Home Journals Progress in Geophysics
Progress in Geophysics

Abbreviation (ISO4): Prog Geophy      Editor in chief:

About  /  Aim & scope  /  Editorial board  /  Indexed  /  Contact  / 

Pre-stack seismic inversion method for physical properties of complex tight sandstone reservoirs based on the rock physics model

  • Bing ZHANG ,
  • HongGang MI , * ,
  • HongXing LIU ,
  • Wei XU ,
  • Hao SHI ,
  • JunChao GUO
Expand
  • China United Coalbed Methane Co., Ltd., Beijing 100016, China

Received date: 2024-03-19

  Online published: 2025-03-13

Copyright

Copyright ©2025 Progress in Geophysics. All rights reserved.

Abstract

The seismic inversion method based on rock physics constraints aims to deal with the challenge of accurately predicting physical properties of complex tight sandstone reservoirs, which often exhibit strong ambiguity. This ambiguity makes it difficult to characterize the reservoir and accurately select high-quality ones. By employing theoretical rock physics modeling and a Bayesian probability inversion framework, along with pre-stack seismic data and well logging data, a method is proposed to predict the physical properties of complex tight sandstone reservoirs through seismic analysis. This approach allows for a detailed characterization of these reservoirs and provides technical support for exploring such complex formations. Because complex tight sandstone reservoirs typically have low porosity, low permeability, and intricate pore structures, assuming a uniform pore structure makes traditional rock physics modeling and reservoir parameter seismic inversion methods inadequate. Hence, this paper derives seismic reflection coefficient equations for complex tight sandstone reservoirs, considering parameters like porosity, water saturation, and pore aspect ratio. Using these equations, a Bayesian pre-stack seismic inversion method is developed, which directly estimates the physical parameters and pore geometry of complex tight sandstone reservoirs using Bayesian linear theory. Results indicate that this method not only provides more accurate predictions of rock physics parameters but also yields physical property estimates that align better with actual wellbore measurements. This demonstrates the method's effectiveness and precision in predicting physical properties of complex tight sandstone reservoirs using seismic data.

Cite this article

Bing ZHANG , HongGang MI , HongXing LIU , Wei XU , Hao SHI , JunChao GUO . Pre-stack seismic inversion method for physical properties of complex tight sandstone reservoirs based on the rock physics model[J]. Progress in Geophysics, 2025 , 40(1) : 220 -229 . DOI: 10.6038/pg2025HH0583

0 引言

复杂致密砂岩储层是未来油气增储上产的关键领域之一,其分布广泛、规模巨大,但其地震勘探面临着极大的挑战(戴金星等,2012赵军龙等,2017; 贾爱林等,2022).由于致密储层岩石结构复杂、孔隙度小、渗透率低等特点,传统地震勘探技术往往难以准确识别和描述其储层属性(刘振峰,2014朱海燕等,2023).因此,如何有效开发和利用致密砂岩储层成为油气勘探和开发领域的重要议题.但是由于现有的地震勘探技术,难以有效实现致密砂岩储层的地震预测,预测结果往往存在多解性,导致致密砂岩的地震描述与刻画无法满足勘探需求.因此,如何充分利用叠前地震数据,实现对复杂致密砂岩储层的精准勘探和储层表征成为当前地球物理领域亟待攻克的科学工程难题.
在地震反演中,通常通过构建波动方程或速度模型等物理模型来描述地下介质的性质.然后,通过与观测数据进行比较,来调整模型参数以获得最佳拟合.由于观测数据存在噪声,并且建立的模型本身可能不够完美,因此存在大量的不确定因素,导致反演存在不适定性(Bosch et al., 2010Yin and Zhang, 2014Luo et al., 2020).岩石物理模型作为地震反演的关键环节,建立了储层物性特性和弹性参数之间的定量关系(Berryman,1980Dvorkin et al., 2014Dias et al., 2021),可以用来计算岩石的弹性模量,为储层参数的地震反演奠定岩石物理理论基础(Mavko et al., 2001;刘致水等,2022潘新朋等,2024).基于岩石物理模型的地震反演方法作为储层预测的重要手段,能够直接将地震反射数据转换为岩石物理参数,例如孔隙度、含水饱和度和矿物含量(Bosch et al., 2007潘新朋等,2018李坤等,2020Grana,2020).岩石物理驱动的地震反演问题可以使用确定性或概率算法来解决.概率方法以贝叶斯理论为代表的反演方法是最为常见的选择(Nawaz and Curtis, 2019Azevedo et al., 2021Lin et al., 2022),其核心假设要求估计的参数遵循高斯分布和线性正演模型.贝叶斯方法能够通过将先验信息与观测数据结合起来,以概率的形式表达参数的不确定性,并提供关于参数估计的后验分布(Pan and Zhang, 2019Wang et al., 2022赵容容等,2022).贝叶斯反演也可以扩展到非高斯反演情况,例如高斯混合物(Grana et al., 2017Nawaz et al., 2020)或偏高斯分布(Rimstad and Omre, 2014).对于非线性可以采用正向模型,例如基于截断泰勒级数的局部近似来获得线性化模型(Grana,2016).如果线性化不准确,则全局优化(Sen and Stoffa, 2013)或随机抽样(Brooks et al., 2011)通常能够用估计后验分布的方式实现参数的预测.由于叠前地震本身的不适定性以及致密储层地震勘探的复杂性,确定性反演方法无法有效评估储层物性反演结果的不确定性(潘新朋等,2024).因此,基于岩石物理约束的概率化反演方法是解决复杂致密储层地震描述的必要选择.
基于地震岩石物理反演方法主要分为两种,一种是间接的反演方法,即首先通过地震数据反演得到弹性参数,再利用岩石物理关系,实现物性参数的转换(Mukerji et al., 2001Li et al., 2020).在这种方法中,由于反演的两个步骤都存在不确定性,容易产生累积误差,导致反演结果多解性强等问题.另一种方法是基于地震岩石物理模型的地震反演方法,有效结合了岩石物理学和地震反演理论,可以实现岩石物理参数从地震数据中直接获取(张佳佳等,2020).例如,Lang和Grana(2018)基于Nur的临界孔隙率模型和Gassmann方程,通过Gray方程推导了物性参数直接表征的反射系数方程,并通过叠前地震数据实现了岩石物理参数的地震直接预测.Liu等(2018)推导出由孔隙率、含水饱和度和矿物质含量表征的反射系数公式,并提出地震-岩石物理联合反演方法.李坤等(2020)基于岩石物理理论模型,通过泰勒展开,推导了岩石物理参数直接表征的反射系数方程,基于MCMC概率算法实现了碎屑岩储层参数的直接地震预测.地震岩石物理直接反演方法在理论上避免了间接地震反演导致的累计误差,通常在实际应用中会取得更好的反演效果,反演精度能够得到有效的提升(Grana et al., 2022).因此,基于岩石物理约束的储层物性参数地震预测方法是解决致密砂岩储层表征的重要途径.
目前,许多可用的地震岩石物理反演算法在文献中更多的侧重于实现对岩石物理参数的体积分数的预测,例如矿物体积、孔隙体积和流体体积等.然而,孔隙几何形状对岩石的弹性性质有显著影响作用,特别是对于具有复杂孔隙结构的储层,如复杂致密砂岩储层(刘振峰,2014何伟等,2017).因此,在储层地震反演中考虑孔隙几何参数的影响,例如孔长宽比,可能会有效提升和改善复杂致密砂岩储层地震表征的精度.Zhao等(2013)提出一种纵横比为未知参数的方法控制孔隙空间的空间变异性.Teillet等(2021)提出地震岩石物理反演方法估算地震阻抗的孔隙类型.Guo等(2022)提出了一个基于蒙特卡洛的地震岩石物理反演方法,结合了Zoeppritz方程和Xu-White模型实现孔隙率、含水饱和度和孔长宽比的估算.Li等(2022)提出了一种实现包括刚性孔隙体积比的岩石物理AVO反演方法,实现了孔隙空间的地震预测.这些工作证明,在反演中考虑孔隙几何形状可以提高孔隙空间定量预测的精度.
综上所述,对于复杂致密油气储层物性参数叠前地震预测,仍存在以下两点问题: (1)复杂致密砂岩的岩石物理模型较为复杂,参数之间具有非线性特征,导致基于岩石物理约束的叠前地震物性参数计算效率低,线性反演算法不适用;(2)由测井数据建立的线性统计岩石物理模型具有特殊性,需要针对特定的探区开展应用,受制于测井数据的质量,应用较为局限.因此,针对以上问题,本文以致密砂岩储层为例,开展复杂致密储层的地震岩石物理建模,并解析物性参数和弹性参数的关系;其次利用宏观岩石模量近似表征的复杂致密砂岩储层物性参数,推导了PP波反射系数方程,并分析了孔隙度、含水饱和度及孔隙纵横比对AVO反射特征的贡献度,研究了其在复杂致密砂岩储层物性参数直接预测方面的可行性;最后,以贝叶斯理论框架,构建了岩石物理的约束的物性参数叠前地震反演方法.将该方法应用于鄂尔多斯盆地的某致密砂岩工区,依赖于岩石物理的约束,使得该方法更加具有合理性,取得了较好的反演的结果,验证了该方法的有效性.

1 复杂致密砂岩储层地震岩石物理建模及反射系数推导

1.1 复杂致密砂岩储层地震岩石物理建模及解析

针对致密砂岩储层的复杂矿物、孔隙结构和流体特征三个方面开展岩石理论和岩石物理模型建模研究,为实现复杂致密砂岩储层弹性参数、物性参数及岩石力学参数间的定量表征奠定理论基础,主要涉及岩石基质、岩石骨架和孔隙流体填充等建模过程.首先,开展复杂矿物组分的弹性模量获取,等效为岩石物理模型的背景介质;其次,考虑复杂致密砂岩的孔隙结构特征,例如孔隙大小和孔隙的纵横比,以此来体现复杂致密砂岩储层的致密性;最后考虑岩石的流体赋存,形成饱和岩石.本文以复杂致密砂岩储层为例,在地震岩石物理模型基础上,提出了基于岩石物理约束的复杂致密砂岩储层物性参数叠前地震概率化反演方法,其中复杂致密砂岩地震岩石物理建模流程如图 1所示.
图1 复杂致密砂岩储层地震岩石物理建模流程

Fig 1 Seismic rock physics modeling process of complex tight sandstone reservoirs

对于复杂致密砂岩岩石基质矿物的体积占比和对应的弹性模量确定的情况下,可通过岩石物理Voigt-Reuss-Hill平均理论(Hill,1952)估算该岩石组成的固体基质的等效弹性模量:
${M_m} = \left[ {\sum\limits_{i = 1}^N {{f_i}} {M_i} + {{\left({\sum\limits_{i = 1}^N {{f_i}} /{M_i}} \right)}^{-1}}} \right]/2$
式中,Mm为多种矿物混合物的等效模量,Mi为第i种固体矿物的模量,fi为第i种固体矿物所占的体积含量,N为固体矿物组分的总类型数.
干岩石骨架的等效模量获取通常是基于包裹体理论来获取,即把干岩石骨架等效为固体均匀矿物包含有限包体的形式.而比较常用的K-T模型、DEM模型等均可用来求取其等效模量.但是由于形式较为复杂,求取的计算量较大.因此,Keys和Xu(2002)通过假设干岩石骨架的泊松比(即,干岩石纵横波速度比)为常数,基于K-T模型推导了形式更简单的且解耦表达的干岩石骨架的等效体积模量Kd和剪切模量μd
$K_{\mathrm{d}}=K_{\mathrm{m}}(1-\phi)^p, $
$\mu_{\mathrm{d}}=\mu_{\mathrm{m}}(1-\phi)^q, $
式中,Kmμm分别为基质的体积模量与剪切模量,可以通过公式(1)获取.pq是表述孔填充物或干孔隙形状的几何因子,与矿物基质模量、孔隙纵横比相关,ϕ为岩石孔隙度.其中,对于复杂致密砂岩,孔隙纵横比作描述其致密的关键参数,通常数值较小,呈现闭合或者扁平,也称作软孔.
在求取干岩石骨架的基础上,可以利用Gassmann方程进一步获取饱和流体的等效弹性模量.Gassmann理论描述了地下介质为均匀各向同性、非黏滞性流体饱和岩石的宏观弹性特征,建立了饱和岩石模量与干岩石骨架、矿物基质、孔隙度ϕ及等效流体模量之间的定量关系,利用该模型可以实现孔隙流体填充,表达式为:
$K_{\mathrm{s}}=K_{\mathrm{d}}+\left(1-\frac{K_{\mathrm{d}}}{K_{\mathrm{m}}}\right)\left(\frac{\phi}{K_{\mathrm{f}}}+\frac{1-\phi}{K_{\mathrm{m}}}-\frac{K_{\mathrm{d}}}{K_{\mathrm{m}}^2}\right), $
$\mu_{\mathrm{s}}=\mu_{\mathrm{d}}, $
$\rho=\phi \rho_{\mathrm{f}}+(1-\phi) \rho_{\mathrm{m}}, $
其中,Ksμsρ分别表示饱和岩石的体积模量、剪切模量和密度;Kfρf分别表示混合流体的体积模量和密度.可以根据式(4)、(5)、(6)中的饱和模量和密度进一步获取岩石的纵横波速度:
$V_{\mathrm{p}}=\left(\frac{K_{\mathrm{s}}+\frac{4}{3} \mu_{\mathrm{s}}}{\rho}\right)^{\frac{1}{2}}, $
$V_{\mathrm{s}}=\left(\frac{\mu_{\mathrm{s}}}{\rho}\right)^{\frac{1}{2}}.$

1.2 复杂致密砂岩储层物性参数表征AVO反射系数方程

基于复杂致密砂岩的岩石物理建模,将公式(6)、(7)、(8)中的弹性参数和物性参数的关系表达为以下形式:
$\boldsymbol{m}=\boldsymbol{F}(\boldsymbol{r}), $
式中,m =[VP, Vs, ρ]T表示饱和岩石的纵横波速度和密度;r =[ϕ, Sw, α]T表示岩石的孔隙度、含水饱和度和孔隙纵横比;F表示构建的地震岩石物理关系.由于式(9)中,地震岩石物理模型表征的弹性参数具有较强的非线性,本文采用泰勒高阶近似对饱和岩石的速度和密度进行低阶近似:
$\ln (\boldsymbol{m}) \approx \ln \left(f\left(r_{\mathrm{o}}\right)\right)+\frac{\partial \ln (f(\boldsymbol{r}))}{\partial \boldsymbol{r}}\left(\boldsymbol{r}-r_{\mathrm{o}}\right), $
式中,$\left.\frac{\partial f(\boldsymbol{r})}{\partial \boldsymbol{r}}\right|_{r=r_\rm o}$可以表示成雅各比矩阵的形式,即:
$\begin{aligned}\boldsymbol{G}= & \left.\frac{\partial f(r)}{\partial r}\right|_{r=r_\rm o}=\left[\begin{array}{lll}c_{11} & c_{12} & c_{13} \\c_{21} & c_{22} & c_{23} \\c_{31} & c_{32} & c_{33}\end{array}\right] \\& =\left[\begin{array}{lll}\frac{\partial V_{\mathrm{P}}}{\partial \phi} & \frac{\partial V_{\mathrm{P}}}{\partial S_{\mathrm{w}}} & \frac{\partial V_{\mathrm{P}}}{\partial \alpha} \\\frac{\partial V_{\mathrm{s}}}{\partial \phi} & \frac{\partial V_{\mathrm{S}}}{\partial S_{\mathrm{w}}} & \frac{\partial V_{\mathrm{S}}}{\partial \alpha} \\\frac{\partial \rho}{\partial \phi} & \frac{\partial \rho}{\partial S_{\mathrm{w}}} & \frac{\partial \rho}{\partial \alpha}\end{array}\right]_{\left.\right|_{R=R_{\mathrm{o}}}} .\end{aligned}$
将公式(11)代入公式(10)可以得到简化的近似表达:
$\boldsymbol{m} \approx \boldsymbol{G} \boldsymbol{r}+\boldsymbol{F}\left(r_{\mathrm{o}}\right)-\boldsymbol{G} \boldsymbol{r}_{\mathrm{o}}.$
在复杂致密砂岩储层岩石物理模型近似(10)的基础上,推导储层物性参数定量表征的AVO地震反射方程.根据Aki-Richards时间和角度表征的近似方程(Stolt and Weglein, 1985):
$R_{\mathrm{PP}}(t, \theta)=A_0 \frac{\partial}{\partial t} \ln V_{\mathrm{P}}(t)+B_0 \frac{\partial}{\partial t} \ln V_{\mathrm{S}}(t)+\\\;\;\;\;\;\;\;\;\;\;\;\;\;\;\;\;\;\;C_0 \frac{\partial}{\partial t} \ln \rho(t), $
式中:
$\left\{\begin{array}{l}A_0=\frac{1}{2}\left(1+\tan ^2 \theta\right) \\B_0=-4 \frac{1}{\gamma^2} \sin ^2 \theta \\C_0=\frac{1}{2}\left(1-4 \frac{1}{\gamma^2} \sin ^2 \theta\right)\end{array} .\right.$
将式(12)代入公式(13)中则可以得到由物性参数孔隙度、含水饱和度以及孔隙纵横比表征的反射系数方程:
$R_{\mathrm{PP}}(t, \theta)=c_\phi \frac{\partial}{\partial t} \phi(t)+c_{\mathrm{w}} \frac{\partial}{\partial t} S_{\mathrm{w}}(t)+c_\alpha \frac{\partial}{\partial t} \alpha(t), $
式中:
$\left\{\begin{array}{l}c_\phi=\frac{A_0 c_{11}}{V_{\mathrm{P}}}+\frac{B_0 c_{21}}{V_{\mathrm{S}}}+\frac{C_0 c_{31}}{\rho} \\c_{\mathrm{w}}=\frac{A_0 c_{12}}{V_{\mathrm{P}}}+\frac{B_0 c_{22}}{V_{\mathrm{S}}}+\frac{C_0 c_{32}}{\rho} . \\c_\alpha=\frac{A_0 c_{13}}{V_{\mathrm{P}}}+\frac{B_0 c_{23}}{V_{\mathrm{S}}}\end{array}\right.$

2 基于岩石物理约束的复杂致密砂岩储层

贝叶斯地震AVO反演方法基于推导的岩石物理约束的复杂致密砂岩储层AVO地震反射系数方程,可以将观测的地震数据与储层物性参数的之间的关系可以表征为:
$\boldsymbol{d}=\boldsymbol{Lr} +\boldsymbol{e}$
式中,d为观察地震数据,L为地震数据与物性参数的映射关系,e为误差项.根据贝叶斯理论框架,假设误差项服从高斯分布,则物性参数和地震数据的后验可以表征成(Grana et al., 2017):
$p(\boldsymbol{r} \mid \boldsymbol{d})=\sum\limits_{k=1}^{N_{\mathrm{c}}} \lambda_{\mathrm{k}} N\left(\boldsymbol{r} ; \mu_{\boldsymbol{r} \mid \boldsymbol{d}}^k, \boldsymbol{\Sigma}_{\boldsymbol{r} \mid \boldsymbol{d}}^k\right)$
式中,协方差矩阵、均值矩阵和权重分别表示为:
$\boldsymbol{\Sigma}_{\boldsymbol r \mid \boldsymbol d}^k=\boldsymbol{\Sigma}_\boldsymbol{r}^k-\boldsymbol{\Sigma}_\boldsymbol{r}^k \boldsymbol{L}^{\mathrm{T}}\left(\boldsymbol{L} \boldsymbol{\Sigma}_\boldsymbol{r}^k \boldsymbol{L}^{\mathrm{T}}+\boldsymbol{\Sigma}_{\mathrm{e}}\right)^{-1} \boldsymbol{L} \boldsymbol{\Sigma}_\boldsymbol{r}^k, $
$\boldsymbol{\mu}_{\boldsymbol{r} \mid \boldsymbol{d}}^k=\boldsymbol{\mu}_\boldsymbol{r}^k+\boldsymbol{\Sigma}_\boldsymbol{r}^k \boldsymbol{L}^{\mathrm{T}}\left(\boldsymbol{L} \boldsymbol{\Sigma}_\boldsymbol{r}^k \boldsymbol{L}^{\mathrm{T}}+\boldsymbol{\Sigma}_{\mathrm{e}}\right)^{-1}\left(\boldsymbol{d}-\boldsymbol{L\mu}_{\boldsymbol{r}}^k\right), $
${\pi ^k}({\bf{r}}) = \frac{{{\sigma _{\rm{k}}}{\cal N}\left({{\bf{d}};{\bf{L \pmb{\mathsf{ μ}} }}_r^k, {\bf{L\Sigma }}_r^k{{\bf{L}}^{\rm{T}}} + {{\bf{\Sigma }}_{\rm{e}}}} \right)}}{{\sum\limits_h^K {{\sigma _{\rm{h}}}} {\cal N}\left({{\bf{d}};{\bf{L \pmb{\mathsf{ μ}} }}_{\rm{r}}^h, {\bf{L\Sigma }}_{\rm{r}}^h{{\bf{F}}^{\rm{T}}} + {\Sigma _e}} \right)}}$
根据储层参数的后验概率分布,获取其最大概率处的物性参数值作为反演结果,则反演目标泛函表征为:
$\boldsymbol{r}_{\text {result }}=\operatorname{argmax}(p(\boldsymbol{r} \mid \boldsymbol{d})).$

3 基于岩石物理约束的复杂致密砂岩储层反演方法应用

下面针对复杂致密储层地震岩石物理模型开展精度分析,并在此基础上验证基于岩石物理约束的复杂致密砂岩储层反演方法的可行性和实用性.首先,通过岩石物理模型预测的弹性参数和实测井数据的对比,验证岩石物理模型的准确性;其次,开展岩石物理模型的弹性解析,建立物性参数和弹性参数的近似关系;最后,通过实际地震数据的地震反演预测与盲井对比,来验证该方法的准确性和适用性.

3.1 模型测试

为了验证建立的复杂致密砂岩储层岩石物理模型的合理性,即公式(10).我们分析了由理论和线性化岩石物理模型预测的理论弹性参数.利用构建的岩石物理模型,分别绘制纵波速度、横波速度和密度等参数的岩石物理量版,研究复杂致密砂岩物性参数变化和弹性参数之间的关系.由于模型中岩石组分主要有石英和黏土等,孔隙流体为水和气,体积模量、各参数如表 1所示.
表1 致密砂岩岩石物理基质弹性模量参数

Table 1 Elastic modulus parameters of tight sandstone petrophysical matrix

类型 体积模量/GPa 剪切模量/GPa 密度/(g/cm3)
石英 38.0 44.0 2.650
黏土 21.0 7.00 2.600
2.50 0 1.030
1.08 0 0.800
0.00013 0 0.00065
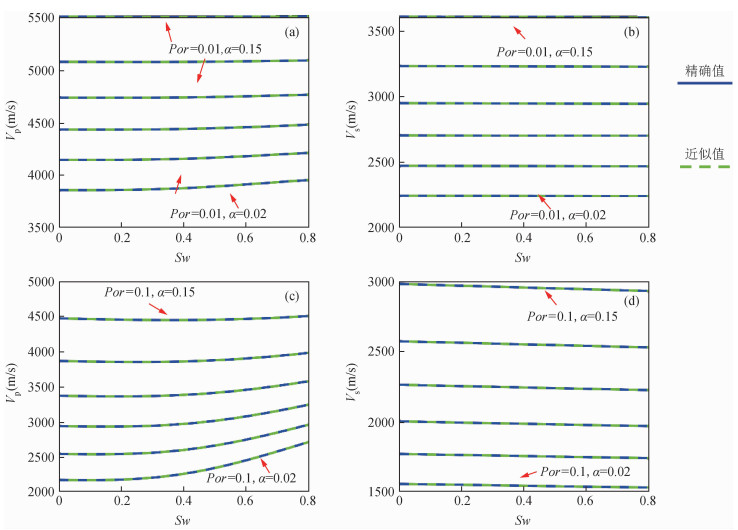
图 2比较了两个模型预测的P和S波速度.结果表明,线性化模型和精确模型相比吻合程度较高,说明了线性化模型的可靠性.除此之外,图 2ab分别为含水饱和Sw=0.5的纵横波速度随着对孔隙度增大的岩石物理量版,其中孔隙纵横比从0.02变化至0.15.结果表明,孔隙度和孔隙纵横比对纵波速度和横波速度均有较为明显的影响,总体趋势比较明确.图 2cd分别为含水饱和Sw=1的纵横波速度随着对孔隙度增大的岩石物理量版,总体趋势相较于Sw=0.5没有明显差别.但是对于纵波随着孔隙的增大,含水饱和度越大其纵波速度越大,而横波则没有明显差别,表明横波速度受含水饱和度的影响相对较小,而对纵波有一定的影响.为了进一步分析含水饱和度Sw与纵横波的岩石物理关系,图 3展示了含水饱和度与纵横波的岩石物理量版,图 3ab的孔隙度设置为0.01,而图 3cd设置为0.1.结果表明,含水饱和度的变化对纵横波速度的变化总体较为平缓,没有明显的差异.
图2 致密砂岩纵横波速度与孔隙度岩石物理分析

(a)和(b)含水饱和度Sw设置为0.5; (c)和(d)含水饱和度Sw设置为1,孔隙纵横比的变化设置为α=[0.02 0.05 0.08 0.12 0.15].

Fig 2 Rock physics modeling analysis of compressional and transverse wave velocity and porosity of tight sandstone

(a) and (b) The water saturation Sw is set to 0.5; (c) and (d) The water saturation Sw is set to 1, and the change in pore aspect ratio is set to α=[0.02 0.05 0.08 0.12 0.15].

图3 致密砂岩纵横波速度与含水饱和度岩石物理分析

(a)和(b)孔隙度设置为0.01;(c)和(d)孔隙度设置为0.1,孔隙纵横比的变化设置为α=[0.02 0.05 0.08 0.12 0.15].

Fig 3 Rock physics modeling analysis of compressional and transverse wave velocity and water saturation of tight sandstone

(a) and (b) The value of porosity is set to 0.01; (c) and (d) The value of porosity is set to 0.1. The change in pore aspect ratio is set to α=[0.02 0.05 0.08 0.12 0.15].

3.2 实际资料的反演应用

将该方法应用于鄂尔多斯盆地的某致密砂岩工区,以验证方法的可靠性和适用性.该地区的储层发育类型为致密砂岩泥岩互层,岩石基质以石英、黏土矿物为主,孔隙度较小,以气-水填充为主.针对该地区,结合提出的岩石物理模型以及反演方法,主要的应用流程如图 4所示.
图4 致密砂岩储层物性反演流程图

Fig 4 Tight sandstone reservoir physical property inversion flow chart

首先将该岩石物理近似模型应用于该地区实际探区的测井数据岩石物理反演中,利用致密砂岩储层岩石物理近似模型计算的纵波速度、横波速度、密度与实际测井的对比,如图 5所示.该近似模型的纵横波速度、密度计算结果与实际测井数据整体趋势保持了较高的吻合度,相对误差较小,说明该模型在本地区的应用是准确可靠的.
图5 致密砂岩岩石物理模型应用与验证

Fig 5 Application and verification of tight sandstone petrophysical model

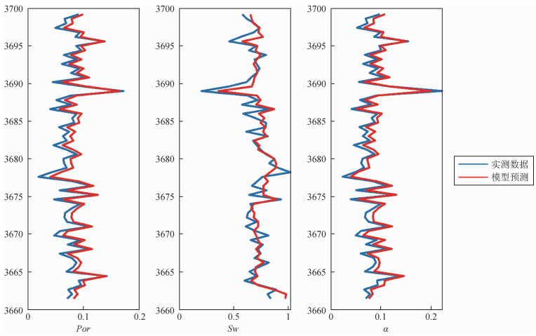
图 6所示为利用岩石物理约束的致密储层物性参数反演结果,其中红色曲线为反演的结果,蓝色为井上实测的数据.通过图 6对比发现,井上的孔隙度和孔隙纵横比与实测的结果较为吻合,说明了该方法的正确性和可靠性.相较于孔隙度和孔隙纵横比的反演,含水饱和度的反演结果和实际的结果误差相对较大一些,但整体上能够和井解释的结果保持一致.由于含水饱和度对弹性参数的影响相对较小,这导致在地震反演时的精度相对较差,这个结论与图 2图 3的岩石物理分析结果是相同的.
图6 致密砂岩模型预测及对比

Fig 6 Model prediction and comparison in tight sand reservoir

图 7是实际的地震数据应用结果.反演过程涉及3个角度的部分叠加地震数据输入,图 7a中展示的是其中的地震数据之一,中角度地震数据.剖面为过一口盲井A1的地震剖面,A1为产气井,红圈位置为主要产气层.可以发现在红圈处,孔隙度较大(图 7c),孔隙纵横比也比较大(图 7b),含水饱和度较低(图 7d),说明与气层的地质认识能够较好的吻合.除此之外,在反演剖面黑圈处为钻遇的水层,孔隙度能够达到12%左右,含水饱和度几乎为100%, 这和井上的认识是保持相同的.其他钻遇部分大多数均为干层,反演结果显示孔隙度均偏低,孔隙纵横比也相对较低,含水饱和度较高,与地质认识相符.综上结果与认识,说明了本方法在实际工区中也能够取得较好的应用,为进一步解决致密储层地震预测提供技术思路.
图7 地震数据及致密砂岩物性反演结果

(a) 叠前小角度地震数据;(b) 孔隙度反演结果;(c)孔隙纵横比反演结果;(d)含水饱和度反演结果.

Fig 7 Seismic data and tight sandstone physical property inversion results

(a) Pre-stack small angle seismic data; (b) Porosity inversion results; (c) Pore aspect ratio inversion results; (d) Water saturation inversion results.

4 结论

本文提出的基于岩石物理约束的复杂致密储层物性参数叠前地震直接反演预测方法,有效的结合了理论岩石物理模型,为复杂致密储层物性参数的地震直接描述提供了有效的解决思路.主要的认识和结论如下:
(1) 基于复杂致密储层岩石物理模型,实现了岩石物理参数的解析表达,并由此推导了以孔隙率、含水饱和度和孔隙纵横比直接表征的地震反射系数方程.其中,对非线性岩石物理模型开展了低阶近似,为推导物性参数的反射系数方程奠定岩石物理理论基础.
(2) 复杂致密储层反演方法主要依托于贝叶斯反演框架,建立起了致密储层物性参数与地震数据的后验概率分布以及反演目标泛函,通过最大化后验概率实现致密储层的物性参数孔隙度、含水饱和度以及孔隙纵横比的反演.该方法通过将孔隙纵横比作为可变反演参数,由此改善了固有纵横比储层参数反演的缺陷,为致密储层提供了准确的表征.
(3) 相比常规两步反演方法,该方法物性参数地震预测间接误差更小.除此之外,由于该方法利用岩石物理低阶近似,虽然能够较好的提高反演效率,但是针对比较复杂的非线性岩石物理情况,多解性也会相对提升.

感谢审稿专家提出的修改意见和编辑部的大力支持!

Azevedo L , Matias L , Turco F , et al. Geostatistical seismic inversion for temperature and salinity in the Madeira Abyssal Plain. Frontiers in Marine Science, 2021, 8: 685007

DOI

Berryman J G . Long-wavelength propagation in composite elastic media I. Spherical inclusions. The Journal of the Acoustical Society of America, 1980, 68 (6): 1809- 1819.

DOI

Bosch M , Cara L , Rodrigues J , et al. A Monte Carlo approach to the joint estimation of reservoir and elastic parameters from seismic amplitudes. Geophysics, 2007, 72 (6): O29- O39.

DOI

Bosch M , Mukerji T , Gonzalez E F . Seismic inversion for reservoir properties combining statistical rock physics and geostatistics: a review. Geophysics, 2010, 75 (5): 75A165- 75A176.

DOI

Brooks S , Gelman A , Jones G , et al. Handbook of Markov Chain Monte Carlo. New York: Chapman and Hall CRC Press, 2011

Dai J X , Ni Y Y , Wu X Q . Tight gas in China and its significance in exploration and exploitation. Petroleum Exploration and Development, 2012, 39 (3): 257- 264.

Dias J , Lopez J L , Velloso R , et al. A workflow for multimineralogic carbonate rock physics modelling in a Bayesian framework: Brazilian pre-salt reservoir case study. Geophysical Prospecting, 2021, 69 (3): 650- 676.

DOI

Dvorkin J , Gutierrez M A , Grana D . Seismic Reflections of Rock Properties. Cambridge: Cambridge University Press, 2014

Grana D . Bayesian linearized rock-physics inversion. Geophysics, 2016, 81 (6): D625- D641.

DOI

Grana D , Fjeldstad T , Omre H . Bayesian Gaussian mixture linear inversion for geophysical inverse problems. Mathematical Geosciences, 2017, 49 (4): 493- 515.

DOI

Grana D . Bayesian petroelastic inversion with multiple prior models. Geophysics, 2020, 85 (5): M57- M71.

DOI

Grana D , Azevedo L , de Figueiredo L , et al. Probabilistic inversion of seismic data for reservoir petrophysical characterization: review and examples. Geophysics, 2022, 87 (5): M199- M216.

DOI

Guo Q , Ba J , Luo C . Nonlinear petrophysical amplitude variation with offset inversion with spatially variable pore aspect ratio. Geophysics, 2022, 87 (4): M111- M125.

DOI

He W , Ma S Z , Yuan J R , et al. Modeling method of the multi-scale and multiple medium unconventional tight oil-reservoir: a case study of the upper reservoir in Lucaogou formation of Junggar basin. Progress in Geophysics, 2017, 32 (2): 618- 625.

DOI

Hill R . The elastic behaviour of a crystalline aggregate. Proceedings of the Physical Society. Section A, 1952, 65 (5): 349- 354.

DOI

Jia A L , Wei Y S , Guo Z , et al. Development status and prospect of tight sandstone gas in China. Natural Gas Industry, 2022, 42 (1): 83- 92.

DOI

Keys R G , Xu S Y . An approximation for the Xu-White velocity model. Geophysics, 2002, 67 (5): 1406- 1414.

DOI

Lang X Z , Grana D . Bayesian pressure-saturation inversion of time-lapse seismic data. SEG Technical Program Expanded Abstracts, 2018, 3151- 3155.

Li H B , Zhang J J , Cai S J , et al. A two-step method to apply Xu-Payne multi-porosity model to estimate pore type from seismic data for carbonate reservoirs. Petroleum Science, 2020, 17 (3): 615- 627.

DOI

Li K , Yin X Y , Zong Z Y . Facies-constrained prestack seismic probabilistic inversion driven by rock physics. Science China Earth Sciences, 2020, 63 (6): 822- 840.

DOI

Li K , Yin X Y , Zong Z Y , et al. Estimation of porosity, fluid bulk modulus, and stiff-pore volume fraction using a multitrace Bayesian amplitude-variation-with-offset petrophysics inversion in multiporosity reservoirs. Geophysics, 2022, 87 (1): M25- M41.

DOI

Lin K , He X L , Zhang B , et al. Porosity estimation based on the rock skeleton general formula and comprehensive pore structure parameter-An application to a tight-sand reservoir. Interpretation, 2022, 10 (1): SA47- SA58.

DOI

Liu Q , Dong N , Ji Y X , et al. Direct reservoir property estimation based on prestack seismic inversion. Journal of Petroleum Science and Engineering, 2018, 171: 1475- 1486.

DOI

Liu Z F . Key techniques of integrated seismic reservoir characterization for tight oil & gas sands. Progress in Geophysics, 2014, 29 (1): 182- 190.

DOI

Liu Z S , Bao Q Z , Liu J Z , et al. A simplified 2D petrophysical model for regular polygon pores. Oil Geophysical Prospecting, 2022, 57 (1): 140- 148.

DOI

Luo C , Ba J , Carcione J M , et al. Joint PP and PS Pre-stack seismic inversion for stratified models based on the propagator matrix forward engine. Surveys in Geophysics, 2020, 41 (5): 987- 1028.

DOI

Mukerji T , Avseth P , Mavko G , et al. Statistical rock physics: combining rock physics, information theory, and geostatistics to reduce uncertainty in seismic reservoir characterization. The Leading Edge, 2001, 20 (3): 313- 319.

DOI

Nawaz M A , Curtis A . Rapid discriminative variational Bayesian inversion of geophysical data for the spatial distribution of geological properties. Journal of Geophysical Research: Solid Earth, 2019, 124 (6): 5867- 5887.

DOI

Nawaz M A , Curtis A , Shahraeeni M S , et al. Variational Bayesian inversion of seismic attributes jointly for geologic facies and petrophysical rock properties. Geophysics, 2020, 85 (4): MR213- MR233.

DOI

Pan X P , Zhang G Z . Bayesian seismic inversion for estimating fluid content and fracture parameters in a gas-saturated fractured porous reservoir. Science China Earth Sciences, 2019, 62 (5): 798- 811.

DOI

Pan X P , Liu Z S , Gao D W , et al. Rock-physics-driven nonlinear seismic inversion for petrophysical parameters of reservoir. Chinese Journal of Geophysics, 2024, 67 (3): 1237- 1254.

DOI

Rimstad K , Omre H . Skew-Gaussian random fields. Spatial Statistics, 2014, 10: 43- 62.

DOI

Sen M K , Stoffa P L . Global Optimization Methods in Geophysical Inversion. 2nd ed Cambridge: Cambridge University Press, 2013

Stolt R H , Weglein A B . Migration and inversion of seismic data. Geophysics, 1985, 50 (12): 2458- 2472.

DOI

Teillet T , Fournier F , Zhao L X , et al. Geophysical pore type inversion in carbonate reservoir: Integration of cores, well logs, and seismic data (Yadana field, offshore Myanmar). Geophysics, 2021, 86 (3): B149- B164.

DOI

Wang P , Cui Y A , Du X Z . Improved prior construction for probabilistic seismic prediction. IEEE Geoscience and Remote Sensing Letters, 2022, 19: 3007005

DOI

Yin X Y , Zhang S X . Bayesian inversion for effective pore-fluid bulk modulus based on fluid-matrix decoupled amplitude variation with offset approximation. Geophysics, 2014, 79 (5): R221- R232.

DOI

Zhang J J , Yin X Y , Zhang G Z , et al. Prediction method of physical parameters based on linearized rock physics inversion. Petroleum Exploration and Development, 2020, 47 (1): 57- 64.

DOI

Zhao J L , Liu J J , Zhang Q H , et al. Overview of geophysical exploration methods and technical of tight sandstone gas reservoirs. Progress in Geophysics, 2017, 32 (2): 840- 848.

DOI

Zhao L X , Geng J H , Cheng Q B , et al. Rock physics based probabilistic lithology and fluid prediction in a heterogeneous carbonate reservoir. SEG Technical Program Expanded Abstracts, 2013, 2387- 2391.

Zhao R R , Wang X X , Wang Y , et al. Research of AVO inversion for P-and S-wave inverse quality factors. Progress in Geophysics, 2022, 37 (6): 2518- 2528.

DOI

Zhu H Y , Gong D , Zhang B . A multi-scale geology-engineering sweet spot evaluation method for tight sandstone gas reservoirs. Natural Gas Industry, 2023, 43 (6): 76- 86.

DOI

金星 , 云燕 , 小奇 . 中国致密砂岩气及在勘探开发上的重要意义. 石油勘探与开发, 2012, 39 (3): 257- 264.

, 世忠 , 江如 , 等. 致密油储层不同尺度、多重介质建模方法研究—以吉木萨尔凹陷芦草沟组上甜点为例. 地球物理学进展, 2017, 32 (2): 618- 625.

DOI

爱林 , 云生 , , 等. 中国致密砂岩气开发现状与前景展望. 天然气工业, 2022, 42 (1): 83- 92.

, 兴耀 , 兆云 . 岩石物理驱动的相约束叠前地震概率化反演方法. 中国科学: 地球科学, 2020, 50 (6): 832- 850.

DOI

振峰 . 致密砂岩油气藏地震地质研究关键技术. 地球物理学进展, 2014, 29 (1): 182- 190.

DOI

致水 , 乾宗 , 俊州 , 等. 一种简化的二维规则多边形孔隙岩石物理模型. 石油地球物理勘探, 2022, 57 (1): 140- 148.

DOI

新朋 , 广智 , 兴耀 . 岩石物理驱动的储层裂缝参数与物性参数概率地震反演方法. 地球物理学报, 2018, 61 (2): 683- 696.

DOI

新朋 , 志顺 , 大维 , 等. 岩石物理驱动的储层物性参数非线性地震反演方法. 地球物理学报, 2024, 67 (3): 1237- 1254.

DOI

佳佳 , 兴耀 , 广智 , 等. 基于线性化岩石物理反演的物性参数预测方法. 石油勘探与开发, 2020, 47 (1): 57- 64.

DOI

军龙 , 建建 , 庆辉 , 等. 致密砂岩气藏地球物理勘探方法技术综述. 地球物理学进展, 2017, 32 (2): 840- 848.

DOI

容容 , 晓星 , , 等. 纵、横波逆品质因子AVO反演方法研究. 地球物理学进展, 2022, 37 (6): 2518- 2528.

DOI

海燕 , , . 致密砂岩气储层多尺度"地质-工程"双甜点评价新方法. 天然气工业, 2023, 43 (6): 76- 86.

DOI

Outlines

/