Home Journals Progress in Geophysics
Progress in Geophysics

Abbreviation (ISO4): Prog Geophy      Editor in chief:

About  /  Aim & scope  /  Editorial board  /  Indexed  /  Contact  / 

Fault recognition using 3D convolutional neural network with global information extraction

  • LongLong QIAN ,
  • BinPeng YAN , *
Expand

Received date: 2023-08-20

  Online published: 2024-09-29

Copyright

Copyright ©2024 Progress in Geophysics. All rights reserved.

Abstract

Accurate fault identification is crucial to oil and gas exploration and development. Traditional fault identification technology based on coherence volume attribute has poor effects in complex structural zones. Conventional convolutional neural network based on image segmentation is also difficult to make up for the feature information lost in down sampling. Therefore, building a global information extraction attention mechanism can not only introduce information extraction in the concatenation part of the U-Net full convolutional network structure, compensates for the lack of information in the downsampling process and enhances the network's learning ability. It can also enhance the bottom level feature information and improve interpretation accuracy by using information scaling at the bottom level of the network. Moreover, this attention block does not add additional parameter information and has a low memory requirement. The experimental results show that the test accuracy of the neural network model with attention mechanism reaches 96%, and the loss function converges to 7%. The description of the main fault of the actual seismic data is better than the conventional U-Net. The attention mechanism of global information extraction provides a new idea for 3D fault intelligent recognition based on convolutional neural network.

Cite this article

LongLong QIAN , BinPeng YAN . Fault recognition using 3D convolutional neural network with global information extraction[J]. Progress in Geophysics, 2024 , 39(4) : 1532 -1543 . DOI: 10.6038/pg2024HH0319

0 引言

断层既可以为油气运移提供有利通道,又可以为油气聚集提供圈闭条件,断层的准确识别与解释对圈闭定位、储层识别、井位部署和压力预测等至关重要(匡立春等,2021).目前常用的断层识别手段主要包括基于地震数据的属性提取技术和基于深度学习的智能解释技术.
常用于断层识别和解释的地震属性包括相干体、方差体和曲率体属性等.相干体技术通过分析相邻地震道波形和相位的局部变化实现地震数据的不连续性度量,成为常规断层解释最有效的技术,被广泛应用在沉积环境分析、储层预测和地震资料解释等领域(杨涛涛等,2013李婷婷等,2018).国内外学者对相干算法做了诸多的探索:Bahorich和Farmer(1995)提出基于互相关的C1相干算法,该方法简单有效但对噪声敏感.Marfurt等(1998)提出基于多道相似性的C2相干算法,该算法利用多道地震数据计算不连续性,抗噪性得到增强,但分辨率较低.Gersztenkorn和Marfurt(1999)提出基于特征结构的C3相干算法,得到了优于C1和C2算法的分辨率和抗噪性.国内学者段春节等(2009)使用四阶距函数进行相干运算抑制噪声、减少计算量.为识别不同尺度的断层,基于连续小波变换的改良相干体算法被应用于地震数据解释中(王西文等,2002段春节等,2013陈永芮等,2021).为进一步提高计算效率,一些学者采用乘幂法加速相干计算,实现空间分辨率的提高(Wang et al.,2012刘畅等,2015).
近些年来,深度学习展现了强大的学习和泛化能力,各种深度学习模型被应用到地震数据的断层识别中.卷积神经网络的GPU并行实现有效解决了海量数据的计算效率问题,许多学者把卷积神经网络引入地震勘探领域,进行断层自动识别,解决海量地震数据计算量大、人工识别成本高的问题(任雄风等,2019王紫蕊等,2019Li et al.,2022).在众多卷积神经网络结构中,U-Net卷积神经网络因简单、高效和轻量的优点备受青睐.Wu等(2019)通过优化网络结构来平衡GPU内存和时间消耗.Zhang等(2022)探讨了在深度学习当中影响地震断层识别的性能因素.Wu等(2023)使用基于多任务深度学习的地震断层检测方法提高了神经网络的泛化能力.许多学者在改良的网络结构上采用理论标签进行训练,解决误差识别(刘宗杰等,2021何易龙等,2022路鹏飞等,2022).但单一的合成地震数据满足不了复杂地震勘探资料的构造解释,一些学者通过合成数据和实际数据相结合的方式,进行了多方面的探索,提高了网络模型对复杂地震勘探资料的解释精度(周东红等,2022芦凤明等,2022).为进一步提高神经网络的收敛速度和泛化能力,注意力机制被引入神经网络架构中,得到了丰富的断层信息,弥补了卷积神经网络在下采样过程中丢失的特征信息(罗一梁等,2021刘贵鑫和马中华,2023何涛等,2023).
目前,想要提高神经网络模型的分割性能和泛化能力,就需要增强对输入数据的关注度和表达能力,为此本文搭建了基于U-Net的全局信息提取网络模型,设计了信息提取模块来捕获小断层的特征信息,用信息缩放模块来增强底层大断层特征信息,即在U-Net网络架构的每一层都有信息提取模块,而传统注意力模块只作用在拼接部分,从而搭建了全局信息提取的网络架构,对深层和浅层信息都执行提取特征信息的操作,提高神经网络模型的断层识别性能.本文首先验证两个模块合理性,然后训练全局信息提取网络模型,并和U-Net以及常见的神经网络模型的训练结果进行对比分析.在训练数据上,本文使用伍新明教授公开的数据集来训练和测试网络模型.

1 方法原理

Ronneberger等(2015)提出了著名的U-Net卷积神经网络,掀起了一股热潮,之后很多的网络结构都借鉴了U-Net卷积神经网络的架构,进行图像分割.为了提高分割的准确性,根据人的视觉注意力机制而提出的各种注意力模块也被融入到了深度学习当中(He et al., 2016Woo et al., 2018),有效的提高了神经网络模型的泛化能力和鲁棒性,于是注意力模块成为改良神经网络结构不可或缺的一部分.

1.1 传统U-Net结构

U-Net卷积神经网络是为了解决生物医学分割问题提出来的,但U-Net具有简单高效、容易构建的特点,后来被广泛应用于语义分割的各个方向.本文遵循传统U-Net网络架构,设计了一个U-Net网络模型作为实验的对照组,如图 1所示,由收缩路径(左侧)和扩展路径(右侧)组成,收缩路径由重复的两个卷积核为3×3×3的卷积操作和下采样操作组成,扩展路径是由重复的上采样、拼接和两个卷积核为3×3×3的卷积操作组成,是典型的全卷积网络架构,可以被看做由三部分组成的:分别是下采样、上采样和拼接.具体操作如下:
图1 U-Net卷积神经网络模型

Fig 1 U-Net convolutional neural network model

(1) 下采样:卷积层采用激活函数为Relu的卷积操作,提取特征,增强空间信息,一定程度上可以防止过拟合现象的发生.采用窗口大小为2×2×2的最大池化函数来增加感受野,减少特征图的尺寸,降低计算的复杂度.
(2) 上采样:将特征图的分辨率恢复到原始数据(相应收缩路径的特征图)的分辨率大小,本文使用Keras深度学习框架的UpSampling3D函数实现,它通过复制和堆叠数据来增加特征图的尺寸.
(3) 拼接:为了弥补下采样当中发生的信息丢失问题,将收缩路径(包含细腻的位置信息)与扩展路径(丰富的语义信息)的特征图进行拼接,提高网络模型的性能和泛化能力.

1.2 引入注意力机制

注意力机制可以提高神经网络对输入数据中重要部分的关注度,提高神经网络的性能,被应用在多种视觉任务当中,比如:语义分割、目标检测、人脸识别等领域.根据数据域,可以划分为通道注意力、空间注意力、时间注意力、分支注意力等网络结构(Guo et al., 2022).
在深度学习领域,许多研究者有针对性的提出了许多注意力模块:Oktay等(2018)提出了注意力门机制,来抑制输入图像当中的不相关区域、提高特定区域的显著特征.Hu等(2020)提出通过关注不同通道的关系来学习不同通道的特征,通过学习全局信息来选择性的强调重要特征并抑制不重要的特征,提高神经网络的表示能力,构建了一个典型的压缩和激励网络,获得了具有不同通道权重信息的特征图.Saini等(2020)提出超轻量级子空间注意机制,把特征图分为若干个特征子空间,每个特征子空间学习不同的注意力图,捕获复杂的跨通道信息,提高网络模型的表达能力.
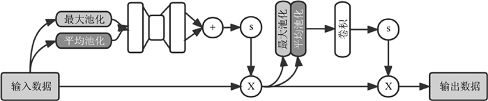
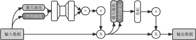
Woo等(2018)提出了轻量级的卷积注意力模块(Convolutional Block Attention Module, CBAM),在通道维度和空间维度上进行注意力操作,如图 2所示,输入的特征图会先经过通道注意力模块(Channel Attention Module, CAM),经过最大池化层和平均池化层,压缩特征图的尺寸,然后是权值参数共享和逐元素相加,最后使用Sigmoid激活函数进行归一化操作,将归一化后的权重和原特征图相乘;然后对数据进行空间注意力模块(Spatial Attention Module, SAM)操作,首先也是最大池化和平均池化操作,将其结果进行拼接和卷积操作,然后把经过Sigmoid激活函数得到的权重和经过CAM操作的特征图相乘,得到新的特征图.
图2 CBAM注意力机制

Fig 2 CBAM attention mechanism

以上传统的注意力模块会增加原本神经网络模型的网络参数,导致内存需求较高,训练用时较长.为了弥补这一缺点,本文设计了一个轻量级的注意力模块,该模块在保证网络稳定性的前提下,不会增加额外的网络参数,对内存需求较小.同时,该模块不仅可以弥补下采样中丢失的特征信息,增强小断层特征信息,还能够增强底层的特征信息,保证不丢失大断层的特征信息.

1.3 全局信息提取

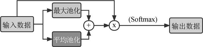
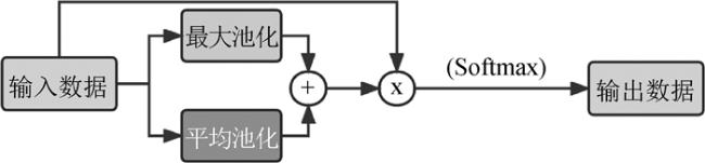
借助于以上深度学习概念,本文构建了一个轻便简单的全局信息提取网络模型(Global Information Extraction Network Model, GIE-Net),通过提取输入数据各维度上元素的最大值和平均值,经过一系列的逻辑操作,获取到全局空间信息,用来弥补卷积网络丢失的信息.在拼接过程处理特征信息的信息提取模块,简称IE(Information Extraction)网络模块,其主要功能是提取从收缩路径过来的特征图的各维度上的空间信息,再和原始特征图相乘,增强特征图中的小目标信息,从而弥补在下采样当中丢失的信息.同时为了加强底层大断层特征信息,对U-Net网络最底层的抽象特征信息进行一定程度的缩放,目的是保持断层线的连续性,该信息缩放模块简称IS(information scaling)(如图 3所示).
图3 注意力模块结构图

Fig 3 Attention module structure diagram

模块具体表达式为
式(1)是信息缩放模块的表达式,式(2)是信息提取模块的表达式,其中yi-1是模块的输入,yi是模块的输出,f1f2表示对输入数据各维度上的元素分别求取最大值和平均值,用来获取到输入数据的空间权重信息,目的是获取输入数据的特征权重.f3是一个激活函数的操作,对经过权重重分配的特征图执行压制大断层信息的操作,突出小断层信息,压制高权重无关信息,提取小断层信息特征,防止大断层信息或不相关特征信息在卷积过程中影响小断层信息,导致丢失小断层信息.即信息提取模块比信息缩放模块多了一步激活函数的操作,经过实验分析,本文选择Softmax作为激活函数.
全局信息提取网络模型结构如图 4所示.信息提取模块作用在神经网络模型的拼接部分,对卷积层的特征图进行信息处理,通过压制大断层信息(不容易丢失)来提高小断层信息(容易丢失)的权重,来弥补下采样中丢失小断层信息.信息缩放模块作用在神经网络模型的最底层,增强大断层信息,维持神经网络的性能,所以也可以称作信息提取模块,主要功能是提取大断层信息.综合信息提取和信息缩放模块,可以实现对断层特征信息的全方位提取.通过对每个卷积层的特征图进行特征信息处理,从而提高神经网络的性能,增强神经网络的断层识别效果.
图4 全局信息提取网络模型

Fig 4 Global information extraction network model

1.4 评价指标

本文使用的评价指标包括:交并比(IOU),准确率(Accuracy),精确率(Precision),召回率(Recall)和Dice系数,具体计算公式如下:
其中,TP代表把真实断层样本点预测正确的样本点总数,FP代表把非断层的样本点预测成断层的样本点总数,FN代表把真实断层样本点预测错误的样本点总数,TN代表把非断层的样本点预测正确的样本点总数.

2 实验和结果

本文使用Wu等(2019)开源的200对128×128×128的合成数据作为训练数据集,20对合成数据作为验证数据集,这些训练样本数据是通过地震正演模拟随机生成的三维合成地震数据,图 5是验证数据集当中的一个合成地震数据加上相对应标签的三维图像.实际地震数据是荷兰F3的一个子集(128[vertical]×384[inline]×512[crossline]).
图5 带标签的合成地震图像

Fig 5 Tagged synthetic seismic images

深度学习框架支持是TensorFlow(GPU)和Keras,开发工具是PyCharm,神经网络训练的优化器选择Adam,学习率是1e-4,损失函数是二元交叉熵损失,batch_size为1,在NVIDIA GeForce RTX 3070显卡上训练50轮.

2.1 模块验证

首先进行信息提取模块和信息缩放模块的合理性验证,即先训练分别具备信息缩放和信息提取模块的U-Net卷积神经网络,来检验本文设计的两个模块的性能差异.验证实验的准确率和损失函数值变化曲线如图 6图 7,实际地震数据的断层识别选择表现良好的网络模型,二维地震数据时间切片(vertical=99)识别结果如图 8所示.从图 6图 7可知,信息缩放模块提高了U-Net在合成数据上的准确率,损失函数收敛得较快,但在实际地震数据的识别上,断层轮廓发生丢失和模糊现象,如图 8c所示,可见神经网络发生了过拟合,压制了小断层信息.而具备信息提取模块的U-Net虽然在合成数据的准确率和损失值变化曲线上表现不佳,但在实际地震数据的识别上,具备信息提取模块的U-Net识别出来了断层轮廓,如图 8d所示,很好的刻画了断层线,但仍然有一些模糊的线条,这表明信息提取模块相比于信息缩放模块,对小断层信息有较好的保留效果.
图6 网络模型准确率变化曲线

Fig 6 Accuracy variation curve of network model

图7 网络模型损失值变化曲线

Fig 7 Loss variation curve of network model

图8 地震数据时间切片识别结果

(a)地震剖面;(b)对应标签;(c)IS识别结果;(d)IE识别结果.

Fig 8 The identification results of seismic slices

(a)Seismic profile; (b)Corresponding label; (c)IS identification results; (d)IE identification results.

2.2 网络测试

接下来进行全局信息提取神经网络模型的测试,实验结果的准确率和损失值变化曲线如图 9图 10所示.从图中可知,无论是在准确率上还是在损失值上,GIE-Net收敛的速度都不如U-Net,在准确率和损失值上两者相差了0.5%左右,这是因为由于GIE-Net采用的注意力模块并没有为神经网络模型增加任何参数,只是单纯地处理收缩路径上的特征图,提取下采样中缺失的特征信息,并没有保留在处理特征信息过程中的神经网络参数,不能提高神经网络模型在合成数据上的表现.
图9 网络模型准确率变化曲线

Fig 9 Accuracy variation curve of network model

图10 网络模型损失值变化曲线

Fig 10 Loss variation curve of network model

下面对模块验证和网络测试的实验结果进行消融实验结果分析,“√”表示包含模块,Time的单位是秒(s),表示计算机训练一轮epoch消耗的平均时间.数据是在验证数据集上展开的,对比图 8二维图像和图 11三维图像的实际地震数据断层识别结果可知,U-Net+IS模块过拟合最严重,但在合成数据评价指标上的数值最高.而U-Net+IE模块缓和了过拟合现象,但在合成数据评价指标上的数值最低.从表 1的数据中可以看出,二者结合(GIE-Net)弥补了IE模块在合成数据上的劣势,从图 8图 12二维图像的对比结果中可以看到其识别出了被忽略的小断层信息,增强了IS模块在实际地震数据上的表现.从图 11三维图像中也可以看到,其弥补了U-Net缺失的断层信息,但在合成数据上的表现不及U-Net.同时,增加网络模块会给神经网络模型带来额外的计算开销.
图11 (a) 标签;(b)U-Net识别结果;(c)GIE-Net识别结果

Fig 11 (a)Label; (b)U-Net recognition result; (c)GIE-Net recognition result

表1 不同模块对U-Net模型的影响

Table 1 The impact of different modules on U-Net model

模块 评价指标
IS IE IOU Accuracy Precision Recall Dice Time
U-Net 0.7252 0.9785 0.8285 0.8534 0.8407 70
0.7339 0.9792 0.8288 0.8651 0.8466 93
0.6459 0.9718 0.7942 0.7758 0.7849 98
0.6888 0.9752 0.8036 0.8283 0.8158 126
图12 地震数据时间切片识别结果

(a)地震剖面;(b)对应标签;(c)U-Net识别结果;(d)GIE-Net识别结果.

Fig 12 The identification results of seismic slices

(a)Seismic profile; (b)Corresponding label; (c)U-Net identification results; (d)GIE-Net identification results.

在实际地震数据的断层识别上,GIE-Net和U-Net选择表现良好的迭代模型,进行实际地震数据的断层识别,然后对荷兰F3的一个子集进行断层识别效果分析.图 11分别显示了三维断层标签以及U-Net和GIE-Net的断层识别结果.如图中箭头所示,在本应连续的断层线上,U-Net的识别结果出现了明显的缺失和间断,而GIE-Net的识别结果中断层线更加清晰连续.为进一步对比二者的差异,图 12显示了U-Net和GIE-Net的二维时间切片(vertical=99)的断层识别结果,对比图 12c图 12d可知,GIE-Net较好地弥补了丢失的断层信息,断层识别的准确率更高.
综上可知,经过全局信息提取网络模型处理后的数据能够很好地保证断层的连续性,经过处理的特征信息具备良好的代表性,弥补了丢失的断层信息.实验结果表明神经网络虽然可以在合成数据上取得优良的成绩,但对复杂的实际地震数据泛化效果却并不一定优良,从图 12c中就可以看到,U-Net在对实际断层的识别当中,丢失了许多断层信息,从图 12d可以看出,GIE-Net弥补这些断层信息.

2.3 与其他网络的对比

将GIE-Net和分别具备CAM、CBAM模块的U-Net神经网络的识别结果进行对比分析,依然在相同的计算机资源和开发环境下进行的实验,数据集、迭代次数和开发框架不变.
表 2是评价指标,是在验证数据集当中进行的,每个网络模型都选择表现良好的模型进行实验,图 13分别显示了断层标签以及CAM、CBAM和GIE-Net相应的三维断层识别结果,图 14显示了各模型的二维时间切片(vertical=99)的断层识别结果.可以看到,三个神经网络模型都大体识别出了断层轮廓,但是在小断层识别上面,GIE-Net识别的小断层信息更多.虽然CAM在合成数据上的表现远超GIE-Net和CBAM,但是在小断层识别方面,CAM丢失了一些小断层信息.而CBAM一轮epoch用时是GIE-Net的两倍,在合成数据上的表现最差,实际地震数据的断层识别也丢失了一些小断层信息.可知,GIE-Net的泛化能力得到了提高,保留了小断层信息.
表2 与其他网络模型的对比

Table 2 Comparison with other network models

模型 IOU Accuracy Precision Recall Dice Time
GIE 0.6888 0.9752 0.8036 0.8283 0.8158 126
CAM 0.7164 0.9776 0.8174 0.8529 0.8348 105
CBAM 0.6636 0.9726 0.7829 0.8132 0.7978 252
图13 实际地震数据断层识别

(a)标签;(b)CAM识别结果;(c)CBAM识别结果;(d)GIE-Net识别结果.

Fig 13 Fault identification of actual seismic data

(a) Label; (b) CAM identification results; (c) CBAM identification results; (d) GIE-Net recognition results.

图14 地震数据时间切片识别结果

(a)标签;(b)CAM识别结果;(c)CBAM识别结果;(d)GIE-Net识别结果.

Fig 14 The identification results of seismic slices

(a) Label; (b) CAM identification results; (c) CBAM identification results; (d) GIE-Net recognition results.

3 结论

本文在传统卷积神经网络中引入全局信息提取的注意力机制,实现了三维断层的准确识别,获得以下几点认识:
(1) 卷积网络在下采样的过程当中,不可避免地会损失一些小对象的信息,弥补这些损失的特征信息有助于提高卷积网络的分割性能,同时在神经网络模型中搭建适合的注意力模块可以提高网络模型的性能.
(2) 本文把提出的全局信息提取模块和全局信息缩放模块相结合,在多次迭代过程中,减轻了过拟合现象,同时其属于轻量级的模块,对内存要求不高,相较于其他注意力模块,提高了计算速度.
(3) 在训练的神经网络模型当中,固然可以在合成数据上取得很高的准确率、较低的损失值,但训练好的模型在复杂的实际地震数据上的表现却不如在合成数据上表现差的模型,这是出现了过拟合,过拟合是不可避免的.
(4) 本文在一系列的实验中发现,虽然可以在合成数据上得到优于U-Net的实验结果,但在实际地震数据上却容易发生过拟合现象,这是因为复杂的地震数据需要更多的参数来表达,但增加神经网络的参数来保留信息将会增加神经网络模型的计算开销,本文后续将会研究在增加神经网络的参数同时,平衡神经网络模型的计算开销,来提高神经网络的表达能力.
(5) 实际地震数据复杂多变,常规的合成数据代表不了实际地震数据,只能使合成数据尽量贴近实际地震资料,或者通过迁移学习进行高精度的数据训练.
在人工智能断层识别领域,各种注意力机制相继被提出,其本质就是弥补神经网络丢失的信息,解决过拟合和梯度消失现象,许多学者提出的模块各有侧重,本文在信息提取和减轻神经网络的算力方面做了探索,未来如何通过各种可插可卸的模块来提高断层识别的效率将是一个研究热点.

感谢伍新明教授在开源软件上做的贡献,感谢审稿专家提出的修改意见和编辑部的大力支持.

Bahorich M , Farmer S . 3-D seismic discontinuity for faults and stratigraphic features: The coherence cube. The Leading Edge, 1995, 14(10): 1053 1058

DOI

Chen Y R , Zhang J H , Lin C Y . The method and application of minor strike-slip faults identification about deep and ultra-deep carbonate reservoir based on wavelet transform sensitive frequency. Progress in Geophysics, 2021, 36(5): 1941-1947

DOI

Duan C J , Ai J X , Ye Z L . The Application of wavelet transform coherency algorithm in seismic data interpretation. Progress in Geophysics, 2013, 28(1): 434-438

DOI

Duan C J , Wu H N , Ma C J . The Application of higher-order statistics coherency algorithm in seismic datainterpretation. Progress in Geophysics, 2009, 24(2): 640-643

DOI

Gersztenkorn A , Marfurt K J . Eigenstructure-based coherence computations as an aid to 3-D structural and stratigraphic mapping. Geophysics, 1999, 64(5): 1468-1479

DOI

Guo M H , Xu T X , Liu J J . Attention mechanisms in computer vision: A survey. Computational Visual Media, 2022, 8(3): 331-368

DOI

He T , Liu N H , Wu B Y . ResU-Net based three-dimensional fault identification method and application. Chinese Journal of Engineering Mathematics, 2023, 40(1): 1-19

He Y L , Wen X T , Wang J T . Fault recognition based on 3D U-Net++L3 convolutional neural network. Progress in Geophysics, 2022, 37(2): 607-616

DOI

Hu J , Shen L , Albanie S . Squeeze-and-excitation networks. IEEE Transactions on Pattern Analysis and Machine Intelligence, 2020, 42(8): 2011-2023

DOI

Kuang L C , Liu H , Ren Y L . Application and development trend of artificial intelligence in petroleum exploration and development. Petroleum Exploration and Development, 2021, 48(1): 1-11

DOI

Li S Z , Liu N H , Li F Y . Automatic fault delineation in 3-D seismic images with deep learning: Data augmentation or ensemble learning?. IEEE Transactions on Geoscience and Remote Sensing, 2022, 60 5911214

DOI

Li T T , Hou S Y , Ma S Z . Overview and research progress of fault identification method. Progress in Geophysics, 2018, 33(4): 1507-1514

DOI

Liu C , Zhu Z Y , Zhang Q . 3rd coherence analysis technique and an application based on the anti-large-dip. Progress in Geophysics, 2015, 30(5): 2193-2199

DOI

Liu G X , Ma Z H . Fault identification of post stack seismic data by improved Unet network. Chinese Journal of Computational Physics, 2023, 40(6): 742-751

Liu Z J , He X L , Zhang Z H . Low-order fault identification technique based on 3D U-NET full Convolutional Neural Network (CNN). Progress in Geophysics, 2021, 36(6): 2519-2530

DOI

Lu F M , Meng R G , Zhang J H . Research of complex fault recognition method based on UNet++ network and transfer learning technique. Progress in Geophysics, 2022, 37(3): 1100-1111

DOI

Lu P F , Du W L , Li L . Intelligent recognition method of low-grade faults based on VNet deep learning architecture. Oil Geophysical Prospecting, 2022, 57(6): 1276-1286

DOI

Marfurt K J , Kirlin R L , Farmer S L . 3-D seismic attributes using a semblance-based coherency algorithm. Geophysics, 1998, 63(4): 1150-1165

DOI

Wang X K , Gao J H , Chen W C . An efficient implementation of eigenstructure-based coherence algorithm using recursion strategies and the power method. Journal of Applied Geophysics, 2012, 82 11-18

DOI

Wang X W , Yang K Q , Zhou L H . Methods of calculating coherence cube on the basis of wavelet transform. Chinese Journal of Geophysics, 2002, 45(6): 847-852

DOI

Wu W H , Yang Y , Wu B Y . MTL-FaultNet: Seismic data reconstruction assisted multitask deep learning 3-D fault interpretation. IEEE Transactions on Geoscience and Remote Sensing, 2023, 61 5914815

DOI

Wu X M , Liang L M , Shi Y Z . FaultSeg3D: Using synthetic data sets to train an end-to-end convolutional neural network for 3D seismic fault segmentation. Geophysics, 2019, 84(3): IM35-IM45

DOI

Yang T T , Wang B , F L . The application of seismic coherence technology for petroleum exploration. Progress in Geophysics, 2013, 28(3): 1531-1540

DOI

Zhang B , Pu Y T , Xu Z H . Exploring factors affecting the performance of deep learning in seismic fault attribute computation. Interpretation, 2022, 10(4): T619-T636

DOI

Zhou D H , Li H , Yan J G . Iterative optimization of label data in CNN algorithm and its application to small fault identification. Progress in Geophysics, 2022, 37(1): 338-347

DOI

永芮 , 军华 , 承焰 . 一种基于小波优势频带的深层-超深层碳酸盐岩走滑断裂识别方法及应用. 地球物理学进展, 2021, 36(5): 1941-1947

DOI

春节 , 敬旭 , 增炉 . 基于小波变换的相干技术在断层解释中的应用. 地球物理学进展, 2013, 28(1): 434-438

DOI

春节 , 汉宁 , 承杰 . 基于高阶统计量的相干体算法在地震中深层构造解释中应用. 地球物理学进展, 2009, 24(2): 640-643

DOI

, 乃豪 , 帮玉 . 基于ResU-Net的三维断层识别方法及应用. 工程数学学报, 2023, 40(1): 1-19

DOI

易龙 , 晓涛 , 锦涛 . 基于3D U-Net++L3卷积神经网络的断层识别. 地球物理学进展, 2022, 37(2): 607-616

DOI

立春 , , 义丽 . 人工智能在石油勘探开发领域的应用现状与发展趋势. 石油勘探与开发, 2021, 48(1): 1-11

DOI

婷婷 , 思宇 , 世忠 . 断层识别方法综述及研究进展. 地球物理学进展, 2018, 33(4): 1507-1514

DOI

, 振宇 , . 基于抗大倾角干扰的第三代相干体分析技术及应用. 地球物理学进展, 2015, 30(5): 2193-2199

DOI

贵鑫 , 中华 . 改进Unet网络对叠后地震数据的断层识别. 计算物理, 2023, 40(6): 742-751

宗杰 , 锡雷 , 祖豪 . 基于3D U-Net全卷积神经网络的低序级断层识别技术. 地球物理学进展, 2021, 36(6): 2519-2530

DOI

凤明 , 瑞刚 , 军华 . UNet++和迁移学习相结合的复杂断裂识别方法研究. 地球物理学进展, 2022, 37(3): 1100-1111

DOI

鹏飞 , 文龙 , . 基于VNet深度学习架构的低序级断层智能识别方法. 石油地球物理勘探, 2022, 57(6): 1276-1286

DOI

西文 , 孔庆 , 立宏 . 基于小波变换的地震相干体算法研究. 地球物理学报, 2002, 45(6): 847-852

DOI

涛涛 , , 福亮 . 相干技术在油气勘探中的应用. 地球物理学进展, 2013, 28(3): 1531-1540

DOI

东红 , , 建国 . CNN标签数据迭代优化及在小断层识别中的应用. 地球物理学进展, 2022, 37(1): 338-347

DOI

Outlines

/