Home Journals Progress in Geophysics
Progress in Geophysics

Abbreviation (ISO4): Prog Geophy      Editor in chief:

About  /  Aim & scope  /  Editorial board  /  Indexed  /  Contact  / 

Research on rock physical modeling and "sweet spot" prediction methods for tight sandstone reservoirs

  • YuQing ZHOU ,
  • JiaJia ZHANG , * ,
  • GuangZhi ZHANG ,
  • Ying LIN
Expand
  • China University of Petroleum (East China), Qingdao 266580, China

Received date: 2024-02-26

  Online published: 2025-03-13

Copyright

Copyright ©2025 Progress in Geophysics. All rights reserved.

Abstract

In recent years, the production of tight sandstone gas in China has been rising, how to analyze the internal "sweet spot" of tight sandstone reservoir based on the characteristics of low porosity and low permeability has become a key issue. In this paper, the petrophysical model of tight sandstone is established by analyzing the petrophysical characteristics of tight sandstone and aggregating the pore structure connectivity of tight sandstone. Then, combined with the characteristics of the actual work area, the geophysical "sweet spot" are divided according to the porosity, P-wave impedance and other parameters. The sensitive parameters of "sweet spot" of tight sandstone reservoir, such as the ratio of bulk modulus to shear modulus(K/μ) and the ratio of P-wave velocity to S-wave velocity, are obtained, which lay a foundation for subsequent pre-stack seismic inversion for "sweet spot". Finally, the reflection coefficient equation applicable to the sensitive parameters of tight sandstone "sweet spot" is derived based on the elastic impedance inversion, and the quantitative prediction of class Ⅰ sweet spot to class Ⅱ sweet spot (coarse-grained rock facies) is realized according to the P-wave modulus and the sensitive parameters of "sweet spot", which effectively indicates the gas-bearing reservoir area and provides a reference for the evaluation and development of low permeability tight sandstone reservoir.

Cite this article

YuQing ZHOU , JiaJia ZHANG , GuangZhi ZHANG , Ying LIN . Research on rock physical modeling and "sweet spot" prediction methods for tight sandstone reservoirs[J]. Progress in Geophysics, 2025 , 40(1) : 255 -265 . DOI: 10.6038/pg2025HH0436

0 引言

1999年美国地质调查局将“甜点”定义为可以在未来30年生产的盆地中心天然气区域(Popov et al., 2001)的报告.随着对致密储层的不断研究,“甜点”定义为由构造和沉积共同造成的致密储层中相对高孔,高渗,且能够提供较高天然气日产量和持续的经济产量的区域(Law,2002杨升宇等,2013).致密砂岩气是指存储于低孔低渗物性参数较差的砂岩储层中,是典型的非常规油气资源,可采量巨大.但是致密砂岩储层具有物性差,非均质性强等特点(赵靖舟,2012赵晨,2017邹才能等,2013杜佳等,2022赵军龙等,2017贾爱林等,2022陈康等,2021赵仲祥等,2018何贤科等,2023).根据孔隙和束缚水饱和度将西湖凹陷致密气藏分为三类“甜点”.朱海燕等(2023)结合岩性、岩石力学参数、破裂形态等进行“甜点”分类研究.因此想要在地震上确定“甜点”信息,往往需要结合工程“甜点”和地质“甜点”共同对有利储层区域进行研究.
岩石物理技术可以进行储层和“甜点”敏感弹性参数的定量分析,实现对测井曲线的校正和横波预测.它还可以建立物性参数与弹性参数之间的关系,并研究物性参数变化如何影响地震响应,从而分析“甜点”储层的地震响应特征.这为致密砂岩物性参数的预测提供了基础.
近些年来,研究人员对致密砂岩储层进行了大量研究,发现致密砂岩中不同孔隙纵横比的微裂隙可以用来解释纵横波速度与孔隙间的联系(Smith et al., 2009),同时对压力的敏感性会随微裂隙的存在而改变(Tutuncu et al., 1994).1996年Keys和Xu针对砂泥岩不同孔隙纵横比建立了适用于砂岩的岩石物理模型.Ruiz和Cheng(2010)建立了适用于致密砂岩气储层的SPM模型,通过假设纵横比为0.01的裂隙以及1的球形孔来模拟致密储层情况.Avseth等(2014)结合胶结模型与包裹体模型,来进行致密砂岩储层孔隙结构的感言.未晛等(2018)用改进的随机斑状饱和模型来表征孔隙流体的非均质性.Feng等(2023)将喷射流效应考虑到岩石物理模型中.
叠前反演能够获取比叠后反演更为丰富的地球物理信息,从而更准确地呈现地下地质情况. Connolly(1999)首次提出弹性阻抗(Elastic Impedance,缩写为EI)的概念,利用Aki-Richards的近似式导出了相应的弹性阻抗方程.Wang等(2006)则通过推导基于拉梅参数的弹性阻抗方程,实现了拉梅参数的直接提取.Zong等(2012)在弹性阻抗反演方法方面,推导了基于纵波模量、剪切模量与密度的弹性阻抗方程,并提高了反演的稳定性.对于致密储层而言,弹性阻抗反演方法有助于寻找对“甜点”敏感的弹性参数,从而实现获取“甜点”敏感弹性参数的三维数据,最终达到实现“甜点”储层的预测和描述的目的.印兴耀等(2014)建立了弹性阻抗与储层物性参数之间的线性关系,利用弹性阻抗反演方法实现了物性参数的估计.Lang和Grana(2018)Grana等(2012)则基于Gassmann方程的一阶近似模型,发展了基于贝叶斯线性反演的地震AVO物性参数预测方法.另一方面,李坤等(2020)提出了一种适用于碎屑岩储层预测的叠前地震概率化反演方法,利用高阶近似表征岩石弹性模量,实现了从叠前道集到储层弹性、物性以及干岩石骨架等参数的同步预测.李红兵等(2021)首次提出了一种基于弹性阻抗的适用于碳酸盐岩复杂孔隙储层的孔隙结构和物性参数贝叶斯非线性同步反演新方法.
本文基于岩石物理实验,构建了东海某工区考虑连通孔隙的致密砂岩地震岩石物理模型,通过井数据进行交汇分析,明确Ⅰ类“甜点”的弹性参数及地震响应特征,形成了基于叠前纵波模量(M)与体积模量比剪切模量(K/μ)直接反演的Ⅰ类“甜点”预测技术以及基于拟纵横波速度比(VP/VS)概率反演的Ⅱ类“甜点”(粗粒岩相)预测技术,建立了东海某工区“甜点”地震预测技术,可以用于表征致密砂岩工区的“甜点”展布,为低渗致密砂岩的评价和开发提供了参考.

1 方法原理

1.1 致密砂岩岩石物理模型构建

岩石物理模型构建了储层物性特征和储层弹性特征的定量关系,为储层物性参数反演奠定基础.结合致密砂岩储层连通性差的特点,在双孔隙理论的基础上将孔隙分为连通孔隙和不连通孔隙.连通孔隙连通性好,渗透率高,不连通孔隙渗透率低且孤立分布在储层基质内.在模型中考虑孔隙导电性.将导电孔隙等效为连通孔隙,实验室饱水情况下连通孔隙导电性好,不连通孔隙导电性差,引入李雄炎等(2022)通过实验得到的导电孔隙度与总孔隙度关系计算连通孔隙度,并假设不连通孔隙中流体孤立分布,首先用VRH模型构建背景基质,然后使用Xu-White近似模型分别向基质中添加两种孔隙,使用斑块饱和模型添加不连通孔隙中的流体.连通孔隙孔隙内部压力平衡使用Gassman模型进行添加流体.
具体构建模型步骤如下:
(1) Voigt-Reuss-Hill(VRH)边界平均模型
先用VRH混合背景基质,VRH模型是一种经典的混合基质模型,用于计算复杂岩石背景基质的等效模量:
$M_{\mathrm{v}}=f_1 M_1+f_2 M_2+\cdots+f_{\mathrm{N}} M_{\mathrm{N}}=\sum\limits_{i=1}^N f_i M_i, $
$\frac{1}{M_{\mathrm{R}}}=\frac{f_1}{M_1}+\frac{f_2}{M_2}+\cdots+\frac{f_{\mathrm{N}}}{M_{\mathrm{N}}}=\sum\limits_{i=1}^N \frac{f_i}{M_i}, $
$M_{\mathrm{VRH}}=\frac{M_{\mathrm{V}}+M_R}{2}, $
式中,Mi为第i种矿物成分的模量,fi为第i种矿物成分的体积分数,Mv代表Voigt模型计算模量,MR代表Reuss模型计算模量.
(2) Xu-White模型近似
再使用Keys和Xu提出了一种Xu-White模型干岩近似分别添加两种孔隙:
$K_{\mathrm{dry}}=K_{\mathrm{m}}(1-\phi)^p, $
$\mu_{\mathrm{dry}}=\mu_{\mathrm{m}}(1-\phi)^q, $
式中,ϕ为孔隙度,Kmμm为砂泥混合物的等效体积模量和剪切模量,Kdryμdry则为干岩石等效模量,pq为与孔隙的类型、纵横比等相关的参数.
(3) 通过致密砂岩总孔隙度与连通孔隙度的关系(李雄炎等,2022)确定连通孔隙度:
$\varphi_{\mathrm{c}}=0.76 \varphi-0.35, $
式中,φc为连通孔隙度,φ为总孔隙度.
(4) Gassmann模型
利用Gassmann模型向连通孔隙度之间添加流体:
$K_{\mathrm{sat}}=K_{\mathrm{dry}}+\frac{\left(1-K_{\mathrm{dry}} / K_{\mathrm{m}}\right)^2}{\frac{\phi}{K_{\mathrm{f}}}+\frac{1-\phi}{K_{\mathrm{m}}}-\frac{K_{\mathrm{dry}}}{K_{\mathrm{m}}{ }^2}}, $
$\mu_{\mathrm{sat}}=\mu_{\mathrm{dry}}, $
式中,KsatKdryKmKf分别为饱和流体的岩石、干岩、混合矿物及流体的体积模量,μsatμdry为饱和流体岩石和干岩的剪切模量,ϕ为孔隙度.
(5) 斑块饱和(Patchy saturation)模型
利用斑块饱和(Patchy saturation)模型像不连通孔隙添加流体:
$K_i=K_{\mathrm{dry}}+\frac{\left(1-\frac{K_{\mathrm{dry}}}{K_{\mathrm{m}}}\right)^2}{\frac{\phi}{K_{\mathrm{fl}-\mathrm{i}}}+\frac{1-\phi}{K_{\mathrm{m}}}-\frac{K_{\mathrm{dry}}}{K_{\mathrm{m}}^2}}, $
$M_i=K_i+\frac{4}{3} \mu_i \quad \mu=\mu_i \quad i=a, b, c, d, $
$M=\left(\frac{S_{\mathrm{c}}}{M_{\mathrm{c}}}+\frac{S_{\mathrm{d}}}{M_{\mathrm{d}}}\right)^{-1}, $
式中,i为流体类型,S为饱和度,KμM分别为体积模量、剪切模量及纵波模量,下标dry、m、fl-i则分别表示干岩、混合矿物及流体.

1.2 叠前地震反演

Aki和Richards(1980)提出了Zeoppritz方程的近似公式:
$\begin{aligned}R(\theta) \approx & \frac{1}{2} \sec ^2 \theta \frac{\Delta V_{\mathrm{p}}}{\bar{V}_{\mathrm{p}}}-4 \gamma^2 \sin ^2 \theta \frac{\Delta V_{\mathrm{s}}}{\bar{V}_{\mathrm{s}}}+ \\& \frac{1}{2}\left(1-4 \gamma^2 \sin ^2 \theta\right) \frac{\Delta \rho}{\bar{\rho}}, \end{aligned}$
式中,γ=Vp/Vs.Vp, Vs, ρ分别是纵横波速度与密度.
已知纵波模量反射系数$\frac{\Delta M}{\bar{M}}$、体积模量比剪切模量反射系数$\frac{\Delta v}{\bar{v}}$与纵横波速度反射系数$\frac{\Delta V_{\mathrm{p}}}{\bar{V}_{\mathrm{p}}}, \frac{\Delta V_{\mathrm{s}}}{\bar{V}_{\mathrm{s}}}$及密度反射系数$\frac{\Delta \rho}{\bar{\rho}}$的关系为:
$\frac{\Delta V_{\mathrm{p}}}{\bar{V}_{\mathrm{p}}}=\frac{1}{2}\left(\frac{\Delta M}{\bar{M}}-\frac{\Delta \rho}{\bar{\rho}}\right),$
$\frac{\Delta v}{\bar{v}}=\frac{6}{3-4 \gamma^2}\left(\frac{\Delta V_{\mathrm{p}}}{\bar{V}_{\mathrm{p}}}-\frac{\Delta V_{\mathrm{s}}}{\bar{V}_{\mathrm{s}}}\right) .$
将式(12)、(13)代入式(11)提出基于纵波模量M、体积模量比剪切模量(ν=K/μ)与密度ρ的平面波反射特征方程,其具体形式如下:
$\begin{aligned}R(\theta)= & \left(\frac{1}{4} \sec ^2 \theta-2 \gamma^2 \sin ^2 \theta\right) \frac{\Delta M}{\bar{M}}+\frac{\left(6 \gamma^2-8 \gamma^4\right) \sin ^2 \theta}{3} \\& \frac{\Delta v}{\bar{v}}+\left(\frac{1}{2}-\frac{1}{4} \sec ^2 \theta\right) \frac{\Delta \rho}{\bar{\rho}} .\end{aligned}$
相比于叠前AVO反演及叠后反演,叠前弹性阻抗反演不仅可以反演对储层敏感弹性参数和物性参数,而且具有较强的抗噪能力.基于Connolly弹性阻抗方程,进一步提出了基于纵波模量,体积模量比剪切模量及密度的弹性阻抗公式,可写为如下形式:
$E I(\theta)=\left(M_0 \rho_0\right)^{\frac{1}{2}}\left(\frac{M}{M_0}\right)^a\left(\frac{v}{v_0}\right)^b\left(\frac{\rho}{\rho_0}\right)^c, $
式中,M0v0ρ0分别表示纵波模量、体积模量比剪切模量和密度的平均值,具体取值一般通过测井资料计算统计获得,其中:$a=\frac{1}{2} \sec ^2 \theta-4 \gamma^2 \sin ^2 \theta, b=$ $\frac{\left(12 \gamma^2-16 \gamma^4\right) \sin ^2 \theta}{3}, c=1-\frac{1}{2} \sec ^2 \theta$.
推导弹性阻抗方程之后,利用叠前角度部分叠加数据及贝叶斯反演方法,进行弹性阻抗反演.贝叶斯反演方法可以将先验模型信息与似然函数相结合,有效的求取反演参数的最大后验概率分布,其基础是贝叶斯公式,后验概率分布$p(r \mid d)$可用以下公式来表示:
$p(r \mid d) \propto p(d \mid r) p(r),$
式中, d为观测地震记录, r为反射系数序列, $p(r \mid d)$为先验模型信息,p(r)为似然函数.

2 实际应用

研究工区主要位于东海海域,位于东海陆架盆地西湖凹陷中央反转构造带,为大型洼中隆背斜圈闭.主力气田为辫状三角洲沉积体系,砂体厚度大,分布范围广局部发育粗粒沉积.目标层段砂岩厚度大,砂体发育,但是储层物性参数整体偏致密,且物性变化快.由于储层“甜点”对油气产能控制作用明显,因此需要对厚储层内部的地球物理“甜点”进行预测并精细研究.
研究工区低渗储层矿物成分主要为刚性颗粒(石英)和塑性颗粒(黏土),通过储层与非储层位置处的岩心照片发现,储层区域岩石孔隙发育情况主要分为两类,第一类如图 1a,岩石成中压实状态,保留了大量的原生孔隙和少部分溶蚀孔隙,矿物颗粒之间主要以点和线接触,孔隙间的连通性较好.第二类如图 1b, 相较于第一类压实程度更强,保留了部分原生孔隙及部分溶蚀孔隙,矿物颗粒之间少量以点接触大量为线接触,孤立不连通孔隙增多.非储层位置的岩石如图 1c成强压实状态,以溶蚀孔隙为主包含少量的原生孔隙,颗粒之间主要以线接触或者凸凹接触,孔隙较少且多为孤立不连通孔隙.
图1 储层与非储层岩心照片

(a)第一类储层岩心照片表现为中压实成岩相,颗粒之间以点接触为主;(b)第二类储层岩心照片,相较于(a)压实程度更强,保留了部分原生孔隙及部分溶蚀孔隙,矿物颗粒之间少量以点接触大量为线接触;(c)非储层对应岩心照片,岩石孔隙以溶蚀孔隙为主,强压实成岩相,颗粒之间以线接触或凹凸接触为主.

Fig 1 Reservoir and non-reservoir core photographs

(a) The first type of reservoir core photos exhibit a medium-pressure compacted lithification phase, with mainly point contacts between the particles; (b) The second type of reservoir core photos, compared to (a), show a higher degree of compaction, preserving some primary pores and partial dissolution pores, with a small amount of point contacts between mineral particles and a significant amount of line contacts; (c) The corresponding core photos of non-reservoir rocks display primarily dissolution pores, strong compaction lithification, and line or concave-convex contacts between particles.

对该工区岩样进行不同轴压下纵横波速度的测量,估测工区孔隙结构情况.图 2a为该工区储层测量结果,加压情况下,横波速度的变化明显不如纵波,而且非线性关系明显,因此主要对纵波进行分析.纵波速度随着轴压增加而增加,变化量为1422 m/s.图 2b为某致密砂岩非储层测量结果,非储层的纵波速度随着轴压增加的变化量为522 m/s.随着轴压增加储层比非储层纵波速度变化显著.这可能是因为储层岩石的压实程度不高,岩石内部存在较多的易变形的微裂隙连通各个孔隙.而非储层部分溶蚀孔隙较多且不易变形.因此认为原生连通孔隙偏软易变形,孔隙纵横比小.而溶蚀孤立孔隙偏硬不易变形,纵横比大.
图2 储层与非储层岩芯纵横波速度随轴压的变化趋势

Fig 2 The variation trend of the compressional and shear wave velocities of reservoir and non-reservoir cores with axial pressure

建立考虑连通孔与不连通孔隙的致密砂岩岩石物理模型流程图如图 3所示:
图3 考虑连通孔的致密砂岩岩石物理模型流程图

Fig 3 Flowchart of petrophysical modeling of tight sandstone considering connecting porosity

(1) 利用VRH模型将砂泥岩混合得到背景基质.
(2) 根据李雄炎等(2022)提出的连通孔隙度与总孔隙度关系计算连通孔隙度.
(3) 利用适合于砂岩的Xu-White模型向背景基质中添加孔隙得到骨架模量.
(4) 利用Patchy Saturation方程以及Gassman方程分别添加不连通孔隙以及连通孔隙流体成斑状分布情况下的混合流体模量.
(5) 计算饱和岩石纵横波速度.
应用模型对井进行速度重构如图 4所示.验证岩石物理模型的可靠性.
图4 致密砂岩模型纵横波预测结果

Fig 4 Prediction results of P-wave and S-wave velocities in tight sandstone model

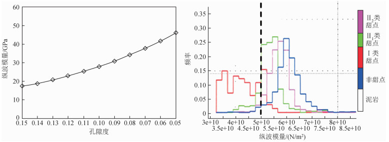
针对致密砂岩岩石物理模型进行弹性模量定量分析.图 5a是饱和岩石的K/μ随泥质含量变化的曲线.图 5b是纵波模量随孔隙度变化的曲线.由图 5a可见,当其他因素不变时,泥质含量对K/μ的影响非常显著,随着泥质含量的增加,岩石的K/μ值逐渐增大减小,表明可以用K/μ识别砂泥岩.同理,通过图 5b可以发现纵波模量对于孔隙度有较强的相关性.图 6为该工区储层岩石物理量版,我们可以看出不同渗透率条件下,VP/VS以及纵波阻抗都有较大差异.
图5 泥质含量与孔隙度对弹性模量的影响

Fig 5 Effect of shale content and porosity on elastic modulus

图6 该地区储层岩石物理量版

Fig 6 Petrophysical version of the reservoir in this area

3 “甜点”分类及敏感参数分析

对于该工区致密砂岩储层,“甜点”定义为物性较好,孔隙结构较好的相对有利区域.由于“甜点”在地质上和生产上的参数标准大多数无法直接应用于地球物理反演,本文只能结合地质以及生产标准以及该工区特点,对文中“甜点”进行地球物理标准的划分(李炳颖等,2019).

3.1 致密砂岩“甜点”

综合测井综合解释成果以及岩石物理交汇分析成果,对不同弹性参数曲线在“甜点”储层中的变化趋势进行分析,结合地质信息提出了三种“甜点”类型,并给出了相应的划分标准.
低渗气藏储层“甜点”划分标准具体如表 1所示.
表1 低渗气藏储层“甜点”划分标准

Table 1 Classification criteria for sweet spots in low-permeability gas reservoirs

类型 孔隙度/% 纵波模量/(N/m2)
Ⅰ类“甜点” >11 4×1010
1类“甜点” 9~11 4.5×1010
2类“甜点” 7~9 5×1010

3.2 砂泥岩储层敏感参数分析

工区目标层段岩性为砂岩,泥岩.首先通过对岩性进行岩石物理交汇,确定砂岩特征.由图 7ab看出砂岩体积模量比剪切模量(K/μ),纵横波速度比(VP/VS)明显偏低,泥岩偏高.纵波阻抗无法区分砂泥岩.
图7 工区各弹性与物性参数交会图

Fig 7 Cross plot of elastic and physical parameters in the work area

3.3 “甜点”与非“甜点”的敏感参数分析

找到区分砂泥岩敏感弹性参数后,进一步对“甜点”非“甜点”进行分析.由图 7cd可以看出“甜点”泊松比值较低.Ⅰ类“甜点”纵波模量明显低于其他类型.其中Ⅰ类“甜点”由于物性好(孔隙度大)能够较好区分,但是Ⅱ1类“甜点”和Ⅱ2类“甜点”区分效果不好.

3.4 Ⅱ类“甜点”(粗粒岩相)划分及敏感弹性参数分析

由于Ⅱ1、Ⅱ2类“甜点”区分难度较大,因此提出了Ⅱ类“甜点”(粗粒岩相)的概念,即Ⅱ1、Ⅱ2类“甜点”储层当中,粒度较粗,较易区分的区域.确定了Ⅱ类“甜点”(粗粒岩相)的敏感参数.
为了有效区分Ⅱ1、Ⅱ2类“甜点”储层,将含砾石粗粒河道和粗粒河道合并成粗相带.通过对图 7e分析可得,GR曲线能区分粗相带,因此我们在孔隙度划分“甜点”基础上基于GR值的大小分类:60以下为Ⅱ类“甜点”(粗粒岩相)砂岩,60~75为各粒度叠置混合砂岩,75~100为细砂岩,100以上为泥岩.
考虑到使用地震数据直接预测GR曲线难度较大,我们通过建立GR曲线与弹性参数的关系,来实现Ⅱ类“甜点”(粗粒岩相)预测.图 7fVP/VS与GR相关性分析,可以看出二者相关性较高,因此利用GR曲线转换得到的拟VP/VS参数进行Ⅱ类“甜点”(粗粒岩相)预测.
图 7gh分别为实际VP/VS交汇与拟VP/VS关于Ⅱ类“甜点”(粗粒岩相)的交会结果.分析可知实际VP/VS对Ⅱ类“甜点”(粗粒岩相)难区分,转化成拟VP/VS后区分度好.
低纵波阻抗反映高孔Ⅰ类“甜点”,低拟VP/VS、相对较高阻抗指示Ⅱ类“甜点”(粗粒岩相).

4 致密砂岩储层“甜点”预测方法

4.1 基于纵波模量直接反演的Ⅰ类“甜点”预测方法

Ⅰ类“甜点”位于厚储层内部,其主要划分依据是孔隙度.图 8a为原生孔隙含量变化引起弹性模量的变化,可以发现随孔隙度增大,Ⅰ类“甜点”及非“甜点”纵波模量产生的差别很大,这可以很好地解释纵波模量能很好区分Ⅰ类“甜点”的原因.图 8b为不同类型“甜点”及非“甜点”纵波模量直方图,可以发现砂岩区域Ⅰ类“甜点”纵波模量值低,这更一步验证了纵波模量区分Ⅰ类“甜点”的可行性.
图8 孔隙度变化所对应的弹性模量的变化及“甜点”纵波模量直方图

Fig 8 Changes in elastic modulus corresponding to changes in porosity and histograms of "sweet spot" and P-wave modulus

式(19)构成了一个线性方程组,通过求解三个独立的弹性阻抗数据体,就可以求得纵波模量、K/μ和密度.基于纵波模量及K/μ反演结果,利用概率分析,即可获得“甜点”储层的概率体数据.通过利用测井数据,我们对处于不同类型的“甜点”和非“甜点”条件下的弹性参数分布特征进行了分析.我们定义了不同种类岩性和含流体类型的弹性参数联合概率密度函数,然后对于每一个样点的反演结果进行判别,计算了各种“甜点”类型的空间分布概率,进而得到各种“甜点”类型的概率体.值得注意的是,如图 9所示,井旁道的实际数据和反演结果匹配程度较好,验证了该方法的可行性.
图9 井旁道反演结果对比

蓝线:实际数据;红线:反演参数提取结果.

Fig 9 Comparison of the inversion results of the well bypass

Blue line: actual data; Red line: extraction results of inversion parameters.

4.2 基于拟VP/VS反演Ⅱ类“甜点”(粗粒岩相)预测方法

经过岩石物理实验数据分析可知,Ⅱ类“甜点”难以进行有效预测.为了区分Ⅱ1类及Ⅱ2类“甜点”储层,引入了Ⅱ类“甜点”(粗粒岩相)的概念,将含砾石粗粒河道和粗粒河道合并成Ⅱ类“甜点”(粗粒岩相),通过识别Ⅱ类“甜点”(粗粒岩相)来实现优势Ⅱ类“甜点”的识别.利用测井数据进行分析,如图 7e所示,发现GR曲线对Ⅱ类“甜点”(粗粒岩相)有一定区分度.GR曲线与VP/VS曲线有一定相关性. 利用公式(19)基于纵波阻抗IPVP/VS值、τ与密度ρ的AVO近似公式来计算反射系数.利用MCMC(马尔科夫链蒙特卡洛)概率反演的方法实现Ⅱ类“甜点”(粗粒岩相)的预测,通过利用反演参数之间的相关性,来实现特定岩相及流体类型的有效识别.可得的Ⅱ类“甜点”(粗粒岩相)概率体如图 10所示.
图10 Ⅱ类“甜点”(粗粒岩相)概率体

Fig 10 Class Ⅱ "sweet spot" (coarse-grained lithofacies) probability bodies

5 结论

本文研究了致密砂岩岩石物理特征及“甜点”预测方法.根据致密砂岩具有连通孔隙和不连通孔隙的特征,建立考虑连通孔隙的致密砂岩岩石物理模型.分析致密砂岩“甜点”与非“甜点”储层特征,可以看出“甜点”储层孔隙度偏大,通过岩石物理量版可得高渗透率分布在孔隙纵横比为0.1的范围,低渗透率主要分布在孔隙纵横比0.5的位置处;然后通过对“甜点”储层不同弹性参数曲线的变化趋势分析,提出低渗气藏储层“甜点”划分标准的三种“甜点”类型并进行敏感参数分析,得出K/μVP/VS等致密砂岩储层“甜点”敏感参数,为后续叠前地震反演“甜点”提供了基础;最后分别利用基于纵波模量与K/μ直接提取的弹性阻抗反演、拟VP/VS叠前概率反演、地震随机反演方法来实现致密砂岩储层Ⅰ类“甜点”与Ⅱ类“甜点”(粗粒岩相)的定量预测.

感谢Geosoftware提供软件支持.

Aki K , Richards P G . Quantitative Seismology: Theory and Methods. San Francisco: WH Freeman & Co, 1980,

Avseth P , Johansen T A , Bakhorji A , et al. Rock-physics modeling guided by depositional and burial history in low-to-intermediate-porosity sandstones. Geophysics, 2014, 79 (2): D115- D121.

DOI

Chen K , Di G D , Zhang J J , et al. Reservoir prediction based on improved U-net convolutional neural network. CT Theory and Applications, 2021, 30 (4): 403- 416.

DOI

Connolly P . Elastic impedance. The Leading Edge, 1999, 18 (4): 438- 452.

DOI

Du J , Zhu G H , Li Y , et al. Exploration and development challenges and technological countermeasures for tight sandstone gas reservoirs in Ordos basin margin: A case study of Linxing-Shenfu Gas Field. Natural Gas Industry, 2022, 42 (1): 114- 124.

DOI

Feng G , Zeng H H , Xu X R , et al. Shear wave velocity prediction based on deep neural network and theoretical rock physics modeling. Frontiers in Earth Science, 2023, 10: 1025635.

DOI

Grana D , Mukerji T , Dvorkin J , et al. Stochastic inversion of facies from seismic data based on sequential simulations and probability perturbation method. Geophysics, 2012, 77 (4): M53- M72.

DOI

He X K , Lou M , Tu Q C , et al. Sweet spot prediction in thick gas reservoirs with low permeability in Huagang Formation of Z gasfield in Xihu Sag, East China Sea Shelf Basin. Oil Geophysical Prospecting, 2023, 58 (6): 1410- 1422.

DOI

Jia A L , Wei Y S , Guo Z , et al. Development status and prospect of tight sandstone gas in China. Natural Gas Industry, 2022, 42 (1): 83- 92.

DOI

Lang X Z , Grana D . Bayesian linearized petrophysical AVO inversion. Geophysics, 2018, 83 (3): M1- M13.

DOI

Law B E . Basin-centered gas systems. AAPG Bulletin, 2002, 86 (11): 1891- 1919.

DOI

Li B Y , Zhang J J , Tu Q C , et al. A method for directly inverting low permeability "Sweet spot" by using elastic impedance equation. CT Theory and Applications, 2019, 28 (4): 407- 416.

DOI

Li H B , Zhang J J , Pan H J , et al. Nonlinear simultaneous inversion of pore structure and physical parameters based on elastic impedance. Science China Earth Sciences, 2021, 64 (6): 977- 991.

DOI

Li K , Yin X Y , Zong Z Y . Petrophysically-driven probabilistic inversion method for phase-constrained prestack earthquakes. Science in China: Earth Sciences, 2020, 50 (6): 832- 850.

Li X Y , Qin R B , Cao J J , et al. Method of connected porosity evaluation and quantitative permeability calculation for complex reservoirs. Oil Geophysical Prospecting, 2022, 57 (2): 377- 385.

DOI

Popov M A , Nuccio V F , Dyman T S , et al. Basin-centered gas systems of the U.S.. U.S. Geological Survey, 2001,

DOI

Ruiz F , Cheng A . A rock physics model for tight gas sand. The Leading Edge, 2010, 29 (12): 1484- 1489.

DOI

Smith T M , Sayers C M , Sondergeld C H . Rock properties in low-porosity/low-permeability sandstones. The Leading Edge, 2009, 28 (1): 48- 59.

DOI

Tutuncu A N , Podio A L , Sharma M M . An experimental investigation of factors influencing compressional-and shear-wave velocities and attenuations in tight gas sandstones. Geophysics, 1994, 59 (1): 77- 86.

DOI

Wang B L , Yin X Y , Zhang F C . Lamé parameters inversion based on elastic impedance and its application. Applied Geophysics, 2006, 3 (3): 174- 178.

DOI

Wei X , Yang Z F , Yan X F , et al. Modified continuous random patchy-saturation model in tight gas detection. Oil Geophysical Prospecting, 2018, 53 (6): 1227- 1234.

DOI

Yang S Y , Zhang J C , Huang W D , et al. "Sweet spot" types of reservoirs and genesis of tight sandstone gas in Kekeya area, Turpan-Hami Basin. Acta Petrolei Sinica, 2013, 34 (2): 272- 282.

DOI

Yin X Y , Cao D P , Wang B L , et al. Research progress of fluid discrimination with pre-stack seismic inversion. Oil Geophysical Prospecting, 2014, 49 (1): 22- 34. 22-34, 46

DOI

Zhao C. 2017. The study of the sweet spot identification method based on stochastic inversion[Master's thesis] (in Chinese). Qingdao: China University of Petroleum (East China).

Zhao J L , Liu J J , Zhang Q H , et al. Overview of geophysical exploration methods and technical of tight sandstone gas reservoirs. Progress in Geophysics, 2017, 32 (2): 840- 848.

DOI

Zhao J Z . Conception, classification and resource potential of unconventional hydrocarbons. Natural Gas Geoscience, 2012, 23 (3): 393- 406.

Zhao Z X , Dong C M , Lin C Y , et al. Classification and origin of "sweet spots" in deep low permeability tight gas reservoirs, Xihu Sag, East China Sea Shelf Basin. Oil & Gas Geology, 2018, 39 (4): 778- 790.

DOI

Zhu H Y , Gong D , Zhang B . A multi-scale geology-engineering sweet spot evaluation method for tight sandstone gas reservoirs. Natural Gas Industry, 2023, 43 (6): 76- 86.

DOI

Zong Z Y , Yin X Y , Wu G C . Elastic impedance variation with angle inversion for elastic parameters. Journal of Geophysics and Engineering, 2012, 9 (3): 247- 260.

DOI

Zou C N , Zhang G S , Yang Z , et al. Geological concepts, characteristics, resource potential and key techniques of unconventional hydrocarbon: On unconventional petroleum geology. Petroleum Exploration and Development, 2013, 40 (4): 385- 399. 385-399, 454

DOI

, 贵东 , 佳佳 , 等. 基于改进U-Net卷积神经网络的储层预测. CT理论与应用研究, 2021, 30 (4): 403- 416.

DOI

, 光辉 , , 等. 鄂尔多斯盆缘致密砂岩气藏勘探开发挑战与技术对策——以临兴—神府气田为例. 天然气工业, 2022, 42 (1): 114- 124.

DOI

贤科 , , 齐催 , 等. 厚层低渗气藏"甜点"预测——以东海陆架盆地西湖凹陷Z气田花港组为例. 石油地球物理勘探, 2023, 58 (6): 1410- 1422.

DOI

爱林 , 云生 , , 等. 中国致密砂岩气开发现状与前景展望. 天然气工业, 2022, 42 (1): 83- 92.

DOI

炳颖 , 佳佳 , 齐催 , 等. 一种利用弹性阻抗方程直接反演低渗"甜点"的方法. CT理论与应用研究, 2019, 28 (4): 407- 416.

DOI

红兵 , 佳佳 , 豪杰 , 等. 基于弹性阻抗的孔隙结构与物性参数非线性同步反演. 中国科学: 地球科学, 2021, 51 (7): 1166- 1180.

DOI

, 兴耀 , 兆云 . 岩石物理驱动的相约束叠前地震概率化反演方法. 中国科学: 地球科学, 2020, 50 (6): 832- 850.

雄炎 , 瑞宝 , 景记 , 等. 复杂储层连通孔隙度评价与渗透率定量计算方法. 石油地球物理勘探, 2022, 57 (2): 377- 385. 377-385, 245

DOI

, 志芳 , 信飞 , 等. 改进型随机斑块饱和模型及其在致密气层检测中的应用. 石油地球物理勘探, 2018, 53 (6): 1227- 1234.

DOI

升宇 , 金川 , 卫东 , 等. 吐哈盆地柯柯亚地区致密砂岩气储层"甜点" 类型及成因. 石油学报, 2013, 34 (2): 272- 282.

DOI

兴耀 , 丹平 , 保丽 , 等. 基于叠前地震反演的流体识别方法研究进展. 石油地球物理勘探, 2014, 49 (1): 22- 34. 22-34, 46

DOI

赵晨. 2017. 基于随机反演的储层"甜点"识别方法研究[硕士论文]. 青岛: 中国石油大学(华东).

军龙 , 建建 , 庆辉 , 等. 致密砂岩气藏地球物理勘探方法技术综述. 地球物理学进展, 2017, 32 (2): 840- 848.

DOI

靖舟 . 非常规油气有关概念、分类及资源潜力. 天然气地球科学, 2012, 23 (3): 393- 406.

仲祥 , 春梅 , 承焰 , 等. 西湖凹陷深层低渗-致密气藏"甜点"类型划分及成因探讨. 石油与天然气地质, 2018, 39 (4): 778- 790.

DOI

海燕 , , . 致密砂岩气储层多尺度"地质—工程"双"甜点"评价新方法. 天然气工业, 2023, 43 (6): 76- 86.

DOI

才能 , 国生 , , 等. 非常规油气概念、特征、潜力及技术——兼论非常规油气地质学. 石油勘探与开发, 2013, 40 (4): 385- 399. 385-399, 454

DOI

Outlines

/