Home Journals Progress in Geophysics
Progress in Geophysics

Abbreviation (ISO4): Prog Geophy      Editor in chief:

About  /  Aim & scope  /  Editorial board  /  Indexed  /  Contact  / 

Research on the characteristics of fluid mobility of the tight reservoir with the NMR fluid distribution pore classification method

  • Peng LIU , 1 ,
  • Bin PENG 1 ,
  • RuiJiang YU 1 ,
  • Ting LI 1 ,
  • Hui GAO 2, 3, 4 ,
  • Teng LI , 2, 3, 4, *
Expand
  • 1 Insititute of Oil Production Technology, PetroChina Yumen Oilfield Company, Jiuquan 735019, China
  • 2 College of Petroleum Engineering, Xi'an Shiyou University, Xi'an 710065, China
  • 3 Engineering Research Center of Development and Management for Low to Ultra-Low Permeability Oil and Gas Reservoirs in West China
  • 4 of Ministry of Education, Xi'an Shiyou University, Xi'an 710065, China 4. Xi'an Key Laboratory of Tight Oil (Shale Oil) Development, Xi'an 710065, China

Received date: 2024-02-16

  Online published: 2025-03-13

Copyright

Copyright ©2025 Progress in Geophysics. All rights reserved.

Abstract

The Chang 8 tight sandstone reservoir is taken as the research object, and combining with the refined classification method of fluid distribution pore based on NMR fractal theory, the fluid motility of three different types of tight sandstone core samples were carried out to quantitatively characterize the fluid motility with the NMR tests. The experimental results show that the fluid motility of different types of cores is the result of the coupling of physical properties, lithological characteristics and microscopic pore inhomogeneity, and the fluid motility of larger pore sizes in cores significantly affects the fluid motility of cores; the fluid motility of different types of cores mainly occurs in P1-2 and P1-3 pores, and the amounts of these two types of pores and the amounts of their movable fluids determine the fluid motility of cores The pore structure coefficient and fluid motility coefficient have certain advantages in quantitative characterization of fluid motility, and the complexity of pore structure and fluid motility of P1-2 and P1-3 pores ultimately determine the fluid motility of cores.

Cite this article

Peng LIU , Bin PENG , RuiJiang YU , Ting LI , Hui GAO , Teng LI . Research on the characteristics of fluid mobility of the tight reservoir with the NMR fluid distribution pore classification method[J]. Progress in Geophysics, 2025 , 40(1) : 294 -303 . DOI: 10.6038/pg2025HH0266

0 引言

全球致密油藏资源量丰富,致密油已经成为非常规油气勘探开发热点(蒲春生等,2023).中国陆相致密油藏成藏地质环境复杂,储层物性条件、流体可动性较差(朱维耀等,2019).致密储层流体可动性与常规砂岩储层存在明显差异,致密储层岩石孔隙为纳米级孔隙空间,孔隙比表面积大,微观非均质性较强,流体与岩石之间界面效应显著,严重地影响了致密储层流体可动性,制约了单井产能及油藏采收率的提高.研究致密油藏流体可动性有利于致密储层分类、油气资源的有效评价,同时对致密油藏的高效开发具有重要意义.
由于致密油藏储层复杂性及特殊性,致密油储层流体可动性研究主要采用核磁共振技术、Micro CT、Nano CT等高精度测试技术(徐永强等,2019王跃祥等,2023),上述测试技术与离心实验或驱替实验相结合是致密油藏流体可动性评价的常用方法,前者反映孔隙结构,并直接评价不同孔喉半径控制的孔隙系统中的可动流体(王继超等,2023),后者有效地评价原油可动性(冯军等,2019).基于离心法的核磁共振技术能够快速、无损测试确定储层岩石全尺度孔隙内流体变化,且成本相对较低.Wu等(2021)利用岩心注水-核磁共振联合方法和岩心离心-核磁共振联合方法,发现前者可动流体饱和度高于后者.为有效表征储层流体的可动性,基于核磁共振测试获取的T2截止值作为可动流体的下限,将储层孔隙内流体划分为可动流体和束缚流体,在此基础上确定可动流体饱和度和可动流体孔隙度(高辉等,2011汪新光等,2020吴海科等,2021).可动流体饱和度直接反映流体在孔隙结构中的赋存及可动性(郑庆华和柳益群,2015白云云等,2018吴蒙等,2021).代全齐等(2016)提出一种新的孔隙结构参数“有效可动流体饱和度”,用于解释孔隙表面亲水性颗粒黏滞和微小喉道约束对孔隙中可动流体的影响.由于孔隙结构复杂和孔径不均匀性,致密砂岩中流体的可动性无法通过基于孔径的分类方法进行准确表征,且基于传统的T2截止值分类方法导致毛细管束缚流体和黏土束缚流体出现误差.Liu等(2021)利用网格模型表征流体的可动性,计算自由流体、毛细管束缚流体和黏土束缚流体的百分比.
国内外现有研究成果表明,致密储层成岩作用和沉积作用诱导形成不同发育程度的次生孔隙、微裂缝以及黏土矿物沉淀和复杂微孔结构,流体的可动性受物性、微观孔隙结构参数、黏土矿物类型及其含量、润湿性等多种因素的影响(李帅等,2022李磊等,2023李腾等,2023).惠威等(2018)研究发现孔隙度和渗透率主要影响可动流体饱和度.王剑超等(2023)认为可动流体孔隙度与岩心孔隙度和渗透率具有较好的相关性.微观孔隙结构参数是可动流体饱和度的关键制约因素(吴松涛等,2019夏玉磊等,2024).吴蒙等(2021)发现喉道半径是控制致密砂岩储层流体可动性的主要因素.李闽等(2018)研究认为孔喉连通性是有效流动流体饱和度的关键控制因素;且黏土矿物含量和产状破坏并降低孔隙间连通性,导致束缚水含量升高;微裂缝的发育增强孔隙连通性, 提高储层可动流体含量.庞玉东等(2023)研究发现孔喉连通性好坏与复杂程度是控制流体可动性的关键;孔喉结构越发育,孔喉连通越性好,非均质性越弱,越有利于致密砂岩油藏可动流体的赋存和渗流.
基于此,本次研究以鄂尔多斯盆地东南部三叠系延长组长8段油藏为研究对象,在前期大量物性测试的基础之上,筛选了三种典型岩心,开展了流体可动性核磁共振测试,结合基于核磁共振分形理论的流体分布孔隙划分方法,对不同类型孔隙中流体可动性进行了定量表征.

1 实验样品及实验方法

1.1 实验样品

实验用岩心采集自鄂尔多斯盆西南部庆阳地区三叠系延长组长8段油藏,前期针对长8油藏孔渗物性的大量测试研究结果表明,长8油藏孔隙度介于2.88% ~11.87%, 平均值为9.28%, 水平层理方向气测渗透率介于0.0032×10-3~1.1057×10-3μm2,平均值为0.1538×10-3μm2,为典型的致密油藏.长8油藏岩石类型为岩屑长石砂岩,储层中具有一定含量的黏土矿物含量.长8油藏储层微观非均质性极强,储层岩心排驱压力介于0.254~38.474 MPa,平均喉道半径介于0.024~0.508μm.基于岩心饱和水核磁共振测试结果,差异性对比饱和水岩心核磁共振T2谱形态,长8油藏岩心可区分出Ⅰ型、Ⅱ型和Ⅲ型三种不同类型(图 1).Ⅰ型、Ⅱ型和Ⅲ型岩心饱和蒸馏水核磁共振T2谱均表现为双峰特征,Ⅰ型岩心饱和蒸馏水核磁共振T2谱左峰显著优于右峰,Ⅱ型岩心饱和蒸馏水核磁共振T2谱右峰优于左峰,Ⅲ型岩心饱和蒸馏水核磁共振T2谱右峰几乎不发育(图 1),不同类型岩心基础物性特征见表 1.
图1 不同类型岩心饱和蒸馏水核磁共振T2谱图

Fig 1 The NMR T2 spectra of different types of tight sandstone core samples under saturated distilled water

表1 典型致密砂岩岩心物性测试结果

Table 1 The results of the properties of the typical tight core samples

物性参数 Ⅰ型 Ⅱ型 Ⅲ型
长度/mm 24.95 24.94 24.96
直径/mm 49.58 50.06 49.68
孔隙度/% 4.62 11.27 2.88
渗透率/10-3μm2 0.0128 1.1057 0.0032
全岩矿物含量 石英/% 45.50 30.00 40.20
长石/% 26.10 31.80 29.40
方解石/% 11.80 23.10 4.60
黏土矿物/% 16.60 15.10 25.80
黏土矿物含量 伊蒙混层/% 12.00 33.00 9.00
伊利石/% 33.00 31.00 15.00
高岭石/% 22.00 10.00 25.00
绿泥石/% 33.00 26.00 51.00
高压压汞参数 排驱压力/MPa 7.8022 1.7537 38.4739
平均孔喉半径/μm 0.029 0.082 0.012
均质系数 0.247 0.159 0.217
分选系数 0.022 0.079 0.008
退汞效率/% 36.01 30.21 39.73
不同类型岩心流体可动性研究基于饱和蒸馏水岩心展开,蒸馏水购买自比克曼生物科技有限公司,分析纯;流体可动性分析测试用离心机为YC-1C型核磁岩心分析离心机,该仪器最高转速可达10000 r/min;饱和蒸馏水岩心及留心后岩心核磁共振测试基于PQ001型台式核磁共振分析仪展开,该核磁共振仪采用磁场强度为0.28±0.03 T的永磁体,射频脉冲频率范围为1~30 MHz, 射频频率控制精度为0.1 Hz,探头线圈直径为25 mm,可以完成最小长度为25 mm的小直径岩心核磁共振T2谱测试.

1.2 实验流程

不同类型岩心流体可动性研究实验测试基于石油天然气行业标准SY/T 5336—2006《岩心分析方法》和SY/T 6490—2016《岩样核磁共振参数实验室测量规范》开展,具体实验流程如下:
(1) 基于标准岩心制作实验测试用岩心,在测量岩心直径、长度等参数后,进行洗油;
(2) 洗油结束后,在105 ℃下干燥48 h,测岩心干重,并利用稳态法测量其空气渗透率;
(3) 采用NM-V真空加压饱和装置,使用蒸馏水模拟地层水饱和岩心48 h,对饱和蒸馏水岩心进行称重计算孔隙度,并开展饱和蒸馏水条件下核磁共振T2谱测试;
(4) 对饱和水岩心利用YC-1C型核磁岩心分析离心机开展5000 r/min下的离心测试,并对离心后岩心再次开展核磁共振T2谱测试.

1.3 基于核磁共振分形理论的流体分布孔隙划分

核磁共振是表征致密砂岩油藏等多孔介质孔隙分布特征的一种高效无损测试技术,核磁共振横向弛豫时间T2与孔隙半径之间具有良好的线性对应关系.因此,可以用横向弛豫时间T2近似地表征岩心中流体分布孔隙的尺寸大小(党海龙等,2020王香增等,2020).致密砂岩油藏作为一种典型的多孔介质,孔隙分布具有典型的分形特征,通过构建不同核磁共振横向弛豫时间T2与核磁共振信号强度之间的线性关系,以核磁共振分形维D=2为界限,结合不同核磁共振横向弛豫时间下岩心孔隙分形维偏差值突变系数,能够实现流体分布孔隙的精细划分(Li et al.,2023李腾等,2023).基于分形理论,核磁共振分形维与核磁共振横向弛豫时间之间的关系为:
$\lg \left(S_v\right)=(3-D) \lg T_2+(D-3) \lg T_{2_{\max }},$
式中,Sv为小于核磁共振横向弛豫时间T2的累积信号幅度百分比,单位为%; D为孔隙分形维,无量纲;T2max为最大横向弛豫时间,单位为ms.
据此,不同横向弛豫时间下的孔隙分形维可表征为:
$\lg \left(S_{v i}\right)=\left(3-D_i\right) \lg \left(T_{2 i}\right)+\left(D_i-3\right) \lg \left(T_{2 \max }\right),$
式中,Svi为小于横向驰豫时间T2i下的累积信号幅度百分比,单位为%; Di为横向驰豫时间T2i下的分形维,无量纲.
不同核磁共振横向弛豫时间下岩心孔隙分形维偏差值突变系数可表征为:
$R^{2^{\prime}}=\frac{R_{i+1}^2-R_i^2}{R_i^2},$
式中,Ri2为横向驰豫时间T2i下的lg(T2i)与lg(Svi)相关系数;Ri+12为横向驰豫时间T2i+1下的lg(T2i+1)与lg(Svi+1)相关系数.
基于此,可以对饱和蒸馏水岩心流体分布孔隙进行精细划分和定量表征.

2 实验结果及讨论

2.1 不同类型岩心物性特征

石英、长石和方解石是不同类型岩心中的主要矿物,Ⅱ型岩心中方解石含量较高,而Ⅲ型岩心中黏土矿物含量较高(表 1),较高的黏土矿物含量可能对岩心中流体流动特征产生不利影响.Ⅰ型岩心铸体薄片和扫描电镜显示岩心中孔隙尺寸较大,孔隙类型表现为以残余粒间孔为主,发育有少量的溶蚀孔,但孔隙之间连通性较差,孔喉特征以缩颈状为主;岩心镜下孔隙特征在毛管压力曲线上亦有类似的特征,Ⅰ型岩心排驱压力较高,均质系数较高而分选系数略低,表明岩心中孔隙分布尺度有一定的集中现象(图 2a).Ⅱ型岩心铸体薄片显示岩心中孔隙主要为残余粒间孔,少见溶蚀孔的发育,Ⅱ型岩心孔隙尺寸较大且孔隙之间连通性较好,但孔喉多以缩颈状和薄片状发育;此外,铸体薄片和扫描电镜均显示岩心中有微裂缝的发育,这对流体的可动性是极为有利的;Ⅱ型岩心排驱压力较小,分选系数较高,但均质系数较小,这意味着Ⅱ型岩心大尺寸和小尺寸孔隙的发育是极不均匀的(图 2b),也反映其具有较低的退汞效率(表 1).Ⅲ型岩心铸体薄片和扫描电镜特征下均显示岩心中孔隙发育较为孤立,孔隙尺寸差异显著,且碎屑颗粒表面有大量的泥质发育,这也导致了Ⅲ型岩心较高的排驱压力以及较低的分选系数(图 2c).不同类型岩心物性特征的差异性也从侧面反映了长8油藏流体可动性的强非均质性.
图2 不同类型岩心物性特征

(a)Ⅰ型岩心;(b)Ⅱ型岩心;(c)Ⅲ型岩心.

Fig 2 The property characteristics for various types of tight sandstone core samples

(a) Type I core; (b) Type II core; (c) Type III core.

2.2 流体分布孔隙的精细划分

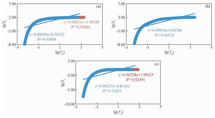
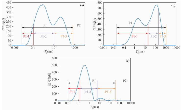
采用基于核磁共振分形理论的流体分布孔隙精细划分方法,对三种不同类型岩心流体分布孔隙进行了划分.Ⅰ型和Ⅲ型岩心分别在横向弛豫时间T2=748.8104 ms和T2=391.7101 ms处可初步将岩心中的孔隙划分为P1和P2两种类型,Ⅱ型岩心中仅存在P1类孔隙(图 3).相较于Ⅰ型和Ⅲ型岩心中存在的两种不同类型孔隙,Ⅱ型岩心孔隙相对简单,这预示着Ⅱ型岩心可能具有相对简单的孔隙结构.在孔隙类型初步划分的基础之上,利用偏差值突变系数可以对P1和P2类孔隙做进一步的精细划分.Ⅰ型岩心分别以T2=0.16447 ms和T2=14.14791 ms进一步划分出P1 -1、P1 -2和P1 -3三种不同类型的孔隙,Ⅱ型和Ⅲ型岩心则分别以T2=19.56398 ms和T2=222.1947 ms、T2=0.15167 ms和T2=8.70359 ms分别对P1类孔隙进行深一步的划分,不同类型岩心中P2类孔隙较为简单,不做进一步的划分(图 4).基于此,对三种不同类型岩心的孔隙进行了划分(图 5).
图3 不同类型岩心流体分布孔隙初步划分

(a)Ⅰ型岩心;(b)Ⅱ型岩心;(c)Ⅲ型岩心.

Fig 3 The primary classification of pores for the distribution of fluid in various types of tight sandstone core samples

(a) Type I core; (b) Type II core; (c) Type III core.

图4 不同类型岩心流体分布孔隙精细划分

(a)Ⅰ型岩心;(b)Ⅱ型岩心;(c)Ⅲ型岩心.

Fig 4 The refined classification of pores for the distribution of fluid in various types of tight sandstone core samples

(a) Type I core; (b) Type II core; (c) Type III core.

图5 不同类型岩心流体分布孔隙划分结果

(a)Ⅰ型岩心;(b)Ⅱ型岩心;(c)Ⅲ型岩心.

Fig 5 The results of the refined classification of pores for the distribution of fluid in various types of tight sandstone core samples

(a) Type I core; (b) Type II core; (c) Type III core.

不同类型岩心对P1类孔隙划分对应的横向弛豫时间表明,Ⅱ型岩心流体分布孔隙划分对应的横向弛豫时间最大,而Ⅲ型岩心最小,这在一定程度上也反映了不同类型岩心中孔隙对应的尺寸范围.较大的孔隙尺寸在一定程度上意味着岩心中流体受毛细管力的束缚作用更弱,流体流动能力更强.

2.3 不同类型岩心流体可动性特征

2.3.1 流体可动性整体特征

致密砂岩储层孔渗性特征、岩石学特征以及孔隙结构特征对流体可动性具有重要的影响作用,流体可动性在一定程度上决定了致密储层中可动流体的数量.在本次研究过程中,通过对比不同类型岩心离心前后核磁共振T2谱峰形面积的差异变化,对岩心流体可动性进行定量表征,即:
$\eta=100 \times\left(S_1-S_2\right) / S_1,$
式中,S1为饱和蒸馏水条件下核磁共振T2谱峰形面积,无量纲;S2为离心后核磁共振T2谱峰形面积,无量纲;η为流体可动性,单位为%.
Ⅱ型岩心具有较低的排驱压力,但其孔隙分选系数较高,Ⅱ型岩心表现为较高的流体可动性(51.04%),这主要是由于Ⅱ型岩心中大尺寸孔隙有一定程度的发育,较大尺寸孔隙的发育导致其孔隙分选系数增加,但较大尺寸的孔隙利于流体的快速排出;Ⅲ型岩心极高的排驱压力、极低的分选系数以及较高的黏土矿物含量,尽管Ⅲ型岩心孔隙分选系数较低,但Ⅲ型岩心孔隙尺寸较小,这决定了该类岩心流体流动能力较差,其流体可动性仅为2.88%;Ⅰ型岩心矿物组分特征与Ⅱ型岩心相近,但相对较高的排驱压力导致流体流动在一定程度上受限,该类岩心流体可动性为28.92%(图 6).
图6 不同类型岩心流体可动性柱状图

Fig 6 The histogram of fluid mobility for various types of tight sandstone core samples

离心后,Ⅰ型和Ⅱ型岩心核磁共振T2谱图由双峰变为单峰状态,这也表明可动流体主要发生在右峰(图 7).Ⅱ型岩心孔喉较为粗大,右峰中可动流体几乎完全排除,但左峰中流体几乎未被动用.毛管压力测试结果显示,Ⅱ型岩心均质系数较低,尽管Ⅱ型岩心孔喉较为粗大,但岩心中较小尺寸孔喉与大尺寸孔喉连通性较差,这导致了左峰中表征较小尺寸孔隙中的流体几乎未被动用.Ⅰ型岩心物性特征较Ⅱ型岩心略差,但其均质系数中等,其左峰中有部分流体被动用.Ⅲ型岩心岩石学特征、微观孔隙结构特征等储层物性均较差,这也导致Ⅲ型岩心中流体动用难度较大.
图7 不同类型岩心离心前后核磁共振T2谱图

(a)Ⅰ型岩心;(b)Ⅱ型岩心;(c)Ⅲ型岩心.

Fig 7 The NMR T2 spectra for various types of tight sandstone core samples before and after centrifugation

(a) Type I core; (b) Type II core; (c) Type III core.

2.3.2 不同类型孔隙流体可动性特征

基于前期对不同类型岩心流体分布孔隙的精细划分,结合公式(4)对不同类型孔隙中流体可动性进行了定量表征.Ⅰ型岩心P1 -1类孔隙中流体几乎未被动用,P1 -3和P2类孔隙中流体可动性较高,但Ⅰ型岩心中P2类孔隙数量较少,P1 -3类孔隙是Ⅰ型岩心流体可动性的主要贡献者;Ⅱ型岩心不具有P2类孔隙,P1 -2和P1 -3类孔隙中流体可动性较高,尤其是P1 -3类孔隙;Ⅲ型岩心中不同类型孔隙中流体可动性均较低,但仍表现出P1 -2和P1 -3类孔隙中流体可动性较高的特征(图 8).
图8 不同类型孔隙中流体可动性特征

Fig 8 The characteristics of fluid mobility in various types of pores

不同类型岩心流体可动性与岩心自身孔隙结构以及主要孔隙类型中流体可动性密切相关,为了更好地表征不同类型岩心流体可动性,本次研究提出利用流体可动性系数和孔隙结构系数两个参数对流体可动性进行表征.孔隙结构系数是岩心中主要孔隙类型之间的结构复杂度,其可用主要类型孔隙的标准偏差进行表征,其可用公式(5)表征.流体可动性系数是岩心中主要孔隙的体积及该孔隙流体可动性的综合参数,其可用公式(6)进行表征:
$s=\sqrt{\frac{\sum\limits_{i=1}^N\left(v_{m p i}-v_a\right)^2}{N}},$
$f=\left(v_{m p} / v_{\text {total }}\right) * \eta_{m p},$
式中,s为孔隙结构系数,无量纲;vmpi为第i中主要孔隙的峰形面积,无量纲;va为不同类型孔隙的峰形面积的平均值,无量纲;N为岩心中孔隙类型,无量纲;f为流体可动性系数,无量纲;vmp为主要孔隙类型的峰形面积,无量纲;vtotal为不同类型孔隙的峰形面积,无量纲;ηmp为主要孔隙类型的流体可动性,单位为%.
孔隙结构系数在一定程度上反映了孔隙结构的复杂程度,孔隙结构系数越大,孔隙结构越复杂,流体流动能力越弱,不同类型岩心孔隙结构系数与流体可动性之间呈负相关关系(图 9).流体可动性系数则主要反映了岩心中主要孔隙的流体可动性,流体可动性系数越大表明该类型孔隙中流体可动性越强,对三种不同类型岩心中主要类型孔隙流体可动性系数研究表明,流体可动性系数与流体可动性之间呈显著的正相关关系(图 9).孔隙结构以及岩心中主要孔隙的流体可动性对岩心整体流体可动性具有明显的控制作用,尤其是岩心中的主要孔隙,其对岩心整体流体可动性起关键控制作用.
图9 孔隙结构系数和流体可动性系数与流体可动性关系

Fig 9 The relationships between pore structure coefficient and fluid mobility and fluid mobility coefficient and fluid mobility

3 结论

本次研究,针对筛选的三种不同类型岩心开展了流体可动性核磁共振测试,结合基于核磁共振分形理论的流体分布孔隙划分方法,对岩心整体流体可动性以及不同类型孔隙流体可动性进行了定量表征,取得如下结论:
(1) 不同类型岩心流体可动性主要表现为较大尺寸孔隙中流体具有较强的可动性,左峰中流体较难或几乎不可动用.
(2) P1 -2和P1 -3类孔隙中流体可动性对不同类型岩心流体可动性具有决定性的作用;P1 -1类孔隙中流体几乎不可动用,而P2类孔隙数量较少,对流体可动性贡献程度不明显.
(3) 不同类型岩心流体可动性是岩心物性、岩性及微观结构非均质性耦合作用的结果,物性和岩石学特征从宏观角度控制了流体可动性;岩心中主要孔隙的孔隙结构以及流体可动性对岩心流体可动性具有显著的控制作用,孔隙结构系数以及流体可动性系数在表征流体可动性方面具有极好的指示作用.

感谢审稿专家提出的修改意见和编辑部的大力支持!

Bai Y Y , Sun W , Ren D Z . Characteristics and controlling factors of movable fluid in low-permeability and tight sandstone reservoirs in Maling Oilfield. Fault-Block Oil and Gas Field, 2018, 25 (4): 455- 458.

DOI

Dai Q Q , Luo Q , Zhang C , et al. Pore structure characteristics of tight-oil sandstone reservoir based on a new parameter measured by NMR experiment: a case study of seventh Member in Yanchang Formation, Ordos Basin. Acta Petrolei Sinica, 2016, 37 (7): 887- 897.

DOI

Dang H L , Wang X F , Cui P X , et al. Research on the characteristics of spontaneous imbibition oil displacement with the low permeability tight-sandstone oil reservoir using the Nuclear Magnetic Resonance (NMR) technology. Progress in Geophysics, 2020, 35 (5): 1759- 1769.

DOI

Feng J , Zhang B W , Feng Z H , et al. Crude oil mobility and its controlling factors in tight sand reservoirs in northern Songliao Basin, China. Petroleum Exploration and Development, 2019, 46 (2): 312- 321.

DOI

Gao H , Sun W , Tian Y H , et al. Application of NMR technique in evaluation of micro-pore structure in extra-low permeability sandstone. Progress in Geophysics, 2011, 26 (1): 294- 299.

DOI

Hui W , Jia Y X , Cheng F , et al. Impact of microscopic pore structure on moveable fluid saturation in He8 reservoir of eastern Sulige Gasfield. Petroleum Geology and Recovery Efficiency, 2018, 25 (5): 10- 16.

DOI

Li L , Bao Z D , Li Z C , et al. Microscopic pore structure and fractal characteristics of tight sandstone gas reservoir: a case study of Denglouku Formation in Changling Gas Field, Songliao Basin. Natural Gas Geoscience, 2023, 34 (6): 1039- 1052.

DOI

Li M , Wang H , Chen M . Distribution characteristics and influencing factors of movable fluid in tight sandstone reservoirs: a case study of Lucaogou Formation in Jimsar Sag, NW China. Lithologic Reservoirs, 2018, 30 (1): 140- 149.

DOI

Li S , Yang S L , Wang S , et al. Pore structure and fluid mobility characteristics of tight sedimentary tuff reservoir in Santanghu basin. Journal of Xi'an Shiyou University (Natural Science Edition), 2022, 37 (2): 45- 52.

DOI

Li T , Gao H , Ni J , et al. Research on the differential oil producing in the various scale pores under different CO2 flooding modes with a fluid distribution pore classification method. Energy & Fuels, 2023, 37 (5): 3775- 3784.

DOI

Li T , Gao H , Wang M Q , et al. Study on movability of spontaneous imbibition oil recovery from tight reservoirs based on nuclear magnetic resonance pore classification method. Chinese Journal of Theoretical and Applied Mechanics, 2023, 55 (3): 643- 655.

DOI

Liu X F , Dong X , Golsanami N , et al. NMR characterization of fluid mobility in tight sand: Analysis on the pore capillaries with the nine-grid model. Journal of Natural Gas Science and Engineering, 2021, 94: 104069

DOI

Pang Y D , Liu Y L , Zhang L , et al. Micro-pore structure and fluid mobility of tight sandstone reservoirs of Chang 8 Member in Huachi area in Ordos Basin. Petroleum Geology & Oilfield Development in Daqing, 2023, 42 (3): 1- 10.

DOI

Pu C S , Kang S F , Pu J Y , et al. Progress and development trend of water huff-n-puff technology for horizontal wells in tight oil reservoirs in China. Acta Petrolei Sinica, 2023, 44 (1): 188- 206.

DOI

Wang J C , Cui P X , Liu S S , et al. Distribution characteristics of movable fluid in shale oil reservoirs with different pore structures. Journal of Xi'an Shiyou University (Natural Science Edition), 2023, 38 (1): 59- 68.

DOI

Wang J C , Yu Y , Lin L B , et al. Influencing factors of mobile fluid Saturationin the tight sandstone reservoir in the 4th member of Xujiahe Formation (T3x4), western Sichuan basin. Mineralogy and Petrology, 2023, 43 (2): 95- 107.

DOI

Wang X G , Zhang C , Zhang H , et al. Quantitative characterization method of movable fluid percentage in low permeability reservoirs of Weixinan sag. China Offshore Oil and Gas, 2020, 32 (6): 90- 98.

DOI

Wang X Z , Zhao X S , Dang H L , et al. Research on the characteristics of spontaneous imbibition and displacement of the tight reservoir with the NMR method. Progress in Geophysics, 2020, 35 (5): 1870- 1877.

DOI

Wang Y X , Xie B , Lai Q , et al. Evaluation of pore structure and classification in tight gas reservoir based on NMR logging. Progress in Geophysics, 2023, 38 (2): 759- 767.

DOI

Wu H K , Cao K , Zhao F F . NMR experimental study of movable fluid saturation in low permeability sedimentary rocks. Natural Gas Geoscience, 2021, 32 (3): 457- 463.

DOI

Wu M , Qin Y , Wang X Q , et al. Fluid mobility and its influencing factors of tight sandstone reservoirs in China. Journal of Jilin University (Earth Science Edition), 2021, 51 (1): 35- 51.

DOI

Wu S T , Li S X , Yuan X J , et al. Fluid mobility evaluation of tight sandstones in Chang 7 member of Yanchang Formation, Ordos Basin. Journal of Earth Science, 2021, 32 (4): 850- 862.

DOI

Wu S T , Lin S Y , Chao D J , et al. Fluid mobility evaluation based on pore structure investigation in tight sandstones: case study of Upper Triassic Chang 6 tight sandstones in Huaqing area, Ordos Basin. Natural Gas Geoscience, 2019, 30 (8): 1222- 1232.

DOI

Xia Y L , Lan J P , Yao W . Micropore structure and movable fluid distribution characteristics of tight sandstone reservoirs: taking the He 8 reservoir in the Shenmu area of the eastern Ordos Basin as an example. Bulletin of Geological Science and Technology, 2024, 43 (2): 41- 51.

DOI

Xu Y Q , He Y H , Bu G P , et al. Establishment of classification and evaluation criteria for tight reservoirs based on characteristics of microscopic pore throat structure and percolation: a case study of Chang 7 reservoir in Longdong area, Ordos Basin. Petroleum Geology & Experiment, 2019, 41 (3): 451- 460.

DOI

Zheng Q H , Liu Y Q . Microscopic pore structure and movable fluid saturation of Ultra Low permeability reservoir. Geological Science and Technology Information, 2015, 34 (4): 124- 131.

Zhu W Y , Yue M , Liu Y F , et al. Research progress on tight oil exploration in China. Chinese Journal of Engineering, 2019, 41 (9): 1103- 1114.

DOI

云云 , , 大忠 . 马岭油田致密砂岩储层可动流体赋存特征及控制因素. 断块油气田, 2018, 25 (4): 455- 458.

DOI

全齐 , , , 等. 基于核磁共振新参数的致密油砂岩储层孔隙结构特征——以鄂尔多斯盆地延长组7段为例. 石油学报, 2016, 37 (7): 887- 897.

DOI

海龙 , 小锋 , 鹏兴 , 等. 基于核磁共振技术的低渗透致密砂岩油藏渗吸驱油特征研究. 地球物理学进展, 2020, 35 (5): 1759- 1769.

DOI

, 博为 , 子辉 , 等. 松辽盆地北部致密砂岩储集层原油可动性影响因素. 石油勘探与开发, 2019, 46 (2): 312- 321.

DOI

, , 育红 , 等. 核磁共振技术在特低渗砂岩微观孔隙结构评价中的应用. 地球物理学进展, 2011, 26 (1): 294- 299.

DOI

, 昱昕 , , 等. 苏里格气田东部盒8储层微观孔隙结构及可动流体饱和度影响因素. 油气地质与采收率, 2018, 25 (5): 10- 16.

DOI

, 志东 , 忠诚 , 等. 致密砂岩气储层微观孔隙结构与分形特征——以松辽盆地长岭气田登娄库组为例. 天然气地球科学, 2023, 34 (6): 1039- 1052.

DOI

, , . 致密砂岩储层可动流体分布及影响因素研究——以吉木萨尔凹陷芦草沟组为例. 岩性油气藏, 2018, 30 (1): 140- 149.

DOI

, 胜来 , , 等. 三塘湖盆地致密沉凝灰岩储层孔隙结构及流体可动性特征. 西安石油大学学报(自然科学版), 2022, 37 (2): 45- 52.

DOI

, , 美强 , 等. 基于核磁共振孔隙划分的致密油藏自发渗吸原油可动性研究. 力学学报, 2023, 55 (3): 643- 655.

DOI

玉东 , 元良 , , 等. 鄂尔多斯盆地华池地区长8段致密砂岩储层微观孔隙结构及流体可动性. 大庆石油地质与开发, 2023, 42 (3): 1- 10.

DOI

春生 , 少飞 , 景阳 , 等. 中国致密油藏水平井注水吞吐技术进展与发展趋势. 石油学报, 2023, 44 (1): 188- 206.

DOI

新光 , , , 等. 涠西南凹陷低渗储层可动流体百分数定量表征方法. 中国海上油气, 2020, 32 (6): 90- 98.

DOI

继超 , 鹏兴 , 双双 , 等. 不同孔隙结构页岩油储层可动流体分布特征. 西安石油大学学报(自然科学版), 2023, 38 (1): 59- 68.

DOI

剑超 , , 良彪 , 等. 川西坳陷须家河组四段致密砂岩储层可动流体饱和度影响因素. 矿物岩石, 2023, 43 (2): 95- 107.

DOI

香增 , 习森 , 海龙 , 等. 基于核磁共振的致密油藏自发渗吸及驱替特征研究. 地球物理学进展, 2020, 35 (5): 1870- 1877.

DOI

跃祥 , , , 等. 基于核磁共振测井的致密气储层孔隙结构评价与分类. 地球物理学进展, 2023, 38 (2): 759- 767.

DOI

海科 , , 方方 . 低渗沉积岩可动流体饱和度核磁共振实验. 天然气地球科学, 2021, 32 (3): 457- 463.

DOI

, , 晓青 , 等. 中国致密砂岩储层流体可动性及其影响因素. 吉林大学学报(地球科学版), 2021, 51 (1): 35- 51.

DOI

松涛 , 士尧 , 代君 , 等. 基于孔隙结构控制的致密砂岩可动流体评价——以鄂尔多斯盆地华庆地区上三叠统长6致密砂岩为例. 天然气地球科学, 2019, 30 (8): 1222- 1232.

DOI

玉磊 , 建平 , . 致密砂岩储层微观孔喉结构及可动流体分布特征: 以鄂尔多斯盆地东部神木地区盒8段储层为例. 地质科技通报, 2024, 43 (2): 41- 51.

DOI

永强 , 永宏 , 广平 , 等. 基于微观孔喉结构及渗流特征建立致密储层分类评价标准——以鄂尔多斯盆地陇东地区长7储层为例. 石油实验地质, 2019, 41 (3): 451- 460.

DOI

庆华 , 益群 . 特低渗透储层微观孔隙结构和可动流体饱和度特征. 地质科技情报, 2015, 34 (4): 124- 131.

维耀 , , 昀枫 , 等. 中国致密油藏开发理论研究进展. 工程科学学报, 2019, 41 (9): 1103- 1114.

DOI

Outlines

/