Home Journals Progress in Chemistry
Progress in Chemistry

Abbreviation (ISO4): Prog Chem      Editor in chief: Jincai ZHAO

About  /  Aim & scope  /  Editorial board  /  Indexed  /  Contact  / 
Review

Application of UiO-66 Series MOFs in Proton Exchange Membranes

  • Mengxin Wang 1, 3 ,
  • Xiaocan Zhang , 2, 3, * ,
  • Qiong Zhou 1
Expand
  • 1 College of New Energy and Materials, China University of Petroleum (Beijing), Beijing 102249, China
  • 2 College of Science, China University of Petroleum (Beijing), Beijing 102249, China
  • 3 State Key Laboratory of Heavy Oil Processing, Beijing 102249, China

Received date: 2025-05-30

  Revised date: 2025-07-16

  Online published: 2025-12-10

Supported by

National Natural Science Foundation of China(22105225)

China State Key Laboratory of Heavy Oil Processing Research Fund(CNIF20250204)

Joint Research Institute for Carbon Neutrality(SKLHOP2024115806)

Abstract

Metal-organic frameworks (MOFs) are emerging proton-conducting materials widely used in the modification of proton exchange membranes (PEM). Among them, the UiO-66 series MOFs (UiO-MOFs) exhibit high thermal and chemical stability, and are easy to synthesize and modify, making them ideal for PEM modification. This paper primarily reviews related research on UiO-MOFs used for PEM modification over the past five years from the perspective of filler design and preparation. Section II introduces the materials and proton conduction mechanisms of UiO-MOFs. Section III summarizes the design of ligands and metal clusters in UiO-MOFs, such as acid/base group modifications and metal cluster replacements. Section IV consolidates the methods for post-synthetic modifications of UiO-MOFs, such as grafting acid/base groups using active functional groups from external crystal structures. Section V presents various composite schemes involving UiO-MOFs and other materials to construct composite fillers with different dimensionalities. Finally, the summary highlights unresolved issues regarding the use of UiO-MOFs in PEMs and proposes future research directions.

Contents

1 Introduction

2 UiO-MOFs and proton conduction mechanism

2.1 UiO-MOFs material properties

2.2 Proton conduction mechanism

3 Design strategy of UiO-MOFs ligands and metal clusters

3.1 Ligand functionalization regulation strategy

3.2 Metal clusters regulation strategy

4 Post-synthetic modification of UiO-MOFs

4.1 Acid group grafting system

4.2 Alkaline group synergistic modification system

5 Construction of UiO-MOFs composite fillers

5.1 Construction strategy of 1D ordered composite fillers

5.2 Construction strategy of 2D composite fillers

5.3 Multi-dimensional control strategy for 3D composite fillers

6 Conclusion and future work

Cite this article

Mengxin Wang , Xiaocan Zhang , Qiong Zhou . Application of UiO-66 Series MOFs in Proton Exchange Membranes[J]. Progress in Chemistry, 2025 , 37(12) : 1731 -1757 . DOI: 10.7536/PC20250522

1 Introduction

As a core component in modern energy conversion technologies such as proton exchange membrane fuel cells, water electrolysis for hydrogen production, and all-vanadium redox flow batteries, the performance parameters of proton exchange membranes (PEMs)—including proton conductivity, fuel permeability, mechanical strength, and thermochemical stability—directly determine the system’s energy conversion efficiency and operational durability[1].Currently, the main PEM material systems include perfluorosulfonic acid resins (Nafion series)[2],sulfonated poly(ether ether ketone) (SPEEK)[3],and polybenzimidazole (PBI)[4].These materials must simultaneously meet multiple technical requirements, including high proton conductivity, excellent fuel barrier properties, good dimensional stability, long-term operational durability, and cost-effective processing[5].To enhance overall performance, blending and modification techniques effectively optimize the various properties of membrane materials by establishing a synergistic mechanism between the polymer matrix and organic/inorganic reinforcing phases. Typical modification strategies include incorporating nanostructured reinforcing phases such as oxide nanoparticles[6],carbon-based materials[7],and porous materials[8,9].
Metal-organic frameworks (MOFs) are porous materials composed of a three-dimensional, infinitely extended network structure built from metal centers (metal ions or metal oxide clusters) and organic ligands. Their unique topological structure endows them with characteristics such as precisely tunable pore structures and ultra-high specific surface areas[10].Compared with traditional solid-state proton-conducting materials, MOFs exhibit the following differentiated advantages in PEMs: ① The porous confinement effect can efficiently anchor proton carriers (such as water molecules and phosphoric acid molecules), providing a directed migration pathway for proton transport through ordered channels[11-13]; ② The modular structural design allows for the modification of proton-conducting functional groups, such as sulfonic and phosphonic acid groups, within the ligands or channels, enabling precise control over proton-conducting active sites[14,15]; ③ Electrostatic interactions at the interface between MOFs and polymer matrices can suppress the motion of polymer chain segments, thereby synergistically enhancing the mechanical strength, thermal stability, and anti-swelling performance of the membrane material[16,17]; ④ Synthesis strategies based on coordination self-assembly feature high process controllability and significant potential for large-scale production[18,19].
Studies in this field have shown that unmodified MOFs generally exhibit low intrinsic proton conductivity (~10-6 S/cm)[20,21], primarily due to the absence of proton carriers and migration channels in their crystalline structures. The core strategies for enhancing the proton conductivity of MOFs focus on optimization at two levels: ① introducing dissociable proton sources at the molecular level (such as sulfonic acid groups, carboxylic acid groups, or ammonium counterions)[22]; ② constructing continuous hydrogen-bonded network conduction pathways at the mesoscopic scale[23]. These are typically achieved through molecular engineering approaches such as ligand functionalization, metal node modification, structural defect engineering, or guest molecule loading. Among the various MOF systems, zirconium-based MOFs (including the UiO and DUT series)[24]exhibit outstanding chemical and thermodynamic stability due to the high bond energy of the Zr―O bond (776.1±10.6 kJ/mol)[25]. Among these, the UiO series has become a hotspot material for MOF modification research, owing to its tunable ligand structure, convenient synthesis routes, and excellent stability[26]. In 2020, a pivotal review[27-29]systematically demonstrated the technical feasibility of the UiO-66 series MOFs (UiO-MOFs) in the field of proton conduction, thereby sparking a research boom in the use of these materials in PEM design (Fig. 1). Based on filler modification methods, this article systematically reviews the cutting-edge progress in the modification of UiO-MOFs for PEMs since 2020 from three dimensions: ligand/metal center regulation, post-synthetic modification techniques, and multi-component composite systems, and proposes future directions for development.
图1 UiO-MOFs改性手段分类文献占比与不同年份UiO-MOFs应用于PEM的文献数量统计

Fig.1 Classification of modification methods for UiO-MOFs and statistical analysis of the number of publications on the application of UiO-MOFs in PEM across different years

2 UiO-MOFs and the Proton Conduction Mechanism

2.1 UiO-MOFs Material Properties

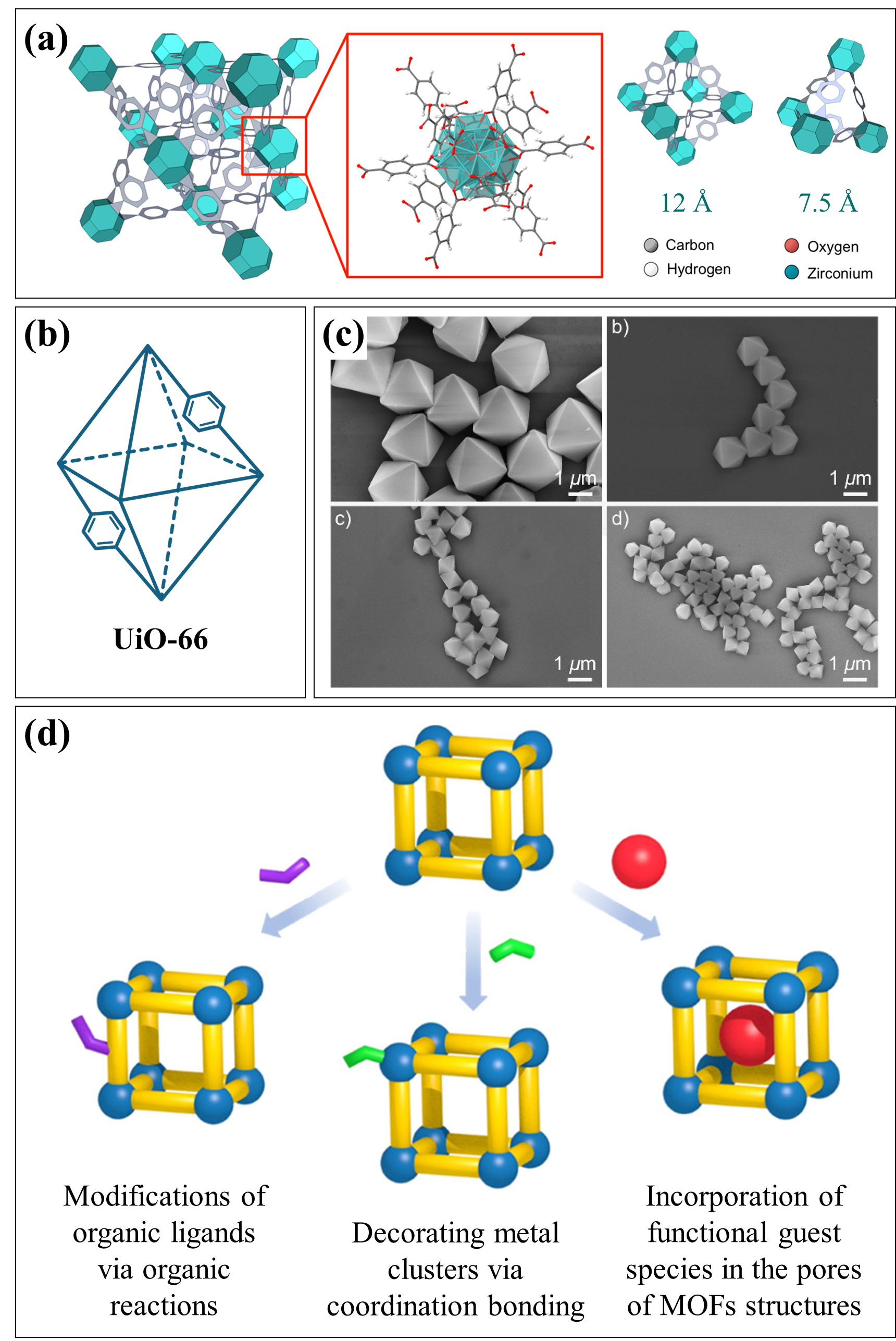
The Lillerud team at the University of Oslo (Universitetet i Oslo, UiO)[30]first reported the UiO-MOF system in 2008, successfully synthesizing a series of UiO-66, UiO-67, and UiO-68 materials that share the same topological structure but differ in pore size. Taking the prototypical UiO-66 as an example (Fig. 2a, b)[31], its three-dimensional framework is constructed by coordinating Zr6O4(OH)4secondary building units with 12 dicarboxylate bridging ligands, forming a hierarchical pore system that includes one octahedral center cage (12 Å) and eight tetrahedral corner cages (7.5 Å), with a main pore size of 6 Å. The most stable hydroxylated form of this material exhibits a face-centered cubic crystal system, belongs to the fcu topological structure, and has Fm-3mspace group symmetry, with lattice parameters of 20.7 Å[32]. Scanning electron microscopy (SEM) images (Fig. 2c)[33]clearly reveal the classic octahedral morphology of UiO-66. Studies have shown that by optimizing the concentration of modulators[34]or deprotonating agents[33], the crystal size and defect level can be precisely controlled, and the true pore structure can be observed using low-dose transmission electron microscopy[35]. The structural stability of UiO-MOFs primarily stems from the high bond energy of the Zr—O bonds, enabling them to maintain structural integrity in a variety of solvents (water, benzene, methanol, acetone, isopropanol, etc.)[26]. Thermal stability tests indicate that in an air environment at 300 ℃, UiO-66 undergoes only a dehydroxylation process while maintaining its crystal structure, and skeletal collapse does not occur until 500 ℃[36]. Its tunable hydrophilicity, abundant pore channels, and excellent structural durability make it well suited to meet the application requirements of PEMs.
图2 (a) UiO-66结构以面心立方排列为特征,包括金属节点(浅绿色)和配体(灰色)。节点由与12个对苯二甲酸连接体连接的金属原子形成,形成两种笼状结构(12和7.5 Å)[32];(b) UiO-66简易图;(c) 不同晶体尺寸UiO-66的SEM图像[33];(d) MOFs功能化的不同策略示意图[37]

Fig.2 (a) UiO-66 structure, characterized by a face-center-cubic arrangement, comprises metal nodes (aqua) and ligands (gray). The nodes are formed by metal atoms connected with 12 terepthalic acid linkers, resulting in two types of cage structures (12 and 7.5 Å)[32]; (b) schematic diagram of UiO-66; (c) SEM images of UiO-66 with different crystal sizes[33]; (d) schematic diagram of different strategies for the functionalization of MOFs[37]. Ref. [32] Copyright 2020 American Chemical Society. Ref. [33], Copyright 2017, American Chemical Society. Ref. [37], Copyright 2019, American Chemical Society

By employing strategies such as metal node modification, organic ligand functionalization, and guest molecule doping (Fig. 2d),diverse functional groups can be introduced into the UiO-MOF framework[37]. Specifically: metal cluster sites can anchor water molecules, ethanol, and imidazole molecules, or be replaced with atoms of the same coordination number, such as hafnium (Hf) or cerium (Ce); the modifiable sites on the benzene rings of dicarboxylic acid ligands allow for the introduction of functional groups such as thiol (―SH), hydroxyl (―OH), sulfonic acid (―SO3H), carboxyl (―COOH), amino (―NH2), and phosphate groups (―PO3H2), which provide reaction sites for further post-synthetic modifications[28]. Notably, extending the ligand length enables the construction of topologically equivalent derivatives such as UiO-67 and UiO-68; although their enlarged pores can accommodate more guest molecules, the increased porosity leads to reduced water stability, which is attributed to structural damage caused by elastic vibrations of the ligands during the adsorption–desorption of water molecules[38]. In addition, the targeted tuning of material properties can be achieved by loading functional guests (such as inorganic acids, ionic liquids, polyoxometalates, etc.) into the pores[39].

2.2 Analysis of Proton Conduction Mechanisms

The proton conduction in PEM systems is primarily achieved through three mechanisms (Figure 3)[40]: the surface mechanism, the vehicle mechanism, and the Grotthuss mechanism. The specific mechanisms of action are closely related to the degree of hydration of the system: in a low-hydration state, water molecules within the membrane exist as “bound water,” tightly adsorbed near the ―SO3H groups on the ion channel walls via electrostatic interactions. Under these conditions, proton conduction mainly occurs through constrained migration between adjacent ―SO3H sites (surface mechanism), resulting in a relatively low conduction rate. When the system reaches a fully hydrated state, the contribution of the surface mechanism becomes negligible, and proton conduction is predominantly governed by the cooperative action of the vehicle and Grotthuss mechanisms.
图3 质子传导机理示意图[40]

Fig.3 Schematic diagram of proton conduction mechanism[40]. Copyright 2012, Elsevier

The transport mechanism (also known as the vehicle-based mechanism) relies on free water molecules as proton carriers. Under highly hydrated conditions, a quasi-free-water environment forms in the central region of the water channel, and protons are transported via diffusion driven by concentration gradients of hydrated hydronium ions (H3O+, H9O4 +). This process has a relatively high activation energy (typically E a> 0.4 eV), and its transport efficiency is directly related to the diffusion dynamics of the carrier water molecules.
In the hopping mechanism, the hydrogen-bond network serves as the transport medium, and protons migrate across molecules through a concerted process of hydrogen-bond breaking and reformation. This mechanism has a relatively low activation energy (typically E a< 0.4 eV), and its conduction efficiency is influenced by two key factors: the density of the hydrogen-bond network and the presence of acid–base pairs. Increasing the material’s water absorption can enhance the density of hydrogen-bond sites, while the introduction of acid–base pairs such as —SO3H (a proton source) and —NH2(a proton-hopping site) can significantly optimize the proton-transport pathway. Acidic groups contribute to the formation of the hydrogen-bond network, whereas basic groups provide intermediate sites for proton hopping; the synergistic interaction between these two types of groups can substantially enhance proton conductivity[41].
For MOF-based proton conductors, the conduction behavior can be categorized into two types: water-mediated and anhydrous[42].The former relies on a hydrogen-bond network formed by external water molecules, while the latter requires three key conditions—high concentration of charge carriers, an ordered pore structure, and a strongly acidic environment—and utilizes non-volatile media (such as triazole, tetrazole, imidazole derivatives, ionic liquids, etc.) to construct continuous proton transport channels[43].In such systems, the mobility of proton carriers and their molecular reorientation capability play a decisive role in determining the conduction performance.

3 Design Strategies for UiO-MOF Ligands and Metal Centers

3.1 Ligand Functionalization Regulation Strategy

3.1.1 Strategy without group modification

The pristine UiO-66 constructed using terephthalic acid ligands exhibits a proton conductivity of only 6.3×10-6 S/cm under conditions of 80 ℃ and 98% RH (relative humidity), and its low conductivity limits its application in low-temperature PEMs[44]. The Costantino team[45]found through blending UiO-66 with different particle sizes with Nafion that SEM characterization revealed that smaller UiO-66 crystals (~20 nm) tend to form agglomerates within the membrane, whereas larger fillers (~200 nm) maintain good dispersion. Based on this, the authors speculate that when the filler loading is low, the enhancement in composite membrane conductivity does not stem from changes in hydration but rather from MOF particles altering the microstructure of the ionomer matrix—specifically by reducing the tortuosity of proton conduction pathways and enhancing the connectivity of Nafion ion clusters. The team led by Wang Lihua and Zhang Jianling at the Institute of Chemistry, Chinese Academy of Sciences[46]introduced UiO-66 into SPEEK; no typical “sieve-in-a-cage” morphological features were observed in the composite membrane, confirming strong interactions between the MOFs and the polymer matrix. The conductivity of the composite membrane was comparable to that of the pure membrane, but the pore size sieving effect of the MOFs reduced the vanadium ion permeability coefficient. This phenomenon was also verified in PBI-based composite membrane systems. The research by Wang Shuang’s group[47]demonstrated that the composite membranes prepared by incorporating UiO-66 into a sulfonated PBI matrix also exhibit excellent vanadium ion barrier performance. Da Trindade et al.[48]prepared composite membranes by blending UiO-66 synthesized via microwave-assisted solvothermal methods with SPEEK/PBI; in these membranes, the microporous structure of the MOFs not only provides enrichment sites for water molecules but also forms a continuous proton transport pathway through a hydrogen-bond network with the polymer matrix, thereby significantly enhancing the proton conductivity of the composite membrane.
In the field of high-temperature PEMs, pristine UiO-66 exhibits unique advantages due to its well-ordered pore structure. The research group led by Wang Lei at Shenzhen University[49]incorporated 40 wt% (mass fraction) of UiO-66 into a matrix of linear poly[2,2′-(p-phenylene)-5,5′-benzimidazole] (OPBI) containing flexible ether linkages. In this matrix, the MOFs form distinct interconnected regions (Fig. 4a, b),which facilitate the formation of long-range continuous channels after phosphoric acid doping. Consequently, at a low phosphoric acid doping level (73.25%), a proton conductivity of 0.092 S/cm (160 ℃) was achieved, which is 1.84 times higher than that of a system with 217.43% phosphoric acid doping without MOF filling. Cycling performance tests showed that after 12 cycles, the 40% UiO-66@OPBI composite membrane still maintained a peak power density of approximately 500 mW/cm2,with a relatively stable internal resistance. This is mainly attributed to the continuous proton transport channels formed by UiO-66 and its effective suppression of phosphoric acid molecule loss. Furthermore, the same research group[50]combined cross-linked branched OPBI (CBOPBI) with UiO-66, and under 126% phosphoric acid doping, the CBOPBI@MOF 40% membrane achieved a high conductivity of 0.100 S/cm (160 ℃). This composite membrane exhibited an outstanding peak power density of 607 mW/cm2 under non-humidified conditions, while maintaining a high open-circuit voltage (OCV), indicating a low gas permeability. This is attributed to the cross-linked polymer network, which enhances phosphoric acid adsorption capacity while suppressing membrane swelling. Notably, after 187 hours of continuous operation at 160 ℃ and 200 mA/cm2, the OCV decay rate (36.0 μV/h) was significantly lower than that of the linear OPBI/MOFs composite system (150 μV/h)[49].
图4 (a) PA掺杂UIO-66@OPBI膜中质子传导路径示意图;(b) 0% UIO-66@OPBI和40% UIO-66@OPBI膜截面SEM图像[49]

Fig.4 (a) Schematic diagram of proton conduction pathways in PA-doped UIO-66@OPBI membranes; (b) SEM images of 0% UIO-66@OPBI and 40% UIO-66@OPBI membrane cross-section[49]. Copyright 2020, American Chemical Society

The structural stability of MOFs in a phosphoric acid environment requires particular attention. The study by Devrim et al.[51]further reveals that a PBI composite membrane containing 10 wt% UiO-66 exhibits a threefold increase in ionic conductivity, but this is accompanied by increased hydrogen permeability and reduced mechanical performance. The research group led by Wang Lei[52]systematically demonstrated that after immersion in phosphoric acid at 160 ℃, the framework of UiO-66 and its —COOH derivatives disintegrates, leaving only the ligands to provide conductive sites; in contrast, UiO-66 modified with —NH2and —SO3H completely dissolves to form nanoscale channels. Using phosphoric acid to etch UiO-66-NH2,the team[53]enabled the complete release of —COOH from the Zr2+ surface, thereby constructing, for the first time in a CBOPBI membrane, a unique and highly efficient carboxyl proton transport channel. By introducing a silane cross-linking structure, this composite membrane not only significantly enhances the stability of phosphoric acid loading but also improves its mechanical properties. The resulting porous membrane features a highly dense pore wall structure, with isolated short-range pores effectively inhibiting fuel gas permeation, resulting in a high OCV of 1.003 V. Notably, the phosphoric acid-doped CBOPBI-P40 membrane prepared using UiO-66-NH2as a sacrificial template exhibits excellent broad-temperature adaptability (80–180 ℃) and achieves a peak power density of 750 mW/cm2 under 180 ℃ conditions without humidification. After continuous operation for 387 hours at 160 ℃ and 200 mA/cm2, the OCV decay rate drops to as low as 10 μV/h, demonstrating outstanding long-term stability.

3.1.2 Functionalization Strategy Using Acidic and Basic Groups

3.1.2.1 Functionalization Strategy Using Acidic Functional Groups

By functionalizing UiO-MOFs with hydrophilic acidic groups (―COOH, ―SO3H, etc.) (Fig. 5a), the proton conductivity of the material can be significantly optimized: on the one hand, the material's water absorption is enhanced, promoting the bonding of water molecules at the polymer/MOFs interface and facilitating the formation of a continuous hydrogen-bonding network; on the other hand, the dissociation of acidic groups provides additional proton sources and proton hopping sites. The team led by Wang Shaorong[54] prepared membranes by blending UiO-66-(COOH)2 with polyvinylpyrrolidone (PVP) and polyvinylidene fluoride (PVDF). The two flexible polymer chains tightly encapsulate the MOFs particles, significantly improving the interfacial compatibility of the material. At the same time, the proton-conducting properties and water-retention capacity conferred by the acidic groups on the MOFs surface work synergistically, enabling the composite membrane to achieve an electrical conductivity of 5.8×10-3 S/cm under conditions of 20 ℃ and 98% RH—a three-orders-of-magnitude improvement over the pure membrane—and to maintain more than 90% stability in electrical conductivity over a 7-day continuous test. The team led by Wang Lei[55] pioneered the introduction of ―PO3H2-functionalized UiO-66 into the OPBI system. Their study found that when the MOFs doping level reaches 40 wt%, they form a continuous phase distribution within the matrix, not only keeping the phosphate adsorption level low at 70.89% but also effectively suppressing phosphate leakage, thereby yielding excellent fuel cell performance. The resulting high-temperature membrane delivers a peak power density of 725 mW/cm2 under anhydrous conditions (160 ℃) and exhibits good stability in a 200-hour continuous operation test, with an OCV decay rate of only 66 μV/h.
图5 (a) 酸性基团改性UiO-MOFs简易图[54-57];(b) 嵌入Nafion基质中的S-U66和杂化膜中三种类型的质子传输通道的示意图[56];(c) 微嵌段聚合物链结构和胶束示意图及USO-15 wt%@SPP-3膜截面SEM图[59]

Fig.5 (a) Schematic diagram of acidic group modified UiO-MOFs[54-57]; (b) schematic illustration of S-U66 embedded in Nafion matrix and three types of proton transport channels in hybrid membranes[56]; (c) schematic diagram of microblock polymer chain structures and micelles, along with SEM images of USO-15 wt%@SPP-3 membrane cross-sections[59]. Ref. [56], Copyright 2021, Elsevier. Ref. [59], Copyright 2025, Elsevier

To optimize the interfacial conduction mechanism, the team led by Huang Kang at Nanjing Tech University[56]composite UiO-66-SO3H with Nafion to construct a hierarchical proton transport network (Fig. 5b): In addition to the intrinsic sulfonic acid group channels of Nafion, new channels are introduced through the internal pores of the MOFs and at the MOF/polymer interface. Further research by the Chi team[57]shows that after UiO-66-SO3H is compounded with sulfonated polysulfone (SPSF), the uniformly dispersed fillers, through their strong interactions with the SO3H groups in the matrix, can inhibit polymer segmental motion, raising the glass transition temperature from 184 ℃ to 196 ℃ while increasing the tensile strength of the material from 119 MPa to 163 MPa. The study also indicates that the ability of UiO-66-SO3H to enhance dimensional stability in polymer matrices is universal. In an SPEEK matrix, UiO-66-SO3H can effectively suppress matrix swelling behavior through its strong interactions between sulfonic acid groups and polymer chains, significantly improving dimensional stability[58]. This finding corroborates the results from the previously mentioned systems[56,57], further confirming the unique advantages of sulfonated MOFs in enhancing PEM performance.
The research group led by Fan Yong at Jilin University, in collaboration with the teams of Zheng Jifu and Zhang Suobo from the Institute of Applied Chemistry, Chinese Academy of Sciences, Changchun[59],conducted an innovative study. In this study, UiO-66-(SO3H)2, which exhibits superior proton conductivity, was incorporated into a sulfonated microblock copolymer containing a high density of meta-ether oxygen linkages to prepare a composite membrane material. SEM characterization revealed that the cross-section of the composite membrane exhibited a uniform, dense, continuous phase structure, with no obvious filler agglomeration or interfacial defects observed (Fig. 5c). This excellent dispersion property is primarily attributed to the intermolecular interactions between the polymer’s hydrophobic segments and the sulfonic acid groups of the MOFs. The study found that, in the polymer system, the core-crown interfacial region rich in ether oxygen bonds (i.e., the interface between the hydrophobic core and the hydrophilic crown layer) can serve as an effective heterogeneous interface for binding with MOF materials. The research team further elucidated the relationship between the material’s structural features and its performance: the persistence length of the hydrophobic structure is positively correlated with the effective contact area of the MOFs, and this correlation strengthens as the MOF loading increases. Based on these findings, the team proposed a new strategy for optimizing interfacial compatibility—selecting MOF materials whose persistence length matches that of the polymer matrix. This study not only confirms the role of acidic group modification in enhancing proton conductivity but also reveals its synergistic effect in improving the thermomechanical properties of membrane materials.

3.1.2.2 Functionalization Strategy with Basic Groups

The type of functional groups in modified fillers exerts a significant regulatory effect on the performance of proton exchange membranes. Compared to filler systems that introduce only acidic groups, fillers containing basic groups (such as —NH2)can form strong directional interactions with the acidic groups in the membrane matrix, thereby enabling precise control over the ion-cluster structure. This synergistic effect not only optimizes the kinetics of protonation/deprotonation reactions but also creates a rich network of proton-hop sites, forming low-activation-energy proton-conduction pathways. Take UiO-66-NH2, whose ligand contains —NH2, as an example (Fig. 6a). The team led by Xiao Wei[60,61]successfully prepared this MOF material using a more efficient microwave-assisted heating method and enhanced the ion selectivity of the membrane by blending it with Nafion. Other researchers have also observed the conductivity-enhancing effect of UiO-66-NH2in sulfonated polyarylether nitrile (SPEN)[62]and sulfonated polyphosphazene (SPFPP)[63]. In terms of structural innovation, the three-layer SUS composite membrane developed by the team led by Yin Chongshan[64](Fig. 6b) exhibits unique advantages: the middle layer consists of a UiO-66-NH2/Nafion composite layer (U) with water-storage capabilities, while the two outer layers employ a sulfonated carbon-nanotube/Nafion layer (S) to enhance thermal stability and gas barrier properties. Thanks to the water-retention enhancement mechanism of this structure, the SUS5 membrane achieves a high proton conductivity of 0.428 S/cm at 145 °C, and under 132 hours of accelerated temperature cycling (80–130 °C without external humidification), the conductivity retention rate reaches 91.1%, significantly higher than the 51.2% for Nafion membranes. At the same time, the power density of the SUS5 membrane fuel cell reaches 949 mW/cm2at 115 °C (Nafion membranes are typically tested at 80 °C or below), demonstrating excellent high-temperature water-retention performance.
图6 (a) UiO-66-NH2简易图;(b) SUS三层膜结构示意图[64];(c) UiO-66-NH2-SPES复合膜的质子传导机理[66]

Fig. 6 (a) Schematic diagram of UiO-66-NH2; (b) schematic of the SUS three-layer membrane structure[64]; (c) proton transfer mechanism of the UiO-66-NH2-SPES composite membrane[66]. Ref. [64], Copyright 2024, Elsevier. Ref. [66], Copyright 2023, American Chemical Society

The team led by Wang Lei[65]developed an innovative material treatment method to convert UiO-66-NH2 into nitrogen-rich carbonized MOF materials via calcination under vacuum at 800 ℃, and then compounded these with PBI to prepare a PEM. This modified filler exhibits significant advantages: compared with conventional MOF materials, it demonstrates superior chemical stability in concentrated phosphoric acid environments and under high-temperature conditions. The research team revealed a triple synergistic proton conduction mechanism for this composite membrane: ① the porous MOF framework retained after calcination provides continuous proton transport channels; ② the abundant nitrogen sites in the material promote proton hopping conduction by forming acid-base pairs; ③ the zirconium phosphate component generated in situ within the system enables self-driven proton conduction. Notably, even under lower phosphoric acid doping levels (ADL), the proton conductivity of this composite membrane remains significantly higher than that of comparative samples containing porous carbon or zirconia, with a peak power density reaching 952 mW/cm2,which is the highest level reported to date among phosphoric acid-doped inorganic/polymer-based high-temperature proton exchange membranes.
Regarding the issue of filler detachment in traditional blended composite membranes, covalent crosslinking technology not only effectively inhibits filler detachment but also simultaneously enhances the mechanical strength of the membrane. The research group led by Zhang Chenxi at Tianjin University of Science and Technology[66]covalently anchored UiO-66-NH2to the sulfonated polyethersulfone (SPES) backbone (Fig. 6c), leveraging the chemical bonding between the —NH2groups of the MOFs and the —SO2Cl groups of chlorosulfonated polyethersulfone to construct stable proton-conducting channels within the membrane. Experimental results indicate that when the filler content is 3 wt%, the MOF fillers are uniformly dispersed in the SPES matrix and are fully encapsulated by the polymer matrix, forming a dense, defect-free microstructure. Under conditions of 80 ℃ and 98% RH, the proton conductivity of this chemically bonded membrane is 6.2 times higher than that of a physically blended membrane, thereby fully validating the significant enhancement effect of the chemical bonding strategy on proton transport efficiency. Single-cell tests reveal a high OCV of 0.978 V, confirming that the crosslinked membrane exhibits excellent compactness and can effectively prevent fuel crossover. Similarly, the team led by Xu Jingmei[67]chemically anchored UiO-66-NH2to the polymer backbone of sulfonated polyaryletherketonesulfone (SAPEKS) containing —NH2groups via the Hinsberg reaction, resulting in a composite membrane with a uniform and dense cross-section and a swelling ratio of less than 9.49% at 100 ℃.

3.1.3 Co-modification strategy using acidic and basic functional groups

As described in Section 3.1.2, introducing fillers modified with either acidic or basic functional groups alone can effectively enhance the proton conductivity of PEMs. To further strengthen this enhancing effect, researchers have proposed a synergistic modification strategy using acid–base functional groups: by simultaneously introducing two types of complementary functional groups into the membrane system, the synergistic interaction between acid–base pairs is leveraged to construct continuous proton transport channels. This strategy has demonstrated significant advantages in UiO-MOF-based composite membrane systems.
The research group of Wu Peiyi at Fudan University[68]was the first to co-dope two functionalized MOFs (UiO-66-NH2and UiO-66-SO3H) into a Nafion matrix, successfully achieving an acid-base synergistic effect. Experiments show that under conditions of 90 ℃ and 95% RH, the proton conductivity of the composite membrane reaches 0.256 S/cm, which is 1.17 times higher than that of a pure Nafion membrane. A 3000-min long-term stability test reveals that the conductivity decay rate is less than 5%, demonstrating excellent durability. Atomic force microscopy (AFM) phase imaging confirms that the co-doping of the two MOF components promotes the formation of a more continuous ion-cluster network (dark regions) in the composite membrane under high-humidity conditions, significantly optimizing the proton transport channels (Fig. 7a). Building on this, the team led by Li Feifei[69]further combined these two MOFs with chitosan (CS), finding that the conductivity of the composite membrane is 1.86 times higher than that of a pure CS membrane. Notably, under anhydrous conditions at 120 ℃, a membrane doped with a single MOF completely loses its conductivity, whereas the dual-component composite membrane still maintains a proton conductivity of 3.78×10-3 S/cm, fully validating the synergistic stabilizing effect between the acid-base functional groups and the polymer matrix.
图7 (a) 复合膜内两类MOFs与聚合物三者之间的相互作用及膜的AFM相图[68];(b) NUS简易图和SPEEK/NUS-X复合膜中四类质子传输机理及膜截面SEM图[70]

Fig.7 (a) The interactions among two types of MOFs and polymers within composite membranes and AFM phase diagram of membranes[68]; (b) schematic diagram of NUS as well as four types of proton transport mechanisms in SPEEK/NUS-X composite membranes and cross-sectional SEM images of membranes[70]. Ref. [68], Copyright 2017, American Chemical Society. Ref. [70], Copyright 2024, Elsevier

To optimize synergistic effects, our research group[70]developed a one-pot synthesis technique and successfully prepared amino-sulfonic acid bifunctionally modified UiO-66 (NUS). SEM characterization of the blend membranes prepared by mixing this bifunctional MOF with SPEEK reveals that the NUS filler is uniformly dispersed in the SPEEK matrix and forms a distinctive ring-like network structure (Fig. 7b). This morphological feature arises from the strong interactions between the filler and the polymer matrix, with the aggregation effect of the —SO3H functional groups inducing the rearrangement of polymer chains. Under conditions of 70 ℃ and 100% RH, the SPEEK/NUS-1.5 composite membrane exhibits an outstanding proton conductivity of 0.178 S/cm and retains 89.3% of its initial proton conductivity after a 300-hour long-term test. Small-angle X-ray scattering (SAXS) analysis indicates that the characteristic scattering peak of the composite membrane disappears, primarily due to the continuous restructuring of hydrogen bonds within the acid–base pair network formed inside the membrane, which constructs proton-conducting channels that span the entire membrane structure. The uniformly distributed electron density eliminates the original phase-separation features, and this dynamic hydrogen-bond network significantly enhances proton transport efficiency. Collectively, the above studies reveal the core advantage of the acid–base synergistic modification strategy: by rationally designing the functional group ratios and spatial distribution of functionalized MOFs, a three-dimensional continuous proton-conducting network can be constructed within the polymer matrix. This structure not only significantly enhances proton conductivity but also improves the stability of the composite membrane under high-temperature and low-humidity conditions, providing new insights for the development of high-performance proton exchange membranes.

3.2 Metal Center Regulation Strategies

In summary, existing scoring systems have limited predictive capabilities for bleeding events, and their results are inconsistent[25,30,33].
图8 (a) 金属中心的元素选择;(b) 不同金属中心UiO-66的水吸附等温线和瞬态图及金属附近水分子的数量和瞬态图[76];(c) 金属中心的氟化改性与制备UN-X%或F-UN-X%@Nafion的流程图[78]

Fig.8 (a) Element selection of metal clusters; (b) water adsorption isotherm and snapshots, as well as number and snapshots of water molecules near metal of UiO-66[76]; (c) fluorination modification of metal clusters and flow diagram for preparing UN-X% or F-UN-X%@Nafion[78]. Ref. [76], Copyright 2023, Elsevier. Ref. [78], Copyright 2021, Elsevier

Regarding the choice of metal centers, in addition to the widely studied zirconium-based UiO-MOFs, hafnium (Hf), which belongs to Group IVB, exhibits unique advantages. Due to the similar atomic radii and identical valence electron configurations of Hf and Zr atoms[72], their respective analogs exhibit comparable physical properties. Notably, the bond dissociation enthalpy of the Hf―O bond (802 kJ/mol) is significantly higher than that of the Zr―O bond (776 kJ/mol)[73], a feature that endows Hf―O-based MOFs with stronger Brønsted acidic sites[74]. Furthermore, Hf-based MOFs have attracted considerable attention due to their superior high crystallinity; by rationally selecting modulators and optimizing reaction conditions, they can be synthesized rapidly and in large quantities. The teams led by Li Zifeng and Li Gang at Zhengzhou University[75]designed and prepared an Hf-based UiO-66 with ligands containing both ―OH and ―NH2 functional groups. After post-synthetic modification to introduce free carboxylic acid groups, the material was compounded with CS to fabricate a composite membrane. Experiments show that under conditions of 100 ℃ and 98% RH, the proton conductivity of the CS/SA-1-6 composite membrane reaches 0.0219 S/cm. The enhanced performance may stem from the strong coordination ability of Hf4+, which promotes the formation of a high-density proton source within the MOF framework and facilitates effective connectivity of proton transport channels via a hydrogen-bonding network.
Lanthanide metal-based MOFs have attracted considerable attention due to their unique water molecule coordination properties. In these materials, lanthanide metal atoms typically exhibit high coordination capabilities, forming stable coordination structures with multiple water molecules, thereby creating favorable conditions for constructing continuous hydrogen-bond networks. Tu Zhengkai, Li Song, and others[76]systematically compared the performance differences between cerium-based (Ce-UiO-66) and zirconium-based (Zr-UiO-66) MOFs. After being compounded with Nafion, the Ce-UiO-66/Nafion membrane achieved a proton conductivity of 0.124 S/cm under conditions of 80 ℃ and 90% RH, representing a 12.7% improvement over the zirconium-based composite membrane. Mechanistic analysis indicates (Fig. 8b) that Ce3+not only broadens the proton transport pathways by increasing the number of coordinated water molecules, but its lower electronegativity also facilitates the dissociation of protons from —OH groups. This dual effect significantly enhances proton conduction efficiency. He Xuan, Zhao Lei, and others[77]innovatively used acetic acid as a modulator to successfully construct MOFs with linker defects (d-UiO-66) during the preparation of cerium-based UiO-66 materials. This defect-engineering strategy exhibits multiple advantages: First, structural defects effectively reduce the energy barrier for the Ce3+/Ce4+redox couple, significantly enhancing the material’s free-radical scavenging capacity; second, the π-electron delocalization effect induced by defects not only promotes the formation of high-density hydrogen-bond networks but also enhances the mobility of π electrons, thereby providing an efficient transport channel for proton hopping and achieving outstanding proton conduction performance. This study pioneeringly introduces the concept of defect engineering into the field of UiO-MOF-modified PEMs, possessing significant academic value.
Currently, research on improving the dispersibility of MOFs in polymer matrices through modification and functionalization of their metal centers is relatively limited. The research group led by Fan Yong at Jilin University[78]innovatively used sodium fluoride to modify the metal centers of UiO-66-NH2,successfully constructing abundant Zr—F bonds and inducing a pore-blocking effect (Fig. 8c). A series of F-UN@Nafion composite membranes prepared by the casting method not only significantly enhanced the dispersibility of the filler but also markedly improved the mechanical properties of the membrane. Among them, the tensile strength of the F-UN-5.0%@Nafion composite membrane reached 35.8 MPa, representing an 83.5% improvement over the re-cast Nafion membrane (19.5 MPa). Notably, the water uptake of the composite membrane was lower than that of the re-cast Nafion membrane, which can be attributed to the multiple hydrogen bonding interactions formed between the amino groups within the membrane and other polar groups. These interactions promote the dense packing of perfluoroalkyl chains while restricting their rotational degrees of freedom, thereby effectively reducing the water uptake performance of the composite membrane.
These studies reveal the regulatory principles of metal center modulation on the proton conductivity of MOFs: By optimizing the coordination ability and electronic properties of the metal center, the density of acidic sites, the binding strength of water molecules, and the proton dissociation efficiency of the material can be synergistically regulated, providing important theoretical guidance for designing high-performance proton-conducting materials.

4 Post-synthetic modification strategies for UiO-MOFs

Post-synthetic modification (PSM), as an important method for functionalizing MOFs, enables precise control over the surface chemistry of MOFs by covalently grafting specific molecules onto active functional groups within the framework (such as —NH2, —SH, etc.), thereby significantly enhancing their compatibility with polymer matrices. Take the UiO-66 series as an example: the proton conductivity of unmodified UiO-66, UiO-66-SO3H, and UiO-66-NH2is generally at a medium to low level (3.4×10-3 S/cm and 1.0×10-3 S/cm), whereas the conductivity of MOF materials modified via PSM strategies can be enhanced to the order of 10-1 S/cm, comparable to that of commercial Nafion membranes[28]. This performance leap enables highly conductive MOF fillers, even when added at low loadings (<5 wt%), to significantly improve the proton conductivity of composite membranes.

4.1 Acidic group grafting system

Sulfonic acid functionalization based on UiO-66-NH2is a current research hotspot. Researchers commonly use 1,3-propanesultone (1,3-PS) or 1,4-butanesultone (1,4-BS) to react with UiO-66-NH2, grafting flexible alkyl sulfonic acid chains (Fig. 9a, b) to construct bifunctional MOFs that combine acidic sites with structural stability. The teams of Jana and Das[79]modified UiO-66-NH2with 1,3-PS and 1,4-BS and compounded it with OPBI to prepare phosphate-doped high-temperature proton exchange membranes. Experiments show that after grafting, a dense interfacial hydrogen-bond network forms between the sulfonic acid groups on the MOF surface, phosphoric acid, and the primary and secondary amines within the membrane, significantly enhancing the proton conductivity stability of the composite membrane at 160 ℃. Microstructural analysis reveals that the cross-sectional SEM images of the membrane exhibit a distinct fibrous network morphology (Fig. 10a2–a4), indicating strong interfacial interactions between the matrix and the filler. Transmission electron microscopy (TEM) observations further confirm that the MOFs undergo self-assembly within the OPBI matrix, forming a three-dimensional network structure that runs through the entire membrane (Fig. 10a5–a7). The formation mechanism of this anisotropic structure can be attributed to: ① specific interactions among functional groups on the MOF surface driving the self-assembly process; ② hydrogen bonding interactions between MOF functional groups and polymer N—H groups. Notably, this self-assembly behavior induces the formation of novel crystal facets (Fig. 10a1).
图9 UiO-66-NH2接枝(a) 1,3-丙烷磺酸内酯[79,81-83], (b) 1,4-丁烷磺酸内酯[79,80], (c) 1,3-丙二醇环硫酸酯[85], (d) 5-磷酸吡哆醛水合物[87]

Fig.9 UiO-66-NH2 grafted with (a) 1,3-propanesultone[79,81-83]; (b) 1,4-butanesultone[79,80]; (c) 1,3-propanediol cyclic sulfate[85]; (d) pyridoxal 5-phosphatemonohydrate [87]

图10 (a) OPBI、PSM 2和纳米复合膜的XRD图(a1)及纯OPBI、PSM 1-10%和PSM 2-10%复合膜的SEM横截面图像(a2~a4),PSM 1-10% (a5)和PSM 2-10% (a6, a7)的TEM图像[79];(b) PUNSNPs/SPEEK=20%的截面SEM图[81];(c) SPEEK/UNC3S-3的STEM图像和SPEEK/NCC3S-3的高倍STEM-HAADF (c1)与元素分析(c2~c4)[82];(d) 染色PBIU-0.40 (d1)和UIO-66OSO3纳米颗粒之间密集离子簇(d2)的TEM图像[85]

Fig. 10 (a) XRD patterns of OPBI, PSM 2 and nanocomposite membranes (a1), SEM cross-sectional images of pristine OPBI, PSM 1-10% and PSM 2-10% composite membranes (a2~a4), TEM images of PSM 1-10% (a5) and PSM 2-10% (a6, a7)[79]; (b) SEM cross-section images of PUNSNPs/SPEEK=20%[81]; (c) STEM image of SPEEK/UNC3S-3, high magnification STEM-HAADF (c1) and elemental analysis of SPEEK/UNC3S-3 (c2~c4)[82]; (d) TEM image of stained PBIU-0.40 (d1) and densely ionic clusters between UIO-66OSO3 nanoparticles (d2)[85]. Ref. [79], Copyright 2020, American Chemical Society. Ref. [81], Copyright 2023, Elsevier. Refs. [82,85], Copyright 2022, Elsevier

Wong et al.[80]The system compared the impact of 1,4-BS modification on the phosphate doping level in MOFs before and after modification, finding that the interconnected channels of the modified MOFs can adsorb more phosphate molecules. Thermogravimetric analysis confirmed that their water retention capacity is positively correlated with acid absorption, thereby ensuring proton transport under high-temperature and low-humidity conditions.
Chen Yingbo’s team[81]innovatively reacted PVP-assisted modified UiO-66-NH2with 1,3-PS, resulting in MOFs that dissolve in the SPEEK matrix to form continuous nanochannels. Studies have shown that the MOF loading significantly regulates the microstructure of the composite membrane, directly influencing the size distribution of the nanochannels, porosity, and surface morphology of the membrane. SEM characterization (Fig. 10bFigure 10b)reveals that the MOFs/SPEEK composite membrane exhibits a unique pinecone-like structure, with MOF particles uniformly distributed within the polymer matrix, surrounded by self-assembled SPEEK molecular chains forming a well-ordered “wall” structure. After the MOFs dissolve, the in-situ-formed nanochannels not only exhibit precise size control but also effectively immobilize phosphate molecules. This structural advantage enables the composite membrane to achieve a proton conductivity of 0.350 S/cm at 80 ℃ and 100% RH, with dimensional stability approximately 1.5 times greater than that of pure SPEEK membranes. More notably, after 3 hours of treatment with Fenton’s reagent under harsh conditions of 80 ℃, the composite membrane still maintains structural integrity, and the retention rate of its proton conduction performance exceeds 60%, demonstrating exceptional chemical stability.
Our research group[82]blended low-sulfonated SPEEK with 1,3-PS-modified MOFs and used high-angle annular dark-field scanning transmission electron microscopy (HAADF-STEM) to investigate the distribution of MOFs in the hydrophilic phase of the composite membrane (Figure 10c). The jagged bright regions in the image correspond to MOF particles, while the dark regions represent the hydrophobic carbon backbone of SPEEK. It is evident that a network of interconnected hydrophilic channels has formed between the MOF particles. SAXS results indicate that the ion-cluster size in the SPEEK/UNCS-3 composite membrane decreases from 3.96 nm in the pure membrane to 3.34 nm. This phenomenon can be attributed to the flexible sulfonic acid chains on the MOF surface, which can bridge adjacent proton channels and thereby shorten the proton-conduction distance.
In addition, Chen Yingbo’s team[83]demonstrated that UiO-66-NH2 grafted with 1,3-PScan still be uniformly dispersed in the SPEEK matrix even at a high loading level (30 wt%), with a maximum conductivity of 0.273 S/cm at 80 ℃—an 87% improvement over the pure membrane—attributed to the strong polar interactions between the sulfonic acid segments and the polymer chains. He Shaojian’s research group[84]surface-modified UiO-66-NH2 with 3-mercaptopropyltrimethoxysilane, followed by oxidation with hydrogen peroxide to obtain a sulfonated product; the bifunctional MOFs exhibit good compatibility in the SPEEK matrix, and the conductivity is improved by 86%.
In addition to sulfonic acid groups, researchers have also developed grafting strategies for polyacidic functional groups such as sulfate ester and phosphoryl groups. The team led by Wu Xuemei and He Gaohong at Dalian University of Technology[85]used 1,3-propanediol cyclic sulfate ester to react with UiO-66-NH2,grafting longer ―SO3H chains with higher density onto the MOF surface (Fig. 9c). TEM characterization (Fig. 10d) reveals that the flexible side chains of the densely packed sulfate groups on the MOF surface induce the formation of uniformly distributed ion clusters with an average size of approximately 8 nm. This observation is consistent with SAXS test data (8.72 nm), confirming that modification with high-density ―SO3H long chains significantly increases the size of ion clusters surrounding the MOFs. This structural feature arises from the spatial extension effect of the flexible side chains at the ends of the sulfate groups, which promotes the orderly aggregation of ion clusters. This modification not only enhances the material’s acidity but also enables its long-chain structure to cross-link with the PBI backbone, forming hierarchical proton-separating channels that facilitate selective proton transport.
Zhang Yuxia’s team[86]modified UiO-66-NH2 with phytic acid, which has a high phosphoric acid group content,and incorporated it into an SPEEK matrix. The resulting composite membrane exhibited excellent proton conductivity and low vanadium ion permeability. Xu Jingmei’s team[87]introduced —PO3H2into UiO-66-NH2 via a Schiff base reaction to prepare bifunctionalized MOFs (PUIN). After blending with fluorene-containing SPAEKS, the phosphoryl and sulfonic acid groups in PUIN synergistically constructed a three-dimensional continuous conductive network through a dynamic proton exchange mechanism (Fig. 9d), resulting in outstanding conductivity of the composite membrane. Electrochemical performance tests showed that at 80 °C and 100% RH, the FSPUIN-5 membrane exhibited excellent fuel cell performance: the open-circuit voltage (OCV) reached 0.957 V, and the peak power density was 957 mW/cm2, representing a 61% improvement over the pristine membrane. This performance enhancement was primarily attributed to the strong interaction between PUIN and the polymer matrix, which promoted membrane densification, while the introduction of porous PUIN did not significantly increase gas permeability. Durability tests revealed that during 25 hours of continuous operation, the OCV decay rate remained stable at 4 mV/h. The research group further grafted 1,3-PS onto the amino sites of PUIN, successfully preparing SPUIN materials with additional proton transfer sites[88]. In the modified SPUIN materials, acidic functional groups such as —PO3H2and —SO3H can form hydrogen-bond networks with water molecules, significantly enhancing proton transport efficiency. Studies found that the FSSPU-7 membrane performed exceptionally well under the same test conditions: the peak power density increased to 1140 mW/cm2, and the OCV was 0.785 V. Notably, in a 64-hour long-term stability test, the OCV decay rate decreased to 1.73 mV/h. Cyclic voltammetry tests (600 cycles) confirmed that the electrochemically active surface area of the catalyst on the membrane surface retained 76.90%, fully demonstrating the stability and reliability of this composite membrane in practical applications.
The core objective of the aforementioned PSM strategy is to enhance the intrinsic acidity of MOFs through chemical modification, thereby introducing high-density proton sources (such as ―SO3H, ―PO3H2, etc.) and proton hopping sites into the proton exchange membrane. This precise molecular-level design not only improves the intrinsic electrical conductivity of MOFs but also optimizes the microstructure of the composite membrane through interfacial interactions, providing a relatively universal approach for developing high-performance proton exchange membranes.

4.2 Alkaline Group Synergistic Modification System

In PEM design, the introduction of basic groups (such as amino and imidazole groups) creates a synergistic effect with acidic groups, enhancing the compatibility between the filler and the polymer matrix through non-covalent interactions (van der Waals forces, electrostatic attraction), while simultaneously constructing a dynamic proton transport network. This modification strategy not only provides an additional proton source but also optimizes the proton hopping pathway through the formation of acid-base pairs (Figure 11)..
图11 各类碱性基团协同修饰的UiO-MOFs结构简图:(a) 咪唑基团修饰的UiO-66[89-91];(b) 氨基酸官能化的Glu-UiO-66-(COOH)2和Lys-UiO-66-(COOH)2[93];(c) UN@PDA[94];(d) 聚合物刷修饰的MOFs[95]

Fig.11 Schematic diagram of UiO-MOFs co-modified by alkaline synergistic modification. (a) UiO-66 modified with imidazole groups[89-91]; (b) amino acid-functionalized Glu-UiO-66-(COOH)2 and Lys-UiO-66-(COOH)2[93]; (c) UN@PDA[94]; (d) polymer brush modified MOFs[95]

The imidazole group, with its unique dual proton acceptor-donor functionality, is an ideal choice for constructing efficient proton channels. The team of Zhang Kaiyue and Liu Jianguo at the Institute of Metal Research, Chinese Academy of Sciences[89]simultaneously grafted —SO3H and imidazole groups into UiO-66 (IM-UiO-66-AS) and compounded it with SPEEK to form a bilayered synergistic system. Experiments have confirmed that the acid-base pair interface formed within the membrane (imidazole—SO3H) can simultaneously activate proton transport channels both within the MOFs and between the MOFs and the matrix, thereby achieving cross-scale synergistic proton conduction (Fig. 11a).
The sulfonic acid/imidazole dual-modified MOFs (IUSN) developed by Xu Jingmei's team[90], when compounded with sulfonated poly(arylene ether ketone) (C-SPAEKS), achieve a proton conductivity of 0.234 S/cm (80 ℃, 100% RH), which is 2.2 times higher than that of Nafion 117. After 240 hours of continuous operation testing, the composite membrane still maintains 97% of its initial proton conductivity, demonstrating excellent long-term stability. This performance enhancement stems from the three-dimensional proton source network formed by IUSN within the membrane, where the ―SO3H groups serve as fixed proton sources, while the imidazole rings enable a breakthrough in the high-conductivity mechanism through a hopping mechanism.
Tran and Jheng's team[91]systematically compared the effects of amino-, imidazole-, and sulfonic acid–modified UiO-66 on hexafluoroisopropyl-containing PBI membranes. The results showed that imidazole-functionalized MOFs were fully embedded in the polymer matrix, exhibiting the best interfacial compatibility with the PBI matrix. The proton conductivity (0.0418 S/cm) and the maximum power density of the fuel cell (406.1 mW/cm2) of the composite membrane were 113% and 249% higher, respectively, than those of the pure membrane, which was attributed to their higher ADL and the strong hydrogen bonding between the imidazole–NH groups and the PBI segments, thereby achieving optimized interface engineering.
To expand functionalization strategies, researchers have further developed novel modification systems such as amino acids, polydopamine (PDA), and polymer brushes. The team led by Zhuang Xupin and Li Zhenhuan[92]prepared glutamic acid-, lysine-, and threonine-functionalized UiO-66-NH2and fabricated composite membranes with SPSF, achieving a more than 150% increase in conductivity at 80 ℃ and 100% RH. The team led by Wang Shaorong[93]employed glutamic acid and lysine to bifunctionally modify UiO-66-(COOH)2and composite it with CS (Fig. 11b). Due to the excellent compatibility between the filler and the matrix, the surface of the composite membrane is smoother and more intact, and the tensile strength is significantly enhanced (from 5 MPa to 17.5 MPa). The introduction of amino acids enhances performance through the following mechanisms: ① the ―COOH/―NH2cross-linking network strengthens the structural integrity of the membrane; ② the dynamic equilibrium of acidic and basic groups regulates the stability of hydration channels; ③ the increased density of the hydrogen-bonding network enables the membrane to maintain effective conductivity at low humidity levels.
The team led by Shi Haifeng[94]modified a PDA layer on the surface of UiO-66-NH2 via a Schiff/Michael addition reaction. This modification significantly improved the interfacial compatibility between the MOFs and the SPEEK matrix. At a low loading level (0.75 wt%), the composite membrane still achieved a proton conductivity of 0.0311 S/cm (25 ℃), surpassing Nafion 212 (0.0280 S/cm) (Fig. 11c). After 300 cycles, the chemical structure and morphology of the composite membrane remained stable, with no phase separation or fracture observed, confirming that the physical barrier formed by the nanofiller effectively inhibited oxidative degradation. Mechanistic studies indicate that the interaction between PDA and the —SO3H groups in the matrix effectively blocks the penetration of vanadium ions, while the acid-base pairs and electrostatic interactions within the composite membrane optimize the proton network.
The team of Jana and Das[95]used reversible addition–fragmentation chain transfer (RAFT) polymerization to graft ion-polymer brushes onto the surface of UiO-66-NH2(Fig. 11d). This structure has a dual function: ① the zirconium cluster nodes, the free ammonium groups within the MOFs, and the flexible chain segments of the polymer brushes immobilize phosphate molecules and induce their oriented arrangement, thereby forming confined proton transport channels; ② the brush-like interface forms multiple hydrogen bonds with the OPBI matrix, enabling the composite membrane to maintain a high electrical conductivity of 0.241 S/cm at 160 ℃, and after being treated under high temperature and high humidity conditions (100 ℃, 98% RH) for 3 hours, the composite membrane exhibits an average phosphate retention rate of approximately 73% (the pure OPBI membrane retains only 30.7%).
The alkaline group modification strategy breaks through the performance bottlenecks of traditional PEMs through the following approaches: (1) Dynamic acid-base equilibrium: The formation of acid-base pairs can regulate the proton transport energy barrier, enabling stable conduction under low-humidity conditions; (2) Enhanced interface engineering: Strong interactions between functional groups and the matrix inhibit filler aggregation, ensuring the continuity of the conductive network; (3) Multi-mechanism synergy: By combining carrier and hopping mechanisms, the temperature–humidity adaptation range for proton transport is broadened. Such modified systems provide a new paradigm for the design of proton exchange membranes under extreme operating conditions (high temperature, low humidity, high acid concentration).

5 Construction of UiO-MOF Composite Packing

In response to the “trade-off” effect between PEM performance metrics, researchers have achieved precise construction of proton conduction channels and synergistic enhancement of mechanical properties by compositing UiO-MOFs with materials of different dimensions to form structured fillers. Composite fillers of different dimensions offer distinct advantages in optimizing proton transport pathways.

5.1 Construction Strategy for One-Dimensional Ordered Composite Fillers

The ordered arrangement of one-dimensional nanomaterials provides an ideal framework for constructing a continuous proton transport network, and their long-range ordered structure can effectively reduce the tortuosity of proton transport pathways. Currently, carbon nanotubes and nanofibers are mainly used as carriers, with UiO-MOFs being loaded in situ to form composite systems.
Carbon nanotubes (CNTs), with their outstanding mechanical strength and chemical stability, are ideal reinforcing carriers. Zheng Penglun et al.[96]incorporated a beaded nanostructured filler UiO-66-NH2/CNT into SPEN,significantly enhancing the membrane's alcohol-rejection performance. Zhang Sufeng's team[97]in situ grew UiO-66-SO3H on the surface of CNTs; the resulting composite membrane, blended with cellulose nanomaterials, exhibited a mechanical strength of 93 MPa. The ordered hydrophilic channels in the membrane significantly enhanced proton conductivity, achieving dual optimization of filler dispersion and mechanical reinforcement. AFM phase images revealed that the uniform distribution of hydrophilic filler increased the hydrophilic regions (dark areas) within the membrane, effectively improving the hydrophilicity of highly crystalline regions (Fig. 12a). Under conditions of 80 ℃ and 100% RH, after a 72-hour durability test of a direct methanol fuel cell (DMFC), the open-circuit voltage (OCV) of the composite membrane was comparable to that of Nafion 212 (0.396 V vs 0.394 V). Similarly, Zhong Fei's team[98]in situ grew UiO-66-SO3H on halloysite nanotubes (HNT) and blended them with CS to fabricate membranes, resulting in a 73% increase in the mechanical strength of the composite membrane and a 54% reduction in methanol permeability.
图12 (a) CC/S-UIO-66@CNT膜的质子传导机理和膜的AFM表面形貌,(a1, a2) CNF/CNC, (a3, a4) CC/S-UIO-66@CNT-5[97];(b) UiO-66-NH2@NFs复合膜的设计结构和可能存在的质子传输途径及其表面与截面SEM图像[99];(c) 同轴静电纺丝和制备工艺示意图与膜的AFM相图[101];(d) 膜制备过程和质子转移机制及(d1, d2) 1.3% NU6@PPNF-SPEEK的STEM-HAADF图和元素分析,(d3, d4)SPEEK和5% NU6-SPEEK的原位FTIR(从180 ℃冷却到30 ℃)[104]

Fig.12 (a) Proton conduction mechanism of CC/S-UIO-66@CNT membranes and AFM surface topographies of (a1, a2) CNF/CNC, (a3, a4) CC/S-UIO-66@CNT-5[97]; (b) designed structure of UiO-66-NH2@NFs and possible routes for proton transfer in the hybrid membranes, as well as surface and cross-sectional SEM images[99]; (c) schematic diagram of the coaxial electrospinning and preparation process and AFM phase images of membranes[101]; (d) membrane preparation process and proton transfer mechanism, as well as (d1, d2) STEM-HAADF image and elemental analysis of 1.3% NU6@PPNF-SPEEK, (d3, d4) in-situ FTIR of SPEEK and 45% NU6-SPEEK (cooling process from 180 ℃ to 30 ℃)[104]. Ref. [97], Copyright 2025, American Chemical Society. Ref. [99], Copyright 2019, Elsevier. Ref. [101], Copyright 2024, Elsevier. Ref. [104], Copyright 2021, Elsevier

Nanofiber carriers, owing to their continuous and designable nature, have given rise to two typical composite strategies: the blend-spinning method (one-step process) and the in-situ growth method (two-step process). The former involves directly embedding UiO-MOFs into the fiber matrix via electrospinning, achieving a synergistic distribution both within the fiber interior and on its surface. The teams of Cheng Bowen and Kang Weimin[99]prepared a UiO-66-NH2@SPES nanofiber/Nafion composite membrane. SEM analysis revealed that the Nafion matrix fully fills the pores of the nanofiber network, with no obvious defects on the composite membrane surface and good interfacial compatibility (Fig. 12b). The ―NH2/―SO3H acid-base pair is utilized to construct continuous proton channels, facilitating proton transport (0.27 S/cm at 80 ℃, 100% RH). In DMFC tests, this composite membrane exhibited excellent methanol barrier performance, with an OCV of 0.817 V and a peak power density of 95.490 mW/cm2. Similarly, the teams of Zhuang Xupin and Li Zhenhuan[100]loaded a cellulose/UiO-66-NH2blended fiber system onto SPSF, where the fiber skeleton forms a three-dimensional spatial network structure within the membrane, exhibiting a multi-directional, ordered arrangement. The composite membrane displays high proton conductivity (0.196 S/cm at 80 ℃, 100% RH), low swelling (17.3% at 80 ℃), low methanol permeability (5.5×10-7 cm2/s), and good long-term stability (130 h). Using coaxial spinning technology, Wang Hang, Tian Mingwei, and others[101]prepared PU@S-PAN/UiO-66 core-shell fibers, which, after multiple post-processing steps, form a three-dimensional conductive network, increasing the conductivity to 0.212 S/cm. DMFC tests showed that the peak power density of this material was 58% higher than that of a recast Nafion membrane. AFM phase mapping analysis (Fig. 12c) indicates that, after fiber loading, the hydrophilic/hydrophobic phase domains within the membrane are significantly expanded. This is attributed to the enrichment of hydrophilic ion clusters induced by alkaline treatment and amino acid-functionalized MOFs, thereby forming continuous proton-conducting channels.
Using a “two-step method,” MOFs are controllably grown on the surface of preformed fibers to achieve ordered assembly. Wang Hang et al.[102]in situ grew UiO-66-NH2 on the surface of PDA-coated PVDF fibersand compounded it with SPSF to construct multi-scale microphase structures and acid-base pairs, thereby enhancing the overall performance of the membrane. Liu Yong et al.[103]prepared a PAN/UiO-66-NH2/Nafion composite membrane, effectively improving dimensional stability and mechanical strength. Our team[104]grew UiO-66-NH2 on the surface of cross-linked polyacrylonitrile nanofibers (PPNF) and, after compounding with SPEEK, formed an acid-rich proton-conducting layer with acid-base interactions, significantly enhancing the dimensional stability of the membrane. HAADF-TEM and EDS elemental analysis (Fig. 12dFigure 12d)show that the sulfur element concentration at the fiber/SPEEK interface does not decrease but increases, confirming that —SO3H and —NH2 form a continuous hydrogen-bond network through acid-base interactions; combined with in-situ Fourier transform infrared spectroscopy (FTIR) analysis, this further elucidates the formation mechanism of the acid-rich proton-conducting layer; replacing UiO-66-NH2 with UiO-66-SO3H also plays a promoting role[105]. The team[106]systematically investigated the effect of the UiO-66-NH2 loading on the surface of polyimide fibers on the “sandwich”-structured membrane, finding that an appropriate continuous MOF layer can optimize the balance between electrical conductivity and mechanical strength. Building on this, they introduced a phosphotungstic acid anchoring strategy[107]to construct a highly stable proton-conducting system. The team led by Zhang Maliang[108]used sulfonated polyphenylene sulfide fibers loaded with UiO-66-NH2, increasing the electrical conductivity of the Nafion composite membrane by 1.75 times to 0.286 S/cm while reducing methanol permeability.
Zhao Chengji et al. from Jilin University[109]employed an in-situ growth strategy to uniformly load UiO-66-NH2 onto the surface of a porous polytetrafluoroethylene fiber felt, and further modified it with caffeic acid, which possesses free-radical scavenging functionality, via covalent bonding. This approach successfully yielded a Nafion-based composite membrane with a thickness of only 25 µm. The study achieved performance improvements through the following innovative design features: ① UiO-66-NH2 is covalently linked to caffeic acid via an amide bond, effectively addressing the issue of additive leaching; ② the amino groups in the material interact electrostatically with the sulfonic acid groups of Nafion, promoting the ordered arrangement of hydrophilic regions; SAXS analysis confirmed that the size of ion clusters within the membrane increased and the hydrophilic domains expanded. This ordered structure enables the composite membrane to achieve a proton conductivity of 0.212 S/cm at 80 ℃; ③ the reinforcing layer not only significantly enhances the mechanical strength and dimensional stability of the membrane but also reduces hydrogen permeability. Ultimately, the PPUC-Nafion-3 composite membrane containing 3 wt% caffeic acid demonstrated an outstanding power density of 812.64 mW/cm2 in single-cell tests. A 100-hour in-situ durability test conducted at 90 ℃ and 30% RH revealed an OCV decay rate as low as 1.11 mV/h, with a peak power density drop of only 6.19%. Moreover, the catalytic activity of the membrane electrode remained stable, confirming that the introduction of caffeic acid effectively suppresses membrane structural degradation caused by chemical degradation.
In addition, the development of novel bifunctional MOFs has further expanded the functionality of composite systems. The team led by Liu Yong[110]used ethylenediamine to crosslink PVDF fibers while simultaneously loading UiO-66-NH2and UiO-66-NH2-SO3H, thereby forming a gradient proton transport network within the Nafion matrix through a combination of hierarchical pore confinement effects and long-range ordered acid-base pair synergy. This composite strategy not only preserves low swelling characteristics but also enables precise control over water molecule dynamics.
Through the above structural design, the one-dimensional composite filler successfully addresses issues such as poor dispersibility and discontinuous conductive pathways in traditional MOF fillers, providing an important technical route for the preparation of high-performance PEMs. Subsequent research can focus on areas such as MOF crystal orientation control and fiber–MOF interface engineering to further enhance proton transport efficiency and durability.

5.2 Two-dimensional composite filler construction strategy

Due to their unique layered barrier effect and tunable surface functionality, two-dimensional materials have emerged as ideal carriers for optimizing the proton conductivity and barrier performance of PEMs. However, because MOF particles exhibit strong interparticle interactions, directly dispersing them in a polymer solution makes it difficult to achieve uniform distribution, resulting in poor film quality. To address this, researchers have developed a composite strategy that combines UiO-MOFs with two-dimensional nanosheets, using the two-dimensional nanosheet carrier to ensure uniform dispersion of UiO-MOFs and synergistically enhance the membrane’s mechanical strength, thermal stability, and proton transport efficiency.
In summary, existing scoring systems have limited predictive capabilities for bleeding events, and their results are inconsistent[25,30,33].
图13 (a) SPEEK/S-UiO-66@GO复合膜增强的传输特性[111];(b) UiO-66/Pd-GO和复合膜的结构示意图与填料的电子能带结构[113];(c) CS/U-S@GO膜质子传导机理[115]

Fig.13 (a) Enhanced transport properties of SPEEK/S-UiO-66@GO composite membranes[111]; (b) schematic diagram of UiO-66/Pd-GO and composite membrane structure, as well as electronic band structure of fillers[113]; (c) proton transfer mechanism of CS/U-S@GO membrane[115]. Ref. [111], Copyright 2017, American Chemical Society. Ref. [113], Copyright 2021, American Chemical Society. Ref. [115], Copyright 2020, Wiley

The Mandal group[113]pioneered the study of the synergistic regulatory effects of noble metal nanoparticles (palladium, Pd) and GO on the electronic structure of MOFs. They successfully prepared a ternary UiO-66/Pd-GO composite material and blended it with SPEEK to fabricate a composite membrane (Figure 13b). The study revealed the following key mechanisms: ① At the heterogeneous interface, GO's electron-accepting properties synergize with Pd's surface plasmon resonance effect to achieve efficient charge separation by capturing electrons; this charge separation mechanism significantly enhances proton conductivity; ② Noble metal nanoparticles regulate the MOFs' band structure via the surface plasmon resonance effect, facilitating electron transfer; ③ The introduction of lattice oxygen vacancies further enhances charge separation efficiency; ④ The Schottky junction formed at the interface generates a local electric field through electron density fluctuations, effectively promoting ion transport.
Multidimensional materials can work synergistically to overcome the performance limitations of single fillers. The team led by Shi Haifeng[114]blended UiO-66-NH2with sulfonated graphitic carbon nitride (s-g-C3N4), and achieved enhanced SPEEK membrane performance through the interlayer confinement effect of the two-dimensional materials and acid-base synergy, with only a 1 wt% filler content. The team led by Wang Wenyi[115]constructed a “one-dimensional CNT–two-dimensional GO” synergistic support, where sodium lignin benzoate-functionalized CNTs were used to in situ grow UiO-66 at the composite interface with GO (Fig. 13c). The resulting CS-based composite membrane exhibited an approximately eightfold increase in proton selectivity at 70 ℃, demonstrating the optimizing effect of multidimensional synergy on mass transport pathways.

5.3 Multidimensional Regulation Strategies for Three-Dimensional Composite Fillers

The construction of three-dimensional UiO-MOF composite fillers breaks through material orientation constraints. Through multi-level pore design and functional molecule loading, a three-dimensional, interconnected proton transport network is achieved. This strategy fully leverages the topological structure of MOFs and their pore confinement effects, enhancing proton conductivity while endowing the membrane material with greater structural stability.
Ionic liquids, owing to their unique proton dissociation properties, have emerged as ideal pore modifiers. The team led by Zeng Lin[116]prepared composite membranes incorporating IL@UiO-66 fillers using PVDF and PVP as matrices, demonstrating the feasibility of enhancing membrane conductivity through MOF encapsulation of ionic liquids. The team led by Wang Lei[117]significantly optimized the compatibility between MOFs and the polymer matrix through an ionic liquid–mediated interfacial regulation strategy, increasing the upper limit of UiO-66 loading in the CBOPBI matrix to 50 wt% and resolving the brittleness issue at high loadings. Based on the three-dimensional continuous proton transport network constructed from MOFs, the optimized membrane exhibits outstanding electrochemical performance at 160 ℃ under non-humidified conditions: a peak power density of 736 mW/cm2,an OCV close to 0.9 V, and excellent stability during a 194-hour durability test (with an OCV decay rate of only 0.2 mV/h). da Trindade et al.[118]systematically compared three IL@UiO-66 composite systems and found that MOFs encapsulated with triethylammonium 3-propanesulfonate hydrogen sulfate (TEA-PS.HSO4) enabled SPEEK membranes to achieve a conductivity of 0.140 S/cm at low humidity (60% RH) at 80 ℃, thereby confirming the regulatory effect of ionic liquids on proton transport kinetics. The UiO-66-AS@ILs/C-SPAEKS composite system prepared by Xu Jingmei et al.[119](Fig. 14a) exhibits significant performance advantages: at 90 ℃, its conductivity (0.197 S/cm) exceeds that of Nafion 117 by approximately 79%, corresponding to a fuel cell power density of 474.24 mW/cm2. It is worth noting that the introduction of conventional ionic liquids may pose leaching issues during use; some researchers have addressed this problem by employing polymerizable ionic liquids[120].
图14 三维复合填料示意图:(a) UiO-66-AS@ILs[119];(b) S-UiO[121];(c) UiO-67 MOF/TAPB-DMTP-COFs(Schiff碱缩合反应)核壳MOFs合成方法[123]

Fig.14 Schematic diagram of 3D composite fillers: (a) UiO-66-AS@ILs[119] and (b) S-UiO[121]; (c) UiO-67 MOF/TAPB-DMTP-COFs (Schiff base condensation reaction) core shell MOFs synthetic root[123]. Copyright 2024, Elsevier

Compared with small-molecule loading, in-situ polymerization of polymers within MOF pores can form more stable long-range conductive networks. The team led by Shaojian He[121]carried out polystyrene sulfonic acid (PSSA) polymerization within the pores of UiO-66-NH2, and the resulting S-UiO filler enhanced interfacial bonding with the SPEEK matrix via electrostatic interactions, thereby improving the degree of phase separation in the SPEEK membrane. SAXS results indicated that the average size of the hydrophilic domains in the composite membrane increased, leading to the formation of more efficient proton transport channels and a 63% increase in proton conductivity (Fig. 14b). This “pore-confined polymerization” strategy not only achieved an ordered arrangement of —SO3H groups but also enhanced the directional transport of water molecules through size effects. The same research group also carried out in-situ polymerization of 2-acrylamido-2-methylpropane sulfonic acid (AMPS) within UiO-66-NH2[122], and the results showed that the strong electrostatic interactions between the filler and the matrix reduced the swelling ratio of the composite membrane while increasing its proton conductivity by 42.5%.
The multi-level pore channel composite design significantly enhances the structural functionality of the filler. The team led by Su Huaneng[123]innovatively coated the surface of UiO-67 with a covalent organic framework (COF), constructing a microporous-mesoporous synergistic core–shell structure (CM) (Fig. 14c). This filler enables phosphate-doped SPEEK membranes to maintain stable operation at 130 ℃, with the tensile strength increasing to 27.3 MPa. This cross-scale pore channel design offers a new approach to the development of high-temperature proton exchange membranes.
In summary, the synergistic effects among components in multi-component composite strategies help overcome performance bottlenecks. The research group led by Liu Hai[124]constructed a hybrid material by coating natural clay with UiO-66-SO3H and PDA, and the resulting composite membrane blended with CS exhibited an outstanding tensile strength of 67 MPa. The research group led by Quan-tong Che at Northeastern University[125]used ultrasonication to blend carbon quantum dots (CDs) with UiO-66-NH2, and the SPEEK composite membrane prepared via spin-coating technology developed a dense, ordered microphase structure. As a result, the optimized membrane exhibited a high open-circuit voltage (OCV) of 0.96 V at 120 ℃. The introduction of CDs significantly reduced the activation energy for proton transport, confirming that their orderly dispersed multilayer structure reduces the proton hopping energy barrier, and the fuel cell achieved a peak power density of 369.9 mW/cm2 at 120 ℃.
Through the aforementioned multidimensional regulation strategies, the three-dimensional composite filler successfully achieved the stereoscopic construction of proton transport channels and the synergistic optimization of interfaces. Future research can focus on areas such as matching MOF pore topology with guest molecule size and constructing dynamically responsive composite systems, thereby driving performance breakthroughs in PEM under wide-temperature and variable-humidity conditions.

6 Conclusion and Outlook

Currently, the UiO-MOFs applied in the PEM field mainly include the UiO-66 system and its amino/sulfonic acid derivative systems, which are combined with multi-scale materials such as nanofibers and carbon materials to construct synergistic enhancement systems. By systematically comparing modification methods (Table 1), optimal performance data of composite membranes from the literature (Table 2), and the intrinsic proton conductivity of UiO-MOFs (Table 3)), it is evident that these materials exhibit unique advantages in enhancing membrane performance. From the perspective of material design, their enhancement mechanisms are primarily manifested in the following three aspects.
表1 不同改性手段UiO-MOFs用于PEM的优缺点总结

Table 1 Summary of advantages and disadvantages of using UiO-MOFs with different modification methods for PEM

Methods Advantages Disadvantages
Pre-synthetic modification
(ligand functionalization or metal clusters modification)
For MOFs:
√ One-step synthesis method.
√ Modulation of metal ions or organic ligands allows for flexible and convenient regulation of the textural properties.
√ Adjustable size and strong stability.
√ Evenly distributed functional groups inside the crystal facilitate orderly and unobstructed internal channels.
√ High functional group density modified upon pre-synthesis.
√ Metal clusters: Zr: Low price. Ce: Functionalized in eliminating free radicals. Hf: High Hf-O bond energy.
For MOFs:
× Low conductivity.
× Difficult to adjust or replace functional groups modified before synthesis.
× Metal clusters: Zr: slightly lowered Zr-O bond energy. Ce: slightly less stable and higher cost. Hf: highest cost.
For PEM:
√ Introducing proton sources, proton hopping sites, or acid-base pairs.
√ Increase water absorption.
√ The hydrogen bond network inhibits swelling.
For PEM:
× Relatively low conductivity.
× An increase in water absorption may accelerate polymer degradation.
Post-synthetic modification
(grafting acidic or alkaline functional groups)
For MOFs:
√ External crystal modification to preserve the complete skeleton.
√ Flexible design.
√ High conductivity.
For MOFs:
× Complex synthesis and lower yields.
× Synthesis conditions may damage the crystal structure.
× Uneven distribution of functional groups or local overload.
× Low functional group density modified upon post-synthesis.
For PEM:
√ Introducing proton sources, proton hopping sites, or acid-base pairs.
√ Improvement of compatibility with substrates.
For PEM:
× Complex process.
× High cost.
Construction of UiO-MOFs composite filler For MOFs:
√ Orderly distributed.
√ Well dispersed.
√ Intra-pore modified.
For MOFs:
× Complex construction of composite fillers.
× Uneven distribution of modifications within the pores.
× Limited types of substances loaded into MOFs due to the pore size.
For PEM:
√ Enhance mechanical strength.
√ Reduce MOFs aggregation.
√ Arrange directional MOFs to construct long-range ordered proton transport channels.
√ 2D topography decreases fuel penetration.
For PEM:
× Leakage of small-molecule acids causes device corrosion.
表2 不同UiO-MOFs质子交换膜性能总结

Table 2 Summary of the performance of different UiO-MOFs proton exchange membranes

MOFs Composition [Type a, thickness (μm)] and polymer [DS b] Proton conductivity (×10-3 S/cm), swelling ratio and water uptake/ADL c Battery performanced Tensile strength
(MPa)
Long term stability e Ref
1. UiO-MOFs without functional group modification
UiO-66 N_U200-2 [LT, 100]
Nafion [EW=1100]
165 - - - 12.9±0.4 - 45
95%RH)
S/UiO-66 [VRFB, 57]
SPEEK
~28 - - CE=97.5%
EE=90.9%
- 100 cycles
0.18% (CD)
46
100%RH)
50-sPBI-UiO-5 [VRFB, 15]
sPBI [43.3%]
17.8 6.5% 10.6% CE=97.09%
EE=82.84%
70.5±2.9 50 cycles
1.2% (CD)
47
100%RH)
SP20/12.5MOF [LT, -]
SPEEK [60%], PBI
192 - 45% - - - 48
100%RH)
40%UIO-66@OPBI
[HT, 69.70±0.74]
OPBI
92 63.13% (PA) 3.09 583
(160 ℃, 0%RH)
27.02±1.51 500 h
0.15
(OCV)
49
(160 ℃, 0%RH)
CBOPBI@MOF40% [HT, 45]
CBOPBI
100 50% (PA) 126% (PA) 607
(160 ℃, 0%RH)
8.1±0.4 187 h
0.036 (OCV)
50
(160 ℃, 0%RH)
UIO-66@OPBI [HT, 63±2]
OPBI
88 139.41% (PA) 211.20% (PA) 546.62
(160 ℃, 0%RH)
>15 - 52
(160 ℃, 0%RH)
PBI-UiO66 (10.0 wt %) [HT, 70-100]
PBI
316 - 11.0 - 5.4±0.4 - 51
(160 ℃, 0%RH)
2. UiO-MOFs modified with acidic groups only
UiO-66-(COOH)2 UiO-66-(COOH)2@PP-30 [LT, -]
PVDF, PVP
5.8 1.8% 58.9% - - 7 d
>90%
σ
54
98%RH)
UiO-66-SO3H sPSF/sUiO-66 3wt% [LT, -]
sPSF
180 28% 73% - 163 - 57
100%RH)
Nf/S-U66-3 [VRFB, 52]
Nafion
~44 7.98% 20.60% CE=97.0%
EE=76.1%
4.02 230 cycles
0.13%
(CD)
56
100%RH)
UiO-66-(SO3H)2 USO-15wt%@SPP-3
[LT, VRFB, 28]
SPP-3
165.0 23.3% 25.7% 387.7
(80 ℃, 100%RH)
62.6 - 59
100%RH)
UiO-66 modified with —PO3H2 1:2G-UIO-66@OPBI [HT, 52.36±0.37]
OPBI
124 99.46% (PA) 72.58% (PA) 725
(160 ℃, 0%RH)
20.88±0.99 200 h
0.042 (OCV)
55
(160 ℃, 0%RH)
3. UiO-MOFs modified with alkaline groups only
UiO-66-NH2 SUS5 [LT-HT, 30]
Nafion
428 1.58% 30.7% 940
(115 ℃, 100%RH)
~16 132 h
91.1%
σ
64
100%RH)
Am-S-U-6% [LT, -]
Am-SPAEKS
168 (80 ℃) 9.49% 56.72% 290.97
(80 ℃, 100%RH)
55.26±0.50 240 h
95.6%
σ
67
98%RH)
3% CM [LT, -]
SPES [~17%]
214.9 ~17% ~18% 180
(25 ℃, 0%RH)
22.41 - 66
98%RH)
SPEN/UiO-66-NH2-5 [LT, -]
SPEN
135.1 ~11% ~60% - 60.8 - 62
100%RH)
CBOPBI-P40 [HT, 65]
CBOPBI
84 55% (PA) 296% (PA) 750
(180 ℃, 0%RH)
~8.5 (PA) 387 h
0.010 (OCV)
53
(160 ℃, 0%RH)
CUN15@OPBI [HT, 30-40]
OPBI (carbonized MOFs)
79 117.93% (PA) 229.45% (PA) 952
(160 ℃, 0%RH)
~12 (PA) 10 h
>99%
σ
65
(180 ℃, 0%RH)
MU-NH2/Nf-3 [VRFB, 40±1]
Nafion
122.18 ~3% ~20% CE=97.9%
EE=83.8%
27.3 200 cycles
0.19%
(CD)
60
100%RH)
4. UiO-MOFs modified by both acidic and basic groups
UiO-66-NH2 and
UiO-66-SO3H
UiO-66-NH2+UiO-
66-SO3H/Nafion-0.6 [LT, 72]; Nafion
256 ~14% ~29% - - 50 h
~98% (σ
68
95%RH)
CS/A-6 + B-15
[HT, 200-400]
Chitosan
3.78 - - 10.6
(120 ℃, 0%RH)
- - 69
(120 ℃, 0%RH)
NH2-UiO-66-SO3H SPEEK/NUS-1.5 [LT, 100]
SPEEK [54.1%]
177.76 ~30% 41.86% 423.2
(75 ℃, 100%RH)
50.91 300 h
89.3% (σ
70
100%RH)
5. UiO-MOFs with different metal clusters
SA-Hf-UiO-66-(OH)2 CS/SA-1-6 [LT, -]
Chitosan
21.9 ~60% (25 ℃) ~60% (25 ℃) - ~8 - 75
98%RH)
Ce-UiO-66 Ce-3 [water electrolysis, -]
Nafion [EW=1030-1120]
124.45 ~3% ~11.5% Electrolysis efficiency=65.4% 15.24 - 76
90%RH)
d-UiO-66(Ce) PFSA/d-UiO-66 [12] (spraying)
Nafion
- - - 1960 - 100 h 77
-
F-UN F-UN-5.0%@Nafion [LT, 30-50]
Nafion
~240 ~26% ~39% 26.8 35.8 387 h
0.78 (OCV)
78
100%RH)
6. Acid group grafting system
PUIN FSPUIN-5 [LT, -]
F-SPAEKS
174.22 13.76% 18.25% 957
(80 ℃, 100%RH)
30.70±1.47 25 h
4 (OCV)
87
100%RH)
SPUIN FSSPU-7 [LT, -]
F-SPAEKS
247.38 16.60% 33.96% 1140
(80 ℃, 100%RH)
32.37±3.01 64 h
1.73
(OCV)
88
100%RH)
PVP-UiO-66-NH-SO3H PA/PUNSNPs/SPEEK=20 % [LT, -]
SPEEK [68%]
350 ~10% ~50% - - 40 d
>83% (σ
81
100%RH)
UNCS SPEEK/UNCS-3 [LT, -]
SPEEK [42%]
186.4 ~26% ~45% - 61.9 - 82
100%RH)
UiO-66-NH-SO3H UiO-66-NH-SO3H/SPEEK=30% [LT, -]
SPEEK [68%]
273 ~19% ~48% - ~90 - 83
100%RH)
PSM 2 PSM 2-10% [HT, -]
OPBI
308 4.57% (PA) 31.35 - 1.18 (PA) 24 h
89.1% (σ
79
(160 ℃, 0%RH)
UIO-66OSO PBIU-0.40 [VRFB, 30]
PBI
434.8 <6.7% ~30% CE=99.3%
EE=86.1%
>70.2 100 cycles
0.15%
(CD)
85
100%RH)
PA-UiO-66-NH2 S/PA-UiO-66-NH2-2 [VRFB, 62]
SPEEK
35.3 9.3% 32.4% CE=99.1%
EE=83.8%
32.7 100 cycles
0.60%
(CD)
86
100%RH)
7. Alkaline group synergistic modification system
IUSN C-SPAEKS/IUSN-3% [LT,30-40]
C-SPAEKS
234 29.37% 44.24% 243.77
(80 ℃, 100%RH)
48.67 240 h
97% (σ
90
100%RH)
IM-UIO-66-AS IM-UIO-66-AS/SPEEK
[VRFB, 30]
SPEEK
12.2 ~10% ~29% CE=99.6%
EE=79.6%
~47 100 cycles
0.26%
(CD)
89
100%RH)
UiO-66-IM 10% UiO-66-IM/6FPBI [HT, 50±5]
6FPBI
41.8 - 16.5 406.1
(160 ℃, 0%RH)
93.3±10.1 - 91
(170 ℃, 0%RH)
UiO-66-NH2-Glu UiO-66-NH2-Glu/SPSF
[LT, 80]
SPSF
212 ~19% ~39% 70.45
(60 ℃, 100%RH)
- - 92
100%RH)
Lys-UiO-66-(COOH)2 Lys-UiO-66-(COOH)2@CS-7
[LT, 400-500 (±60)]; Chitosan
22 - - - ~18 240 h
>98% (σ
93
100%RH)
UN@PDA SPEEK/UN@PDA-0.75 [VRFB, 80-85]
SPEEK [71.0%]
31.1 ~10% ~16% CE=98.5%
EE=81.6%
~33 100 cycles
0.59%
(CD)
94
100%RH)
Grafting of polymer brushes OPBI@PGM-Z5% [HT, -]
OPBI
241 4.18% (PA) 24.98 - ~1 (PA) 24 h
~88% (σ
95
(160 ℃, 0%RH)
8. Construction strategy of 1D ordered composite fillers
UiO-66-NH2/CNT SPEN@UiO-66-NH2/CNT-0.7
[LT, 60-80], SPEN
173.7 ~14.5% ~47% - 32.48 - 96
100%RH)
S-UIO-66@CNT CC/S-UIO-66@CNT-5 [LT, 52]
Cellulose
105 1.4% 53% 3.56
(80 ℃, 100%RH)
93.60 72 h
0.26
(OCV)
97
100%RH)
SO3H-UiO-66@HNTs CS/SO3H-UiO-66@HNTs-10 [LT, -]
Cellulose
46.2 60% 83% 84.5
(70 ℃, 100%RH)
57.1 100 h
0.682 (OCV)
98
100%RH)
UiO-66-NH2@NFs UiO-66-NH2@NFs-8/Nafion [LT, ~70]
Nafion; SPES [64%, NFs]
270 29.20% 37.32% 95.49
(60 ℃, 100%RH)
32.35 54 h
~99%
σ
99
100%RH)
Cell-UiO-66-NH2 Cell-UiO-66-NH2-5/SPSF [LT, 80-100]
SPSF [60%]
196 ~17.5% ~38% 78
(60 ℃, 100%RH)
- 130 h
86.7%
σ
100
100%RH)
PU@S-PAN/UiO-66 Nafion/S@NF-50 [LT, -]
Nafion
212 ~19% ~68% 182.6
(65 ℃, 100%RH)
- - 101
100%RH)
NU6@PPNF 1.3% NU6@PPNF-SPEEK [LT, 96]
SPEEK
132.8 14.0% ~23% 175.7
(60 ℃, 95%RH)
>25 144 h
92.9%
σ
104
100%RH)
SU6@PPNF SU6@PPNF-SPEEK [LT, -]
SPEEK
154.6 ~31% ~50% 172.1
(60 ℃, 100%RH)
- - 105
100%RH)
NU6@PI 4NP-SPEEK-4NP [LT, 120]
SPEEK [58.3%]
178.1 15.8% ~29% 217.01
(60 ℃, 95%RH)
65.8 32 d
89.8%
σ
106
100%RH)
NU6@PI NU6@PI/SPEEK+HPW-60
[LT, 136.0±0.5]; SPEEK [55.6%]
174.9 19.4% 37.9% 186.7
(60 ℃, 95%RH)
~62 42 d
86.5%
σ
107
100%RH)
UiO-66-NH2@SFM UiO-66-NH2-8@SFM/Nafion [LT, -]
Nafion
286 12% 52% 88.3
(60 ℃, 100%RH)
31.64 - 108
100%RH)
UiO-66-NH2
+Caffeic acid
PPUC-Nafion-3
[LT, 24.3]
Nafion
212 ~9% ~40% 812.64
(80 ℃, 100%RH)
~14 100 h
1.11
(OCV)
109
100%RH)
PVDF/UiO NFMs A-PVDF-NS@Nafion [LT, -]
Nafion
152.11 ~8.5% ~36% - 12.12 - 110
100%RH)
9. Construction strategy of 2D composite fillers
S-UiO-66@GO SPEEK/S-UiO-66@GO-10 [LT, 40±10]
SPEEK [62%]
268 - ~32% (30 ℃) - 53.5 - 111
95%RH)
GO@UiO-66-NH2 GO@UiO-66-NH2/Nafion-0.6 [LT, -]
Nafion
303 ~10% ~28% - - 54 h
~99%
σ
112
95%RH)
UiO-66/Pd-GO SU3%/P10%-G2.5% [LT, -]
SPEEK
211 - 50.3% - - - 113
100%RH)
UiO-66-NH2 and s-g-C3N4 SPEEK/NF-1:1 [VRFB, 82]
SPEEK [71%]
27.9 11.4% 15.1% CE=98.8%
EE=79.9%
37.8 100 cycles
0.56%
(CD)
114
100%RH)
UiO-66-SCNT@GO CS/U-S@GO-7 [LT, 400-600]
Chitosan
64 1.01% 79.85% - 50.73 - 115
100%RH)
10. Multi-dimensional control strategy for 3D composite fillers
IL@UiO-66 IL@UiO-66@PP [LT, 201.7]
PVDF, PVP
16.8 - 18.93% - 4.62 48 h
~99% (σ
116
98%RH)
IL-modified UiO-66 CBOPBI@MOF50%-IL30 [HT, 40-50]
CBOPBI
135 70% (PA) 10.6 736
(160 ℃, 0%RH)
~7.5 194 h
0.2 (OCV)
117
(160 ℃, 0%RH)
Zr-MOF/IL SMOF/TEA2.5 [LT, -]
SPEEK [66%]
140 - 94% - - - 118
60%RH)
UiO-66-AS@ILs C-S-U-AS@ILs-5%
[LT, ~40]
C-SPAEKS
197 3.53 (80 ℃) 19.3% (80 ℃) 474.24
(80 ℃,
100 %RH)
38.51±3.46 - 119
100%RH)
S-UiO SPEEK/S-UiO-15 [VRFB, 58]
SPEEK
67 ~24% ~39% CE=99.5%
EE=83.9%
55.1 200 cycles
0.11%
(CD)
121
100%RH)
UiO-67/TAPB-DMTP-COFs PASCM-0.75 [HT, 80-90]
SPEEK [70%]
7.7 29% (PA) 7.3 - 27.3 - 123
(130 ℃, 0%RH)
PAT@UiO-66-SO3H CS/ PAT@UiO-66-SO3H-3
[LT, -]
Chitosan
38.8 53% (60 ℃) 67% (60 ℃) 37.9
(80 ℃,
100 %RH)
~53 - 124
100%RH)
UiO-66-NH2 and CDs (SPEEK/40%CDs@MOF)3/PA
[HT, ~65]; SPEEK [76.6%]
50.2 37.8% (PA) 4.9 369.9
(120 ℃, 0%RH)
~8 200 h
~44% (σ
125
(160 ℃, 0%RH)

a LT: low temperature PEM for fuel cells; HT: high temperature PEM for fuel cells; VRFB: vanadium redox flow battery.b DS: Sulfonation degree of polymer substrate materials.c High temperature PEM refers to swelling ratio and acid doping level (ADL) after doped phosphoric acid (PA), while others are in water.d Applied to fuel cells, the numerical value represents the maximum power density (mW/cm2). Applied to VRFB, the numerical values represent coulombic efficiency (CE) and energy efficiency (EE).e The retention rate of performance under the longest testing period. In parentheses, σ represents proton conductivity, CD represents average discharge capacity decay (per cycle) of VRFB and OCV represents the cell open-circuit voltages declay rate (mV/h) of the membrane electrode assemblies.

表3 UiO-MOFs的质子电导率

Table 3 Proton conductivity of UiO-MOFs

MOFs Proton conductivity (S/cm) Test conditions Ref
1. Pre-synthetic modification
UiO-66(Zr) 7.54×10-6 30 ℃, 97%RH 129
UiO-66(Zr) (low-crystallinity MOG) 1.23×10-2 80 ℃, 75%RH 130
UiO-66-NH2 1.40×10-5 30 ℃, 97%RH 129
UiO-66-SO3H 0.34×10-2 30 ℃, 97%RH 129
UiO-66-(SO3H)2 8.4×10-2 80 ℃, 90%RH 131
UiO-66-(SO3H)4 3.7×10-1 90 ℃, 90%RH 132
UiO-66-COOH (powder) 4.99×10-2 80 ℃, 100%RH 133
UiO-66-COOH (gel) 8.53×10-2 80 ℃, 100%RH 133
UiO-66-(COOH)2 0.10×10-2 30 ℃, 97%RH 129
H2SO4@UiO-66-SO3--NH3+ 5.40×10-1 90 ℃, 100%RH 134
H2N-UiO-66-SO3H 2.8×10-2 80 ℃, 75%RH 135
H2N-UiO-66-COOH 4.1×10-4 80 ℃, 75%RH 135
HOOC-UiO-66-SO3H 5.3×10-4 80 ℃, 75%RH 135
2. Metal cluster modification
UiO-66(Ce) 1.63×10-5 100 ℃, 98%RH 136
UiO-66-(Ce)-COOH 2.25×10-4 100 ℃, 98%RH 136
UiO-66-(Ce)-(COOH)2 1.10×10-3 100 ℃, 98%RH 136
UiO-66(Ce)-Br2 0.61×10-3 100 ℃, 98%RH 137
UiO-66(Hf)-(OH)2 4.33×10-3 100 ℃, 98%RH 138
UiO-66(Hf)-NH2 1.10×10-3 100 ℃, 98%RH 138
UiO-66(Hf)-NO2 0.89×10-3 100 ℃, 98%RH 139
UiO-66(Hf)-COOH 2.83×10-3 100 ℃, 98%RH 140
UiO-66(Hf)-(COOH)2 4.35×10-3 100 ℃, 98%RH 140
3. Post-synthetic modification
UiO-66-NH2-g-1,3-PS 1.64×10-1 80 ℃, 95%RH 141
UiO-66-NH2-g-1,4-BS 4.6×10-3 80 ℃, 95%RH 141
IM-UiO-66-AS (imidazole) 1.54×10-1 80 ℃, 98%RH 142
DT-UiO-66 (triazole) 4.47×10-3 100 ℃, 100%RH 143
SO3H-UiO-66-N4 (tetrazole) 5.5×10-5 85 ℃, 95%RH 144
UiO-66-COOH-Asp (aspartic acid) 1.19×10-2 70 ℃, 98%RH 145
60-UiO-66-1.8 (3-mercaptopropionic acid) 3×10-2 100 ℃, 98%RH 146
PGM-L3 (poly(vinyl phosphonic acid)) 1.26×10-2 80 ℃, 98%RH 147
UiO-66-SB (flexible zwitterionic arm) 1.0×10-3 85 ℃, 90%RH 148
LiCl@UiO-66-F2(SO3H)2 2.86 90 ℃, 90%RH 149
4. Defect engineering strategy
UiO-66(Hf)-NH2-3.18 (p-Aminobenzoic acid) 4.56×10-2 90 ℃, 98%RH 150
D-UiO-66-N=IM (acetic acid + imidazole) 2.15×10-2 70 ℃, 100%RH 151
Zr4+ terephthalate UiO-66 6.93×10-3 65 ℃, 95%RH 152
(1) Intrinsic property enhancement: UiO-MOFs introduce acid-base active groups to create high-density proton-jumping sites within the membrane, while simultaneously forming an interface acid-enriched zone with the matrix. This dual-pathway synergistic effect not only facilitates the proton dissociation process but also forms a three-dimensional proton-conducting network through the coupling of internal pore and interfacial channel pathways.
(2) Interface engineering optimization: Thanks to the excellent chemical modifiability of UiO-MOFs, surface functionalization significantly enhances their compatibility with the polymer matrix. By establishing a “rigid-flexible synergy” physical cross-linking network, the membrane maintains high proton conductivity while effectively suppressing swelling and enhancing mechanical stability.
(3) Multi-scale synergistic construction: The introduction of structure-guiding materials such as nanofibers can establish long-range ordered proton channels, while the barrier properties of two-dimensional materials and the reinforcing effect of carbon nanotubes create multidimensional complementarity. This multi-level structural design overcomes the functional limitations of single fillers, enabling a synergistic enhancement of both conductivity and mechanical strength.
Although current research has made significant progress, several bottleneck issues still need to be addressed. The core objective is to maximize the intrinsic functionality of MOFs within a limited space and fully exploit the complementary properties between the two phases to achieve performance breakthroughs. Future research can focus on the following directions.
Direction One: Innovation and Optimization of Material Systems
(1) Proton carrier innovation
Develop novel, highly efficient proton carriers with low pK avalues to replace water molecules as proton-conducting media, covalently grafted or spatially confined within MOF pores to achieve proton conduction under anhydrous conditions, thereby constructing intrinsic proton channels that are independent of humidity.
(2) Modification of the MOF Framework Itself
① Encapsulating proton carriers: Develop pore-size engineering and in-pore modification techniques to introduce more proton carriers through physical/chemical methods. Use in-situ polymerization, surface coating, and functionalized shell construction to inhibit leakage, thereby overcoming the limitations of traditional proton-conducting systems; ② Strengthening two-phase interface connections: By grafting proton-conducting groups onto the MOF surface or cross-linking with polymers, develop MOF materials that exhibit better compatibility with polymers, are more easily and uniformly dispersed, and are less prone to delamination. This synergistically enhances the proton conductivity and water absorption of composite membranes while reducing fuel permeability.
(3) Structural Regulation Strategies for MOFs
① Synergistic regulation of metal sites: Moving beyond the current strategy that mainly focuses on ligand modification, new materials such as metal-center coordination-modified and dual-metal MOFs are being developed; ② Precise construction of defects: Systematically studying the mechanisms by which defect density control and functionalization of defect sites influence proton conduction, and investigating the impact of uniform pore size gradient distribution on electrical conductivity; ③ Optimization of crystallinity: Designing metal-organic gels (MOGs) with low-crystallinity three-dimensional networks and hierarchical porous structures[23,126], overcoming grain boundary limitations in MOF powder materials, constructing interconnected three-dimensional hydrogen-bond networks, and forming long-range continuous proton transport channels; ④ Innovative topological structures: Developing morphological control technologies for MOFs in linear (1D) and sheet-like (2D) forms, exploring the dimensional effects on pore transport, and simultaneously addressing the issue of discontinuous proton conduction pathways.
Direction Two: Structural Design and Performance Enhancement
(1) Development of Novel Composite Membranes
① Humidity-responsive design: Develop humidity-responsive flexible MOFs such that, upon changes in humidity, the composite membrane actively responds by having the MOFs release or absorb water molecules, thereby alleviating localized “waterlogging” and reducing reliance on external humidification. ② Layered functional design: Leverage the unique properties of different MOFs to design gradient or symmetric multilayer membranes, including barrier layers, reinforcement layers, conductive layers, and free-radical-quenching layers. The synergistic effect of multiple layers enhances the overall performance of the composite membrane, with a particular focus on optimizing thin-layer design and interfacial adhesion. ③ Interface fusion design: Synthesize MOFs concurrently during the film-forming process to achieve uniform dispersion of nanoparticles within the polymer matrix and strong interfacial bonding. By integrating the surface characteristics of MOF-composite membranes, develop an integrated membrane-electrode design to reduce interfacial contact resistance, enhance catalyst utilization, and optimize mass-transfer efficiency.
(2) Optimization of MOF Membrane Structures
① Design of self-supporting MOF membranes: Overcome the brittleness of MOF materials by preparing continuous, self-supporting MOF membranes that combine toughness and high strength, thereby eliminating interfacial resistance in traditional composite membranes; ② MOF alignment technology: Develop MOF materials responsive to external fields to achieve their oriented alignment within the membrane, creating continuous, unidirectional proton transport channels that significantly shorten the proton transport path.
(3) Machine learning–assisted design
Accumulate extensive performance data on composite membranes, establish reliable structure–performance correlation rules, and achieve intelligent optimization and automated design of composite membrane structures to guide the design of high-performance PEMs and enhance the efficiency of new PEM research and development.
Direction Three: Deepening Basic Research and Exploring Applications
(1) Conduction Mechanism and Structural Analysis
① Establish a multi-scale simulation framework: Combine DFT calculations with coarse-grained molecular dynamics simulations[127,128] to deeply reveal the proton transfer mechanism at the MOFs/polymer interface; ② Develop in-situ characterization techniques: Advance SAXS coupled with AFM-IR and other sophisticated characterization methods to monitor in real time the microstructural evolution during membrane formation, and to investigate in depth how the dispersion state of MOFs in polymer solutions and membrane-forming process parameters influence the membrane's microstructure; ③ Precisely characterize the interfacial chemical environment: Employ aberration-corrected STEM combined with electron energy loss spectroscopy (EELS) to achieve atomic-level characterization of the chemical environment in the interfacial region; ④ Investigate the impact of MOFs structural parameter differences: Systematically study how the crystallinity, size, orientation, and distribution of MOFs affect membrane performance, clarifying the differences in conduction mechanisms between single-MOF membranes and MOF-composite membranes under different operating conditions; ⑤ Deepen fundamental theory: Integrate the above simulation and in-situ characterization results, cross-validate with experimental data, comprehensively analyze the molecular and morphological structural characteristics of composite membranes, and ultimately reveal their proton conduction mechanism.
(2) Operational Performance Evaluation and Engineering Applications
① Real-world operating condition research: Strengthen performance studies under actual PEM operating conditions, conduct in-situ durability tests on real devices, and delve into the influence of key operating factors such as temperature, humidity, catalyst loading, and contact resistance on battery efficiency; ② Scalable preparation: Develop continuous flow synthesis processes to address issues related to uniform filler dispersion in composite membranes and production batch stability, thereby advancing the industrialization of ultrathin membranes; ③ Adaptability to extreme conditions: Establish an accelerated testing system covering extreme conditions such as low-temperature high-humidity (with water), high-temperature low-humidity (anhydrous), start-stop cycling, and load fluctuations, to comprehensively evaluate the long-term operational reliability of membrane electrode assemblies; ④ Tackling practical application challenges: Focus on resolving critical issues that hinder practical applications, including two-phase interface defects in composite membranes, MOF agglomeration, and post-acid treatment stability; ⑤ Sustainable development: Actively develop green synthesis technologies, design renewable MOF material systems, and establish a closed-loop recycling process for membrane components. Continuously optimize synthesis processes to reduce MOF production costs and cycle times, thereby lowering the overall cost of composite membranes.
Looking ahead, proton exchange membrane materials will evolve toward molecular-scale hybridization. By introducing molecular-level building blocks such as metal-organic cages (MOCs), precise matching with polymer ion domains can be achieved, thereby enabling the regulation of microphase separation structures. This “molecular-level compounding” strategy may break through the limitations of traditional blending modifications and usher in a new paradigm for the design of proton-conducting materials.
[1]
Jiao K, Xuan J, Du Q, Bao Z M, Xie B, Wang B W, Zhao Y, Fan L H, Wang H Z, Hou Z J, Huo S, Brandon N P, Yin Y, Guiver M D. Nature, 2021, 595(7867): 361.

[2]
Kusoglu A, Weber A Z. Chem. Rev., 2016, 117(3): 987.

[3]
Segale M, Seadira T, Sigwadi R A, Mokrani T, Summers G J. Mater. Adv., 2024, 5(20): 7979.

[4]
Moorthy S, Sivasubramanian G, Kannaiyan D, Deivanayagam P. Int. J. Hydrog. Energy., 2023, 48(72): 28103.

[5]
Shao Y Y, Yin G P, Wang Z B, Gao Y Z. J. Power Sources, 2007, 167(2): 235.

[6]
Asghar M R, Zhang W Q, Su H N, Zhang J L, Liu H Y, Xing L, Yan X H, Xu Q. Energy Adv., 2025, 4(2): 185.

[7]
Gao J S, Dong X K, Tian Q B, He Y. Int. J. Hydrog. Energy, 2023, 48(8): 3216.

[8]
Liu Y R, Chen Y Y, Zhuang Q, Li G. Coord. Chem. Rev., 2022, 471: 214740.

[9]
Chen L, Ren Y W, Fan F Y, Wu T Y, Wang Z, Zhang Y J, Zhao J W, Cui G L. J. Power Sources, 2023, 574: 233081.

[10]
Howarth A J, Liu Y Y, Li P, Li Z Y, Wang T C, Hupp J T, Farha O K. Nat. Rev. Mater., 2016, 1(3): 15018.

[11]
Moorthy S, Sudhakaran R, Mahalingam A, Pushparaj H, Deivanayagam P. Ind. & Eng. Chem. Res., 2024, 17567.

[12]
Ray M, Samantaray P K, Negi Y S. ACS Appl. Polym. Mater., 2023, 5(7): 4704.

[13]
Nguyen M V, Dong H C, Nguyen-Manh D, Vu N H, Trinh T T, Phan T B. J. Sci. Adv. Mater. Devices, 2021, 6(4): 509.

[14]
Wang Y, Luo Y X, Chen R, Sun B Y, Liu H, Wang J, Gong C L, Zhang Q Y. Int. J. Hydrog. Energy, 2024, 95: 630.

[15]
Neelakandan S, Ramachandran R, Fang M L, Wang L. Int. J. Energy Res., 2020, 44(3): 1673.

[16]
Duan Y T, Ru C Y, Li J L, Sun Y N, Pu X T, Liu B H, Pang B H, Zhao C J. J. Membr. Sci., 2022, 641: 119906.

[17]
Yang J, Tong L Z, Alsubaie A S, Mahmoud K H, Guo Y Y, Liu L, Guo L, Sun Z H, Wang C. Adv. Compos. Hybrid Mater., 2022, 5(2): 834.

[18]
Ryu U, Jee S, Rao P C, Shin J, Ko C, Yoon M, Park K S, Choi K M. Coord. Chem. Rev., 2021, 426: 213544.

[19]
Fu J R, Wu Y N. Chem. Eur. J., 2021, 27(39): 9967.

[20]
Meng X, Wang H N, Wang L S, Zou Y H, Zhou Z Y. CrystEngComm., 2019, 21(20): 3146.

[21]
Sun X W, Bai X, Wang Q, Lu Y, Liu S X. ACS Appl. Energy Mater., 2022, 5(6): 7523.

[22]
Lim D W, Kitagawa H. Chem. Rev., 2020, 120(16): 8416.

[23]
Ma Y Y, Liu J, Yan W X, Li X R, Liu X C, Guo L H, Gong P W, Zheng X F, Liu Z. Microporous Mesoporous Mater., 2024, 367: 112974.

[24]
Bai Y, Dou Y B, Xie L H, Rutledge W, Li J R, Zhou H C. Chem. Soc. Rev., 2016, 45(8): 2327.

[25]
El-Sayed E M, Yuan Y D, Zhao D, Yuan D Q. Acc. Chem. Res., 2022, 55(11): 1546.

[26]
Leus K, Bogaerts T, De Decker J, Depauw H, Hendrickx K, Vrielinck H, Van Speybroeck V, Van Der Voort P. Microporous Mesoporous Mater., 2016, 226: 110.

[27]
Sun L, Wang H L, Yu J S, Zhou X G. Acta Chim. Sinica, 2020, 78(9): 888.

[28]
Feng L, Hou H B, Zhou H. Dalton Trans., 2020, 49(47): 17130.

[29]
Chen X, Li G. Inorg. Chem. Front., 2020, 7(19): 3765.

[30]
Cavka J H, Jakobsen S, Olsbye U, Guillou N, Lamberti C, Bordiga S, Lillerud K P. J. Am. Chem. Soc., 2008, 130(42): 13850.

[31]
Wang F X, Wang C C, Wang P, Xing B C. Chin. J. Inorg. Chem., 2017, 33(5): 713.

[32]
Winarta J, Shan B H, McIntyre S M, Ye L, Wang C, Liu J C, Mu B. Cryst. Growth Des., 2020, 20(2): 1347.

[33]
Zhao Y J, Zhang Q, Li Y L, Zhang R, Lu G. ACS Appl. Mater. Interfaces, 2017, 9(17): 15079.

[34]
Gu Y, Xie D H, Ma Y, Qin W X, Zhang H M, Wang G Z, Zhang Y X, Zhao H J. ACS Appl. Mater. Interfaces, 2017, 9(37): 32151.

[35]
Liu L M, Chen Z J, Wang J J, Zhang D L, Zhu Y H, Ling S L, Huang K-W, Belmabkhout Y, Adil K, Zhang Y X, Slater B, Eddaoudi M, Han Y. Nat. Chem., 2019, 11(7): 622.

[36]
Valenzano L, Civalleri B, Chavan S, Bordiga S, Nilsen M H, Jakobsen S, Lillerud K P, Lamberti C. Chem. Mater., 2011, 23(7): 1700.

[37]
Lee J, Lim D W, Dekura S, Kitagawa H, Choe W. ACS Appl. Mater. Interfaces, 2019, 11(13): 12639.

[38]
Feng L, Wang K Y, Day G S, Ryder M R, Zhou H C. Chem. Rev., 2020, 120(23): 13087.

[39]
Chaouiki A, Chafiq M, Elboughdiri N, Mahariq I, Kang J H, Ko Y G, Abboud M. Appl. Mater. Today, 2025, 44: 102676.

[40]
Tsang E M W, Holdcroft S. Polymer Science: A Comprehensive Reference. Amsterdam: Elsevier, 2012. 10: 651.

[41]
Li L, Liu H J, Zheng Y, Yang X Y, Cheng B W, Kang W M. Int. J. Hydrog. Energy, 2024, 92: 828.

[42]
Zhu L Y, Yang H B, Xu T, Shen F, Si C L. Nano Micro Lett., 2014, 17(1): 1.

[43]
Mukherjee D, Saha A P, Moni S, Volkmer D, Das M C. J. Am. Chem. Soc., 2025, 147(7): 5515.

[44]
Zou X N, Zhang D S, Xie Y L, Luan T X, Li W C, Li L, Li P Z. Inorg. Chem., 2021, 60(14): 10089.

[45]
Donnadio A, Narducci R, Casciola M, Marmottini F, D’Amato R, Jazestani M, Chiniforoshan H, Costantino F. ACS Appl. Mater. Interfaces, 2017, 9(48): 42239.

[46]
Liu S, Sang X X, Wang L H, Zhang J L, Song J L, Han B X. Electrochim. Acta, 2017, 257: 243.

[47]
Liang D, Wang S, Ma W J, Wang D, Liu G, Liu F X, Cui Y H, Wang X D, Yong Z P, Wang Z. Electrochim. Acta, 2022, 405: 139795.

[48]
da Trindade L G, Zanchet L, Dreon R, Souza J C, Assis M, Longo E, Martini E M A, Chiquito A J, Pontes F M. J. Mater. Sci., 2020, 55(30): 14938.

[49]
Chen J L, Wang L, Wang L. ACS Appl. Mater. Interfaces. 2020, 12(37): 41350.

[50]
Wu Y N, Liu X T, Yang F, Lee Zhou L, Yin B B, Wang P, Wang L. J. Membr. Sci., 2021, 630: 119288.

[51]
Eren E O, Özkan N, Devrim Y. Int. J. Hydrog. Energy, 2022, 47(45): 19690.

[52]
Wei G, Liu Y, Wu A, Min Y, Liao Z, Zhu R, Liang Y, Wang L. Mater. Today Chem., 2023, 27: 101276.

[53]
Wang P, Wu Y J, Lin W J, Wang L. J. Mater. Chem. A, 2022, 10(43): 23058.

[54]
Gao Y, Zhou Q, Xu H L, Liu B, Zhang Q, Dai Z R, Wang S R, Jiang R L. Int. J. Hydrog. Energy, 2024, 61: 415.

[55]
Liu Y P, Chen J L, Fu X Z, Liu D, Liu J F, Wang L, Luo J L, Peng X J. J. Power Sources, 2021, 507: 230316.

[56]
Zhang D Z, Xin L, Xia Y S, Dai L H, Qu K, Huang K, Fan Y Q, Xu Z. J. Membr. Sci., 2021, 624: 119047.

[57]
Ryu G Y, An S J, Yu S, Kim K J, Jae H, Roh D, Chi W S. Eur. Polym. J., 2022, 180: 111601.

[58]
Fu F, Gao Z, Wang Y, Wang X, Wang C. New Chem. Mater., 2025, 53 (9): 85.

[59]
Lv S M, Zhang B, Wang L, Fan Y, Zheng J F, Li S H, Xu J N, Zhang S B. J. Membr. Sci., 2025, 730: 124189.

[60]
Gao Q, Zhang L J, Zhang H, Zhang D H, Xiao W. J. Solid State Electrochem., 2024, 28(9): 3435.

[61]
Gao Q, Zhang L, Zhang H, Xu J, Xiao W, Li Y. Acta Mater. Compos. Sin., 2024, 41(10): 5468.

[62]
Zheng P L, Liu Q Y, Wang D H, Li Z K, Meng Y W, Zheng Y. Front. Chem., 2020, 8: 1.

[63]
Fu F, Gao Z, Wang Y, Wang X, Zhang L, Wang P, Liu Y. J. Synth. Cryst., 2024, 53(10): 1809.

[64]
Yin C S, Chen D Y, Hu M Y, Jing H H, Qian L B, He C Q. J. Membr. Sci., 2024, 707: 122997.

[65]
Huang J Z, Wei G Y, Lin J J, Peng J W, Wang L, Liu J, Peng X J. J. Mater. Chem. A, 2025, 13(23): 17393.

[66]
Xing Y Y, Wang J, Zhang C X, Wang Q L. ACS Appl. Mater. Interfaces, 2023, 15(27): 33003.

[67]
Ju M C, Meng L X, Xu J M, Chen X, Yu J J, Wang Z. J. Ind. Eng. Chem., 2023, 123: 342.

[68]
Rao Z, Tang B B, Wu P Y. ACS Appl. Mater. Interfaces, 2017, 9(27): 22597.

[69]
Dong X Y, Wang J H, Liu S S, Han Z, Tang Q J, Li F F, Zang S Q. ACS Appl. Mater. Interfaces, 2018, 10(44): 38209.

[70]
Zhang X C, Long J S, Wang M X, Liu Y R, Ma H X. Int. J. Hydrog. Energy, 2024, 61: 1495.

[71]
Liu J W, Ding L, Zou H Q, Huan Z P, Liu H T, Lu J, Wang S N, Li Y W. Dalton Trans., 2023, 52(45): 16650.

[72]
Yuan S, Qin J S, Lollar C T, Zhou H C. ACS Cent. Sci., 2018, 4(4): 440.

[73]
Ren H X, Liu Y R, Liu B, Li Z F, Li G. Inorg. Chem., 2022, 61(25): 9564.

[74]
Hu Z G, Wang Y X, Zhao D. Chem. Soc. Rev., 2021, 50(7): 4629.

[75]
Chen X, Zhang S L, Xiao S H, Li Z F, Li G. ACS Appl. Mater. Interfaces, 2023, 15(29): 35128.

[76]
Wang Q C, Shen D C, Tu Z K, Li S. Int. J. Hydrog. Energy, 2024, 56: 1249.

[77]
Tu Z Q, He X, Du X, Li W X, Wang D H, Fang W, Zhang H J, Chen H, Zhao L, Wang C. Chem. Eng. J., 2025, 505: 159357.

[78]
Wang Z M, Ren J M, Sun Y X, Wang L, Fan Y, Zheng J F, Qian H D, Li S H, Xu J N, Zhang S B. J. Membr. Sci., 2022, 645: 120193.

[79]
Mukhopadhyay S, Das A, Jana T, Das S K. ACS Appl. Energy Mater., 2020, 3(8): 7964.

[80]
Wu B, Choo H L, Ng W K, Pang M M, Yoon L W, Wong W Y. Fuel Cells, 2025, 25(1): e202400045.

[81]
Li P F, Chen Y B, Xiao F, Cao M, Pan J Y, Zheng J F, Zhao K, Li H, Zhang X L, Zhang Y Y. Int. J. Hydrog. Energy, 2024, 50: 1020.

[82]
Long J S, Zhang X C, Zeng S Q, Pei T, Ma H X, Li X S, Meng X Y. Int. J. Hydrog. Energy, 2023, 48(5): 2001.

[83]
Li P F, Chen Y B, Xiao F, Cao M, Pan J Y, Zheng J F, Li H, Zhao K, Zhang X L, Zhang Y Y. J. Mater. Sci., 2023, 58(35): 14154.

[84]
Wang Q, Yang K, Zhai S, Yin L, He S, Lin J. Petrochem. Technol., 2022, 51(3): 285.

[85]
Pang B, Cui F J, Chen W T, Wang X Z, Du R H, Wu X M, Yan X M, Dai Y, He G H. J. Power Sources, 2022, 526: 231132.

[86]
Zhang Y X, Liu H J, Liu M, Zhang Y T, Ding C J, Gong Y Y. High Perform. Polym., 2024, 36(6/7): 405.

[87]
Feng K R, Meng L X, Xu J M, Zhao P Y, Li N, Lei J X. ACS Appl. Polym. Mater., 2024, 6(17): 10916.

[88]
Chen F L, Meng L X, Xu J M, Liang H Q, Feng K R, Lan T, Wang J Y, Shi Q Y. Renew. Energy, 2025, 247: 123046.

[89]
Zhang D H, Yu W J, Zhang Y, Cheng S H, Zhu M Y, Zeng S, Zhang X H, Zhang Y F, Luan C, Yu Z S, Liu L S, Zhang K Y, Liu J G, Yan C W. J. Energy Chem., 2022, 75: 448.

[90]
Chen X, Ren Q, Xu J M, Ju M C, Meng L X, Wang Z. Electrochim. Acta, 2023, 469: 143210.

[91]
Tran M H, Jheng L C, Zhao Z L, Ko W C, Ho K S, Liao T C. Int. J. Hydrog. Energy, 2024, 77: 1375.

[92]
Wang S B, Luo H L, Li X, Shi L, Cheng B W, Zhuang X P, Li Z H. Int. J. Hydrog. Energy, 2021, 46(1): 1163.

[93]
Gao Y, He P, Yang J W, Liu B, Zhang Q, Zhou Q, Xu H L, Jiang R L, Dai Z R, Wang S R. Carbohydr. Polym., 2025, 348: 122835.

[94]
Cui X R, Wang H X, Zhao C Y, Wei Q Q, Shi H F. J. Energy Storage, 2025, 112: 115597.

[95]
Mukherjee N, Das A, Mukhopadhyay S, Das S K, Jana T. ACS Appl. Polym. Mater., 2024, 6(1): 846.

[96]
Zheng P L, Wang R, Li Z K, Li Y R, Wang D H, Li Z F, Peng X L, Liu C B, Jiang L, Liu Q Y. High Perform. Polym., 2021, 33(9): 1035.

[97]
Zhang S F, Li J R, Li N, Lv X, Jing X K, Li Q L, Wei N. ACS Appl. Mater. Interfaces, 2025, 17(10): 15555.

[98]
Zhao S J, Yang Y T, Zhong F, Niu W J, Liu Y S, Zheng G W, Liu H, Wang J, Xiao Z F. Polymer, 2021, 226: 123800.

[99]
Wang L Y, Deng N P, Liang Y Y, Ju J G, Cheng B W, Kang W M. J. Power Sources, 2020, 450: 227592.

[100]
Wang S B, Lin Y, Yang J, Shi L, Yang G, Zhuang X P, Li Z H. Int. J. Hydrog. Energy, 2021, 46(36): 19106.

[101]
Zhang X W, Liu Z G, Geng J L, Liu H, Wang H, Tian M W. J. Colloid Interface Sci., 2025, 678: 559.

[102]
Zhang X, Li G, Li L, Liu H, Tian M, Wang H. J. Text. Res., 2025, 46(2): 35.

[103]
Sun J, Han D, Ge J, Guo H, Zhang J, Yong L. J. Automot. Saf. Energy, 2024, 15(3): 379.

[104]
Zhu B S, Sui Y, Wei P, Wen J H, Cao H, Cong C B, Meng X Y, Zhou Q. J. Membr. Sci., 2021, 628: 119214.

[105]
Zhu B S, Sui Y, Wei P, Wen J H, Cao H, Cong C B, Meng X Y, Zhou Q. E3S Web Conf., 2021, 252: 02077.

[106]
Huang D, Li X, Luo C, Wei P, Sui Y, Wen J H, Cong C B, Zhang X C, Meng X Y, Zhou Q. J. Membr. Sci., 2022, 662: 121001.

[107]
Wei P, Sui Y, Huang D, Zhu B S, Meng X Y, Zhou Q. Chem. Eng. J., 2023, 475: 146512.

[108]
Luo S H, Zhang M G, Xi Q Y, Li Z H, Zhang M L. J. Appl. Polym. Sci., 2024, 141(43): e56141.

[109]
Liu B H, Duan Y T, Pang Y, Li Q J, Zhao C J. Chem. Eng. J., 2023, 477: 146955.

[110]
Sun J Y, Han D B, Dong R G, Ge J, Li S Z, Guo H, Wang C, Hu P, Liu Y C. Energy & Fuels., 2024, 38(8): 7322.

[111]
Sun H Z, Tang B B, Wu P Y. ACS Appl. Mater. Interfaces, 2017, 9(31): 26077.

[112]
Rao Z, Feng K, Tang B B, Wu P Y. J. Membr. Sci., 2017, 533: 160.

[113]
Das P, Mukherjee D, Mandal B, Gumma S. ACS Appl. Mater. Interfaces, 2021, 13(25): 29619.

[114]
Zhao C Y, Wang H X, Li L, Liu L P, Cui X R, Shi H F. J. Mater. Chem. A, 2024, 12(21): 12876.

[115]
Cui F Y, Wang W Y, Liu C N, Chen X Y, Li N. Int. J. Energy Res., 2020, 44(6): 4426.

[116]
Li X M, Wang Y M, Wu B K, Zeng L. ACS Appl. Energy Mater., 2021, 4(8): 8303.

[117]
Wang P, Lin J J, Wu Y N, Wang L. J. Power Sources, 2023, 560: 232665.

[118]
da Trindade L G, Borba K M N, Zanchet L, Lima D W, Trench A B, Rey F, Diaz U, Longo E, Bernardo-Gusmão K, Martini E M A. Mater. Chem. Phys., 2019, 236: 121792.

[119]
Shi Q Y, Xu J M. Process. Saf. Environ. Prot., 2024, 190: 853.

[120]
Liu F X, Wang S, Li J S, Wang X D, Yong Z P, Cui Y H, Liang D, Wang Z. J. Power Sources, 2021, 515: 230637.

[121]
Zhai S X, Jia X Y, Lu Z R, Ai Y N, Liu X, Lin J, He S J, Wang Q, Chen L. J. Membr. Sci., 2022, 662: 121003.

[122]
Wang Q, Yang K, Zhai S, Yin L, He S, Lin J. Chin. Plast., 2022, 36(8): 62.

[123]
Divya K, Liu Q Q, Murali R, Asghar M R, Liu H Y, Zhang W Q, Xu Q, Ren J W, Su H N. Appl. Surf. Sci., 2025, 681: 161544.

[124]
Feng X H, Wang J, Liu H, Gong C L, Cheng F, Ni J, Hu F Q. Polym. Compos., 2023, 44(12): 8601.

[125]
Li Q Q, Gao W M, Zhang N N, Gao X N, Wu D, Che Q T. J. Membr. Sci., 2025, 713: 123306.

[126]
Ma N, Kosasang S, Theissen J, Gys N, Hauffman T, Otake K I, Horike S, Ameloot R. Chem. Sci., 2024, 15(42): 17562.

[127]
Shen D C, Liu Z L, Li W, Li S, Tu Z K. Int. J. Hydrog. Energy, 2025, 97: 236.

[128]
Haghighi Asl M, Moosavi F, Akbari S. Mol. Syst. Des. Eng., 2022, 7(8): 969.

[129]
Yang F, Huang H L, Wang X Y, Li F, Gong Y H, Zhong C L, Li J R. Cryst. Growth Des., 2015, 15(12): 5827.

[130]
Tang H, Lv X Y, Du J, Liu Y, Liu J, Guo L H, Zheng X F, Hao H G, Liu Z. Appl. Organomet. Chem., 2022, 36(8): e6777.

[131]
Phang W J, Jo H, Lee W R, Song J H, Yoo K, Kim B, Hong C S. Angew. Chem. Int. Ed., 2015, 54(17): 5142.

[132]
He Y H, Dong J L, Liu Z Q, Li M Q, Hu J Y, Zhou Y, Xu Z T, He J. ACS Appl. Mater. Interfaces, 2022, 14(1): 1070.

[133]
Zheng X F, Guo Y J, Liu J, Tang H, Ma Y Y, Guo L H, Liu X C, Zhu X, Liu Z. J. Solid State Chem., 2022, 313: 123301.

[134]
Feng L, Bian S Y, Zhang K, Zhou H. Dalton Trans., 2022, 51(36): 13742.

[135]
Wang Q H, Zheng X F, Chen H X, Shi Z K, Tang H, Gong P W, Guo L H, Li M T, Huang H L, Liu Z. Microporous Mesoporous Mater., 2021, 323: 111199.

[136]
Ren H M, Liu B Y, Zuo B T, Li Z F, Li G. Microporous Mesoporous Mater., 2023, 351: 112481.

[137]
Gao L L, Feng J Y, Ren H M, Li G. J. Solid State Chem., 2024, 333: 124597.

[138]
Chen X, Wang S Z, Xiao S H, Li Z F, Li G. Inorg. Chem., 2022, 61(12): 4938.

[139]
Qiao J Q, Ren H M, Chen X, Li Z F, Li G. Inorg. Chem., 2023, 62(51): 21309.

[140]
Liu R L, Ren H M, Zhao S H, Lin D B, Cheng K P, Li G, Wang D Y. Inorg. Chem., 2025, 64(2): 1183.

[141]
Mukhopadhyay S, Debgupta J, Singh C, Sarkar R, Basu O, Das S K. ACS Appl. Mater. Interfaces, 2019, 11(14): 13423.

[142]
Li X M, Liu J, Zhao C, Zhou J L, Zhao L, Li S L, Lan Y Q. J. Mater. Chem. A, 2019, 7(43): 25165.

[143]
Feng L, Lan J R, Chen F Y, Hou H B, Zhou H. Dalton Trans., 2021, 50(17): 5943.

[144]
Lee D, Lee S, Son Y, Kim J Y, Cha S, Kwak D, Lee J, Kwak J, Yoon M, Kim M. Bull. Korean Chem. Soc., 2022, 43(7): 912.

[145]
Li X M, Jia J C, Yang D T, Jin J L, Gao J K. Chin. Chemical Lett., 2024, 35(3): 108474.

[146]
Liu Q Q, Liu S S, Liu X F, Xu X J, Dong X Y, Zhang H J, Zang S Q. Inorg. Chem., 2022, 61(8): 3406.

[147]
Mukherjee N, Basu O, Mukhopadhyay S, Jana T. ACS Appl. Polym. Mater., 2024, 6(13): 7488.

[148]
Hu J, Cao Y, Cai L, Wu G Z, Ge Y Y, Lin L, Li Z Y. Inorg. Chem. Commun., 2025, 178: 114608.

[149]
Zheng S L, Wu C M, Chung L H, Zhou H Q, Hu J Y, Liu Z Q, Wu Y, Yu L, He J. ACS Energy Lett., 2023, 8(7): 3095.

[150]
Fang F, Wang P, Zhang Z, Zhang S S, Guo Y Y, Wang S Y, Du L, Zhao Q H. CrystEngComm, 2024, 26(21): 2751.

[151]
Li X M, Jia J C, Zhao M Y, Liu D B, Gao J K, Lan Y Q. Chem. Commun., 2024, 60(53): 6777.

[152]
Taylor J M, Dekura S, Ikeda R, Kitagawa H. Chem. Mater., 2015, 27(7): 2286.

Outlines

/