Home Journals Progress in Geophysics
Progress in Geophysics

Abbreviation (ISO4): Prog Geophy      Editor in chief:

About  /  Aim & scope  /  Editorial board  /  Indexed  /  Contact  / 

Seismic first break picking using dual-channel mask interaction

  • Xu ZHANG , 1 ,
  • Jian ZHANG , 2, * ,
  • CuiCui SHI 1 ,
  • Fei DENG 3 ,
  • ZhengCai FAN 1
Expand
  • 1 Sinopec Geophysical Corporation Shengli Branch, Dongying 257100, China
  • 2 R&D Center of Science and Technology, Sinopec Geophysical Corporation, Nanjing 211112, China
  • 3 College of Computer Science and Cyber Security, Chengdu University of Technology, Chengdu 610059, China

Received date: 2024-03-23

  Online published: 2025-03-13

Copyright

Copyright ©2025 Progress in Geophysics. All rights reserved.

Abstract

Deep learning applied to seismic First Break (FB) picking has been developed for many years, and numerous researchers have used Image Semantic Segmentation Networks (ISSNs) for multi-channel FB picking. The existing seismic FB picking method based on ISSNs usually adopts two label calibration and FB determination methods, one is to divide the seismic signal into pre-FB and post-FB, and pick up the FB through mask segmentation; the other is to divide the seismic signal into FB and non-FB, and pick up the FB by extracting the highest confidence point of each trace. The former suffers from FB false pickup with localized regional continuity due to the mask edge blurring problem; The latter, because of the large proportion of positive and negative samples, tends to make the network hard fitting and cannot be applied to data with complex FB waveforms and large size. Based on this, a dual-channel mask interaction seismic FBs picking method is proposed, which ensures the network's FBs feature recognition ability by banded FBs range mask, and enhances the network's FBs accurate picking ability by linear preferred FBs mask, which effectively avoids the shortcomings of the existing methods. Theoretical experiments show that the method has good noise resistance and can be generalized to higher noise level data by training in low noise level data. When the method is applied to the field data, it achieves higher FB picking accuracy than the existing methods, and the number of traces with picking error of 0 ms is as high as 75.9%, which is 7.1%, 26.8%, and 15.6% higher than that of STUNet, SegNet, and Res-Unet, respectively, and greatly improves the efficiency of high-quality seismic FB picking. Meanwhile, the approach adopts a lightweight network model with high inference efficiency and easy engineering deployment, which has practical application value.

Cite this article

Xu ZHANG , Jian ZHANG , CuiCui SHI , Fei DENG , ZhengCai FAN . Seismic first break picking using dual-channel mask interaction[J]. Progress in Geophysics, 2025 , 40(1) : 131 -142 . DOI: 10.6038/pg2025HH0475

0 引言

地震勘探作为一种利用地震波传播特性来探测地下结构的地球物理探勘方法,被广泛应用于石油与天然气勘探、地下水资源调查以及地质灾害监测等地质工程中(刘志刚和刘秀峰,2003Malehmir et al., 2012蒋沛凡等,2023).地震初至拾取是地震资料处理中十分关键的一步,初至拾取的精度决定了后续静校正、层析反演建立近地表速度模型等任务的效果(Yilmaz,2001).随着国家持续推进深地勘探战略,地震勘探的采集技术不断革新,勘探规模不断扩大,工程中检波器的布设数量多达几万甚至十几万,人工激发地震的炮点数也高达几万,因此需要处理的地震数据规模日益庞大,由人手工拾取初至就变得越来越耗时耗力、效率低下.传统的初至拾取方法如能量比值法(Coppens,1985)、互相关法(Peraldi and Clement, 1972Gelchinsky and Shtivelman, 1983)、分形维数法(Boschetti et al., 1996;Jiao and Moon, 2020)及图像边缘检测法(潘树林等,2005李辉峰等,2006)等在面对复杂地质条件采集的数据时,无法精确拾取低信噪比道集初至,因而设计出高效、高精度的智能化初至拾取方法至今还是国内外研究人员所关注的热点.
自2015年来,伴随着深度学习的蓬勃发展,通过卷积神经网络来构建复杂数据之间的非线性映射关系,为各领域研究新方法的突破提供了新思路,大量研究人员将该类方法引入到初至拾取中来.Wu等(2019)Zhu等(2019)Loginov等(2022)皆提出基于全卷积网络的一维单道初至拾取方法,此类方法在高信噪比数据中可以实现高精度的初至拾取结果,但由于缺乏对于相邻道初至相关性信息的获取能力,在大规模复杂数据集中表示不佳.相比于单道初至拾取,将初至拾取视为图像语义分割任务的二维多道初至拾取深度学习方法因为考虑了相邻道初至的空间信息,从而具备了更好的抗噪性以及拾取精度,众多研究人员提出使用基于卷积网络的U-Net及其变体(Hu et al., 2019李薇薇等,2021Zwartjes and Yoo, 2022李建平等,2023)、SegNet(Yuan et al., 2022)、U-SegNet(陈德武等,2020)、D-LinkNet(袁联生,2022邓飞等,2022)及基于Transformer网络的STUNet(Jiang et al., 2023)等的多道地震初至拾取方法.以上方法在大量模拟数据及实际数据中都证明了,基于图像语义分割的地震初至拾取方法优于一系列传统初至拾取方法,并在低信噪比环境中依然可以实现高精度拾取.
按照标签制作方式的不同,上述多道地震深度学习初至拾取方法可分为两种,一种是将地震波信号划分为初至前与初至后;另一种是将地震波信号分别标记为初至时刻与非初至时刻(Xu et al., 2021),它们都被得到了广泛的应用.前一种方法正负样本比例均衡,利于网络训练拟合,但由于此种方法依靠掩码分割边界来判定初至,其存在的边界模糊问题容易导致初至分割结果不够准确,需要进行后处理;而后一种方法虽然能够产生更为唯一性的初至结果,但当输入的数据尺寸较大时,正负样本比例悬殊,导致方法的泛化性较差,通常无法直接应用于数据间初至波型差异较大的工区资料中.基于此,本文融合上述两类标签制作方式,提出一种双通道掩码交互的图像语义分割初至拾取方法,采用双通道掩码的形式为网络判定初至时间提供更为可靠的特征信息,通过宽带状初至范围掩码通道来增强网络对于初至特征识别能力,通过线状优选初至掩码通道来精确拾取初至时刻.理论实验表明,该方法具有较好的抗噪性,通过在低噪声水平数据中训练后可泛化至更高噪声水平数据中.实际数据实验结果表明,该方法较现有图像语义分割方法取得了更为精确的初至拾取结果,平均拾取误差低至2.96 ms,其中拾取误差为0 ms的道数占比高达75.9%, 分别较STUNet、SegNet和Res-Unet提升了7.1%、26.8%和15.6%, 并且所采用的轻量化U型卷积网络计算复杂度低,使得该方法训练所需时长短,推理效率更高.

1 方法原理

随着深度学习被广泛应用于各个领域中,基于图像语义分割方法的多道地震初至拾取方法被证明有较强的抗噪能力与实际工程应用价值,其流程见图 1所示,主要包括数据预处理、标签与数据集制作和网络训练与推理三个步骤.其中,数据预处理主要关注的是如何将地震数据以合理的数据格式与尺寸输入至网络;标签与数据样本对制作的方式决定了初至的标定模式及样本对的形式,对帮助网络高效识别初至特征起到了至关重要的作用;而网络训练和推理步骤需要确定实验采用的网络架构及训练和推理策略,将会直接影响初至拾取的精度.本文对于该三个步骤皆提出了高效合理的方法,通过线性校正、双通道掩码标定和轻量化的U型卷积神经网络实现了最终的高精度地震初至拾取.下面将从网络原理、数据预处理和标签制作来详细描述本文方法.
图1 基于深度学习的多道地震初至拾取流程图

Fig 1 Flowchart of multi-trace seismic first break picking based on deep learning

1.1 网络原理

本文所构建的双通道特征交互地震初至拾取网络架构如图 2所示.网络采用了在计算机视觉任务中最为稳定高效的U型卷积网络架构,主要分为编码器与解码器两部分.在编码器部分,一个阶段的降采样由两个3×3卷积操作和一个最大池化操作组成.每个降采样阶段将特征图尺寸减小、通道数增大,特征图尺寸的减小使得数据中远距离信息实现特征交互,通道数的增大赋予了网络获取深层次通道特征的信息提取能力,一个降采样阶段可表示为如下公式:
$x_{\text {out }}=\operatorname{MaxPool}_{2 \times 2}\left(\operatorname{ConV}_{3 \times 3}\left(\operatorname{ConV}_{3 \times 3}\left(x_{\text {in }}\right)\right)\right), $
图2 本文U型卷积网络架构及数据输入输出示意图

Fig 2 Schematic diagram of U-shaped convolutional network architecture and data inputs and outputs

式中,xinxout表示输入输出数据;MaxPool表示最大池化操作;ConV表示卷积操作;下标n×n表示卷积核或者池化采样间隔大小.通过编码器中的四个降采样阶段后,特征图尺寸降为原始的1/16,在这过程中特征图中远距离信息得到了充分的交互.
随后网络进入解码部分,其中包含四个上采样阶段,每个上采样阶段由一个2×2转置卷积操作和两个3×3卷积操作组成,并且使用通道拼接的跳跃连接方式将降采样中的数据与对应上采样数据进行融合,实现浅层图像纹理与深层抽象特征的交互.通过上述操作,每个上采样阶段将特征图尺寸增大、通道减小,以逐步恢复数据的原始尺寸,一个上采样阶段可表示为如下公式:
$x_{\text {out }}=\operatorname{ConV}_{3 \times 3}\left(\operatorname{ConV}_{3 \times 3}\left(\operatorname{Cat}\left(E_{\mathrm{i}}, \operatorname{TansConV}_{2 \times 2}\left(x_{\text {in }}\right)\right)\right)\right), $
式中,xinxout表示输入输出数据;TansConV表示转置卷积操作;Ei表示对应的下采样阶段的特征图数据;Cat表示通道拼接操作;ConV表示卷积操作;下标n×n表示同式(1).
通过上述的编码解码网络架构即可构建地震数据与特征掩码的非线性映射关系.网络最终使用Sigmoid函数将数据投影至(0,1)之间,输出双通道的二分类掩码图,其中一通道为带状初至范围掩码,另一通道为线状初至优选掩码.带状初至范围掩码用于帮助网络拟合,并限定初至大致范围;线状初至优选掩码则使网络实现高精度初至拾取.

1.2 数据预处理和标签制作

深度学习是一种以数据为驱动的方法,通过大规模数据集的训练以模拟各类模式识别问题.在监督学习中,通常情况下设计正确合理的训练样本对形式有助于网络快速构建各类非线性数据映射关系.现有基于深度学习的地震初至拾取任务皆将地震数据视为图像输入至网络,但随着地震勘探不断发展,采集到的地震数据尺寸较大,直接将数据输入至网络中进行初至拾取对于硬件条件要求较高,众多研究人员提出了不同的数据裁剪方法.陈德武等(2021)Xu等(2021)都将原始地震数据通过一系列算法(如赤池信息准则AIC法)定位出初至大致范围,并由此裁剪成小尺寸数据.潘英杰等(2022)则将原始地震数据规则裁剪成小尺寸数据.
而本文采用线性校正法,将每道检波器记录的地震信号根据其不同的炮检距增加对应的时间增量,将所有初至时间校正至大致相同范围,从而大幅减小数据时间样点维度的尺寸,如图 3所示.通过线性校正并裁剪非初至区域,减小原始数据时间样点维度的尺寸,相比于前人提出的裁剪方法,基于线性校正的裁剪方法可以实现以全局视角将整炮数据输入至网络.线性校正可通过如下数学公式实现:
$\Delta t=\frac{m_i}{v}, $
图3 线性校正前(a)、后(b)示意图

Fig 3 Schematic diagram before(a) and after(b)linear correction

式中,v表示原始地震记录近震源与远震源处初至连线的斜率;mi表示检波器i的炮检距;Δt表示检波器记录的地震信号附加的时间增量.
通过线性校正将地震数据尺寸在时间维度上大幅减小后,并在此基础上进行掩码标签制作.如引言部分所述,在现有基于深度学习的多道地震初至拾取任务中,标签制作方式可分为两种:方法A:将地震波信号按照初至前与初至后分为两类,如图 4a所示;方法B:将地震波信号按照初至时刻与非初至时刻分为两类,如图 4b所示.上述两种标签制作方法在特定情况下皆存在不足,而根据本文所设计的双通道掩码交互地震初至拾取方法,提出一种新型标签制作方式方法C,即双通道掩码标签法,如图 4c所示,该方法在其中一个通道内将初至时间前后分别延拓若干个时间样点范围作为正样本,在另一个通道按照现有方法B进行初至样本标注.
图4 标签制作方式

Fig 4 Mask labeling methods

2 实验与分析

2.1 实验环境及实验数据

实验使用的硬件环境为AMD Ryzen 7 5800X,NVIDIA RTX 3090,使用Pytorch训练框架.网络具体的超参数统一设置如下:采用Radam优化器,Batch Size设置为16,初始学习率为0.002,最大训练轮次为130.
实验数据:(1)抗噪性测试采用理论数据,通过对地质模型进行二维地震正演模拟得到5000炮理论数据,2 ms时间间隔采样,经线性校正后每炮数据为480道、512时间样点记录;(2)实际资料采用华北地区实际采集得到的434炮二维地震数据,4 ms时间间隔采样,经线性校正后每炮数据为480道、256时间样点记录.所有实验将数据按照70%、20%、10%的比例随机划分为训练集、验证集及测试集,训练集用于训练网络,验证集用于判断训练过程中网络模型的拟合程度,测试集用于独立评判各网络初至拾取效果,实验对比均在测试集中进行.

2.2 实验评判指标

为了便于比较各网络的实验结果,除了使用相同的实验数据及实验环境,实验中的各网络均采用二分类交叉熵(Binary Cross-Entropy)函数来计算损失.作为现有二分类图像语义分割任务中被广泛使用的损失函数之一,二分类交叉熵损失易于实现,且有较高的训练速度(Ruby and Yendapalli, 2020),其可表示为如下数学公式:
$\begin{aligned}\text { BCE_Loss }= & -\sum\limits_{i=1}^W \sum\limits_{j=1}^H\left[G_{i j} \times \lg P_{i j}+\left(1-G_{i j}\right) \times\right. \\& \left.\lg \left(1-P_{i j}\right)\right], \end{aligned}$
其中,Gij表示特征图中某样点的实际标签值;Pij表示特征图种对应样点的网络预测值;WH分别表示数据图的高宽尺寸.
本文通过对比各网络预测的掩码图及比较定量指标数值结果来评判各网络方法初至拾取的精度.对于定量指标比较,计算网络输出的掩码图与实际标签图中的初至时间平均样点误差(mean Sampling Point Error,mSPE)能够更加清晰对比出各网络实际拾取效果的好坏,同时对于各个误差范围占比的统计有助于讨论各个网络方法的优劣势;计算各方法最终预测的初至与实际初至的平均时间误差(mean Time Error,mTE)能够更为直观的了解其在实际工程中的误差范围;此外各网络的计算复杂度及所需的推理时间也是值得关注的,网络计算复杂度使用github开源工具包pytorch-OpCounter(Zhu et al., 2022)计算得到,推理时间通过计算在相同硬件环境下网络模型每秒可处理的数据个数.平均样点误差值和平均时间误差值的计算可表示为如下数学公式:
$\operatorname{mSPE}=\frac{1}{N} \sum\nolimits_{i=1}^N\left(\left|p_i-g_i\right|\right), $
$\mathrm{mTE}=\mathrm{mSPE} \times t, $
其中N表示炮集所记录的地震道总数;p表示网络预测的初至样点时间;g表示标签图中实际初至样点时间;t表示地震采样的时间间隔数.

2.3 理论抗噪性测试分析

为了验证本文标签标定方法的有效性与抗噪性,首先在理论数据中进行实验.标签制作时分别按照初至前后二分类掩码标定方法及本文所提出的双通道掩码标定方法.由于实验数据尺寸较大,按照初至与非初至进行的掩码标签标定方法网络难以拟合,初至拾取效果较差,因此本文并未对该掩码标定方法进行对比.网络训练过程中,训练集被随机加入5%、15%和30%的高斯噪声,同时会随机在部分地震道中加入正余弦噪声以模仿工频噪声干扰.此后,本文对测试集中每炮数据集同时加入5%、15%、30%和50%的高斯噪声及随机正余弦噪声,使用训练好的模型直接推理,测试本文方法的抗噪性.实验结果如图 5表 1所示,由图表可知,在经过大规模不同噪声水平的理论数据训练后,本文方法在不同信噪比数据中都取得了令人满意的初至拾取结果.当噪声水平低于15%时,平均样点误差皆在0.1 pixel以内,其中在无噪数据中,平均样点误差仅为0.41 pixel,零误差占比高达88.90%.各高水平噪声实验结果表明了本文具有较好的抗噪性,尤其是在图 5f中,展示了较训练集更低信噪比数据的初至拾取结果,虽然初至拾取的平均时间误差大幅增加、零误差占比有了明显降低,但数值水平依然处于较好范围.此外,按照初至前后的二分类掩码标注方法取得的初至拾取结果与本文提出的双通道掩码标注方法在平均时间误差上相近,但可以发现,不同噪声水平下的零误差占比都低于本文方法,表明了线状优选初至掩码通道能够实现更为精确的初至拾取.
图5 理论数据测试集各噪声水平初至拾取对比图

(a)理论地震数据;(b)0%噪声水平拾取结果;(c)5%噪声水平拾取结果;(d)15%噪声水平拾取结果;(e)30%噪声水平拾取结果;(f)50%噪声水平拾取结果;其中红点表示本文标签标定方法结果,蓝点表示初至前后标签标定方法结果.

Fig 5 Comparison of first break picking at each noise level for the theoretical data test set

(a) Theoretical seismic data; (b) 0% noise level pickup results; (c) 5% noise level pickup results; (d) 15% noise level pickup results; (e) 30% noise level pickup results; (f) 50% noise level pickup results; where the red dots indicate the results of the labeling calibration method in this paper, and the blue dots indicate the results of the labeling calibration method before and after the first break.

表1 理论数据测试集各噪声水平数值结果对比

Table 1 Comparison of numerical results for each noise level in the theoretical data test set

噪声水平 双通道掩码标注方法 初至前后标注方法
平均样点误差/px 平均时间误差/ms 零误差占比/% 推理时间处理个数/s 平均样点误差/px 平均时间误差/ms 零误差占比/% 推理时间处理个数/s
注:px表示像素点(pixel).
0% 0.41 0.82 88.90 24.3 0.44 0.88 81.89 24.9
5% 0.67 1.34 66.81 0.66 1.32 60.01
15% 0.92 1.84 54.79 0.96 1.92 49.94
30% 1.42 2.84 48.75 1.39 2.78 41.83
50% 2.01 4.02 36.25 2.07 4.14 29.91
综上可知,在理论模型各炮数据相似度较高、噪声特征分布较为简单的情况下,本文方法延续了将多道地震初至视为图像语义分割任务后具备的良好抗噪性,实现了高精度的初至拾取.此外,实验还表明,在低噪声水平数据中进行大规模训练后,方法存在能够泛化至更高噪声水平的地震数据中的可能性.

2.4 实际资料分析

为了展示本文方法对于实际资料的初至拾取效果,随机选取测试集中3炮数据,分析现有研究使用STUNet(Jiang et al., 2023)、Seg-Net(Yuan et al., 2022)、Res-UNet(Zwartjes and Yoo, 2022)基于初至前后二分类掩码的初至拾取方法与本文方法的对比结果,如图 6所示.其中,STUNet、Seg-Net和Res-UNet的白色掩码区域表示初至后时刻,灰色非掩码区域表示初至前时刻;本文方法展示了带状初至范围掩码,白色掩码区域表示初至范围区域,灰色非掩码区域为非初至区域.图中红色表示该道的实际初至,由专业解释人员手工标注拾取,绿色表示所采用方法在该道的预测初至,若采用的方法预测完全正确(0样点误差)则用蓝色表示.STUNet、Seg-Net和Res-UNet的初至波预测值由各自的初至前后二分类掩码分割界线提取得出,二分类阈值按照惯例设置为0.5;本文方法则选取线状优选掩码中每地震道置信度最高的点作为初至预测时间.
图6 测试集各方法网络输出掩码对比图

(a)—(c)分别表示不同炮数据.

Fig 6 Comparison of network output masks for each method in the test set

(a)—(c)Indicate different shot data.

图 6可知,本文方法在大多数情况下取得了更为优秀的初至拾取结果.在初至变化较为平缓的炮集A中,经过优选掩码预测的初至时间相较于其他方法更为连续、准确;在有多处初至跳变区域及初至不明显区域的炮集B、炮集C中,Seg-Net和Res-UNet全卷积分割网络的拾取结果不佳,而本文方法因为通过带状初至范围掩码的约束,在数据边界初至不明显区域取得了精确的拾取结果,并同时表现出对初至跳变区域的高精度识别能力,具体可参见图 7.由图 7中数据B部分道集初至拾取结果对比可知,在470道至480道区间,存在迷惑性初至信号,Seg-Net、Res-UNet和STUNet皆出现了错误拾取,而本文方法依然实现了准确的初至拾取.综合图 6图 7可知,本文方法采用的双通道掩码输出方式有效避免了其余方法存在的掩码不连续、边界模糊的问题,提高了对初至预测的准确度.可见,对于网络模型来说,粗带状掩码对于目标区域分界线的识别是稳定的,而正由于带状掩码对于初至区域的正确识别,才能使得优选掩码能够精确预测出初至时间,带状掩码和优选掩码通道之间的交互为最终精确拾取初至提供了充分的特征信息.
图7 测试集数据B各网络初至拾取对比图

(a)230道至330道局部数据;(b)410道至480道局部数据.

Fig 7 First break picking results for each network

(a) No.230 to No.330 trace localized data; (b) No.410 to No.480 trace localized data.

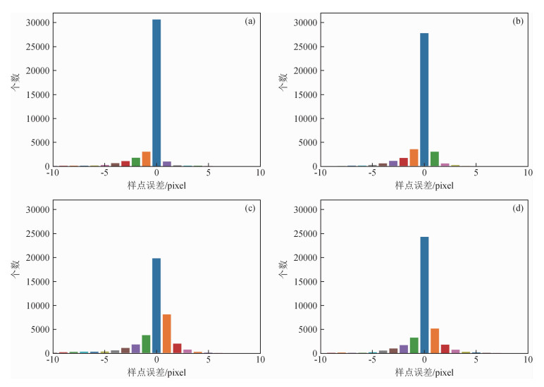
表 2中统计了测试集中各方法不同样点误差区间的占比,图 8中统计了测试集中各方法10像素以内样点误差分布.结合图表可知,本文方法对于0样点误差的预测占比最高,为75.9%, 基于Swin Transformer的STUNet结果为68.8%, 全卷积类网络Res-UNet和Seg-Net分别为60.3%和49.1%.并且在误差小于等于5个像素点的占比统计中,本文方法高达97.7%, Res-Unet、STUNet、Seg-Net依次减少.但值得注意的是,误差大于15个像素点的占比统计显示,将初至按照初至前和初至后两类分割的全卷积类网络Res-UNet和Seg-Net表现得更为优秀,分别只有0.25%和0.16%, 这是因为该种标签标定方法通过初至前后分界线来最终预测初至时间表现得更为保守,相邻道掩码信息更为聚合,不容易产生偏差较大的值.而本文方法采用了更为激进的初至优选方式,通过双通道掩码特征的交互,在合理的初至范围内让网络做出对初至时间的预测,因此伴随着更高0样点误差拾取占比的同时,离群预测值也多于按照初至前后分割的全卷积类网络,但误差小于等于10个像素点的占比统计显示,本文方法对于99.1%道集的初至时间预测误差都是令人满意的.
表2 各方法不同误差区间占比

Table 2 Percentage of different error ranges for each method

方法 误差占比
0 px占比/% ≤5 px占比/% ≤10 px占比/% >15 px占比/%
Res-Unet 60.3 97.5 99.4 0.25
Seg-Net 49.1 95.8 99.2 0.16
STUNet 68.8 97.3 99.0 0.77
Ours 75.9 97.7 99.1 0.47
图8 各方法样点误差分布图

(a)本文方法;(b)STUNet方法;(c)Seg-Net方法;(d)Res-UNet方法.

Fig 8 Error distribution of sample points of each method

(a) The method described in this article; (b) STUNet method; (c) Seg-Net method; (d) Res-UNet method.

表 3为测试集各方法数值结果对比统计表,由此表可知,因本文方法0误差预测占比最大,故其最终的平均样点误差和平均时间误差最低,分别为0.74像素和2.96 ms,平均时间误差分别较STUNet、Seg-Net和Res-UNet降低了8.6%、34.5%和16.9%. 另外,由于本文方法仅使用经典的U型卷积网络,计算复杂度远低于其余网络方法,仅为2.97 GMac;训练效率最高,总耗时为56.4 min;也拥有更快的网络推理速度,平均推理速度为46.6个/s,在同等硬件条件下效率远高于其余网络方法,更易于在实际工程中进行部署.
表3 各方法数值结果对比

Table 3 Comparison of numerical results for each method

方法 平均样点误差/px 平均时间误差/ms 计算复杂度/GMac 推理时间处理个数/s 训练时长/min
注:px表示像素点(pixel), 粗加表示最优数值.
Res-Unet 0.89 3.56 125.04 14.7 108.2
Seg-Net 1.13 4.52 75.05 20.1 136.6
STUNet 0.81 3.24 24.60 22.9 69.2
Ours 0.74 2.96 2.97 46.6 56.4

3 结论

本文提出了一种基于双通道掩码交互的地震初至拾取方法.通过改变标签制作方式和网络掩码输出模式,显著提升了地震初至拾取的精度.与传统的将地震信号划分为初至前与初至后的单通道掩码方式不同,本文提出了结合带状初至范围掩码和线状优选初至掩码的双通道掩码标签制作方式.实验结果表明,宽带状初至范围掩码提高了网络的初至特征识别能力,并有助于网络的拟合,而线状优选初至掩码使网络能够获得更为可靠的初至信息,从而增强了网络的初至精确拾取能力.本文方法有效地避免了现有方法在网络输出掩码不连续和边界模糊等问题上出现的连续初至错误拾取现象.同时,该方法增强了抗噪性能,大幅提高了零样点误差初至拾取的占比,从而实现了更低的平均初至拾取误差.
此外,本文采用的深度学习网络架构简单高效,相较于现有的STUNet、Seg-Net、Res-UNet等方法,推理效率更高,网络参数量和计算复杂度更小,使其易于部署,具有较高的实际工程应用价值.

感谢审稿专家提出的修改意见和编辑部的大力支持!

Boschetti F , Dentith M D , List R D . A fractal-based algorithm for detecting first arrivals on seismic traces. Geophysics, 1996, 61 (4): 1095- 1102.

DOI

Chen D W , Yang W Y , Wei X J , et al. Automatic picking of seismic first arrivals based on hybrid network U-SegNet. Oil Geophysical Prospecting, 2020, 55 (6): 1188- 1201.

Chen D W , Yang W Y , Wei X J , et al. Research on first-break automatic picking based on an improved U-Net network. Progress in Geophysics, 2021, 36 (4): 1493- 1503.

DOI

Coppens F . First arrival picking on common-offset trace collections for automatic estimation of static corrections. Geophysical Prospecting, 1985, 33 (8): 1212- 1231.

DOI

Deng F , Jiang P F , Jiang X Y , et al. Microseismic event recognition and first break picking method based on image semantic segmentation network. Oil Geophysical Prospecting, 2022, 57 (5): 1011- 1019.

Gelchinsky B , Shtivelman V . Automatic picking of first arrivals and parameterization of traveltime curves. Geophysical Prospecting, 1983, 31 (6): 915- 928.

DOI

Hu L L , Zheng X D , Duan Y T , et al. First-arrival picking with a U-Net convolutional network. Geophysics, 2019, 84 (6): U45- U57.

DOI

Jiang P F , Deng F , Wang X B , et al. Seismic first break picking through Swin transformer feature extraction. IEEE Geoscience and Remote Sensing Letters, 2023, 20: 7501505

DOI

Jiang P F , Deng F , Yan X . Microseismic first break picking based on Swin Transformer feature extraction. Progress in Geophysics, 2023, 38 (3): 1132- 1142.

DOI

Jiao L X , Moon W M . Detection of seismic refraction signals using a variance fractal dimension technique. Geophysics, 2000, 65 (1): 286- 292.

DOI

Li H F , Zou Q , Jin W Y . Method of automatic first breaks pick-up based on edge detection. Oil Geophysical Prospecting, 2006, 41 (2): 150- 155. 150-155, 159

DOI

Li J P , Zhang S W , Ding R W , et al. Research on depth residual method of super-resolution for intelligent seismic wave first arrival pickup. Oil Geophysical Prospecting, 2023, 58 (2): 251- 262.

Li W W , Gong R B , Zhou X G , et al. UNet++: a deep-neural-network-based seismic arrival time picking method. Progress in Geophysics, 2021, 36 (1): 187- 194.

DOI

Liu Z G , Liu X F . TSP application and development in tunnel lead forecast. Chinese Journal of Rock Mechanics and Engineering, 2003, 22 (8): 1399- 1402.

DOI

Loginov G N , Duchkov A A , Litvichenko D A , et al. Convolution neural network application for first-break picking for land seismic data. Geophysical Prospecting, 2022, 70 (7): 1093- 1115.

DOI

Malehmir A , Durrheim R , Bellefleur G , et al. Seismic methods in mineral exploration and mine planning: a general overview of past and present case histories and a look into the future. Geophysics, 2012, 77 (5): WC173- WC190.

DOI

Pan S L , Gao L , Zou Q , et al. An automatic method to pick up the first break time. Geophysical Prospecting for Petroleum, 2005, 44 (2): 163- 166.

DOI

Pan Y J , Xu Y P , Ni Y D , et al. First break picking method based on deep learning semantic segmentation of seismic image. Progress in Geophysics, 2022, 37 (3): 1122- 1131.

DOI

Peraldi R , Clement A . Digital processing of refraction data study of first arrivals. Geophysical Prospecting, 1972, 20 (3): 529- 548.

DOI

Ruby U , Yendapalli V . Binary cross entropy with deep learning technique for image classification. Int. J. Adv. Trends Comput. Sci. Eng., 2020, 9 (4): 5393- 5397.

DOI

Wu H , Zhang B , Li F Y , et al. Semiautomatic first-arrival picking of microseismic events by using the pixel-wise convolutional image segmentation method. Geophysics, 2019, 84 (3): V143- V155.

DOI

Xu Y P , Yin C , Pan Y J , et al. First-break automatic picking technology based on semantic segmentation. Geophysical Prospecting, 2021, 69 (6): 1181- 1207.

DOI

Yilmaz Ö . Seismic Data Analysis: Processing, Inversion, and Interpretation of Seismic Data. Tulsa: Society of Exploration Geophysicists, 2001

Yuan L S . Research on seismic first break picking under complex geological conditions based on depth learning. Progress in Geophysics, 2022, 37 (4): 1657- 1668.

DOI

Yuan S Y , Zhao Y , Xie T , et al. SegNet-based first-break picking via seismic waveform classification directly from shot gathers with sparsely distributed traces. Petroleum Science, 2022, 19 (1): 162- 179.

DOI

Zhu L G, Kang H, Lv M Z, et al. 2022. Lyken17/pytorch-OpCounter. https://github.com/Lyken17/pytorch-OpCounter.

Zhu W , Beroza G C . PhaseNet: a deep-neural-network-based seismic arrival-time picking method. Geophysical Journal International, 2019, 216 (1): 261- 273.

Zwartjes P , Yoo J . First break picking with deep learning-evaluation of network architectures. Geophysical Prospecting, 2022, 70 (2): 318- 342.

DOI

德武 , 午阳 , 新建 , 等. 基于混合网络U-SegNet的地震初至自动拾取. 石油地球物理勘探, 2020, 55 (6): 1188- 1201.

德武 , 午阳 , 新建 , 等. 一种基于改进的U-Net网络的初至自动拾取研究. 地球物理学进展, 2021, 36 (4): 1493- 1503.

DOI

, 沛凡 , 先艺 , 等. 应用图像语义分割网络的微地震事件识别和初至拾取方法. 石油地球物理勘探, 2022, 57 (5): 1011- 1019.

沛凡 , , . 基于Swin Transformer特征提取的微地震初至拾取方法. 地球物理学进展, 2023, 38 (3): 1132- 1142.

DOI

辉峰 , , 文昱 . 基于边缘检测的初至波自动拾取方法. 石油地球物理勘探, 2006, 41 (2): 150- 155. 150-155, 159

DOI

建平 , 硕伟 , 仁伟 , 等. 面向地震波初至智能拾取的超分辨率深度残差方法研究. 石油地球物理勘探, 2023, 58 (2): 251- 262.

薇薇 , 仁彬 , 相广 , 等. 基于深度学习UNet++网络的初至波拾取方法. 地球物理学进展, 2021, 36 (1): 187- 194.

DOI

志刚 , 秀峰 . TSP(隧道地震勘探)在隧道隧洞超前预报中的应用与发展. 岩石力学与工程学报, 2003, 22 (8): 1399- 1402.

DOI

树林 , , , 等. 一种实现初至波自动拾取的方法. 石油物探, 2005, 44 (2): 163- 166.

DOI

英杰 , 银坡 , 宇东 , 等. 一种基于地震图像深度语义分割的初至拾取方法. 地球物理学进展, 2022, 37 (3): 1122- 1131.

DOI

联生 . 基于深度学习的复杂地质条件下地震波初至拾取研究. 地球物理学进展, 2022, 37 (4): 1657- 1668.

DOI

Outlines

/