Home Journals Progress in Chemistry
Progress in Chemistry

Abbreviation (ISO4): Prog Chem      Editor in chief: Jincai ZHAO

About  /  Aim & scope  /  Editorial board  /  Indexed  /  Contact  / 
Review

Research on the Reaction of NN-Dimethylformamide (DMF) as Synthons

  • Mina Zhao , 1, * ,
  • Jiayi Tang 1 ,
  • Yaodu Zhang 2
Expand
  • 1 School of Biological Food and Chemistry, Shaanxi Xueqian Normal University, Xi’an 710100, China
  • 2 Multifunctional Electronic Ceramics Laboratory, College of Engineering, Xi’an International University, Xi’an 710077, China

Received date: 2025-05-12

  Revised date: 2025-07-28

  Online published: 2025-10-30

Supported by

National Natural Science Foundation of China(22201012)

Innovation Capability Support Program of Shaanxi-Young Science and Technology Star Project(2024ZC-KJXX-039)

Support Program for Outstanding Young Talents in Shaanxi Universities (2025QJ-02(inside))

High-level Talents Program of Xi’an International University(XAIU202419)

Abstract

NN-dimethylformamide (DMF) is a common organic compound. It is not only often used as a solvent in organic reactions but also widely employed as a reaction reagent in industrial production, playing an important role in organic synthesis for a long time. It is worth noting that DMF itself can act as a synthon to provide different structural units for participation in organic synthesis reactions, and it plays a very important role in the construction of complex, diverse and structurally novel functional molecules. Therefore, this review focuses on introducing the performance of DMF as a multifunctional precursor in various reactions, summarizes the latest progress of DMF as an amine source, carbon source, hydrogen source, oxygen source and double synthon reactions, and prospects the future development direction of this field, hoping to provide a reference for the later research on reactions involving DMF as a synthon.

Contents

1 Introduction

2 Reaction of DMF as a synthon

2.1 Reaction of DMF as an amine source

2.2 Reaction of DMF as a carbon source

2.3 Reaction with DMF as a hydrogen source

2.4 Reaction of DMF as an oxygen source

2.5 DMF as a double synthon

3 Conclusion and outlook

Cite this article

Mina Zhao , Jiayi Tang , Yaodu Zhang . Research on the Reaction of NN-Dimethylformamide (DMF) as Synthons[J]. Progress in Chemistry, 2025 , 37(11) : 1661 -1673 . DOI: 10.7536/PC20250504

1 Introduction

N,N-Dimethylformamide (DMF) is one of the most commonly used aprotic polar solvents in academic laboratories and the chemical industry due to its excellent thermal stability and superior solvating ability[1]. In addition to serving as a highly efficient organic solvent, DMF also acts as a catalyst in organic synthesis[2-4]. More importantly, DMF can also function as a versatile synthon participating in various transformations[5-9]by providing CH[10-11], O[12], CONMe2 [13], and NMe2 [14-15]in reactions to synthesize various heterocyclic compounds with practical applications (Figure 1). In these processes, different sites on DMF are activated, enabling the provision of one or more atoms during the construction of new target molecules.
图1 DMF作为各种合成子参与杂环化合物的合成[10-15]

Fig.1 DMF-participated synthesis of heterocyclic compounds as various synthons[10-15]

In 2012, Jiao Ning’s research group[16]published a comprehensive review that systematically summarized the types of reactions in which early DMF served as a synthon, such as an amine source or carbon source. In recent years, research on organic reactions involving DMF as a reaction precursor has made significant progress. For example, green synthesis strategies have been developed, including metal-free catalysis, electrochemistry, and visible-light-induced methods, which have reduced reaction costs and enhanced sustainability. Moreover, reactions using DMF as a dual synthon have been advanced, enabling the synergistic introduction of non-contiguous atoms and overcoming the limitations of earlier single-functional-group transfer approaches. The rapid development of this research area has made it one of the hotspots in organic chemistry. Based on this, the present review will systematically summarize the latest research advances over the past seven years (2017–2024) on the use of DMF as an amine source, carbon source, hydrogen source, oxygen source, and dual synthon. It is hoped that this review will provide a reference for chemists exploring new functions of DMF and expanding its synthetic applications.

2 Reactions of DMF as a Synthon

2.1 Reactions Using DMF as an Amine Source

As an amine source, DMF can undergo amination reactions with various substrates in organic synthesis, efficiently constructing organic compounds containing N, N-dimethyl groups. It can also react with 2H-azirines via cyclization to synthesize imidazole compounds.

2.1.1 Base-Mediated Amination Reactions

In 2019, Gong’s research group[17]developed an alkali-mediated amination reaction of aromatic halides (Scheme 1). In this reaction system, DMF serves as an efficient amino source and enables the functional-group transformation of various electron-deficient substituted aryl halides 1(X = F, Cl, Br, I) with excellent yields. Interestingly, in this reaction, the reactivity of the aromatic halides follows the order I > Br ≈ F > Cl, which differs significantly from the typical reactivity trend observed in conventional aromatic nucleophilic substitution (SNAr) reactions. Through systematic mechanistic studies, the authors ruled out the possibility of a benzyne addition mechanism and a radical mechanism. Notably, this method also exhibits good regioselectivity in the amination of polyhalogenated aromatics. Furthermore, the reaction system offers advantages such as ease of operation, no need for transition-metal catalysts, and scalability, highlighting its potential for industrial applications.
图式1 缺电子取代的芳基卤化物和DMF的胺化反应[17]

Scheme 1 Amination reaction of aryl halides with electron-deficient substituents and DMF[17]

2.1.2 Metal-Catalyzed Amination Reactions

In 2021, Dai’s research group[18]reported a copper-catalyzed ortho C—H amination of aniline derivatives 2with DMF, affording the target product 3in moderate to good yields (Scheme 2). Moreover, this catalytic system exhibits excellent functional-group compatibility, accommodating various heterocyclic scaffolds such as pyridine, benzothiazole, benzothiophene, quinoline, isoquinoline, and quinoxaline. However, when N, N-diethylformamide was used instead of DMF as the aminating reagent, the yield of the target product was only 25%; no desired product was formed when N-methylformamide or N-ethylformamide was employed. Notably, this method is not only suitable for gram-scale synthesis but can also be applied to late-stage structural modifications of drug molecules, fully demonstrating its potential application value in drug discovery and industrial production.
图式2 苯胺类化合物和DMF的邻位C―H胺化反应[18]

Scheme 2 Ortho-C―H amination reaction of aniline compounds and DMF[18]

In 2023, Bao’s research group[19]first achieved a palladium-catalyzed selective C—H amination of 1-chloromethylnaphthalene4(Scheme 3). In this reaction, DMF serves as the source of the dimethylamino group, and the amination occurs exclusively at the C—H bond at the 4-position of 1-chloromethylnaphthalene. The advantages of this method include mild reaction conditions, a green solvent system, a relatively short reaction time, and excellent yields. Notably, water molecules play a crucial role in the in situ generation of the dimethylamine species.
图式3 钯催化1-氯甲基萘C―H键的胺化反应[19]

Scheme 3 Palladium-catalyzed C―H amination reaction of 1-chloromethyl naphthalenes[19]

In the same year, Dandela's research group[20] reported the copper catalyzed C=O bond selective activation/amination reaction of N-benzoylcytosine 6 (Scheme 4a). This reaction efficiently constructed a series of 2- (dimethylamino) pyrimidine 7 with important biological activities using DMF as the dimethylamino source, opening up a new pathway for the synthesis of pyrimidine derivatives. Mechanistic studies have shown that inexpensive copper catalysts synergistically promote the oxidative addition process of substrates with tert butanol peroxide (TBHP). This reaction has the advantages of easy availability of raw materials, good compatibility of substrate functional groups, high product yield and easy separation and purification, and simple operation.
图式4 铜催化N-苯甲酰基胞嘧啶的胺化反应[20]

Scheme 4 Copper-catalyzed amination reaction of N-benzoyl cytosine[20]

The research group proposed a possible reaction mechanism (Scheme 4b): First, N-benzoyl cytosine 6 reacts with the Cu(II) catalyst to form a four-membered chelate complex 8. Simultaneously, a tert-butoxy radical abstracts a proton from DMF to generate an amidyl radical. This radical combines with the chelate complex 8 to form a Cu(III) intermediate 9. Next, the intermediate 9 undergoes reductive elimination to yield carbamate 10. Subsequently, under the action of TBHP, Cu(II) inserts into the C—O bond of carbamate 10, yielding intermediate 11. After intermediate 11 releases carbon dioxide, Cu(III) coordinates with the nitrogen atom in the diamine to form intermediate 12. Finally, intermediate 12 undergoes reductive elimination to afford the target product 7.

2.1.3 Iron-Catalyzed Amination/Cyclization Reactions

In 2024, Zhao’s research group[21-22]reported a novel iron(II)-catalyzed method for the cyclization of 2,3-diaryl-2H-azirine 13with DMF to synthesize 1-methyl-4,5-diaryl imidazole compound 14(Scheme 5a). The reaction involves the cleavage of the C—N single bond in DMF and the C=N double bond in the 2H-azirine, followed by the formation of new C—N single bonds and C=N double bonds. In mechanistic studies, the authors attempted to replace DMF with N, N-dimethylacetamide, N, N-dimethylaniline, and N, N-dibutylformamide as reaction substrates, but no reaction was observed. Notably, this reaction exhibits a degree of scalability: the 1-methyl-4,5-diaryl-1H-imidazole can be further derivatized into 1-methyl-2,4,5-triaryl-1H-imidazole.
图式5 铁催化2H-氮杂环丙烯和DMF的环化反应[21]

Scheme 5 Fe-catalyzed cyclization reaction of 2H-azirines and DMF[21]

The research group proposed a possible reaction mechanism (Scheme 5b): Initially, in the presence of FeCl2, 2H-azirine 13 forms a cationic azirinium complex 15. Simultaneously, DMF decomposes at high temperature to form dimethylamine 16 and releases carbon monoxide. The complex 15 then undergoes nucleophilic attack by dimethylamine 16, forming intermediate 17. Under the action of di-tert-butyl peroxide (DTBP), intermediate 17 is oxidized to form imine intermediate 18. Subsequently, intermediate 18 undergoes intramolecular nucleophilic addition, accompanied by ring-opening, to yield the five-membered ring intermediate 19. Finally, intermediate 19 loses a molecule of hydrogen gas to afford the imidazole product 14, while releasing the catalyst FeCl2 and completing the catalytic cycle.

2.2 Reactions using DMF as a carbon source

2.2.1 Construct CH, CH2, or CH3 sources

In 2017, Xie’s group[23]first reported the cyclization reaction of 4-(anilino)-2H-chromen-2-one 20with DMF under copper catalysis. In this reaction, the N-methyl group of DMF serves as a C–H source, affording functionalized 6H-chromeno[4,3-b]quinolin-6-one 21in yields of 56%–81% (Scheme 6). Moreover, this method offers advantages such as the use of an inexpensive and readily available metal catalyst, broad substrate scope, and good functional group compatibility.
图式6 DMF和4-(苯胺基)-2H色烯-2-酮的环化反应[23]

Scheme 6 Cyclization reaction of DMF with 4-(phenylamino)- 2H-chromen-2-ones[23]

In the same year, Fan’s group[24]reported a highly efficient metal-free catalyzed, tert-butyl hydroperoxide-mediated [3+2+1] cycloaddition reaction of amidine 22, ketone 23, and DMF (Scheme 7a). The reaction proceeds via C(sp3)-H activation, promoted by Cs2CO3at 120 °C, to afford a series of pyrimidine compounds 24in moderate to good yields. This transformation involves the formation of novel C―C/C―N bonds and offers advantages such as the use of an environmentally friendly oxidant, inexpensive and readily available starting materials, and high atom economy.
图式7 脒、酮和DMF的[3+2+1]环加成反应[24]

Scheme 7 [3+2+1] Cycloaddition reaction of nitrile, ketone, and DMF[24]

The authors propose a possible reaction mechanism (Scheme 7b): Initially, DMF is oxidized by TBHP to yield an imine-type intermediate 25. Subsequently, intermediate 25 undergoes a nucleophilic addition reaction with amidine compound 22, forming intermediate 26. N-protonation of intermediate 26 facilitates cleavage of the C―N bond, and the elimination of one molecule of N-methylformamide generates iminium cation 27. Next, iminium cation 27 reacts with ketone compound 23, and through addition and dehydration steps, intermediate 28 is formed. Finally, intermediate 28 undergoes oxidation to yield the desired product, pyrimidine compound 24.
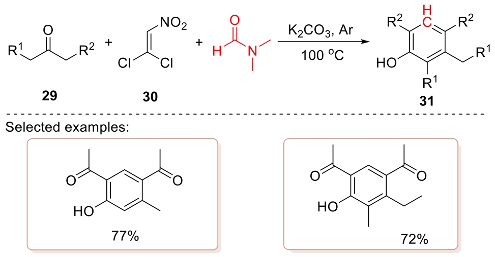
In 2018, Li’s research group[25]reported a highly efficient metal-free catalyzed three-component coupling cyclization reaction involving the reactive methylene compound29, DMF, and 1,1-dichloro-2-nitroethylene30, successfully constructing a series of phenolic derivatives31(Scheme 8). The reaction proceeds under mild conditions, with yields ranging from 35% to 75%. Notably, in this transformation, DMF not only serves as the reaction solvent but also acts as a key carbon synthon for the benzene ring scaffold, demonstrating its unique dual role.
图式8 活泼亚甲基化合物、1,1-二氯-2-硝基乙烯和DMF的偶联环化反应[25]

Scheme 8 Coupling cyclization reaction of active methylene compounds, 1,1-dichloro-2-nitroethylene, and DMF[25]

In 2019, Jiang’s research group26developed an efficient copper-catalyzed cyclization reaction of hydrazine compounds 32with DMF, successfully constructing a series of 1,3,4-oxadiazole compounds 33that have significant application value (Scheme 9a).The reaction conditions are mild, the reaction time is short, and DMF serves as the key carbon-hydrogen (CH) source. However, when the authors attempted to replace DMF with N,N-dimethylacetamide or N,N-dimethylaniline as the carbon source, the yield of the target product was lower. In addition, this catalytic system can be further extended to the synthesis of 1,3,4-oxadiazole-2(3H)‑one compounds, demonstrating good substrate generality and reaction versatility.
图式9 肼与DMF的环化反应[26]

Scheme 9 Cyclization reaction of hydrazine with DMF[26]

The possible mechanism of this reaction is as follows (Scheme 9b): First, DMF undergoes a single-electron transfer with Cu(II) to generate intermediate 34and Cu(I). Then, under oxidation by persulfate, imine 35is formed. Subsequently, benzoylhydrazine 32undergoes nucleophilic addition to imine 35to yield intermediate 36; intermediate 36is further oxidized to form imine intermediate 37. Intermediate 37undergoes cyclization to afford intermediate 38. Finally, under the action of a proton, intermediate 38eliminates one molecule of CH3NHCHO to give the desired product, the 1,3,4-oxadiazole compound 33.
In 2019, Wang’s group[27]reported a method in which DMF/Me2NH-BH3 39, serving as a cooperative methylene source, enabled the direct C(sp3)-H methylenation of 2-arylacetamides 40, yielding 2-arylacrylamides 41 in 30%–89% yield (Scheme 10a). In this transformation, the formyl group of DMF contributes one carbon atom and one hydrogen atom, while Me2NH-BH3provides another crucial hydrogen atom; together, they cooperatively accomplish the introduction of the methylene group.
图式10 DMF、Me2NH-BH3和2-芳基乙酰胺的C(sp3)-H亚甲基化反应[27]

Scheme 10 C(sp3)-H Methylenation reaction of DMF, Me2NH-BH3, and 2-arylacetamide[27]

The research group proposed a possible reaction mechanism (Scheme 10b): Initially, N,2-diphenylacetamide 40 is deprotonated by t-BuOK to generate the carbanion 42. Subsequently, a nucleophilic attack occurs at the formyl group of DMF, yielding the intermediate 43. Next, a hydroxyl group is eliminated to form the imine intermediate 44, which is then reduced by Me2NH-BH3 40 to afford the α-dimethylaminomethyl-substituted arylacetamide 45. Finally, an E1cB elimination reaction yields the target product, 2-arylacrylamide 41.
In 2019, Wang’s group[28]reported a novel rhodium-catalyzed [3+2+1] cycloaddition reaction (Scheme 11a). This reaction uses 3-methyl-1-phenyl-1H-pyrazole-5-amine 46, a cyclic 1,3-diketone-2-diazo compound 47, and DMF as the three-component substrates, with the methyl carbon of DMF serving as the CH source for constructing the pyridine ring. Notably, the reaction employs environmentally friendly air as the oxidant and efficiently synthesizes a series of structurally diverse pyrazolo[3,4-b]pyridine derivatives 48under mild conditions.
图式11 吡唑-5-胺、环状1,3-二酮-2-重氮化合物和DMF的[3+2+1]环加成反应[28]

Scheme 11 [3+2+1] Cycloaddition reaction of pyrazole-5-amine, cyclic 1,3-diketone-2-diazo compound, and DMF[28]

The authors propose a possible reaction mechanism (Scheme 11b): Initially, the diazonium compound 47 coordinates with the Rh(II) center to form the rhodium carbene intermediate 48. Intermediate 49 inserts into the methyl C–H bond of DMF to generate intermediate 50. Subsequently, an β-N elimination reaction yields intermediate 51. This intermediate then undergoes a Friedel–Crafts–type nucleophilic addition with 3-methyl-1-phenyl-1H-pyrazol-5-amine 46, forming intermediate 52, which then undergoes intramolecular condensation to yield intermediate 53. Finally, an aromatization-driven oxidation reaction affords the desired product, the pyrazolo[3,4-b]pyridine derivative 48.
In 2020, Qiao’s research group[29]developed a highly efficient [4+1] cycloaddition reaction between the 2-hydrazinopyridine compound54and DMF, successfully constructing the 1,2,4-triazolo[3,4-a]pyridine derivative55(Figure S12). This reaction features the following characteristics: (1) DMF serves both as a solvent and as a carbon source; (2) a mild imidazole hydrochloride salt is used as the catalyst; (3) it exhibits excellent substrate generality.
图式12 DMF和2-肼基吡啶的[4+1]环加成反应[29]

Scheme 12 [4+1] Cycloaddition reaction of DMF and 2-hydrazinopyridines[29]

In 2020, Ackermann’s research group[30]developed an environmentally friendly electrochemical synthesis strategy (Scheme 13a). Under conditions devoid of oxidants and transition-metal catalysts, DMF serves as a methyl source, undergoing an electrocyclic reaction with 4-(anilino)-2H-chromen-2-one 56, thereby enabling the efficient synthesis of 6H-chromeno[4,3-b]quinolin-6-one derivatives 57. The reaction exhibits excellent yields (up to 92%) and outstanding functional-group compatibility.
图式13 DMF和4-(苯胺基)-2H-色烯-2-酮的电化学氧化环化反应[30]

Scheme 13 Electrochemical oxidation cyclization of DMF with 4-(phenylamino)-2H-chromen-2-ones[30]

The authors propose a possible reaction mechanism (Scheme 13b): First, the iodine radical generated at the anode attacks substrate 56, forming intermediate 58. After intermediate 58 releases an iodide anion, it is converted into intermediate 59. Meanwhile, the iminium intermediate 60, generated from DMF via anodic oxidation, undergoes electrophilic addition to form intermediate 61. Subsequently, the release of a MeNHCHO molecule yields intermediate 62, which then reacts with NaHSO3 to afford intermediate 63. Next, intramolecular cyclization occurs to generate the dihydroquinoline intermediate 64. Finally, anodic oxidation and aromatization yield the desired product 57. Simultaneously, protons are reduced at the cathode, releasing hydrogen gas.
In 2020, Wang’s research group[31]further developed the Me3N-BH3/65/DMF system as a synergistic methyl source, successfully achieving the selective N-methylation of arylamines66(Scheme 14a). By precisely tuning the reaction system (Me3N-BH3/d7-DMF, Me3N-BD3/DMF, and Me3N-BD3/d7-DMF), N-CH2D, N-CHD2, and N-CD3groups can be introduced selectively, demonstrating excellent deuterium-labeling efficiency and regioselectivity.
图式14 DMF、Me2NH-BH3和芳胺的N-甲基化反应[31]

Scheme 14 N-Methylation reaction of Me2NH-BH3, and arylamine[31]

The possible reaction mechanism for this reaction is as follows (Scheme 14b): Initially, the arylamine 66is deprotonated by NaH to form the nitrogen anion 68, which attacks the formyl group of DMF to generate the intermediate 69. An equilibrium is established between the intermediates 69and 70via intramolecular hydrogen migration. One hydroxyl group in 70is eliminated, yielding the imine 71. Subsequently, reduction of 65by Me3N-BH3affords the amine 72. Base-promoted elimination of the dimethylamino anion from 72generates the imine 73. Finally, a second hydride reduction of the intermediate 73affords the desired N-methylphenylamine 67.
In 2023, Jiang’s research group[32]reported a palladium-catalyzed acetylation of 2-(N-aryl)aminopyridine 74(Scheme 15a). In this reaction, DMF serves as both the carbon source and the solvent, while carbon monoxide acts as the carbonyl source. Mechanistic studies indicate that DMF is superior to DMSO as the methyl source in the reaction. The reaction not only exhibits good functional group tolerance but also maintains high yields even in gram-scale experiments.
图式15 钯催化2-(N-芳基)氨基吡啶的乙酰化反应[32]

Scheme 15 Palladium-catalyzed acetylation reaction of 2-(N-aryl)aminopyridine[32]

The possible reaction mechanism for this reaction is as follows (Scheme 15b): First, under palladium catalysis, the substrate 74 undergoes N—H bond activation to generate intermediate 76. Subsequently, with the cooperative action of the pyridine group, CO undergoes a coordination-insertion process to form intermediate 77. DMF is oxidized to intermediate 78, which then interacts with intermediate 77 to yield intermediate 79. Intermediate 79 undergoes reductive elimination to produce carbonylated intermediate 80. Intermediate 80 is then oxidized via a single-electron transfer process to form intermediate 81, which ultimately undergoes further transformation to yield the target product 75.
In 2024, Yuan’s research group[33]reported a highly efficient iron-catalyzed [3+2+1] cycloaddition reaction involving 2-amino benzimidazole82, acetophenone83, and DMF (Scheme 16a). This one-pot cascade reaction was used to synthesize a series of benz[4,5]imidazo[1,2-a]pyrimidine derivatives84with distinctive spectral properties.
图式16 铁催化2-氨基苯并咪唑、苯乙酮和DMF的[3+2+1]环加成反应[33]

Scheme 16 Fe-catalyzed [3+2+1] cycloaddition reaction of 2‑aminobenzimidazole, acetophenone and DMF[33]

The research group proposed a possible reaction mechanism (Scheme 16b): First, DMF is oxidized by (NH4)2S2O8 to yield imine intermediate 85. Meanwhile, acetophenone tautomerizes to enol 86. Next, intermediate 85 undergoes a nucleophilic addition reaction with enol 86, forming intermediate 87. Subsequently, intermediate 87 eliminates one molecule of N-methylformamide to generate intermediate 88. Then, intermediate 88 reacts with 2-aminobenzimidazole 82 via addition and dehydration to form intermediate 89. Following this, intermediate 89 undergoes an intramolecular Michael addition to yield intermediate 90. Finally, intermediate 90 undergoes an aromatization reaction to afford the target product 84.
In the same year, Chen’s research group[34]developed an iron-catalyzed three-component oxidative cascade reaction involving NH-1,2,3-triazole 91, arylmethyl ketone 92, and DMF, which efficiently constructs β-(1,2,3-triazolyl) ketone compounds (Scheme 17a). In this reaction, DMF serves as a key carbon synthon. The study found that by modulating the substituents on the triazole ring, the chemoselectivity of the reaction can be effectively controlled, providing an effective strategy for the diverse synthesis of products.
图式17 铁催化NH-1,2,3-三唑、芳甲基酮和DMF的三组分串联反应[34]

Scheme 17 Fe-catalyzed three-component tandem reaction of NH-1,2,3-triazoles, aryl methyl ketones and DMF[34]

The authors speculate that the reaction proceeds via two parallel pathways (Scheme 17b): First, DMF is converted to intermediate 93 under the action of the Fe(III)/K2S2O8 oxidation system. In Path A, intermediate 93 undergoes nucleophilic attack by NH-1,2,3-triazole 91, yielding intermediate 94; intermediate 94 then undergoes a Mannich-like reaction with acetophenone 92, ultimately forming the N2-substituted product. In Path B, intermediate 93 first undergoes nucleophilic addition with acetophenone 92, followed by elimination of one molecule of N-methylformamide to generate intermediate 95, which can further undergo a Michael addition reaction with NH-1,2,3-triazole 91, ultimately yielding the N2- and N1-disubstituted product.

2.2.2 Construct CN source

In 2019, Cheng’s research group[35]developed a copper-catalyzed cyanation of 96 C—H bonds in heteroarenes (Scheme 18a). The reaction employs ammonium iodide/DMF as a safe and efficient composite cyanide source, with ammonium iodide providing the nitrogen atom and DMF supplying the carbon atom. This catalytic system exhibits broad substrate scope and is compatible with various functional groups. Moreover, this method enables the efficient synthesis of a series of cyanated heterocyclic compounds, including 2-cyanoindoles, 2-cyanopyrroles, 1-cyanocarbazoles, and 2-cyano-1-pyridinylbenzene derivatives, among others.
图式18 杂芳烃C―H键的氰化反应[35]

Scheme 18 Cyanation reaction of C―H bond of heteroaromatics[35]

The research group proposed a possible reaction mechanism (Scheme 18b): First, after Cu(OAc)2 coordinates with the N atom, the C―H bond at the 2-position of arene 96 cleaves to form intermediate 98. Simultaneously, DMF is oxidized by Cu(OAc)2 to yield imine intermediate 99. Under the action of O2, intermediate 99 reacts with NH3 to form intermediate 100, which releases CN- via C―N bond cleavage. Subsequently, AcO- in 98 is replaced by CN-, generating intermediate 101. Next, intermediate 101 is oxidized by O2 to yield Cu(III) intermediate 102. Finally, Cu(III) intermediate 102 undergoes reductive elimination to release 97, while Cu(I) is produced, which is then oxidized by O2 to Cu(II), completing the catalytic cycle.
In 2020, Jiang’s group[36]achieved the selective functionalization of imidazo[1,2-a]pyridine 103in a copper-mediated oxidation system (Scheme 19). The reaction established two transformation pathways: (1) C—H cyanation using ammonium iodide/DMF as a composite cyano source; and (2) C—H formylation using DMF as a formylating agent. Mechanistic studies indicate that the cyanation reaction proceeds via a sequential iodination-cyanation two-step process and exhibits excellent functional group compatibility. Notably, the formylation reaction employs DMF as the formyl source and environmentally friendly O2 as the oxidant. This strategy also provides an efficient and straightforward synthetic route for the clinical drug saliphen.
图式19 咪唑并[1,2-a]吡啶的氰化和甲酰化反应[36]

Scheme 19 Cyanation and formylation reactions of imidazo[1,2-a]pyridines[36]

In 2021, Bora’s research group[37]reported a novel Cu(II) salt–catalyzed cyanation of aryl iodides/bromides104(Scheme 20a). The reaction employs ammonium cerium(IV) nitrate (CAN) and DMF as a composite cyanide source, with CAN serving both as an oxidant and a nitrogen source, while DMF acts as a carbon source. This strategy enables the synthesis of a series of aryl nitrile derivatives105in moderate to good yields. This catalytic system represents the first instance of synergistic action between CAN and DMF, offering a new approach to the cyanation of aryl halides.
图式20 芳基碘化物/溴化物的氰化反应[37]

Scheme 20 Cyanation reaction of aryl iodides/bromides[37]

The possible reaction mechanism for this process is as follows (Scheme 20b): First, ceric ammonium nitrate reacts with potassium carbonate to form ammonium carbonate, which then thermally decomposes to release NH3. Under Cu(II) catalysis, ammonia combines with DMF to generate CN-, while Cu(II) is reduced to Cu(I). Subsequently, aryl iodide 104 undergoes oxidative addition with the Cu(I) catalyst to form intermediate 106. Finally, intermediate 106 yields aryl nitrile 105 via ligand exchange and reductive elimination. The reduced Cu(I) is then reoxidized by Ce(IV) back to Cu(II), completing the catalytic cycle.

2.3 Reactions using DMF as a hydrogen source

In 2018, Bakavoli’s research group[38]developed a metal-free catalyzed debromination reaction of 5-bromo-2,4-diamino-6-methyl-substituted pyrimidine107,successfully synthesizing 2,4-diamino-6-methyl-substituted pyrimidine derivative108(Scheme 21). The reaction employs triethylamine (Et3N) as the base and DMF as the solvent, proceeding efficiently under mild conditions. Moreover, this study revealed that the DMF/Et3N combination can serve as an efficient metal-free reduction system, offering a new perspective for green chemical synthesis.
图式21 5-溴-2,4-二氨基-6-取代嘧啶的脱溴化反应[38]

Scheme 21 Debromination reaction of 5-bromo-2,4-diamino-6-substituted pyrimidine[38]

In 2022, Wang’s group[39]reported a highly efficient method for the radical hydrotetrafluoromethylation of enamine 109to synthesize β-CF3enamine compound 110(Scheme 22a). In this reaction, PhICF3Cl is used as the trifluoromethylating reagent and DMF as the hydrogen source; under the action of NaH, the enamine undergoes reductive trifluoromethylation to afford β-CF3enamine 110. Subsequently, mediated by trifluoroacetic acid (TFA), further reduction with triethylsilane (Et3SiH) yields β-CF3amine 111. This method not only features mild reaction conditions but also exhibits excellent functional-group compatibility, providing a new route for the synthesis of fluorinated amine compounds.
图式22 炔胺和DMF的自由基氢化/三氟甲基化反[39]

Scheme 22 Radical hydrogenation/trifluoromethylation reaction of alkynylamines and DMF[39]

The research group proposed a possible reaction mechanism (Scheme 22b): Initially, PhICF3Cl is reduced by NaH, releasing a trifluoromethyl radical that induces the enamine 109, generating an alkenyl radical 112. At the same time, iodobenzene and hydrogen gas are produced, indicating that NaH acts as a reductant for PhICF3Cl via an electron-transfer pathway. Subsequently, the intermediate 112 combines with a hydrogen atom from the solvent DMF to yield the hydrotrifluoromethylated enamine product 110. The carbon radical released by DMF will further undergo dimerization, oxidation, hydrolysis, or other processes, thereby forming a mixture of products.

2.4 Reactions using DMF as an oxygen source

In 2022, Tang’s research group[40]reported a four-component cascade reaction under visible-light irradiation involving vinyl cyclopropane 113, N-(acyloxy)phthalimide ester 114, DMF, and water (Scheme 23). Through the processes of radical ring-opening of the vinyl cyclopropane, decarboxylative alkylation, and esterification, this reaction efficiently constructs ester compound 115. In this reaction, DMF serves both as the reaction solvent and as a source of oxygen atoms and CH groups, while the carbonyl oxygen in the product ester originates from water molecules. Moreover, the reaction exhibits good functional-group compatibility under ambient conditions.
图式23 可见光诱导下乙烯基环丙烷、N-(酰氧基)邻苯二甲酰亚胺酯、DMF和水的四组分串联反应[40]

Scheme 23 Visible-light-induced four-component tandem reaction of vinylcyclopropanes, N-(acyloxy)phthalimide esters, DMF and H2O[40]

2.5 The reaction of DMF as a bis-synthon

As a versatile dual synthon, DMF can collaboratively construct complex structures. The formyl and dimethylamino groups in its molecule can serve as distinct synthetic building blocks participating in reactions. Through a “one-pot, multi-step” cooperative transformation process, this approach not only simplifies operational steps but also enhances the atom economy of the reaction.

2.5.1 Metal-Free Cascade/Cyclization Reactions

In 2018, Chandrasekhar’s group[41]reported a cesium fluoride–promoted sequential [2+2]/[4+1] cycloaddition reaction involving arylyne 116,thiirane ylide 117, and DMF, thereby establishing a highly efficient new synthetic strategy for benzofuran 118 (Scheme 24a). This transformation exhibits good functional-group compatibility and broad substrate scope. Notably, the reaction can be successfully applied to the selective functionalization of the natural product estrone and to the synthesis of CYP19 aromatase inhibitors, highlighting the significant value of this reaction system in the construction of drug molecules.
图式24 芳炔、硫叶立德和DMF的串联环加成反应[41]

Scheme 24 Sequential cycloaddition reaction of aryne, sulfur ylide and DMF[41]

The research group proposed a possible reaction mechanism (Scheme 24b): Initially, the in situ-generated benzyne 119 from 116 undergoes a [2+2] cycloaddition with DMF to form a four-membered ring intermediate 119. Subsequently, the intermediate 120 undergoes ring-opening to yield compound 121, which then undergoes a [4+1] cycloaddition with the thia ylide 117 to afford the 2,3-dihydrobenzofuran 122. Finally, aromatization yields the benzofuran 118.
In 2022, Huang’s group[42]reported a three-component cascade reaction involving arylyne 123, the β-ketosulfonyl fluoride compound 124, and DMF (Scheme 25). Under potassium fluoride catalysis at 40 ℃ for 6 hours, this reaction successfully constructed a series of structurally diverse sulfonyl coumarin derivatives 125.
图式25 芳炔、β-酮磺酰氟化合物和DMF的三组分串联反应[42]

Scheme 25 Three-component tandem reaction of aryne, β-ketosulfonyl fluoride compounds, and DMF[42]

In 2019, the Gogoi group[43]developed a transition-metal-free catalyzed three-component cascade reaction involving arylyne 126, activated olefin 127, and DMF, which efficiently constructs ortho-formyl-substituted allylic aryl ether compounds 128(Scheme 26). This reaction involves the cleavage of C—O and C—C bonds, as well as the formation of new C—C bonds and double C—O bonds. Moreover, this strategy can be further extended for the one-pot synthesis of 2H-chromen-2-ol derivatives.
图式26 芳炔、活化烯烃和DMF的三组分串联反应[43]

2021年,Guo课题组[44]报道了一种在碘化钾/过硫酸钾体系作用下,以苯乙烯129和DMF作为原料,通过[4+2]环加成反应构建3,5-二芳基取代吡啶化合物130的方法(图式27a)。在该转化中,两分子苯乙烯中的C=C键参与了反应,向吡啶环提供了4个碳原子。此外,DMF作为独特的非连续原子供体,同时将氮原子和碳原子引入吡啶环的不同位点,无需外加氮源。

Scheme 26 Three-component tandem reaction of aryne, activated alkene, and DMF[43]

The research group proposed a possible reaction mechanism (Scheme 27b): First, styrene 129 is oxidized to intermediate 131. In the presence of K2S2O8, intermediate 131 reacts with DMF to form intermediate 132. Simultaneously, DMF decomposes at high temperature into dimethylamine 133 and methylamine 134. Next, intermediate 132 and methylamine 134 undergo condensation to yield the imine intermediate 135. Subsequently, styrene 129 undergoes a [4 + 2] cycloaddition reaction with intermediate 135, thereby forming intermediate 136. Then, in the presence of KI, intermediate 136 undergoes demethylation to yield intermediate 137. Finally, intermediate 137 undergoes aromatization to afford the product, the 3,5-diphenylpyridine compound 130.
图式27 芳基乙烯和DMF的环化反应[44]

Scheme 27 Cyclization reaction of aryl ethene and DMF[44]

2.5.2 Acid-Catalyzed Reductive Amination Reactions

In 2020, Nguyen’s research group[45]reported a trifluoromethanesulfonic acid–catalyzed reductive amination reaction between carbonyl compound 138and formamide 139,which successfully synthesized a series of tertiary amine derivatives 140(Figure S28). In this reaction, formamide 139serves both as an amine source and as a reducing agent. Notably, this catalytic system exhibits excellent substrate compatibility: regardless of whether the substituents on carbonyl compound 138are electron-withdrawing or electron-donating groups, they can be efficiently converted into tertiary amine products, with yields unaffected by electronic effects.
图式28 羰基化合物和甲酰胺的还原胺化反应[45]

Scheme 28 Reductive amination reaction of carbonyl compounds with formamids[45]

2.5.3 Copper-Catalyzed Cyclization Reactions

In 2020, Lin’s research group[46]developed a copper(I)-catalyzed regioselective cyclization reaction of β-(2-aminophenyl)-α,β-ynones 141with DMF, which efficiently constructs 3-acyl-4-aminoquinolines 142(Scheme 29a). The reaction is carried out in DMSO solvent under oxidative conditions with oxygen, where DMF serves as a dual synthon, providing both the CH unit and the N,N-dimethyl functional group.
图式29 DMF和β-(2-氨基苯基)-α,β-炔酮的环化反应[46]

Scheme 29 Cyclization reaction of DMF and β-(2-aminophenyl)-α,β-ynone[46]

The research group proposed a possible reaction mechanism (Scheme 29b): Initially, in the presence of DMSO and O2, Cu(I) is oxidized to Cu(II), which then reacts with DMF to form iminium ion 143. Subsequently, β-(2-aminophenyl)-α,β-ynone 141 undergoes nucleophilic addition to iminium ion 143, yielding intermediate 144. Next, intermediate 144 eliminates dimethylamine to form intermediate 145. Following this, intermediate 145 undergoes an aza-Michael addition with dimethylamine, and under the assistance of Cu(I), a 6-endo-dig cyclization occurs, affording intermediate 146. Finally, in the presence of Cu/DMSO/O2, intermediate 146 is oxidized to yield the desired product, 3-acyl-4-aminoquinoline 142.

3 Conclusion and Outlook

This article provides a systematic review of research progress over the past seven years on DMF as a versatile synthetic building block in organic synthesis, with a focus on its diverse applications as an amine source, carbon source, hydrogen source, oxygen source, and dual synthetic building block. A comprehensive analysis reveals that DMF, as a synthetic building block, offers advantages in flexibility and efficiency, primarily manifested in the following aspects: (1) DMF’s core advantage lies in its molecular structure, which simultaneously contains both a formyl group and a dimethylamino functional group, enabling it to participate in various types of chemical reactions; (2) In reactions, DMF often serves a dual role as both a solvent and a reaction substrate, effectively simplifying the reaction system and enhancing the atom economy of the reaction.
Although DMF has already yielded a series of research achievements as a synthon, we believe there is still room for further exploration and development in this field: (1) There are relatively few reports on the use of DMF as an amine source in cyclization reactions to construct nitrogen-containing heterocycles. In the future, in light of drug synthesis needs, “one-pot” reactions using DMF as the amine source could be designed to directly construct bioactive nitrogen-containing heterocycles from simple starting materials; (2) Few reaction types involve DMF as an oxygen or hydrogen source. In the future, acid-mediated or photo-induced hydrogen transfer mechanisms could be designed to achieve selective hydrogenation of compounds; (3) Research on reaction mechanisms still needs to be deepened. It is recommended to combine density functional theory (DFT) calculations to elucidate the activation pathways of functional groups in DMF, thereby providing theoretical guidance for designing highly selective reactions. With the advancement of science and technology, catalytic systems that utilize DMF as a synthon will have even broader application prospects in important fields such as organic synthesis, drug synthesis, and materials science.
[1]
Xu L J, Li Z J, Han F S, Gao X. Chin. J. Org. Chem., 2024, 44(1): 242

(徐利军, 李宗军, 韩福社, 高翔, 有机化学, 2024, 44(1): 242).

[2]
Varvounis G, Supsana P, Liaskopoulos T, Tsoungas P. Synlett, 2007, 2007(17): 2671.

[3]
Gowda M S, Pande S S, Ramakrishna R A, Prabhu K R. Org. Biomol. Chem., 2011, 9(15): 5365.

[4]
Liu Y Y, He G K, Chen K, Jin Y, Li Y F, Zhu H J. Eur. J. Org. Chem., 2011, 2011(27): 5323.

[5]
Gadipelly C, Vishwakarma R, Mannepalli L K. Arkivoc, 2022, vi: 152.

[6]
Diao X W, Yang D, Yang Q L, Cai X H. Chin. J. Org. Chem., 2021, 41(4): 1434

(刁学文, 杨迪, 杨启亮, 蔡小华, 有机化学, 2021, 41(4): 1434).

[7]
Yang Q, Sheng M, Huang Y L. Org. Process Res. Dev., 2020, 24(9): 1586.

[8]
Le Bras J, Muzart J. Molecules, 2018, 23(8): 1939.

[9]
Heravi M M, Ghavidel M, Mohammadkhani L. RSC Adv., 2018, 8(49): 27832.

[10]
La-ongthong K, Chantarojsiri T, Soorukram D, Leowanawat P, Reutrakul V, Kuhakarn C. Chem. Asian J., 2024, 19(9): e202400176.

[11]
Zheng J M, Li Y F, Pan Y X, Hu X D, Ye X X, Li R H. Green Chem., 2023, 25(8): 3016.

[12]
Yoshida H, Ito Y, Ohshita J. Chem. Commun., 2011, 47(30): 8512.

[13]
Guo W, Liao J H, Liu D Q, Li J W, Ji F H, Wu W Q, Jiang H F. Angew. Chem. Int. Ed., 2017, 56(5): 1289.

[14]
Xiao D D, Liu H L, Zhou P, Zhang G T, Liu W B. Chin. J. Org. Chem., 2022, 42(5): 1438

(肖朵朵, 刘海灵, 周鹏, 张建涛, 刘卫兵, 有机化学, 2022, 42(5): 1438).

[15]
Shet H, Patel M, Waikar J M, More P M, Sanghvi Y S, Kapdi A R. Chem. Asian J., 2023, 18: e202201006.

[16]
Ding S T, Jiao N. Angew. Chem. Int. Ed., 2012, 51(37): 9226.

[17]
Yang C, Zhang F, Deng G J, Gong H. J. Org. Chem., 2019, 84(1): 181.

[18]
Cheng T J, Chen J J, Wu P, Xu H, Dai H X. Org. Lett., 2021, 23(21): 8505.

[19]
Zhang S, Wang Z Y, Gao Y, Yamaguchi M, Bao M. Org. Biomol. Chem., 2023, 21(33): 6687.

[20]
Gaware S, Chatterjee R, Kapdi A R, Dandela R. Org. Biomol. Chem., 2023, 21(29): 5944.

[21]
Zhao M N, Yang Z M, Li L Q. Chem. Commun., 2024, 60(14): 1904.

[22]
Zhao M N, Yang Z M, Yang D S. Chin. J. Org. Chem., 2022, 42(1): 111

(赵咪娜, 杨梓墨, 杨得锁, 有机化学, 2022, 42(1): 111).

[23]
Weng Y Y, Zhou H, Sun C, Xie Y Y, Su W K. J. Org. Chem., 2017, 82(17): 9047.

[24]
Zheng L Y, Guo W, Fan X L. Asian J. Org. Chem., 2017, 6(7): 837.

[25]
Wang F K, Wu W, Xu X Y, Shao X S, Li Z. Tetrahedron Lett., 2018, 59(26): 2506.

[26]
Wang S C, Wang K, Kong X F, Zhang S H, Jiang G B, Ji F H. Adv. Synth. Catal., 2019, 361(17): 3986.

[27]
Liu Y T, Wang C L, Xia H M, Wang Z J, Wang Y F. Org. Biomol. Chem., 2019, 17(25): 6153.

[28]
Ning Y, He X, Zuo Y, Cai P, Xie M, Wang J, Shang Y. Adv. Synth. Catal., 2019, 361(15): 3518.

[29]
Xu Y W, Shen B, Liu L F, Qiao C H. Tetrahedron Lett., 2020, 61(19): 151844.

[30]
Weng Y Y, Chen H T, Li N H, Yang L, Ackermann L. Adv. Synth. Catal., 2021, 363(11): 2773.

[31]
Meng J, Xia H M, Xu A Q, Wang Y F, Wang Z J, Zhang F L. Org. Biomol. Chem., 2020, 18(26): 4922.

[32]
Xu J W, Li X, Wang S C, Kang C, Jiang G B, Ji F H. J. Org. Chem., 2023, 88(9): 6168.

[33]
Guo M Y, Huang X, Li S Z, Ma W Q, Liu A Q, Zhang X Y, Kuang Q L, Cheng L T, Song Y B, Hu X Y, Yuan J Y. J. Org. Chem., 2024, 89(20): 14612.

[34]
Fang R L, Zheng L, Chen X Y, Wang C, Chen Y F. Org. Biomol. Chem., 2024, 22(19): 3866.

[35]
Xu S B, Teng J G, Yu J T, Sun S, Cheng J. Org. Lett., 2019, 21(24): 9919.

[36]
Li X, Wang S C, Zang J W, Liu M C, Jiang G B, Ji F H. Org. Biomol. Chem., 2020, 18(44): 9100.

[37]
Saikia R, Park K, Masuda H, Itoh M, Yamada T, Sajiki H, Mahanta S P, Thakur A J, Bora U. Org. Biomol. Chem., 2021, 19(6): 1344.

[38]
Mousavi M, Bakavoli M, Shiri A, Tajabadi J. ChemistrySelect, 2018, 3(19): 5401.

[39]
Huang W Q, Zhang R Z, Zhang R X, Yu J X, Wang M. Org. Chem. Front., 2022, 9(8): 2169.

[40]
Chen P, Huang P F, Xiong B Q, Huang H W, Tang K W, Liu Y. Org. Lett., 2022, 24(31): 5726.

[41]
Gouthami P, Chavan L N, Chegondi R, Chandrasekhar S. J. Org. Chem., 2018, 83(6): 3325.

[42]
Huang Y, Zhao X Y, Chen D F, Zheng Y, Luo J Y, Huang S L. Eur. J. Org. Chem., 2022, 2022(27): e202200715.

[43]
Sharma A, Gogoi P. Org. Biomol. Chem., 2019, 17(2): 333.

[44]
Su M D, Liu H P, Cao Z Z, Liu Y F, Li H, Nie Z W, Yang T L, Luo W P, Liu Q, Guo C C. J. Org. Chem., 2021, 86(19): 13446.

[45]
Hussein M A, Dinh A H, Huynh V T, Nguyen T V. Chem. Commun., 2020, 56(61): 8691.

[46]
Ganesan B, Govindan K, Senadi G C, Kandasamy M, Lin W-Y. Chem. Commun., 2020, 56(48): 6488.

Outlines

/