Home Journals Progress in Geophysics
Progress in Geophysics

Abbreviation (ISO4): Prog Geophy      Editor in chief:

About  /  Aim & scope  /  Editorial board  /  Indexed  /  Contact  / 

Research on microscopic damage characteristics of fracturing fluid in different types of tight sandstone reservoirs with the NMR

  • YongGang XIE , 1, 2 ,
  • HuaQiang SHI 1, 2 ,
  • XiaoLin LI 1, 2 ,
  • LiAn ZHU 1, 2 ,
  • LeKai HOU 1, 2 ,
  • XiaoRui LIU 1, 2 ,
  • Li DING 1, 2 ,
  • XiaoHang LI 3, 4, 5 ,
  • Teng LI , 3, 4, 5, *
Expand
  • 1 Changqing Oilfield Branch Oil and Gas Technology Research Institute, Xi'an 710021, China
  • 2 National Engineering Laboratory for Exploration and Development of Low Permeability Oil and Gas Fields, Xi'an 710021, China
  • 3 College of Petroleum Engineering, Xi'an Shiyou University, Xi'an 710065, China
  • 4 Engineering Research Center of Development and Management for Low to Ultra-Low Permeability Oil and Gas Reservoirs in West China of Ministry of Education, Xi'an Shiyou University, Xi'an 710065, China
  • 5 Xi'an Key Laboratory of Tight Oil (Shale Oil) Development, Xi'an 710065, China

Received date: 2024-07-26

  Online published: 2025-05-09

Copyright

Copyright ©2025 Progress in Geophysics. All rights reserved.

Abstract

The microscopic pore structure of tight sandstone reservoirs exhibits strong heterogeneity, and the characteristics of hydraulic fracturing fluid damage vary widely. By finely classifying the types of tight sandstone reservoirs and clarifying the microscopic damage characteristics of different types of tight sandstone reservoirs, effective guidance can be provided for hydraulic fracturing treatments of tight sandstone reservoirs. Based on this, the study focuses on the tight sandstone reservoirs of the Shanxi Formation in the northeastern part of the Ordos Basin. Building upon a refined characterization of reservoir types, nuclear magnetic resonance (NMR) quantitative characterization technology was employed to study the microscopic damage characteristics of different types of reservoirs. The results show that the tight sandstone reservoirs of the Shanxi Formation can be classified into three types: type Ⅰ, type Ⅱ, and type Ⅲ. Type Ⅰ reservoirs exhibit good porosity and permeability properties, high pore-throat selectivity coefficients, and a high percentage of movable fluids. Type Ⅱ reservoirs have relatively good porosity and permeability properties, good pore-throat selectivity coefficients but poor fluid mobility, while Type Ⅲ reservoirs exhibit overall poor physical characteristics. The results of NMR T2 spectra and T1-T2 spectra of hydraulic fracturing fluid microscopic damage show that Types Ⅰ and Ⅲ reservoirs suffer more significant fluid damage, which is closely related to the development of large pores and microfractures in these two types of reservoirs.

Cite this article

YongGang XIE , HuaQiang SHI , XiaoLin LI , LiAn ZHU , LeKai HOU , XiaoRui LIU , Li DING , XiaoHang LI , Teng LI . Research on microscopic damage characteristics of fracturing fluid in different types of tight sandstone reservoirs with the NMR[J]. Progress in Geophysics, 2025 , 40(2) : 568 -579 . DOI: 10.6038/pg2025II0219

0 引言

致密储层由于其微观孔隙结构复杂、孔渗物性较差等特征严重制约流体运移、压裂改造效果及气藏高效开采效果.在致密砂岩气藏开发前期进行综合性的精细储层特征研究、储层评价和优化分类研究,对于指导致密砂岩气藏的合理开发具有重要作用.
国内外学者针对致密砂岩储层特征及分类已经开展了大量研究工作,由于受不同物源、地质构造及成岩作用影响,不同研究区不同致密砂岩储层存在显著差异性,仍然需要开展研究区致密砂岩储层特征分析及分类.致密砂岩储层发育微纳米级孔喉结构,呈现孔喉半径狭小、连通性较差和非均质性较强的复杂孔喉缝系统(皮伟和陈敬轶,2023袁红旗等,2023王伟等,2021),矿物组成也明显不同(彭颖锋等,2021).为准确开展储层特征分类评价工作,关键在于优选能够表征储层特征的参数,例如物性参数、孔喉缝参数及类型、含油/气性、脆性、岩性、沉积相、渗流及生产参数等(仓辉等,2023孟婧等,2023吴云飞等,2023Wang et al., 2023任杰等,2023).储层分类评价目的是寻找优质储层、挖掘差储层.目前,关于致密砂岩储层分类方法有很多,主要包括基于测井资料的常规测井和核磁共振测井分类方法,基于分形理论的(特殊)参数分类法,聚类分析法、灰色关联分析法、多元分类法、模糊理论等数学方法(徐永强等,2019陈罗元等,2021陈富瑜等,2022李彦泽等,2022王跃祥等,2023).其中测井资料可直接反映孔隙结构,但成本较高;(特殊)参数分类法通常具有一定适用性;数学方法减少主观因素影响,但其过多依赖于参数优选、强调样本数学含义而忽略物理参数意义.因此,综合多种分析方法,李彦泽等通过灰色关联选取储层评价的主控因素,多元分析及信息叠加、结合概率分布函数的聚类分析共同实现了低渗-致密砂岩储层综合分类(李彦泽等,2022).
为高效开发致密砂岩油气藏,采用人工压裂措施改造储层,但在压裂液压裂储层同时,其通过裂缝侵入致密储层基质孔隙内,与储层矿物发生水-岩作用,同时还可能发生吸附、水锁、固相堵塞等现象(郭建春等,2019刘博峰等,2021刘会锋等,2021Wang et al., 2021王涛等,2023).前人研究成果表明压裂液对致密砂岩储层微观孔隙结构具有一定伤害性,表现为岩心渗透率降低(余翠沛等,2022).目前,采用扫描电镜、铸体薄片、压汞及核磁共振等多种技术(王明磊等,2015李宁等,2016梅宸等,2021祁生金等,2021),开展压裂液渗吸或驱替伤害性实验,定量化对比研究致密储层孔隙结构变化特征.压裂液渗吸进入储层初始阶段,优先在较小孔喉处产生液相滞留—水锁,附着于岩石颗粒表面及孔隙的边、角狭窄部位,添加防水锁剂有助于减缓或恢复岩心渗透率(王明磊等,2015马伟云等,2024).压裂液会引起蒙脱石水化膨胀、高岭石与伊利石松散,丝缕状伊利石易形成微孔产生水锁,富含镁、铁的绿泥石产生遇酸性预冲洗液形成沉淀物,最终这将导致岩石骨架失稳(李培月等,2023).赵金省等(2022)基于核磁共振,明确了压裂液对储层基质的伤害主要是对储层中孔和大孔的伤害.祁生金等(2021)利用CT扫描获取了压裂液微粒堵塞损害分布规律,残渣大部分滞留在岩心前段,孔道堵塞后难以返排出分,岩心后部仅有极少量残渣.鉴于压裂液对致密储层不同伤害作用,其微观伤害机理也不同(张传保等,2022),现有研究仅仅是单一伤害性的分析评价,微观分析不够透彻,且不同类型储层产生压裂液伤害性存在差异性.因此,需要明确不同类型储层的压裂液主要伤害作用、伤害的主要孔隙尺度范围,才能为致密砂岩油气藏压裂改造及提高采收率提供理论支撑.
基于此,本次研究以鄂尔多斯盆地东北部山西组致密砂岩储层为研究对象,在精细描述储层孔渗物性、宏观裂缝发育特征、微观孔隙结构特征和流体可动性特征的基础之上,对致密砂岩储层进行了分类;采用核磁共振T2T1-T2扫描技术,对不同类型储层压裂液微观伤害特征进行了定量表征,明确了不同类型储层压裂液伤害的差异性.

1 研究材料及研究方法

1.1 研究材料

本次研究用致密砂岩岩样采集自鄂尔多斯盆地东北部山西组.针对采集的岩样岩石学特征研究表明,山西组储层矿物中石英含量介于52.00% ~72.00%, 平均值为60.00%;岩屑含量介于23.00% ~41.00%, 平均值为32.00%, 长石含量极少,为典型的岩屑砂岩.研究区致密砂岩储层气测平均孔隙度和渗透率分别为5.00%、0.5016×10-3 μm2,表现出低孔低渗的典型特征,但不同储层孔隙度、渗透率差异显著(图 1).整体而言,致密砂岩储层孔渗物性之间呈微弱的幂指数相关,以孔渗物性平均值为界限,致密砂岩储层大致可初步区分为三种不同的类型.类型Ⅰ致密砂岩储层孔渗物性较好,孔隙度多超过5.00%、渗透率多高于0.50×10-3 μm2;类型Ⅱ致密砂岩储层孔隙度较高,普遍超过5.00%, 但其渗透率普遍低于0.50×10-3 μm2;而类型Ⅲ致密砂岩储层孔渗物性则多低于平均值.基于储层物性差异初步划分的不同类型储层反映了研究区致密砂岩储层强烈的非均质性特征,而这也奠定了储层压裂液微观伤害差异性的基础.
图1 基于储层物性的致密砂岩储层分类

Fig 1 Tight sandstone reservoir classification based on reservoir physical properties

1.2 实验方法

为了更好地明确不同类型致密砂岩储层特征差异及压裂液微观伤害特征,基于中华人民共和国石油天然气行业标准SY/T 5336—2019《岩心分析方法》,对不同类型岩心的宏观裂隙发育特征进行了精细描述,主要包括宏观裂隙类型、裂隙密度、裂缝长度、裂缝宽度和裂缝倾角等.在此基础之上,参考中华人民共和国国家标准GB/T 21650.1—2008《压汞法和气体吸附法测定固体材料孔径分布和孔隙度. 第1部分:压汞法》,对不同类型致密砂岩储层开展了高压压汞和恒速压汞测试,定量表征不同类型致密砂岩储层微观孔隙结构特征.结合不同类型储层核磁共振可动流体测试(中华人民共和国石油天然气行业标准SY/T 6490—2014)结果,实现不同类型致密砂岩储层特征的精细表征.
基于不同类型砂岩储层特征的精细研究,采用核磁共振扫描的方法,选取胍胶压裂液,分别开展了基于核磁共振T2谱一维扫描和T1-T2谱二维扫描的压裂液微观伤害特征研究.基于核磁共振扫描的不同类型储层压裂液微观伤害特征实验测试流程如下:
(1) 将实验岩心置于恒温箱内,设置温度100 ℃烘干24 h,对烘干后岩心样品进行气测孔隙度和渗透率测试.
(2) 配置模拟地层水,利用抽真空加压饱和实验装置将岩心抽真空饱和模拟地层水24 h,饱和完成后,进行核磁共振T1-T2谱、T2谱扫描测试.
(3) 模拟地层温度条件下,采用压裂液对岩心进行冲注,持续时间大于24 h,注入速度为0.05 mL/min,保证出液量大于5 PV,模拟压裂液对储层的伤害.
(4) 采用模拟地层水在持续时间大于48 h,注入速度为0.05 mL/min,保证出液量大于5 PV,对实验后岩心进行核磁共振T1-T2谱和T2谱扫描测试.
(5) 实验结束后,将岩心置于恒温箱内,设置温度100 ℃烘干24 h,对岩心样品进行气测孔隙度和气测渗透率测试.

2 实验结果及讨论

2.1 不同类型储层特征

2.1.1 储层宏观裂缝发育特征

山西组致密砂岩储层发育不同规模、不同尺寸的宏观裂隙,宏观裂隙作为力学薄弱面,在压裂液进入储层后易导致压裂液波及面增大,进而增加压裂液可能的储层伤害.对研究区致密砂岩储层岩心裂隙的精细描述研究表明,山西组储层裂缝密度为2.10条/m,缝长在2.00~22.50 cm之间,平均值为8.46 cm;缝宽在0.10~0.30 cm,平均值为0.18 cm;倾角在0° ~85°, 平均值为27.66°.高角度裂缝、低角度裂缝和水平裂缝三种不同类型宏观裂缝在不同类型致密砂岩储层中有不同程度的发育,水平裂缝和低角度裂缝是主要的宏观裂缝类型.Ⅰ类储层和Ⅱ类储层以水平裂缝发育为主要特征,但Ⅰ类裂缝中低角度裂缝相较Ⅱ类储层更为发育;Ⅲ类储层低角度裂缝较水平裂缝更为发育,且发育有一定数量的高角度裂缝,这在一定程度上表明Ⅲ类储层受构造应力作用影响更为显著(图 2a).三种不同类型储层裂缝长度和裂缝宽度并无显著差异,但受宏观裂缝类型差异发育特征影响,裂缝倾角和裂缝密度存在显著不同.Ⅰ类和Ⅱ类储层宏观裂缝发育特征相似,Ⅲ类储层由于发育有高角度裂缝,加之构造地应力影响,储层裂缝密度明显偏大(图 2b).宏观裂缝的差异发育决定了压裂液与致密砂岩储层接触面积的差异,这也是不同类型储层压裂液伤害差异的外部决定因素.
图2 不同类型储层宏观裂缝发育特征

(a) 裂缝类型;(b) 裂缝参数.

Fig 2 Macroscopic fracture development characteristics of different types of reservoirs

(a) Crack type; (b) Crack parameters.

2.1.2 储层微观孔喉特征

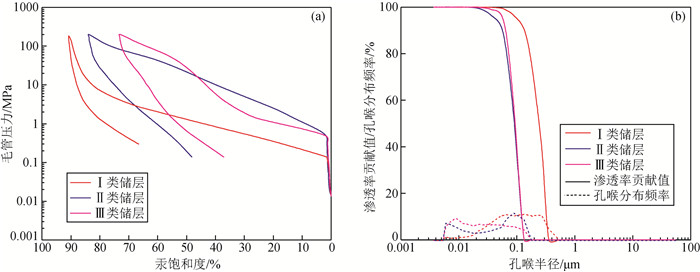
本次研究采用高压压汞和恒速压汞相结合的方法,对不同类型储层孔径分布特征和孔喉结构特征进行了定量表征.整体而言,研究区不同类型致密砂岩储层岩心排驱压力平均值为0.55 MPa,中值半径平均值为0.129 μm,喉道分选系数平均值为2.642,表现为低排驱压力、较大孔隙半径和较好孔隙分布的典型特征.但不同类型储层高压压汞孔隙结构特征略有差异,Ⅰ类储层排驱压力更低,且进汞曲线存在明显的平台期,储层孔喉半径较大且分布较为集中,但大尺寸孔隙和小尺寸孔隙缺乏过渡,尤其是大尺寸孔隙较为发育,导致其退汞效率较低,大尺寸孔隙可能成为压裂液微观伤害的主要区域;Ⅱ类储层和Ⅲ类储层排驱压力较为相近,且孔喉分布尺寸较为相近,两者孔喉分布均表现为双峰形态,但Ⅱ类储层大尺寸孔喉更为发育,而Ⅲ类储层小尺寸孔喉更为发育.三种不同类型致密砂岩储层孔喉分布尺寸较为相近,渗透率主要由占少数的较大孔喉来贡献,Ⅱ类和Ⅲ类渗透率贡献率较低的储层岩心孔喉分布范围相对较窄且集中,孔喉差异大,分选差(图 3).
图3 基于高压压汞的不同类型储层孔喉分布差异性

(a) 毛管压力曲线;(b) 孔喉分布曲线.

Fig 3 The difference of pore throat distribution in different types of reservoirs based on high pressure mercury injection

(a) Capillary pressure curve; (b) Pore throat distribution curve.

恒速压汞实验通过压力波动区分孔隙和喉道,可获取高压压汞无法得到的孔隙汞饱和度、喉道汞饱和度及孔喉比等参数,较好地区分孔隙和喉道.研究区不同类型致密砂岩样品的排驱压力平均为0.599 MPa,总最大进汞饱和度平均为44.870%, 其中孔隙最大进汞饱和度平均为16.309%, 喉道最大进汞饱和度平均为28.678%, 平均孔隙半径为139.117 μm,平均喉道半径为1.114 μm,平均孔喉比为206.006,分选系数平均为2.971.整体而言,不同类型致密砂岩储层岩心恒速压汞曲线以喉道进汞为主,致密砂岩储层物性越差,恒速压汞的进汞量越低,喉道所占有效储集空间的比例越大.其中,Ⅰ类储层岩心孔隙半径分布集中、喉道分布分散、孔喉较大;Ⅱ类和Ⅲ类储层岩心孔隙半径小、喉道不发育、孔喉比较大,孔喉连通性差.相较而言,Ⅱ类和Ⅲ类储层岩心孔喉非均质性相对更强,总体孔喉连通性不好(图 4).
图4 基于恒速压汞的不同类型储层孔喉分布差异性

(a) 孔隙半径;(b) 喉道半径;(c) 孔喉比.

Fig 4 The difference of pore throat distribution in different types of reservoirs based on constant rate mercury injection

(a) Pore radius; (b) Throat radius; (c) Pore throat ratio.

2.1.3 储层流体可动性特征

核磁共振T2谱可对岩样孔隙内流体的赋存状态进行分析,定量给出可动流体饱和度及束缚流体饱和度.不同类型致密砂岩储层可动流体百分数介于3.67% ~55.80%, 平均为20.74%;可动流体孔隙度介于0.11% ~6.23%, 平均为1.58%.岩心核磁共振可动流体参数结果表明岩心样品的可动流体参数分布范围较广且差异较大,反映了储层非均质性强.以渗透率平均值0.5×10-3 μm2、孔隙度平均值5.00%和可动流体百分数20.00%为界,致密砂岩储层表现出显著的差异特征,Ⅰ类储层较高的孔隙度和渗透率往往表现出较好的流体可动性,而Ⅱ类和Ⅲ类储层由于孔渗性稍差,加之较为复杂的孔隙结构非均质性,导致其流体可动性较差(图 5).
图5 孔渗物性与流体可动性关系

(a) 渗透率与可动流体百分数关系;(b) 孔隙度与可动流体百分数关系.

Fig 5 Relationship between porosity-permeability properties and fluid mobility

(a) Relationship between permeability and percentage of movable fluid; (b) Relationship between porosity and percentage of movable fluid.

2.1.4 基于多因素耦合分析的致密砂岩储层特征

以研究区致密砂岩储层裂缝特征和孔渗参数为基础,对研究区致密砂岩储层类型进行了初步划分,结合储层微观孔隙结构特征以及流体可动性特征,对三种不同类型致密砂岩储层特征进行了有效分类表征.Ⅰ类储层的水平裂缝发育为主,发育一定数量的低角度裂缝,储层物性以渗透率≥0.50×10-3 μm2、孔隙度≥5.00%、孔喉分选系数≥2和可动流体百分数≥20.00%为典型特征;Ⅱ类储层水平裂缝发育为主,发育一定数量的低角度裂缝,储层物性以渗透率 < 0.50×10-3 μm2、孔隙度≥5.00%、孔喉分选系数≥2和可动流体百分数<20%为典型特征;Ⅱ类储层的裂缝以低角度裂缝发育为主,发育一定数量的水平裂缝和少量的高角度裂缝,储层特征则表现为渗透率 < 0.50×10-3 μm2、孔隙度 < 5.00%、孔喉分选系数<2和可动流体百分数<20.00%为主(表 1).
表1 基于多因素耦合分析不同类型致密砂岩储层典型特征

Table 1 Based on the multi-factor coupling analysis, the typical characteristics of different types of tight sandstone reservoirs are analyzed

储层特征 Ⅰ类储层 Ⅱ类储层 Ⅲ类储层
裂缝特征 水平裂缝发育为主,发育一定数量的低角度裂缝 以低角度裂缝发育为主,发育一定数量的水平裂缝和少量的高角度裂缝
孔渗参数 K≥0.50×10-3 μm2φ≥5.00% K < 0.50×10-3 μm2φ≥5.00% K < 0.50×10-3 μm2φ < 5.00%
压汞参数 高压压汞 分选性好,裂隙均匀(分选系数≥2) 分选性好,裂隙均匀细歪度(分选系数 < 2)
恒速压汞 孔隙、喉道以及孔喉比分布范围广,频率高 孔隙、喉道分布范围集中,孔喉比较大
核磁参数 可动流体百分数 ≥20% < 20% < 20%

2.2 压裂液伤害特征

2.2.1 压裂液对不同类型储层岩心伤害特征

基于压裂液伤害实验前后储层孔隙度与渗透率参数的变化,可以实现岩心伤害程度的定量表征.胍胶压裂液岩心伤害后,Ⅰ类储层岩心孔隙度伤害率13.66%、渗透率伤害率15.77%, Ⅱ类储层岩心孔隙度伤害率10.32%、渗透率伤害率12.60%, Ⅱ类储层岩心孔隙度伤害率15.20%、渗透率伤害率19.12%(图 6).不同类型储层岩心孔隙度和渗透率伤害整体表现为Ⅴ型,以较大尺寸孔隙发育为主的Ⅰ类储层和以较小尺寸孔隙发育的Ⅲ类储层孔渗伤害均较为显著,而孔隙尺寸发育较广且不同尺寸孔隙均有发育的Ⅱ类储层孔渗伤害较弱,这也表明储层孔隙结构在压裂液岩心伤害中起到了关键控制作用.
图6 不同类型储层岩心压裂液孔隙度和渗透率伤害特征

(a) 孔隙度伤害;(b) 渗透率伤害.

Fig 6 Damage characteristics of porosity and permeability of core fracturing fluid in different types of reservoirs

(a) Porosity damage; (b) Penetration damage.

2.2.2 基于核磁共振扫描的压裂液微观伤害特征

利用采集自现场的胍胶压裂液体系,结合核磁共振T2谱一维扫描和T1-T2谱二维扫描技术,对研究区三种不同类型储层压裂液微观伤害特征进行了研究.通过对比注入压裂前后岩心核磁共振水信号T2谱的形态,基于核磁共振T2谱峰形面积的差异性变化,可以定量计算岩心压裂液微观孔喉伤害程度;通过T1-T2二维核磁谱则可以直观的观察到压裂液注入前后流体分布差异性及储层岩心伤害情况.岩心压裂液伤害程度计算公式如下:
$\eta=\frac{B_i}{A_i} \times 100 \%, $
式中:η为压裂液水锁程度,单位为%; Ai为压裂液伤害前T2谱下覆面积,即信号总量;Bi为压裂液伤害后T2谱下覆面积,即信号总量.
岩心压裂液伤害程度结果表明,胍胶压裂液体系对三种不同类型岩心伤害程度整体表现为Ⅴ型(图 7),且胍胶压裂液对Ⅰ类储层岩心伤害最为显著,这也表明胍胶压裂液对较大尺寸孔隙发育的致密砂岩储层具有较强的伤害作用.
图7 不同类型储层压裂液伤害程度

Fig 7 Different types of reservoir fracturing fluid damage degree

Ⅰ类储层注入压裂液前饱和模拟地层水核磁共振T2谱以单峰为主,压裂液注入后,不同尺度孔隙核磁共振T2谱峰值存在不同程度的下降,但较小T2值对应孔隙T2谱峰值无明显降低,这也表明胍胶压裂液对Ⅰ类储层较大尺寸和中等尺寸的孔隙造成了伤害,Ⅰ类储层岩心孔喉伤害程度达到了18.68%, 储层伤害程度较大(图 8).对比压裂液伤害前后岩心核磁共振T1-T2二维核磁谱,压裂液伤害前水信号主要分布在0.4039~10.5590 ms、T1/T2在1~10之间,压裂液伤害后水信号主要分布在0.4039~7.6189 ms、T1/T2在1~10之间,核磁共振横向弛豫时间T2值介于7.6189 ms~10.5590 ms之间的孔隙发生了明显的伤害(图 9).
图8 Ⅰ类储层压裂液伤害核磁共振T2谱图

Fig 8 NMR T2 spectrum of fracturing fluid damage in type Ⅰ reservoir

图9 Ⅰ类储层压裂液伤害核磁共振T1-T2谱图

(a) 压裂液伤害前;(b) 压裂液伤害后.

Fig 9 NMR T1-T2 spectrum of fracturing fluid damage in type Ⅰ reservoir

(a) Before fracturing fluid damage; (b) After fracturing fluid damage.

Ⅱ类储层压裂液注入前饱和模拟地层水核磁共振T2谱图同样表现为单峰形态,压裂液注入后,较大尺寸孔隙对应的T2谱发生了较为明显的下降,这也表明胍胶压裂液对Ⅱ类储层岩心的伤害主要发生在较大尺寸的孔隙中,岩心孔喉整体伤害程度达到了14.03%, 储层伤害程度较大(图 10).进一步地,压裂液伤害前Ⅱ类储层T1-T2二维核磁谱流体氢核主要分布在0.1517~1.4901 ms、T1/T2在1~100之间;压裂液伤害后,氢核信号则主要分布在0.1886~1.1988 ms、T1/T2在1~100之间,这也进一步表明压裂液对Ⅱ类储层的岩心伤害主要发生在较大尺寸孔隙之中(图 11).
图10 Ⅱ类储层压裂液伤害核磁共振T2谱图

Fig 10 NMR T2 spectrum of fracturing fluid damage in type Ⅱ reservoir

图11 Ⅱ类储层压裂液伤害核磁共振T1-T2谱图

(a) 压裂液伤害前;(b) 压裂液伤害后.

Fig 11 NMR T1-T2 spectrum of fracturing fluid damage in type Ⅱ reservoir

(a) Before fracturing fluid damage; (b) After fracturing fluid damage.

Ⅲ类储层压裂液注入前饱和模拟地层水核磁共振T2谱图表现为双峰,表明岩心内部存在一定的微裂缝,胍胶压裂液对Ⅲ类储层岩心中较大尺寸孔隙和微裂缝产生了明显的伤害,岩心孔喉整体伤害程度高达17.48%(图 12).对比压裂液伤害前后岩心核磁共振T1-T2二维核磁谱,压裂液对岩心的伤害主要发生在14.9387~18.1904 ms、T1/T2在1~10之间(图 13),表明压裂液伤害主要发生在较大尺寸孔隙和微裂缝中,与核磁共振T2谱扫描结果一致.
图12 Ⅲ类储层压裂液伤害核磁共振T2谱图

Fig 12 NMR T2 spectrum of fracturing fluid damage in type Ⅲ reservoir

图13 Ⅲ类储层压裂液伤害核磁共振T1-T2谱图

(a) 压裂液伤害前;(b) 压裂液伤害后.

Fig 13 NMR T1-T2 spectrum of fracturing fluid damage in type Ⅲ reservoir

(a) Before fracturing fluid damage; (b) After fracturing fluid damage.

对比三种不同类型致密砂岩储层,胍胶压裂液体系对Ⅰ类和Ⅲ类储层孔隙度和渗透率伤害较大,对Ⅱ类储层孔隙度和渗透率伤害较小,核磁共振T1-T2谱表现出同样的伤害特征.整体而言,胍胶压裂液体系对岩心的伤害性相对较大,且主要伤害较大尺寸孔隙.

3 结论

(1) 基于储层孔渗物性、宏观裂隙特征、微观孔隙结构特征以及流体可动性特征,将鄂尔多斯盆地东北部山西组致密砂岩储层划分为了三种不同类型,并实现了不同类型储层物性特征的精细表征.
(2) 基于核磁共振一维T2谱扫描和二维T1-T2谱扫描结果表明,孔隙结构在压裂液微观伤害中其决定性作用,较大尺寸的孔隙和微裂缝是压裂液微观伤害发生的主要区域.因此,大尺寸孔隙发育的Ⅰ类储层和微裂缝有一定发育的Ⅲ类储层岩心压裂液微观伤害程度最为严重.

感谢审稿专家提出的修改意见和编辑部的大力支持!

Cang H , Du G C , Wang C E , et al. Characteristics and classification evaluation of pore throat structure in Chang 7 tight reservoir of Yanchang Formation in Ganquan Oilfield. Journal of Chengdu University of Technology (Science & Technology Edition), 2023, 50 (5): 525- 536.

Chen F Y , Zhou Y , Yang D J , et al. Study of pore structure of tight sandstone reservoir based on fractal theory: A case study from Chang 7 tight sandstone of Yanchang formation in Qingcheng area, Ordos Basin. Journal of China University of Mining & Technology, 2022, 51 (5): 941- 955.

DOI

Chen L Y , Qian Y G , Liao L Y , et al. Comprehensive evaluation of He7 effective reservoir of middle Permian lower Shihezi formation in well block of Su-14 of Sulige gas field. Mineralogy and Petrology, 2021, 41 (2): 109- 117.

DOI

Guo J C , Li Y , Wang S B . Hydrogen bond inhibition method: Reducing the adsorption damage of guar fracturing fluid to sandstone reservoirs. Natural Gas Industry, 2019, 39 (7): 57- 62.

DOI

Li N , Wang Y W , Zhang S J , et al. Study on water block in tight sandstone gas reservoirs and solutions thereof. Drilling Fluid & Completion Fluid, 2016, 33 (4): 14- 19.

DOI

Li P Y , He X D , Zhou C J , et al. Mineral compositions and microstructural characteristics of the tight sandstone reservoir in the Sulige area and their potential influence on hydraulic fracturing. Hydrogeology & Engineering Geology, 2023, 50 (3): 1- 11.

DOI

Li Y Z , Shang L , Wang Q H , et al. Comprehensive classification of highly heterogeneous low permeability-tight sandstone reservoir in Faulted Basin: Taking Nanpu sag of Bohai Bay Basin as an example. Journal of Jilin University (Earth Science Edition), 2022, 52 (6): 1830- 1843.

DOI

Liu B F , Zhang Q J , Chen X , et al. Imbibition characteristics of fracturing fluid in the tight oil reservoir and water lock damage evaluation. Fault-Block Oil and Gas Field, 2021, 28 (3): 318- 322.

DOI

Liu H F , Xiao Y , Liu J , et al. Feasibility evaluation of clean fracturing fluid for Dibei tight gas reservoir. Petroleum Geology & Oilfield Development in Daqing, 2021, 40 (4): 169- 174.

DOI

Ma W Y , Huang K , Wang P , et al. Mechanism of waterproof locking in tight sandstone gas reservoir based on low field nuclear magnetic resonance technology. Science Technology and Engineering, 2024, 24 (4): 1459- 1470.

DOI

Mei C , Li Z H , Cheng N , et al. Imbibition damage law of Linxing tight gas fracturing fluid in the whole process. Science Technology and Engineering, 2021, 21 (22): 9330- 9336.

DOI

Meng J , Zhang LY , Li R , et al. Microscopic pore structure characteristics of tight sandstone reservoirs and its classification evaluation. Special Oil & Gas Reservoirs, 2023, 30 (4): 71- 78.

DOI

Peng Y F , Li Y Q , Zhang W , et al. Mineral characteristics of tight sandstone in Fuyu reservoir of Longxi area and its influence on development effect. Petroleum Geology & Oilfield Development in Daqing, 2021, 40 (1): 162- 174.

DOI

Pi W , Chen J Y . Characteristics of tight sandstone reservoirs and logging identification in the Northern Ordos Basin. Science Technology and Engineering, 2023, 23 (31): 13265- 13272.

DOI

Qi S J , Jiang J F , Jiang J , et al. Fracturing fluid damage evaluation and microscopic damage mechanism study for expansion tight oil test Area of Long 26. Drilling Fluid & Completion Fluid, 2021, 38 (5): 648- 656.

DOI

Ren J , Jiang S X , Luo Z L , et al. Characteristics and classification evaluation of tight sandstone reservoir in Xujiahe Formation of Tongnanba Gas Field. Fault-Block Oil & Gas Field, 2023, 30 (6): 914- 924.

DOI

Wang M L , Zhang S A , Guan H , et al. Relationship between characteristics of tight oil reservoirs and fracturing fluid damage: A case from Chang 7 Member of the Triassic Yanchang Fm in Ordos Basin. Oil & Gas Geology, 2015, 36 (5): 848- 854.

DOI

Wang T , Li C Z , Xiao X F , et al. Application of new low damage non flow-back guanidine gum fracturing fluid in tight oil reservoir. Journal of Shaanxi University of Science & Technology, 2023, 41 (5): 94- 101.

DOI

Wang W , Song Y J , Huang J , et al. Fractal characteristics of pore-throat structure in tight sandstones using high-pressure mercury intrusion porosimetry. Bulletin of Geological Science and Technology, 2021, 40 (4): 22- 30. 22-30, 48

DOI

Wang Y X , Xie B , Lai Q , et al. Evaluation of pore structure and classification in tight gas reservoir based on NMR logging. Progress in Geophysics, 2023, 38 (2): 759- 767.

DOI

Wang Z Z , Fu X H , Hao M , et al. Experimental insights into the adsorption-desorption of CH4/N2 and induced strain for medium-rank coals. Journal of Petroleum Science and Engineering, 2021, 204: 108705

DOI

Wang Z Z , Fu X H , Pan J N , et al. Effect of N2/CO2 injection and alternate injection on volume swelling/shrinkage strain of coal. Energy, 2023, 275: 127377

DOI

Wu Y F , Liu C L , Feng X L , et al. Microstructural characteristics and classification evaluation of tight sandstone reservoirs: a case study of the Chang 9 reservoir in the Nanliang Oilfield of the Ordos Basin. Fault-Block Oil & Gas Field, 2023, 30 (2): 246- 253. 246-253, 300

DOI

Xu Y Q , He Y H , Bu G P , et al. Establishment of classification and evaluation criteria for tight reservoirs based on characteristics of microscopic pore throat structure and percolation: a case study of Chang 7 reservoir in Longdong area, Ordos Basin. Petroleum Geology & Experiment, 2019, 41 (3): 451- 460.

DOI

Yu C P , Zhang B H , Li Z H , et al. On factors influencing fracture damage in tight gas reservoirs, Linxing block. Special Oil & Gas Reservoirs, 2022, 29 (1): 141- 146.

DOI

Yuan H Q , Deng X Y , Du H Y , et al. Characterizing the heterogeneity of tight sandstone in outcropped Permian Shanxi Formation, Liujiang Basin. Oil & Gas Geology, 2023, 44 (2): 468- 479.

DOI

Zhang C B , Wang Y L , Chen M X , et al. Research progress on high temperature resistant guar gum fracturing fluid and its damage mechanism to reservoirs. Chemical Industry and Engineering Progress, 2022, 41 (11): 5912- 5924.

DOI

Zhao J S , Li B , Ma J Y , et al. Experimental study on fracturing fluid damage in tight sandstone reservoir. Science Technology and Engineering, 2022, 22 (35): 15592- 15597.

DOI

, 贵超 , 聪娥 , 等. 甘泉油田延长组长7致密储层孔喉结构特征及分类评价. 成都理工大学学报(自然科学版), 2023, 50 (5): 525- 536.

富瑜 , , 栋吉 , 等. 基于分形理论的致密砂岩储层孔隙结构研究——以鄂尔多斯盆地庆城地区延长组长7段为例. 中国矿业大学学报, 2022, 51 (5): 941- 955.

DOI

罗元 , 玉贵 , 璐瑶 , 等. 苏里格气田苏14井区中二叠统下石盒子组盒7段有效储层综合评价. 矿物岩石, 2021, 41 (2): 109- 117.

DOI

建春 , , 世彬 . 氢键抑制方法减少瓜尔胶压裂液对砂岩储层的吸附伤害. 天然气工业, 2019, 39 (7): 57- 62.

DOI

, 有伟 , 绍俊 , 等. 致密砂岩气藏水锁损害及解水锁实验研究. 钻井液与完井液, 2016, 33 (4): 14- 19.

DOI

培月 , 晓东 , 长静 , 等. 苏里格地区致密砂岩矿物组成与微观结构及其对水力压裂的潜在影响. 水文地质工程地质, 2023, 50 (3): 1- 11.

DOI

彦泽 , , 群会 , 等. 断陷盆地强非均质低渗-致密砂岩储层综合分类——以渤海湾盆地南堡凹陷为例. 吉林大学学报(地球科学版), 2022, 52 (6): 1830- 1843.

DOI

博峰 , 庆九 , , 等. 致密油储层压裂液渗吸特征及水锁损害评价. 断块油气田, 2021, 28 (3): 318- 322.

DOI

会锋 , , , 等. 迪北致密气藏清洁压裂液可行性评价. 大庆石油地质与开发, 2021, 40 (4): 169- 174.

DOI

伟云 , , , 等. 基于低场核磁共振技术的致密砂岩气藏防水锁作用机理研究. 科学技术与工程, 2024, 24 (4): 1459- 1470.

DOI

, 紫晗 , , 等. 临兴致密气压裂液全过程渗吸伤害规律. 科学技术与工程, 2021, 21 (22): 9330- 9336.

DOI

, 莉莹 , , 等. 致密砂岩储层微观孔隙结构特征及其分类评价. 特种油气藏, 2023, 30 (4): 71- 78.

DOI

颖锋 , 宜强 , , 等. 龙西地区扶余油层致密砂岩矿物特征及其对开发效果的影响. 大庆石油地质与开发, 2021, 40 (1): 162- 174.

DOI

, 敬轶 . 鄂尔多斯盆地北部致密砂岩储层特征及测井识别. 科学技术与工程, 2023, 23 (31): 13265- 13272.

DOI

生金 , 建方 , , 等. 龙26外扩致密油试验区压裂液损害评价及其微观机理. 钻井液与完井液, 2021, 38 (5): 648- 656.

DOI

, 淑霞 , 周亮 , 等. 通南巴气田须家河组致密砂岩储层特征及分类评价. 断块油气田, 2023, 30 (6): 914- 924.

DOI

明磊 , 遂安 , , 等. 致密油储层特点与压裂液伤害的关系——以鄂尔多斯盆地三叠系延长组长7段为例. 石油与天然气地质, 2015, 36 (5): 848- 854.

DOI

, 成政 , 旭峰 , 等. 新型低伤害无返排胍胶压裂液在致密油储层中的应用. 陕西科技大学学报, 2023, 41 (5): 94- 101.

DOI

, 渊娟 , , 等. 利用高压压汞实验研究致密砂岩孔喉结构分形特征. 地质科技通报, 2021, 40 (4): 22- 30. 22-30, 48

DOI

跃祥 , , , 等. 基于核磁共振测井的致密气储层孔隙结构评价与分类. 地球物理学进展, 2023, 38 (2): 759- 767.

DOI

云飞 , 成林 , 小龙 , 等. 致密砂岩储层微观结构特征及分类评价——以鄂尔多斯盆地南梁油田长9储层为例. 断块油气田, 2023, 30 (2): 246- 253. 246-253, 300

DOI

永强 , 永宏 , 广平 , 等. 基于微观孔喉结构及渗流特征建立致密储层分类评价标准——以鄂尔多斯盆地陇东地区长7储层为例. 石油实验地质, 2019, 41 (3): 451- 460.

DOI

翠沛 , 滨海 , 紫晗 , 等. 临兴区块致密气储层压裂损害影响因素. 特种油气藏, 2022, 29 (1): 141- 146.

DOI

红旗 , 馨雨 , 会尧 , 等. 柳江盆地二叠系山西组露头致密砂岩储层非均质性表征方法. 石油与天然气地质, 2023, 44 (2): 468- 479.

DOI

传保 , 彦玲 , 孟鑫 , 等. 耐高温胍胶压裂液及其对储层的伤害机理研究进展. 化工进展, 2022, 41 (11): 5912- 5924.

DOI

金省 , , 景洋 , 等. 致密砂岩油藏压裂液伤害实验研究. 科学技术与工程, 2022, 22 (35): 15592- 15597.

DOI

Outlines

/