Home Journals Progress in Geophysics
Progress in Geophysics

Abbreviation (ISO4): Prog Geophy      Editor in chief:

About  /  Aim & scope  /  Editorial board  /  Indexed  /  Contact  / 

Numerical simulation investigation and geological guided inversion method research of electromagnetic wave resistivity instruments for LWD in anisotropic formations

  • XiaoLei CHEN , 1 ,
  • BaoYin LIU 2 ,
  • Jun ZHOU , 1, * ,
  • ZhongQing ZHANG 2 ,
  • ZhengZhi ZHOU 1 ,
  • BaoHua MAO 2 ,
  • Juan ZHANG 1 ,
  • Yue WU 1
Expand
  • 1 CNLC Logging Technology Research Institute, Xi'an 710077, China
  • 2 Hangzhou Xunmei Technology Co., Ltd., Hangzhou 310012, China

Received date: 2024-04-23

  Online published: 2025-03-13

Copyright

Copyright ©2025 Progress in Geophysics. All rights reserved.

Abstract

The electromagnetic wave resistivity logging tool for Logging While Drilling(LWD) is one of the most widely used logging tools in horizontal well development. However, the anisotropy of the formation and the distance between the surrounding rock and the boundary in the horizontal well environment can cause distortion in the electromagnetic wave resistivity measurement values, leading to the common problem of low drilling rate in the development of thin reservoirs. In this paper, taking the electromagnetic wave LWD resistivity tool of CNLC as an example, the numerical simulation method is used to investigate the instrument response law in the horizontal well formation, and the characteristic signals indicating the boundary distance and anisotropy of the formation are defined and quantified, and the combination of characteristic signals and classification inversion is used to realize the quantitative calculation of the anisotropy and multiple boundary distances of the conventional electromagnetic wave LWD resistivity tool in complex formations. The boundary distance, horizontal resistivity and vertical resistivity calculated by inversion are consistent with the changes in borehole trajectory, the response characteristics of logging curves and the formation occurrence information displayed by borehole imaging, which verifies the rationality of the method. This method is suitable for obtaining boundary distance, anisotropy and formation resistivity parameters from conventional LWD instruments, quantifies the boundary detection ability of conventional electromagnetic wave resistivity instruments, provides a new idea for precise geological guidance of thin-bedded and complex oil and gas reservoirs, and provides a technical method for the fine evaluation of post-drilling formations, and has great potential application value.

Cite this article

XiaoLei CHEN , BaoYin LIU , Jun ZHOU , ZhongQing ZHANG , ZhengZhi ZHOU , BaoHua MAO , Juan ZHANG , Yue WU . Numerical simulation investigation and geological guided inversion method research of electromagnetic wave resistivity instruments for LWD in anisotropic formations[J]. Progress in Geophysics, 2025 , 40(1) : 188 -198 . DOI: 10.6038/pg2025II0063

0 引言

随着油田开发的深入,整装油气藏、巨厚油气藏越来越少,薄层、断块、褶皱等复杂的油气藏被重视起来,对该类油气藏的高效开发成为油田增产增效的主要技术目标之一(马明学等,2018李浩等,2021张文艺等,2024).随钻电磁波电阻率探测范围大,有相位差、幅度比两类信号刻度的多种探测深度电阻率曲线输出,尤其是在水平井环境中,相位差电阻率与幅度比电阻率对各向异性地层中的水平电阻率和垂直电阻率具有不同的灵敏性(高伟等,2005肖东等,2016裴仰文等,2022),可以通过两类曲线差异反映地层的电阻率各向异性.然而在薄层、薄互层、褶皱地层、轨迹靠近边界等复杂环境中,不同探测深度电阻率曲线间差异与边界距离、围岩电阻率、各向异性等相关(林发武等,2021),无法通过测井曲线直接获得地层真实电性参数和产状信息.借助电阻率反演方法可以进行有效的地层真电阻率计算,比如针对旋转对称地层的反演方法(Thiel et al., 2017乐友喜等,2022)、结合其他测井资料的联合反演方法(徐凯军等,2021),针对斜井、水平井的三维反演方法(吴意明等,2016Clegg et al., 2019Bittar et al., 2020),由于各向异性地层的水平井模型不同与旋转对称地层,二维反演并不适用大斜度井和水平井环境,现有基于全参数的三维反演方法或者人工智能相结合储层表征方法是基于钻后丰富内存数据设计的(吴意明等,2016张国印等,2024),井筒实时上传数据量无法满足三维反演需要,三维反演的计算效率也无法满足导向实时性需要;国外针对地质导向应用的边界距离的快速反演(Bittar et al., 2007Clegg et al., 2019)或者忽略界面影响的宏观水平电阻率与垂直电阻率反演(Loke and Barker, 1996Bittar et al., 2020)是基于方位测量工具数据实现的,国内市场应用最广泛的常规随钻电磁波电阻率工具因不具备方位识别能力,缺乏相关的研究.常规随钻电磁波电阻率工具在砂泥岩地层中探测深度在1.5~2.5 m区间(Lofts et al., 2005),在3~5 m厚度的薄层中会同时受到上下两个界面的影响,以该类仪器测井数据为基础开展薄层各向异性和边界距离综合反演方法研究,确定各向异性地层水平电阻率、垂直电阻率以及测量位置距边界的距离,并进行地质导向应用具有重要的意义.
本文以CNLC公司常规随钻电磁波电阻率仪器WPR为例,建立厚度不超过5 m薄层水平井地层模型,并对仪器响应进行了正演仿真(张中庆等,2011张国华等,2017).对比各向同性、围岩对比度、井斜以及层厚等不同条件下曲线响应特征,优选模型参数灵敏度高的电阻率曲线,合成具备指示地层边界距离、各向异性的特征值,根据特征值随模型参数变化的规律,设计边界距、各向异性解释图版,并建立多参数迭代反演方法.通过反演获得的地层水平电阻率、垂直电阻率可用于导向过程层位识别,反演获得的边界距离信息可以进行井眼轨迹精细控制,助力复杂地层中精准导向实现.最后,本文针对某油田水平井进行反演和导向应用,通过实测井响应规律与反演得到的边界距离、电阻率参数对比分析,二者一致性好,结果可靠.

1 随钻电磁波测井仿真方法及地层建模

以CNLC公司常规随钻电磁波电阻率仪器WPR为例,该仪器采用四发双收的天线布局,如图 1所示,其中R1、R2为接收天线,间距184.15 mm,对称分布在仪器中心的两侧;T1、T2为短源距测量发射天线对,天线对称分布仪器中心点两侧,距中心点距离463.55 mm;T3、T4为长源距测量发射天线对,天线对称分布仪器中心点两侧,距中心点距离806.45 mm.仪器有2 MHz和400 KHz两种工作频率,工作时发射天线轮流依次发射电磁波信号,接收天线对R1、R2采集并记录每个发射天线发射电磁波传播至接收天线位置时信号的相位和幅度,以两接收线圈的中点定义为测量点.通过两接收天线采集的相位做差获得相位差,两接收天线采集信号幅度比值获得幅度比,测量点两侧等源距发射天线获得的相位差、幅度比平均获得补偿后相位差、幅度比,利用电阻率转换链表将补偿后的信号转换成为对应的电阻率值.输出的电阻率曲线包括两种频率、两种源距下的相位差电阻率和幅度比电阻率,共8条电阻率曲线.
图1 随钻电磁波电阻率仪器WPR收发天线排布

Fig 1 Antenna layout of electromagnetic wave resistivity instrument WPR for LWD

随钻电磁波电阻率测井中的电磁场传播满足以下的Maxwell方程(张中庆等,2011):
$\nabla \times \boldsymbol{E}=-\mathrm{i} \omega \mu \boldsymbol{H}, $
$\nabla \times \boldsymbol{H}=\sigma \boldsymbol{E}+J, $
其中,E表示电场的强度,J为激励源电流密度,H表示感应磁场强度,ω为激励源电流角频率,σ为介质电导率,μ为介质磁导率.随钻电磁波电阻率仿真通过求解上述方程模拟测井过程,发射天线施加单位电复压作为激励源,通过有限元方法计算获得接收天线对感应电压后,计算接收线圈相位、幅度:
$\operatorname{RPS}_i=\arctan \frac{\operatorname{Im}\left(V_{R_1}^{T_i}\right)}{\operatorname{Re}\left(V_{\text{R}_1}^{T_i}\right)}-\arctan \frac{\operatorname{Im}\left(V_{R_2}^{T_i}\right)}{\operatorname{Re}\left(V_{R_2}^{T_i}\right)}, $
$\operatorname{RAD}_i=10 \lg \frac{\left(\operatorname{Im}\left(V_{R_1}^{T_i}\right)\right)^2+\left(\operatorname{Re}\left(V_{\text{R}_1}^{T_i}\right)\right)^2}{\left(\operatorname{Im}\left(V_{R_2}^{T_i}\right)\right)^2+\left(\operatorname{Re}\left(V_{R_2}^{T_i}\right)\right)^2}, $
式中Ti为第i发射天线,i=1, 2, 3, 4;R1R2为接收天线,VR1Ti表示Ti发射时R1接收的复电压信号;VR2Ti表示Ti发射时R2接收的复电压信号;Im表示取复数的虚部值,Re表示取复数的实部值;RPSi表示Ti发射时两接收线圈相位差,RADi表示Ti发射时两接收线圈幅度比.图 2为WPR仪器相位差-电阻率转换链表和幅度比-电阻率转换链表,根据相位差、幅度比和电阻率的对应关系,可以将测量的相位差、幅度比转换成对应的相位差电阻率、幅度比电阻率.
图2 随钻电磁波电阻率工具WPR相位差(a)、幅度比(b)随电阻率变化关系

Fig 2 Phase difference (a) and resistivity relationship of electromagnetic wave resistivity tool WPR, as well as amplitude ratio (b) and resistivity relationship

2 水平井各向异性地层随钻电磁波测井响应

为了考察仪器在水平井各向异性地层中响应,并对比界面、各向异性对测井曲线响应值的影响,设置各向同性模型(图 3a)、各向异性模型(图 3b)、薄层边界影响模型(图 3c)、薄层中各向异性模型(图 3d),其中薄层层厚3 m为例,井眼轨迹以接近水平的角度在地层中靠近上边界穿行,模拟仪器测井响应,结果如图 3,图中每个子图自上向下第一道为2 MHz、400 KHz不同频率长源距相位差电阻率对比道;第二道为2 MHz长源距条件下相位差电阻率与幅度比电阻率对比道;第三道为400 KHz电阻率道,RACL为长源距幅度比电阻率,RACSL为短源距幅度比电阻率,RPCL为长源距相位差电阻率,RPCSL为短源距相位差电阻率;第四道为2 MHz电阻率道,RACH为长源距幅度比电阻率,RACSH为短源距幅度比电阻率,RPCH为长源距相位差电阻率,RPCSH为短源距相位差电阻率;第五道为深度索引道;第六道地模型层二维剖面道.
图3 不同环境条件下随钻电磁波电阻率测井响应对比

(a)Rh=10 Ω · m, Rv=10 Ω · m;(b)Rh=10 Ω · m, Rv=50 Ω · m;(c)Rs=2 Ω · m, Middle layer Rh=Rv=10 Ω · m;(d)Rs=2 Ω · m, Middle layer Rh=10 Ω · m, Rv=50 Ω · m.

Fig 3 Comparison of electromagnetic wave resistivity response of LWD under different environmental conditions

图 3模拟结果可见,(a)均质各向同性模型:视电阻率曲线重合,等于地层真电阻率;(b)均匀各向异性模型:视电阻率曲线不重合,表现为RPCH>RACH,RPCH>RPCSH,RPCH>RPCL,视电阻率RA>模型水平电阻率RH;(c)薄层各向同性地层:电阻率不重合,表现为RPCH>RACH,RPCH < RPCSH,RPCH>RPCL,视电阻率RA < 模型水平电阻率RH;(d)薄层各向异性地层:电阻率不重合,表现为RPCH>RACH,RPCH < RPCSH,RPCH>RPCL,视电阻率RA>模型水平电阻率RH.从四类模型的模拟结果可见,相同井眼轨迹所处环境条件不同测井曲线各有区别,具体表现为均匀各向同性地层不同探测模式曲线重合,单独各向异性无限厚地层相位差电阻率大于幅度比电阻率,低阻围岩影响相位差电阻率小于幅度比电阻率,各向异性-低阻围岩综合影响长短源距曲线分离更明显.由此可根据电磁波电阻率工具在不同地层参数模型下的影响规律,通过优选边界距离、各向异性等影响灵敏性高的曲线,计算地层参数特征曲线,指示地层各向异性、边界距离变化.

3 地层指示特征信号定量计算

以CNLC公司WPR随钻电磁波电阻率仪器为例,从上文模拟结果可见,可以利用相位差电阻率与幅度比电阻率、长短源距电阻率、高低频电阻率的大小关系组合定性判断水平井环境中测井曲线差异的主要原因,继而可对关键影响因素进行分类反演和逐级反演,以获取原状地层真实电阻率、边界距离参数,用于地质导向钻井指导和后期测井解释评价.
随钻电磁波电阻率仪器WPR共有8条电阻率曲线输出,包括:工作频率2 MHz时长源距相位差电阻率RPCH、长源距幅度比电阻率RACH、短源距相位差电阻率RPCSH、短源距幅度比电阻率RACSH;工作频率400 KHz时长源距相位差电阻率RPCL、长源距幅度比电阻率RACL、短源距相位差电阻率RPCSL、短源距幅度比电阻率RACSL.针对各向异性地层水平井测井响应,定义电阻率各向异性特征信号:
$S_{\mathrm{AP}}=\frac{\mathrm{RPCH}-\mathrm{RACH}}{\mathrm{RPCH}}, $
$S_{\mathrm{HL}}=\frac{\mathrm{RPCH}-\mathrm{RPCL}}{\mathrm{RPCH}}, $
$S_{\mathrm{LS}}=\frac{\mathrm{RPCH}-\mathrm{RPCSH}}{\mathrm{RPCH}} .$
设置模型:无限厚各向异性地层,不考井眼和泥浆影响,水平电阻率Rh=2 Ω · m、5 Ω · m、10 Ω · m、20 Ω · m、50 Ω · m、100 Ω · m,模型如图 4a所示,变化Rv/Rh比值根据公式(5a)—(5c)定义计算各向异性特征信号、、如图 4bd.从各向异性特征信号模拟结果可以看到,水平电阻率Rh小于50 Ω · m时,信号SAPSHLSLS均随各向异性增加而增大,相同各向异性系数情况下水平电阻率值越大各向异性特征信号值越小;水平电阻率Rh等于100 Ω · m,SAP随地层各向异性增加特征信号先增大后减小,SHLSLS依然符合各向异性增加信号值增大的规律,且随各向异性增加而增大更接近线性递增,信号SAPSHLSLS与地层各向异性变化具有很好相关性,在各向异性为主要影响因素的环境中,可以利用信号SHLSLS值的大小识别各向异性地层和预估地层各向异性大小.
图4 各向异性指示信号随各向异性系数-电阻率变化

(a)水平井地层模型示意图(各向异性Rv>Rh);(b)特征信号SAP随地层各向异性变化;(c) 特征信号SHL随地层各向异性变化;(d)特征信号SLS随地层各向异性变化.

Fig 4 Anisotropy indicator signal changes with anisotropy coefficient resistivity

(a)Horizontal well formation model (anisotropy Rv>Rh); (b)Feature signals SAP vary with layer anisotropy; (c)Feature signals SHL vary with layer anisotropy; (d)Feature signals SLS vary with layer anisotropy.

利用不同频率的相位差电阻率、幅度比电阻率探测范围不同,受边界影响程度不同,采用频率、源距组合方式定义边界距离指示特征信号:
$G_{\mathrm{HL}}=\frac{\mathrm{RPCH}-\mathrm{RACSL}+\mathrm{RACL}}{\mathrm{RACL}}, $
$G_{\mathrm{AP}}=\frac{\mathrm{RPCH}-\mathrm{RACH}+\mathrm{RACL}}{\mathrm{RACL}}, $
$G_{\mathrm{LS}}=\frac{\mathrm{RPCH}-\mathrm{RPCSH}+\mathrm{RACL}}{\mathrm{RACL}} .$
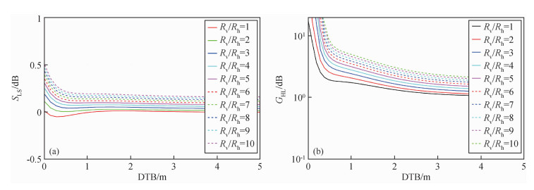
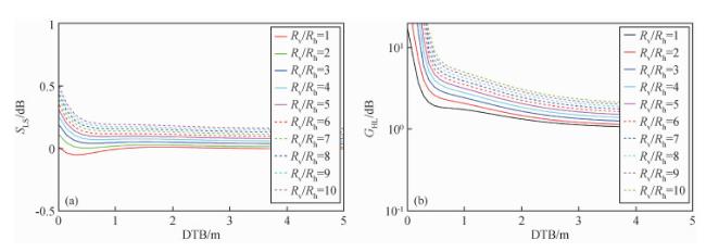
设置两层水平井模型,围岩电阻率Rs=2 Ω · m,目的层电阻率Rs=2 Ω · m、5 Ω · m、10 Ω · m、20 Ω · m、50 Ω · m、100 Ω · m,模型如图 5a所示,变化仪器距离边界的距离,计算边界距离特征信号GHLGAPGLS、如图 5bd,围岩电阻率与目的层电阻率相同时,等价于无限厚情况,此时边界距离特征信号GHLGAPGLS不随边界距离变化而变化;围岩与目的层电阻率不同时,随着测量点到边界距离增加,特征信号逐渐减小,其中GHLGAP中远距离单调性好,GLS近边界距离单调性比较好;相同边界离,围岩与目的层电阻率对比度越大,指示边界距离的特征信号值越大;边界距离特征信号很好的指示边界距离的变化,多边界情况可利用特征信号GLS计算近边界的距离,利用特征信号GHLGAP计算远边界的距离,实现多边界探测.
图5 边界距离特征信号随边界距离变化

(a)水平井边界距离影响考察模型示意图;(b)特征信号GHL随边界距离变化;(c) 特征信号GAP随边界距离变化;(d)特征信号GLS随边界距离变化.

Fig 5 Boundary distance feature signal variation with boundary distance

(a)Model for the Influence of Horizontal Well Boundary Distance; (b)Feature signals GHL vary with boundary distance; (c)Feature signals GAP vary with boundary distance; (d)Feature signals GLS vary with boundary distance.

为考察各向异性、边界距离对特征信号的综合影响,设置如图 5a两层水平井模型,其中围岩电阻率Rs=2 Ω · m,目的层水平电阻率Rh=20 Ω · m,变化目的层Rv/Rh=1~10,边界距离DTB=0.0~5 m,考察各向异性特征信号和边界距离特征信号变化规律,结果如图 6所示.图 6a为各向异性特征信号SLS响应曲线,当Rv/Rh=1为各向同性地层,各向异性特征信号SLS响应曲线小于0,Rv/Rh大于1为各向异性地层,Rv/Rh比值越大,各向异性特征信号曲线响应值越大;图 6b为边界距离特征信号GHL响应曲线,可以看到不同Rv/Rh比值情况下随DTB增加边界距离指示信号单调递减;综上本文所定义的特征信号在受边界距离、各向异性综合影响条件下,仍然具备各向异性指示功能和边界距离指示能力.
图6 各向异性地层特征信号随边界距离变化

(a)各向异性特征信号SLS响应曲线;(b)边界距离特征信号GHL响应曲线.

Fig 6 Variations of anisotropic stratigraphic characteristic signals with boundary distance

(a)Response curve of anisotropic characteristic signal SLS; (b)Response curve of anisotropic characteristic signal GHL.

4 地层参数快速反演

本文定义的特征信号对地层各向异性、井眼距边界距离有很好的指示作用,因此可以利用特征信号定性判断地层电阻率是否存在各向异性,继而可通过交汇图版方法快速查找实现定量计算地层各向异性系数大小、井眼到边界距离,图版制作流程如图 7所示.
图7 特征信号交汇图版制作流程

Fig 7 Production process of feature signal intersection pattern board

查询图版时先通过邻井获取围岩电阻率,利用围岩Rs和测量电阻率定位要查找的交汇图版,由水平井测井视电阻率计算特征信号,通过查找图版可确定地层各向异性和测量点到层边界距离. 以图 8为例,假设已知围岩电阻率为5 Ω · m,RACL=30 Ω · m,SLS=0.1,GHL=5.3,则在图 8中从横轴等0.1作一条平行纵轴直线,与从纵轴等5.3做出的平行横轴直线相交,交点处各向异性系数2.65,边界距1.0 m即为查找结果.
图8 各向异性-边界距特征信号交汇图版

Fig 8 Anisotropy boundary distance characteristic signal intersection chart

针对实际中地层电阻率、围岩电阻率、边界距离和各向异性变化的丰富性,可借助计算机工具,通过建立丰富的各向异性-边界距交汇图版形成数据库,通过计算机自动查询快速获得地层各向异性和边界距信息,利用测量视电阻率通过特征信号图版预估各向异性系数、边界距离,建立初始地层模型和设定模型参数变化约束范围,构造最小二乘目标函数进行迭代反演,在约束范围内对初始模型参数进行修正,获得地层真实参数.最小二乘目标函数可以定义为:
$E(\boldsymbol{x})=\sum\nolimits_{k=1}^n\left(y_k-f_k(\boldsymbol{x})\right)^2, $
其中,n为根据测井曲线对比建立反演线性方程个数;x是待反演模型参数未知量,包括目的层水平电阻率Rh、目的层垂直电阻率Rv、井眼到地层边界的距离DTB、围岩电阻率Rsf是关于模型参数x到仪器测井响应间的非线性映射关系,分类反演流程如图 9所示.
图9 地层参数快速反演流程图

Fig 9 Flow chart of rapid inversion of geological parameters

图 10为实测井数据,自下向上第一道为反演结果绘制井眼轨迹-地层位置关系图;第二道为岩性道,包含平均自然GR曲线、反演得到边界距曲线;第三道为反演得到的水平电阻率、垂直电阻率曲线道;第四道为仪器测量视电阻率曲线道;第五道为电阻率曲线合成的边界距离特征信号道;第六道为电阻率曲线合成地层各向异性特性信号道;第七道为中子密度、空隙度曲线道;第八道为密度成像道,包含上下方位密度曲线.该井目的层为沉积岩,从邻井测井电阻率曲线可知道,地层层序不确定性较高,地层发育横向连续性一般,中间存在泥岩夹层、电阻率对比度低纹层.水平井测井曲线特征表现为相位差电阻率大于幅度比电阻率、长源距大于短源距,高频大于低频,具备各向异性、低阻围岩应用特征;合成的各向异性特征信号和边界距离特征信号均远大于1,显示测井曲线受地层各向异性和边界距离双重影响.从反演结果1730~1900 m井段下边界距离逐渐减小,上边界距离逐增大,垂直电阻率Rv大于水平电阻率Rh,与井眼轨迹大角度向下穿行而远离上界面靠近下界面,视电阻率显示相位差电阻率与幅度比电阻率分离的各向异性特征,从密度成像道可见该井段地层均质性差,更易产生各向异性;1900~2200 m后半部分井段电阻率变化平缓,井眼轨迹接近水平穿行,成像道显示井眼未穿越层界面,电阻率曲线显示明显各向异性特征,与合成的特征值信号一致,远、近边界距离特征信号分离指示探测范围内有多个界面,反演结果井眼距上下边界一定距离穿行,垂直电阻率Rv大于水平电阻率Rh有明显各向异性.从反演结果得到地层剖面展示的井眼-地层位置关系、地层电阻率值、井眼-地层相对倾角与方位自然伽马、电阻率测井曲线等响应特征吻合,反演结果符合地质认识,与邻井对比一致,验证反演结果合理.
图10 实测井反演测试结果

Fig 10 Inversion test results of logging data while drilling

5 结论

随钻电磁波传播电阻率工具通常采用多源距发射、多种工作频率组合,测井曲线具有多个探测深度,能够刻画近井眼范围内电性剖面,对地质导向中储层界面识别具有良好的指示作用,在地质导向中取得了广泛应用.本文针对国内应用最广泛的常规随钻电磁波电阻率工具,利用正演仿真模拟存在围岩、边界距离、各向异性等多因素影响下水平井测井响应,分析曲线响应特征并通过电阻率曲线定义并量化了指示地层边界距离和各向异性的特征信号.本文定义的特征信号具有以下性质:
(1) 各向异性特征信号,各向异性系数越大特征信号值越大.
(2) 边界距离特征信号,边界距离越远特征信号值越小,不同曲线合成的边界距离信号探测范围不同,长源距合成信号对远边界灵敏,短源距合成信号对近边界灵敏.
(3) 利用特征值与影响因素之间良好的单调关系,进行地层环境影响因素定性识别和定量计算.
本文利用多条曲线合成特征值,制作各向异性-边界距交汇图版,构建残差最小目标函数进行分类反演,以获得精细化处理地层参数,并通过对实测井资料处理和结果对比分析,验证了本反演方法可行性与合理性.本技术可进一步推广应用在常规随钻测井仪器地质导向中,结合方位成像测井信息识别地层方位和倾角,利用随钻电磁波测井数据获得边界距离、各向异性、地层电阻率参数,能够使常规电磁波电阻率仪器具备边界探测能力,潜在应用价值巨大.

感谢审稿专家提出的修改意见和编辑部的大力支持!

Bittar M, Klein J, Beste R, et al. 2007. A new azimuthal deep-reading resistivity tool for geosteering and advanced formation evaluation. //Proceedings of the SPE Annual Technical Conference and Exhibition. Anaheim: SPE.

Bittar M, Wu H H M, Ma J, et al. 2020. First LWD fully triaxial co-located antenna sensors for real-time anisotropy and dip angle determination, yielding better look-ahead detection. //Proceedings of the SPWLA 61st Annual Logging Symposium. Virtual: SPWLA, 2020.

Clegg N, Parker T, Djefel B, et al. 2019. The final piece of the puzzle: 3-D inversion of ultra-deep azimuthal resistivity LWD data. //Proceedings of the SPWLA 60th Annual Logging Symposium. The Woodlands: SPWLA.

Gao W , Chen K G , Du Q , et al. Influence of the electrically anisotropic formation on resistivity logging. Well Logging Technology, 2005, 29 (6): 502- 504.

Li H , Wang B H , Lu J L , et al. Geological characteristics and exploration prospects of Paleogene continental shale oil accumulation in Dongpu Sag, Bohai Bay Basin. Journal of China University of Petroleum (Edition of Natural Science), 2021, 45 (3): 33- 41.

DOI

Lin F W , Tian C G , Geng X J , et al. Theory of response function and analysis of detecting characteristic of electromagnetic logging while drilling. Journal of China University of Petroleum (Edition of Natural Science), 2021, 45 (1): 60- 68.

DOI

Lofts J, Deady R, Johnston S. 2005. Technical and commercial LWD challenges for service companies in crossing multidisciplinary boundaries. //Proceedings of the SPWLA 46th Annual Logging Symposium. New Orleans: SPWLA.

Loke M H , Barker R D . Practical techniques for 3D resistivity surveys and data inversion. Geophysical Prospecting, 1996, 44 (3): 499- 523.

DOI

Ma M X , Yue X Z , Li G Y . Geosteering and anisotropic resistivity evaluation by using a tilted transmitter-tilted receiver tool structure. Journal of China University of Petroleum (Edition of Natural Science), 2018, 42 (4): 50- 58.

DOI

Pei Y W , Sheng S Z , Miao Z S , et al. Sandbox physical modelling with multiple detachment layers and its implication on structural evolution of East Sichuan Fold Belt. Journal of China University of Petroleum (Edition of Natural Science), 2022, 46 (2): 38- 49.

DOI

Thiel M, Bower M, Omeragic D. 2017. 2D reservoir imaging using deep directional resistivity measurements. //Proceedings of the SPWLA 58th Annual Logging Symposium. Oklahoma City: SPWLA.

Wu Y M , Zhang W , Liu B Y , et al. Inversion of anisotropic resistivity in three-dimensional asymmetric media and its application. Well Logging Technology, 2016, 40 (5): 541- 548.

DOI

Xiao D , Wang X N , Zhang W , et al. Discussion on the differences and reasons between cable tools and drilling tools in mudstone resistivity measurement in the South China Sea region. Journal of Yangtze University (Natural Science Edition), 2016, 13 (20): 36- 39.

DOI

Xu K J , Li M , Ji C H , et al. Data space joint inversion of ground and borehole magnetic data with fuzzy C-means clustering constraints. Journal of China University of Petroleum (Edition of Natural Science), 2021, 45 (3): 55- 64.

DOI

Yue Y X , Chen Y D , Wu J W , et al. Iterative least squares spectrum inversion based on adaptive shaping regularization. Journal of China University of Petroleum (Edition of Natural Science), 2022, 46 (3): 54- 61.

DOI

Zhang G H , Zhang W , Wu Y M , et al. Inversion methods study of azimuthal EM LWD tool and its applications in horizontal well. Progress in Geophysics, 2017, 32 (2): 927- 938.

DOI

Zhang G Y , Lin C Y , Wang Z Z , et al. Hybrid knowledge driven and data driven intelligent reservoir characterization and its research progress. Progress in Geophysics, 2024, 39 (1): 119- 140.

DOI

Zhang W Y , Zhang C , Sun K , et al. Review of research progress on methods to improve the longitudinal resolution of thin reservoir logging curves. Progress in Geophysics, 2024, 39 (1): 291- 304.

DOI

Zhang Z Q , Mu L X , Zhang X , et al. Application of vector finite element method to simulate logging while drilling resistivity tools. Journal of China University of Petroleum (Edition of Natural Science), 2011, 35 (4): 64- 71.

DOI

, 科贵 , , 等. 地层电性各向异性对电阻率测井的影响. 测井技术, 2005, 29 (6): 502- 504.

友喜 , 艺都 , 佳伟 , 等. 自适应整形正则化迭代最小二乘谱反演方法. 中国石油大学学报(自然科学版), 2022, 46 (3): 54- 61.

DOI

, 保华 , 建林 , 等. 东濮凹陷古近系页岩油富集地质条件与勘探前景. 中国石油大学学报(自然科学版), 2021, 45 (3): 33- 41.

DOI

发武 , 超国 , 学杰 , 等. 随钻电磁波测井响应函数理论及探测特性. 中国石油大学学报(自然科学版), 2021, 45 (1): 60- 68.

DOI

明学 , 喜洲 , 国玉 . 基于倾斜发射-倾斜接收仪器结构进行随钻地质导向与地层各向异性评价. 中国石油大学学报(自然科学版), 2018, 42 (4): 50- 58.

DOI

仰文 , 受政 , 正硕 , 等. 多滑脱层构造物理模拟试验及其对川东褶皱带形成演化的指示意义. 中国石油大学学报(自然科学版), 2022, 46 (2): 38- 49.

DOI

意明 , , 保银 , 等. 三维非对称介质电阻率各向异性反演及应用. 测井技术, 2016, 40 (5): 541- 548.

DOI

, 显南 , , 等. 中国南海地区电缆工具与随钻工具在泥岩电阻率测量中的差异现象及原因探讨. 长江大学学报(自科版), 2016, 13 (20): 36- 39.

DOI

凯军 , , 春晖 , 等. 基于模糊C均值聚类约束的井-地磁法联合数据空间反演. 中国石油大学学报(自然科学版), 2021, 45 (3): 55- 64.

DOI

国华 , , 意明 , 等. 随钻方位电磁波测井反演方法研究及水平在水平井中的应用. 地球物理学进展, 2017, 32 (2): 927- 938.

DOI

国印 , 承焰 , 志章 , 等. 知识与数据融合驱动的油气藏智能表征及研究进展. 地球物理学进展, 2024, 39 (1): 119- 140.

DOI

文艺 , , , 等. 提高薄储层测井曲线纵向分辨率方法研究进展综述. 地球物理学进展, 2024, 39 (1): 291- 304.

DOI

中庆 , 林雪 , , 等. 矢量有限元素法在随钻电阻率测井模拟中的应用. 中国石油大学学报(自然科学版), 2011, 35 (4): 64- 71.

DOI

Outlines

/