bone defect sites[97]. With the advancement of smart material technologies, combining shape-memory PU with 3D printing has given rise to 4D-printed PU materials, capable of achieving intelligent deformation responses of implants under in vivo conditions. This not only expands the application scope of traditional bone repair materials but also provides new solutions for realizing precise, minimally invasive treatments[98-100].

The contributions made by students Hu Qingbiao, Xi Jiawei, and Li Ruifang during the literature review.

[1]
Zhou J, Zhang Z Y, Joseph J, Zhang X C, Ferdows B E, Patel D N, Chen W, Banfi G, Molinaro R, Cosco D, Kong N, Joshi N, Farokhzad O C, Corbo C, Tao W. Exploration, 2021, 1(2): 20210011.

[2]
Shen N N, Zhang Z H, Wu F T, Zhu Z Z, Liu J R, Qi X Y, Li Q, Wang X X, Ma Q M, Xiang H F. Adv. Compos. Hybrid. Ma., 2025, 8: 38.

[3]
Fu Z Y, Cui J J, Zhao B, Shen S G, Lin K L. J. Orthop. Transl., 2021, 28: 118.

[4]
Lv Z, Ji Y, Wen G L, Liang X Y, Zhang K, Zhang W. Burns Trauma, 2024, 12: tkae036.

[5]
Collins M N, Ren G, Young K, Pina S, Reis R L, Oliveira J M. Adv. Funct. Mater., 2021, 31(21): 2010609.

[6]
Koons G L, Diba M N, Mikos A G. Nat. Rev. Mater., 2020, 5(8): 584.

[7]
Hebda E, Pielichowski K. Biomimetics, 2025, 10(3): 184.

[8]
Imani S M, Rabiee S M, Goudarzi A M, Dardel M, Tayebi L. Mater. Today Commun., 2022, 31: 103293.

[9]
Ravoor J, Thangavel M, Elsen S R. ACS Appl. Bio Mater., 2021, 4(12): 8129.

[10]
Xu C, Liu Z Z, Chen X, Gao Y, Wang W J, Zhuang X J, Zhang H, Dong X F. Chin. Chemical Lett., 2024, 35(2): 109197.

[11]
Aro H T, Välimäki V V, Strandberg N, Lankinen P, Löyttyniemi E, Saunavaara V, Seppänen M. Acta Orthop., 2022, 93: 519.

[12]
Ferreira S A, Young G, Jones J R, Rankin S. Mater. Sci. Eng. C, 2021, 118: 111393.

[13]
Aykora D, Uzun M. Polym. Bull., 2024, 81(10): 8595.

[14]
Gunatillake P A, Dandeniyage L S, Adhikari R, Bown M, Shanks R, Adhikari B. Polym. Rev., 2019, 59(3): 391.

[15]
Wendels S, Avérous L. Bioact. Mater., 2021, 6(4): 1083.

[16]
Azarmgin S, Asnarka, Torabinejad B, Asnarka, Kalantarzadeh R, Garcia H, Velazquez C A, Lopez G, Vazquez M, Rosales G, Heidari B S, Davachi S M. ACS Biomater. Sci. Eng., 2024, 10(11): 6828.

[17]
Wang H R, Li T, Li J, Zhao R H, Ding A, Xu F J. Prog. Polym. Sci., 2024, 151: 101803.

[18]
Qiu J H, Zhao H, Luan S F, Wang L, Shi H C. Biomater. Sci., 2025, 13(10): 2526.

[19]
Marzec M, Kucińska-Lipka J, Kalaszczyńska I, Janik H. Mater. Sci. Eng. C, 2017, 80: 736.

[20]
Król P, Król B. J. Mater. Sci., 2020, 55: 73.

[21]
Ma Y F, Hu Y, Fang Y, Li Q G, Huang Q, Shang Q Q, Zhang M, Li S H, Jia P Y, Zhou Y H. Green Mater., 2024, 1.

[22]
Lam K Y, Lee C S, Pichika M R, Cheng S F, Tan R Y H. J. Appl. Polym. Sci., 2024, 141(30): e55703.

[23]
Oliviero M, Stanzione M, D’Auria M, Sorrentino L, Iannace S, Verdolotti L. Polymers, 2019, 11(3): 480.

[24]
Wu D D, Tan Y, Cao Z W, Han L J, Zhang H L, Dong L S. Carbohydr. Polym., 2018, 194: 236.

[25]
Kordbacheh H, Katbab A A, Aghvami-Panah M, Haghighipour N. Int. J. Biol. Macromol., 2025, 288: 138681.

[26]
Li B, Ma Y C, Fatima K, Zhou X J, Gu X, Chen S, He C L. J. Nanobiotechnol., 2025, 23: 244.

[27]
Sanati A, Kefayat A, Rafienia M, Raeissi K, Siavash Moakhar R, Salamat M R, Sheibani S, Presley J F, Vali H. Mater. Des., 2022, 221: 110955.

[28]
Yang J Y, Liu K, Wang Z J, Rao L, Fu L L, Tang D X, Yang X J, Li Y S, Chen H Q, Liu Y. Polym. Compos., 2024, 45(6): 4961.

[29]
Egorikhina M N, Bokov A E, Charykova I N, Rubtsova Y P, Linkova D D, Kobyakova I I, Farafontova E A, Kalinina S Y, Kolmogorov Y N, Aleynik D Y. Polymers, 2023, 15(4): 831.

[30]
Luo K, Wang L, Chen X H, Zeng X Y, Zhou S Y, Zhang P C, Li J F. J. Bionic Eng., 2022, 19(1): 167.

[31]
Du J J, Zuo Y, Lin L L, Huang D, Niu L L, Wei Y, Wang K Q, Lin Q X, Zou Q, Li Y B. J. Mech. Behav. Biomed. Mater., 2018, 88: 150.

[32]
Du J J, Gan S C, Bian Q H, Fu D H, Wei Y, Wang K Q, Lin Q X, Chen W Y, Huang D. J. Biomater. Appl., 2018, 33(3): 402.

[33]
Vieira de Sousa T W, da Silva Reis F, Gomes de Melo W G, Rai A M, Rai M, Lobo A O, Martins Argôlo Neto N, de Matos J M E. ACS Omega, 2025, 10(6): 5478.

[34]
Król P. Prog. Mater. Sci., 2007, 52(6): 915.

[35]
Szczepańczyk P, Szlachta M, Złocista-Szewczyk N, Chłopek J, Pielichowska K. Polymers, 2021, 13(6): 946.

[36]
Zhou J, Cao H Q, Chang R X, Shan G R, Bao Y Z, Pan P J. ACS Macro Lett., 2018, 7(2): 233.

[37]
Shan J W, Zhu Y B, Ni L L, Pan P J. Chin. J. Polym. Sci., 2024, 42(12): 1976.

[38]
Fernández-d’Arlas B, Ramos J A, Saralegi A, Corcuera M, Mondragon I, Eceiza A. Macromolecules, 2012, 45(8): 3436.

[39]
Pourmohammadi-Mahunaki M, Haddadi-Asl V, Roghani-Mamaqani H, Koosha M, Yazdi M. Polym. Bull., 2022, 79(10): 8653.

[40]
Li L M, Zuo Y, Zou Q, Yang B Y, Lin L L, Li J D, Li Y B. ACS Appl. Mater. Interfaces, 2015, 7(40): 22618.

[41]
Zhang Y C, Hu J L, Zhu S S, Qin T W, Ji F L. Compos. Sci. Technol., 2019, 180: 14.

[42]
Deng L F, Yan Y F. Chinese Journal of Reparative and Reconstructive Surgery, 2018, 7: 815.

[43]
Zhang T Y, Li J X, Wang Y H, Han W M, Wei Y, Hu Y C, Liang Z W, Lian X J, Huang D. Tissue Eng. Part B Rev., 2024, 30(1): 60.

[44]
Chen X H, Huang Z X, Yang Q, Zeng X Y, Bai R Q, Wang L. Biomed. Mater., 2023, 18: 059501.

[45]
Alhamoudi F H. J. Mater. Res., 2024, 39(6): 1011.

[46]
Chen C M, Chen S M, Lin S F, Liang H C, Wu C C. Polymers, 2021, 13(15): 2552.

[47]
Zhao J, Lu X, Duan K, Guo L Y, Zhou S B, Weng J. Colloids Surf. B Biointerfaces, 2009, 74(1): 159.

[48]
Li L M, Li Q, Gui L, Deng Y, Wang L, Jiao J L, Hu Y R, Lan X Q, Hou J H, Li Y, Lu D. Bioact. Mater., 2023, 19: 24.

[49]
Tang J J, Zhang Y L, Fang W, Man Y, Zhang J Z, Zhao Q, Lei X Y, Chen J Q, Li J D, Li Y B, Zuo Y. Chem. Eng. J., 2023, 460: 141630.

[50]
Ghimire U, Jang S R, Adhikari J R, Kandel R, Song J H, Park C H. Int. J. Biol. Macromol., 2024, 264: 130602.

[51]
Jia B, Huang H Y, Dong Z C, Ren X Y, Lu Y Y, Wang W Z, Zhou S W, Zhao X, Guo B L. Chem. Soc. Rev., 2024, 53(8): 4086.

[52]
Naureen B, Haseeb A S M A, Basirun W J, Muhamad F. Mater. Sci. Eng. C, 2021, 118: 111228.

[53]
Yuvarani I, Senthilkumar S, Venkatesan J, Kim S K, Al-Kheraif A A, Anil S, Sudha P N. J. Biomater. Tissue Eng., 2015, 5(8): 665.

[54]
Li Y, Thouas G A, Chen Q-Z. RSC Adv., 2012, 2(22): 8229.

[55]
Song N J, Jiang X, Li J H, Pang Y, Li J S, Tan H, Fu Q. Chin. J. Polym. Sci., 2013, 31(10): 1451.

[56]
Khattab M, Abdel Hady N, Dahman Y. J. Funct. Biomater., 2023, 14(3): 118.

[57]
Nilawar S, Chatterjee K. Ind. Crops Prod., 2022, 185: 115136.

[58]
Shaabani A, Sedghi R, Motasadizadeh H, Dinarvand R. Chem. Eng. J., 2021, 411: 128449.

[59]
Lei X Y, Yang B Y, Chen J, Yang F, Tang J J, Li J H, Zhao Q, Zhang J Z, Li J D, Li Y B, Zuo Y. ACS Appl. Mater. Interfaces, 2024, 16(1): 111.

[60]
Sougrati L, Wendels S, Dinescu S, Balahura L R, Sleiman L, Avérous L. Sustain. Mater. Technol., 2023, 37: e00656.

[61]
Wang Y L, Ruan C S, Sun J X, Zhang M L, Wu Y L, Peng K. Polym. Degrad. Stab., 2011, 96(9): 1687.

[62]
Ruan C S, Hu N, Hu Y, Jiang L X, Cai Q Q, Wang H Y, Pan H B, Lu W W, Wang Y L. Polymer, 2014, 55(4): 1020.

[63]
Ruan C S, Hu Y, Jiang L X, Cai Q Q, Pan H B, Wang H Y. J. Appl. Polym. Sci., 2014, 131(19): 40527.

[64]
Ma Y F, Hu N, Liu J, Zhai X Y, Wu M M, Hu C S, Li L, Lai Y X, Pan H B, Lu W W, Zhang X Z, Luo Y F, Ruan C S. ACS Appl. Mater. Interfaces, 2019, 11(9): 9415.

[65]
Cetina-Diaz S M, Chan-Chan L H, Vargas-Coronado R F, Cervantes-Uc J M, Quintana-Owen P, Paakinaho K, Kellomaki M, Di Silvio L, Deb S, Cauich-Rodríguez J V. J. Mater. Chem. B, 2014, 2(14): 1966.

[66]
Mendonça L H P, Lopes É S N, Rodrigues I C P, de Oliveira M F, Gabriel L P. J. Mater. Res. Technol., 2022, 20: 3697.

[67]
Amiryaghoubi N, Noroozi Pesyan N, Fathi M, Omidi Y. Colloids Surf. A Physicochem. Eng. Aspects, 2022, 634: 127895.

[68]
Bagheri F, Saudi A, Bidram E, Asefnejad A, Sanati A, Zarrabi A, Rafienia M. Phys. Scr., 2024, 99(4): 045023.

[69]
Xia Y L, He Y, Zhang F H, Liu Y J, Leng J S. Adv. Mater., 2021, 33(6): 2000713.

[70]
Zheng Y F, Du Y D, Chen L, Mao W, Pu Y, Wang S, Wang D. Biomater. Sci., 2024, 12(8): 2033.

[71]
Pfau M R, Grunlan M A. J. Mater. Chem. B, 2021, 9(21): 4287.

[72]
Li T T, Chen L, Yuan Y, Shi R F. Polymers, 2023, 15(3): 556.

[73]
Ha Y-M, Seo H C, Kim Y O, Khil M S, Cho J W, Lee J S, Jung Y C. Macromol. Res., 2020, 28(3): 234.

[74]
Mondal S, Hu J L. Polym. Plast. Technol. Eng., 2007, 46(10): 939.

[75]
Eyvazzadeh Kalajahi A, Rezaei M, Abbasi F, Mir Mohamad Sadeghi G. Polym. Plast. Technol. Eng., 2017, 56(18): 1977.

[76]
Mondal S. Polym. - Plast. Technol. Mater., 2021, 60: 1491.

[77]
Bhanushali H, Amrutkar S, Mestry S, Mhaske S T. Polym. Bull., 2022, 79(6): 3437.

[78]
Zhang Y C, Hu J L, Xie R Q, Yang Y H, Cao J, Tu Y H, Zhang Y, Qin T W, Zhao X. Acta Biomater., 2020, 103: 293.

[79]
Yu J H, Xia H, Teramoto A, Ni Q Q. J. Biomed. Mater. Res. Part A, 2018, 106(1): 244.

[80]
Yuan L, Xiao L, Zhang J, Xiao Y, Yu L X, Yang K K, Wang Y Z. Biomacromolecules, 2024, 25(6): 3795.

[81]
Xu X W, Skelly J D, Song J. ACS Appl. Mater. Interfaces, 2023, 15(2): 2693.

[82]
Ghorai S K, Maji S, Subramanian B, Maiti T K, Chattopadhyay S. Carbon, 2019, 141: 370.

[83]
Takaoka Y, Fujibayashi S, Onoe H, Goto K, Otsuki B, Kawai T, Okuzu Y, Shimizu T, Ikeda N, Orita K, Honda S, Ikezaki T, Yabutsuka T, Matsuda S. Acta Biomater., 2024, 177: 243.

[84]
Chen C F, Chou Y S, Lee T M, Fu Y C, Ou S F, Chen S H, Lee T C, Wang Y H. Int. J. Mol. Sci., 2024, 25(12): 6440.

[85]
Ghorai S K, Roy T, Maji S, Guha Ray P, Sarkar K, Dutta A, De A, Bandyopadhyay S, Dhara S, Chattopadhyay S. Chem. Eng. J., 2022, 429: 132179.

[86]
Shrestha S, Shrestha B K, Ko S W, Kandel R, Park C H, Kim C S. Carbohydr. Polym., 2021, 251: 117035.

[87]
Zhao Q, Chen J Q, Tang J J, Lei X Y, Zhang J Z, Zhang Y L, Li J D, Zuo Y, Li Y B. Adv. Funct. Mater., 2024, 34(25): 2316428.

[88]
Wang C, Huang W, Zhou Y, He L B, He Z, Chen Z L, He X, Tian S, Liao J M, Lu B H, Wei Y, Wang M. Bioact. Mater., 2020, 5(1): 82.

[89]
Haleem A, Javaid M, Khan R H, Suman R. J. Clin. Orthop. Trauma, 2020, 11: S118.

[90]
Zhang Y C, Li C R, Zhang W, Deng J J, Nie Y Y, Du X F, Qin L, Lai Y X. Bioact. Mater., 2022, 16: 218.

[91]
Liu X C, Tang B, Li Q, Xiao W, Wang X L, Xiao H J, Zheng Z. Colloids Surf. B Biointerfaces, 2022, 219: 112835.

[92]
Li Q, Tang X C, Chen B Y, Wang X L, Xiao H J, Zheng Z. Adv. Healthcare Mater., 2024, 13: 2301870.

[93]
Tao M H, Fang Z, Zhu Y T, Ju Y, Hou Z G, Fu M M, Lu Z H, Cai D Z, Yang J, Guo J S. Bioact. Mater., 2024, 41: 108.

[94]
Hou Y, Jiang N, Zhang L, Li Y B, Meng Y Z, Han D M, Chen C, Yang Y, Zhu S S. ACS Appl. Mater. Interfaces, 2017, 9(31): 25808.

[95]
Zhang J Z, Lei X Y, Tang J J, Chen J, Zhao Q, Fang W, Zhang Y L, Li Y B, Zuo Y. J. Bionic Eng., 2022, 19(2): 483.

[96]
Rezaei H, Shahrezaee M, Jalali Monfared M, Fathi Karkan S, Ghafelehbashi R. J. Polym. Eng., 2021, 41(5): 375.

[97]
Jaiswal R, Wadetwar R. Mater. Today Commun., 2025, 42: 111249.

[98]
Feng P, Yang F, Jia J Y, Zhang J, Tan W, Shuai C J.Int. J. Extrem. Manuf., 2024, 6(6): 062011.

[99]
Gharehdaghi N, Nokhbatolfoghahaei H, Khojasteh A. Biomed. Mater., 2025, 20(1): 012003.

[100]
Wang Z, Ma D, Liu J, Xu S, Qiu F, Hu L Q, Liu Y M, Ke C N, Ruan C S. Bioact. Mater., 2025, 48: 370.

Outlines

/