Home Journals Progress in Geophysics
Progress in Geophysics

Abbreviation (ISO4): Prog Geophy      Editor in chief:

About  /  Aim & scope  /  Editorial board  /  Indexed  /  Contact  / 

Review of research methods on water production mechanisms in tight sandstone gas reservoirs

  • ZiHao HAN , 1, 2 ,
  • ZhanSong ZHANG , 1, 2, * ,
  • JianHong GUO 1, 2 ,
  • Hao ZHANG 1, 2 ,
  • Jian SONG 1, 2
Expand
  • 1 MOE Key Laboratory of Exploration Technologies for Oil and Gas Resources (Yangtze University), Wuhan 430100, China
  • 2 Geophysics and Oil Resources Institute, Yangtze University, Wuhan 430100, China

Received date: 2024-07-23

  Online published: 2025-05-09

Copyright

Copyright ©2025 Progress in Geophysics. All rights reserved.

Abstract

Tight sandstone gas reservoirs, as a crucial component of global unconventional natural gas resources, face challenges in efficient development due to the unclear water production mechanisms. This paper systematically reviews the research methods for studying water production mechanisms in tight sandstone gas reservoirs through a literature survey, providing more comprehensive theoretical and methodological support to address this issue. The research methods are primarily categorized into three types: theoretical and model analysis, experimental analysis, and produced water characteristic analysis. Theoretical analysis integrates theories related to gas and water occurrence, revealing the distribution, flow, and interactions of gas and water in reservoirs at both macro and micro levels. Experimental analysis verifies the flow characteristics of gas and water and the water production mechanisms through methods such as Nuclear Magnetic Resonance (NMR) experiments, capillary pressure experiments, and gas drive water experiments. The produced water characteristic analysis method uses field production data and water sample chemical compositions to determine the type of water production and, combined with the first two methods, specifically analyzes the gas-water occurrence state and water production mechanisms. The results indicate that analyzing water production mechanisms in tight sandstone gas reservoirs requires a comprehensive application of multiple methods to enhance predictive accuracy. The paper concludes with a discussion and outlook on the development trends and existing achievements in reservoir water production mechanism research methods, proposing improvements in predictive accuracy through cross-validation, refining experimental processes, and employing chemical or isotope analysis techniques combined with big data and artificial intelligence algorithms to further enhance the accuracy and applicability of water production mechanism research.

Cite this article

ZiHao HAN , ZhanSong ZHANG , JianHong GUO , Hao ZHANG , Jian SONG . Review of research methods on water production mechanisms in tight sandstone gas reservoirs[J]. Progress in Geophysics, 2025 , 40(2) : 619 -633 . DOI: 10.6038/pg2025II0171

0 引言

非常规天然气以其丰富的资源、广泛的分布及较低的开发成本,已成为全球油气资源的重要组成部分.近年来,致密气的产量持续增长(邹才能等,2024).截至目前,中国致密气藏的累计探明储量为2.7×1012m3,2016—2020年的年产量达333×108 m3(李国欣等,2022).然而,由于致密气藏的沉积环境和构造背景的复杂性,导致其储层连续性差,开发难度大(周雨晴等,2025).与常规气藏相比,致密气藏的开发历史较短,经验相对不足,中国的能源开发仍面临巨大挑战(孙龙德等,2019肖曦等,2024).例如,鄂尔多斯盆地东缘的临兴—神府致密气田在勘探开发过程中,由于先导试验区生产井存在不同程度的产水现象,导致主要目的层的地层水变化规律复杂且不明确,从而影响后续的勘探开发工作(史鹏宇等,2024).为了解决这一问题,有必要深入分析产水机理及其来源,以合理制定生产制度,确保致密气藏的长期稳定生产.
当前,国内外的研究主要集中在三个方面:理论及建立模型分析、实验分析以及产出水特征分析,以研究致密砂岩气藏的产水机理.在理论及建立模型分析方面,国内外研究者采用了多种模型来探讨致密气藏的产水机理.Lionel等(1992)提出了利用可视化玻璃模型研究两相流;Montemagno和Gray(1995)在可视化玻璃模型中加入示踪流体,研究多孔介质中的多相流;朱华银等(2004)利用微观玻璃模型研究致密气藏储层孔隙中的气水渗流机理与水相赋存特征;孔令荣等(1991)提出真实砂岩模型分析产水机理; 胡勇等(2011)则通过不同孔隙形态的真实模型,说明了残余水的赋存状态.数学模型方面;刘广峰等(2017)应用分形理论分析储层含水情况;Cao等(2017)Zhou等(2023)分别建立了多因素数学模型和气藏成藏数学模型.杨满平等(2004)董红坤等(2004)则建立了孔隙简化模型和方块模型来分析产水机理和可动水的产出机理.李海波等(2015)Chen等(2023)采用水膜理论,解释了致密储层中的束缚水转化为可动水产出.这些模型方法能直观揭示致密气藏的产水机理,但受理论或模型假设的局限性,往往难以直接应用于实际储层.
在实验分析方面,研究者们通过各种实验方法深入研究致密砂岩气藏的产水机理.王瑞飞和陈明强(2008)通过核磁共振(Nuclear Magnetic Resonance)技术定义可动流体孔隙度,分析流体赋存特征;叶礼友等(2011)钟韬等(2018)利用NMR实验分别从可动水饱和度和T2谱分布角度解释产水机理;Zhang等(2020)则进一步确定了可动水饱和度与产水特征的关系;高树生等(2012)结合气驱水和压汞实验,探讨了致密储层的水相运移机理;胡勇等(2014)通过逐级增压气驱水实验,发现产水与临界渗透率密切相关.杨云等(2019)则认为开发时的压降是致密气藏产水的关键因素.其他研究者如郭平等(2006)通过毛细管压力与渗流实验揭示了束缚水的速度敏感性,陈鑫等(2022)采用半渗透隔板法确定了储层水的赋存特征及产出机理.Shanley等(2004)提出了“渗透率屏障理论”,认为在一定含水饱和度下,气水两相不会流动.高树生等(2013)叶礼友等(2015)通过相对渗透率实验,研究了压力梯度对气相渗流能力的影响,揭示了致密含水气藏的产水机理.这些实验方法能够通过岩心实验直观地分析致密砂岩储层的产水机理,但其结果往往依赖于实验数据,难以直接观察储层内的实际情况.
在产出水特征分析方面,研究者们通过分析不同的化学和生产特征,识别产水来源.张丽囡等(1993)研究了产出水特征与流体流动的相态变化;郭春华等(2007)结合凝析水化学特征与计算图版来分析产水来源;孙虎法等(2009)总结了气藏出水水源的动态识别方法,并量化了水源识别的关键因素.李锦等(2012)提出了包括不稳定试井法和产出水在地层条件下的体积分数法等在内的六种判别产出水类型的方法;衡勇(2018)则针对苏里格南区建立了结合四种分析方法的产水来源识别标准.这些方法通过分析产出水的化学和生产特征,帮助理解在气藏信息不足情况下的产水机理,但难以详细解析气水赋存状态及致密储层中水的产出机理.
本文首次系统地将致密砂岩气藏产水机理的研究方法进行归纳.其中理论及建立模型分析以经验为基础,通过不同的模型阐述气水赋存状态与储层的产水机理;实验分析通过各种实验方法研究气水的分布状态和流动特性,以解释产水机理;产出水特征分析则通过产出水的化学和生产特征分析产水类型,并进一步分析储层的产水机理.致密气藏的产水问题严重影响气藏的稳产,显著降低采收率.因此,研究储层产水机理和优化开发对策是当前的关键任务.本文系统总结了当前关于致密气藏产水机理的研究方法,并结合生产实际情况,提出了针对性的研究建议.

1 致密砂岩气藏产水机理研究方法现状

1.1 理论及建立模型分析

理论及建立模型分析的方法主要包括基于气水赋存理论的分析、建立可视化物理模型、数学模型及孔隙模型等,用于研究孔隙水的赋存特征.表 1总结了这些方法的主要原理和特点.
表1 理论及建立模型分析方法

Table 1 Theory and modeling analysis methods

模型/理论 所用方法 特点
理论分析 气水分异理论、压力梯度、束缚水产出、水膜水理论等(田冷等,2009张伟等,2016盛军等,2015张学庆等,1998). 结合区块产水现象,解释致密气藏不同阶段的产水机理. 根据区块产水特征解释产水现象,但无法进行推广.
微观可视化物理模型 玻璃刻蚀模型、真实岩心模型(Lionel et al., 1992孔令荣等,1991). 运用刻蚀、切片技术制作相应的可视化物理模型,观察气水分布及产水机理. 具备较强的可视化能力,但在高温高压条件下的应用受到限制,难以模拟真实储层条件.
其他模型 数学模型、孔隙模型、多相流模型、气水相对渗透率模型等(刘广峰等,2017杨满平等,2004Elputranto and Akkutlu, 2020Shanley et al., 2004). 通过分析不同影响因素建立相应模型,分析储层在不同条件下的产水机理. 建立模型时灵活考虑影响因素,适用范围较广.

1.1.1 理论分析法

致密气藏产水是一个受到多因素影响的复杂过程.在气田开发中,掌握产水机理对于有效控制产水和提高采收率至关重要.理论分析作为研究产水机理的基础,为后续研究提供了重要的理论支撑.前人研究主要通过气水分异理论、压力梯度影响、束缚水产出及水膜水理论四个方面来探讨致密气藏的产水机理.理论分析方法的具体原理和特点详见表 2.
表2 理论分析法分类

Table 2 Classification of theoretical analysis methods

理论分析法 原理 特点
气水分异理论 在毛细管力作用下,水相被束缚于岩石孔隙中,气相占据较大孔隙空间.随着储层压力下降,气水平衡被打破,水相开始迁移并产出. 适用于解释储层压力变化较小且气水关系相对稳定时的气水分布规律.
压力梯度影响 压力梯度增大时,水相渗流能力增强,而气相渗流能力减弱.气相流动过程中,较大的压力梯度会携带水相产出. 适用于分析开发过程中压力变化对气水流动的影响.
束缚水产出 储层条件(如压力、温度)变化导致被束缚水释放,与储层物性、岩石润湿性、孔隙结构及流体性质等相关. 适用于研究储层条件或气体流速变化导致的束缚水产出.
水膜水理论 分子间相互作用力使岩石表面形成水膜.当储层压力或其他条件变化时,水膜可能增厚或破裂,导致水分子脱离岩石表面随气流产出. 用于解释水分子在致密储层岩石表面的形成和流动机理.
理论分析法作为产水机理的基础,能够帮助理解储层的产水行为.然而,这些方法往往依赖于经验和理论推导,受地质条件限制较大.在广安地区须家河组气藏,气水分异理论通过毛细管力作用解释了油气和水在储层中的分布,强调了气水界面及其平衡状态(田冷等,2009);压力梯度理论主要关注储层压力变化对水相渗流能力的影响,忽略了岩石物性和流体性质的作用,适用于苏里格气田东区的产水机理分析(张伟等,2016Tian et al., 2018);束缚水产出理论解释了苏里格气田东南区因储层性质变化而导致的产水现象,通常需结合实验进一步验证(盛军等,2015石强,2019);水膜水理论通过塔里木盆地和鄂尔多斯盆地的致密储层岩心平行样分析,解释了附着于岩石表面的水膜受外力脱离的过程,但该理论难以精确测量水膜的动态变化(张学庆等,1998刘德新等,2005李海波等,2015Chen et al., 2023);此外,有学者研究指出,致密砂岩储层中的天然气以膨胀方式推移地层水,而非通过置换运移.束缚水通常在压裂过程中释放,滞留水则因气藏充注不足而聚集在砂体底部,试气时大量产出(张海涛和时卓,2010王晓梅等,2012).因此,为了更准确地预测和评估产水行为,需要结合多种方法并综合实际储层数据进行分析.

1.1.2 微观可视化物理模型

致密砂岩储层因其强非均质性、低孔低渗性及复杂的微观孔隙结构,使得气体渗流特性复杂且难以预测.研究者利用微观可视化物理模型结合气驱水实验,借助示踪剂技术,采用两种主要实验模型,揭示了气水在致密储层中的分布、流动及相互作用(张培平,2009Karadimitriou and Hassanizadeh, 2012).微观可视化物理模型方法的原理和主要特点见表 3.
表3 微观可视化物理模型法分类

Table 3 Classification of micro-visualization physical modeling methods

微观可视化物理模型 原理 特点
玻璃刻蚀模型 采用激光或化学方法在玻璃板上刻蚀出孔隙结构,利用这些模型观察气水分布及产水机理. 可控性高、可视化能力强,但真实性差且不耐高温高压.
真实岩心模型 对真实岩心进行切片处理,制成岩心模型以分析气水分布及产水机理. 具备较高的真实性和实验可控性,但可视化能力有限,且不耐高温高压.
刻蚀玻璃模型通过显影和曝光侵蚀技术在玻璃上制作出模拟储层孔隙结构的微观模型,能够精确复制岩石孔隙网络的图像,真实反映储层孔隙结构的微观特征,便于直接观察渗流现象(司马立强等,2016王超,2017张杰,2021),该模型适用于微观尺度上的渗流机理研究,可模拟不同孔隙结构对渗流特性的影响,但制作过程复杂且技术要求高(Tian et al., 2021曲志浩和孔令荣,1986).真实岩心模型通过切片实际岩心,保留了原始储层的孔隙结构,能够真实反映储层的地质特征,模拟实际储层中的气水流动和分布特征,为渗流研究提供了更接近实际储层的条件.然而,由于储层岩石的非均质性,重复性实验结果可能会产生误差(熊哲等,2018张杰等, 2019a, b).具体装置及实验流程如图 1所示.
图1 微观可视化物理模拟实验装置及流程(王璐等,2018)

Fig 1 Micro-visualization physics simulation experimental setup and process (Wang et al., 2018)

刻蚀玻璃模型具备较高的实验精度和良好的可控性,而真实岩心模型在模拟储层的地质真实性和适用性上更具优势.实际研究中,应根据研究区的具体特征,合理选择合适的模型,以实现对渗流特性的更全面和精确的分析.

1.1.3 其他模型

其他模型法涵盖数学模型、孔隙模型、多相流模型及气水相对渗透率模型等,每种方法从不同角度出发,结合多种测井原理,分别构建了相应模型,以分析岩石形变引发束缚水释放、储层压力变化导致的可动水饱和度变化及其对产水的影响,多相流在储层中的运动规律,以及气水相对渗透率对产水机理的影响.表 4中总结了这些模型的基本原理和主要特点.
表4 其他模型法分类

Table 4 Classification of other modeling approaches

其他模型 原理 特点
数学模型 分析束缚水饱和度与岩石有效应力的关系.开发过程中,储层压降导致岩石形变,引起孔喉结构的变化,从而导致束缚水的产出. 能够精确分析储层中束缚水饱和度的变化、气水分布及产水机理,但模型的精度依赖于输入参数的准确性.
孔隙模型 研究气藏在压力变化后相关参数的变化,气藏压降后含水饱和度上升速度快于束缚水饱和度.岩石孔隙结构的改变导致孔隙体积减小,解释了束缚水的产出机制. 通过简化真实的孔隙结构,直观模拟岩石孔隙的变化过程,帮助分析储层参数变化和孔隙变形对流体流动的影响.
气水相对渗透率模型 探讨气藏的充注和聚集机理,定量分析相渗的影响因素,通过描述气水两相在储层中的流动能力,解释气水分布及产水现象. 分析了启动压力梯度、应力敏感性和生产压差对产水机理的影响,有助于制定气井开发策略.
数学模型能够进行定量分析,且不同地质条件下可以通过调整模型参数进行模拟,进而揭示复杂的内在规律及变量间的相互作用.通过计算束缚水饱和度,该模型有效解释了致密砂岩储层中束缚水向可动水的转化过程.然而,模型的准确性高度依赖于参数输入的精确性.(Zhou et al., 2023Cao et al., 2017.).公式(1)为利用数学模型建立的束缚水饱和度计算公式(刘广峰等,2017):
$S_{\mathrm{w} i}=1-\frac{\int_{r_{\mathrm{c}}}^{r_{\max }} r^{2-D\tau-Dp}\left(1-0.25763 \mathrm{e}^{-0.261 r}(\Delta p)^{-0.419} \times \mu w\right)^2 \mathrm{~d} r}{\int_{r_{\min }}^{r_{\max }} r^{2-D\tau-D{\mathrm{p}}} \mathrm{~d} r}, $
其中:
$D p=d-\ln \phi / \ln \frac{r_{\min }}{r_{\max }}, $
$ D \tau=1+\ln \bar{\tau} / \ln \frac{L_0}{2 \bar{r}}, $
式中:Swi为束缚水饱和度,单位为%;rmax为最大毛细管半径,单位为μm;rmin为最小毛细管半径,单位为μm;rc为临界毛细管半径,单位为μm;r为毛细管半径,单位为μm;τ为迂曲度;Dp为孔隙分形维数;Dτ为迂曲度分形维数;Δp为驱替压差,单位为MPa;μw为水相黏度,单位为mPa·s;ϕ为孔隙度,单位为%;d为欧几里德维数,取2;τ为平均迂曲度;r为平均毛细管半径,单位为μm;L0为岩样长度,单位为μm.
孔隙模型主要研究气藏在压力变化下相关参数的变化,发现气藏压降后,含水饱和度上升速度快于束缚水饱和度(吴建彪等,2023).此外,孔隙结构的改变导致孔隙体积减少,从而解释了束缚水转化为自由水产出的机理,说明束缚水存在应力敏感性(杨满平等,2004董红坤等,2004).气水相对渗透率模型则重点分析气水两相流动的关键特性,通过在不同气水饱和度条件下评估气相和水相在岩石孔隙中的流动能力,从而预测气藏开采中的产水情况(Mo et al., 2015Cao et al., 2017Elputranto and Akkutlu, 2020).这些方法通常依赖于个人经验判断,部分模型还需结合实验以更精确地判别产水机理.

1.2 实验分析

实验分析法通过核磁共振实验、压汞法毛管压力实验、半渗隔板法毛管压力实验、气水两相渗流实验和增压气驱水实验等技术手段,在获取致密砂岩储层特征的相关参数后,进行储层产水机理的分析.由于单一实验方法的适用性有限,通常需结合多种实验方法以全面解释储层的产水机理.表 5总结了这些方法的主要原理和特点.
表5 实验分析法分类

Table 5 Classification of experimental analysis methods

实验 原理 特点
气驱水 在饱和水条件下,通过逐级增加气驱压力,模拟储层压降,利用气体驱替岩心中的水.在各压力级别下,记录气体流量、压力变化和驱出水量,监测岩心中水的分布,分析确定可动水和残余水的量以及压力变化下水的动态行为(郭平等,2007许文平等,2012). 适用于研究储层中水的动态变化和气水相互作用.逐步模拟气驱过程中压力的变化,更准确描述水在储层中的动态行为.
核磁共振 通过核磁共振实验确定岩心T2cutoff,对比不同离心力下的含水饱和度和原始含水饱和度,确定饱和岩心达到原始含水饱和度的离心力大小(通常为300 psi),通过计算获得储层可动水饱和度(张杰等, 2019a, b). 该方法为非破坏性分析,能够精确了解储层孔隙大小分布和孔喉半径,并通过信号变化分析流体的动态行为.
相对渗透率 在实验室条件下模拟储层环境,对岩心样品进行饱和处理,测量不同含水饱和度下的渗透率,分析气体和水的流动能力,模拟生产过程中的水侵与产水现象(高树生等,2013叶礼友等,2015Zhang et al., 2023). 通过定量评估储层中流体的流动能力,能够模拟不同生产条件,并对实际生产结果进行预测.
毛管压力 通过施加不同的离心力或压力,模拟储层条件,测量不同压力下的含水饱和度,生成毛管压力曲线,确定束缚水饱和度(郭平等,2006黄伟岗等,2005陈鑫等,2022). 定量评估储层束缚水饱和度,模拟储层条件下水的分布状态,解释微细孔喉对气水流动的影响.

1.2.1 气驱水实验

岩心的孔隙结构(如孔隙大小、形状和连通性)显著影响水分的可动性.大孔隙和裂缝中的水较易驱出,而微孔隙中的水由于较强的表面张力和毛管压力作用,更难流动.气驱水实验利用岩样模拟储层气驱过程,结果显示,最先被驱出的水是裂缝和大孔隙中的自由水,而未被驱出的水为束缚水.随着注气速度的增加,束缚水饱和度下降,表明束缚水在气驱压力增大时转化为可动水,表现出速度敏感性(郭平等,2007杨云等,2019).一些学者通过微观可视化物理模型进行气驱水实验,发现气水两相在致密砂岩储层中以气水互封的状态存在,储层压力下降时,气体膨胀挤压水相运移并产出(高树生等,2012).
气驱水实验揭示了气体流动改变孔隙内水的分布.水在气驱过程中可能以“薄水膜”、“厚水膜”、“水柱”或“水珠”等形式存在,这些形态对气相渗流的影响各不相同(胡勇等,2011).气驱水实验的优势在于能够逐步模拟气驱过程中压力变化,准确描述水的动态行为,并通过调整气井设计和生产策略,适当控制水侵.

1.2.2 核磁共振实验

致密砂岩储层中的可动水通常赋存于较大的孔隙中,而束缚水以非连续相形式分布于孔隙边缘、岩石颗粒表面或角隅中.由于赋存特征不同,开发过程中可动水运移产出的难度明显低于束缚水.核磁共振(NMR)实验的T2谱曲线可以定性描述岩心内孔隙半径的大小及其分布,横向弛豫时间T2越长,表明孔隙半径越大,反之,T2弛豫时间越短,则孔隙半径越小(嵇雯等,2025).因此,T2谱曲线左峰对应束缚水含量,右峰对应可动水含量,可动水饱和度与气井产水量之间存在显著正相关关系(王丽影等,2012).基于核磁共振实验的结果,能够计算地层可动水饱和度(详见图 2),利用可动水饱和度,可进一步分析致密砂岩气藏储层的产水机理.
图2 可动水饱和度核磁共振测试原理图及计算方法图(张杰等,2019a)

Fig 2 Schematic diagram of movable water saturation NMR test and calculation method (Zhang et al., 2019a)

基于核磁共振实验,结合“双饱和度”法(曾静波等,2023),有研究对致密砂岩气藏储层的可动水饱和度进行了定量评价,发现其与气井产水量呈显著正相关,详见图 3.当含水饱和度高于临界水饱和度时,生产过程中储层压降会导致大孔喉内的可动水运移产出,同时,随着生产压差的增加,部分束缚水也可能转化为可动水产出.
图3 可动水饱和度与气井产水量关系(钟韬等,2018)

Fig 3 Relationship between movable water saturation and gas well water production (Zhong et al., 2018)

核磁共振实验因其非破坏性和高分辨率的优点,能够有效分析岩石孔隙中流体的动态行为,明确区分储层中的可动水和束缚水.通过将实验结果与测井数据结合,可建立可动水饱和度的常规测井解释模型,进而提升储层评价的精确度.这对评估气藏的产水潜力及制定优化开发策略至关重要(解永刚等,2025).

1.2.3 相对渗透率实验

相对渗透率实验通过模拟不同生产条件,定量评价储层中流体的流动能力,并分析储层中的气水分布(Fan et al., 2013Fu et al., 2015).实验表明,气相相对渗透率随着压力梯度的增大而降低,而水相相对渗透率则随之增加.相对渗透率曲线显示,气相渗透率曲线和等渗点均向左偏移(高树生等,2012叶礼友等,2015).这一现象表明,随着开发过程中压力梯度的增大,水气比上升,进而导致气井产水.图 4展示了不同压力梯度条件下气水相对渗透率的变化曲线.
图4 不同压力梯度下的气水相对渗透率曲线(叶礼友等,2015)

Fig 4 Relative permeability curves of gas and water under different pressure gradients (Ye et al., 2015)

进一步研究表明,“渗透率屏障理论”指出致密储层的气水两相共渗区域非常狭窄,甚至几乎不存在.因此,致密储层含水时,气相的相对渗透率极低,在某一范围的含水饱和度内,气水均无流动性(Bahrami et al., 2015Mehmani et al., 2019Lai et al., 2023).
图 5中,Swc为临界含水饱和度,Sgc为临界含气饱和度,Swirr为束缚水饱和度.相对渗透率实验通过模拟不同水饱和度条件,定量揭示了储层的流动特性,帮助评估储层中气水的分布与流动.该方法适用于评估低渗透、致密砂岩等难采储层的开发潜力,尤其是受水侵影响较大的气藏,可用于预测气井的产水时间及产量.然而,实验结果往往需要结合其他地质与工程数据进行校正和解释,以确保其准确性.
图5 传统和致密储层毛管压力和相对渗透率关系示意图(Shanley et al., 2004.)

Fig 5 Schematic diagram of the relationship between capillary pressure and relative permeability for conventional and tight reservoirs (Shanley et al., 2004)

1.2.4 毛管压力实验

毛管压力实验通常采用压汞法、离心法或半渗隔板法,主要用于研究多孔介质中流体的分布与运动特性.离心法通过施加不同的离心力来模拟地层毛管压力,证明了渗透率与束缚水饱和度之间并不总是呈负相关,渗透率低时束缚水饱和度并不一定很高,这与矿物成分及孔隙结构密切相关(郭平等,2006).
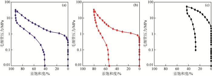
研究表明,针对致密砂岩储层的小孔径特征,半渗透隔板法毛管压力实验应采用阀压值为3 MPa的半渗透隔板(张冲等,2016).陈鑫等(2022)研究指出,当驱替压力从1.5 MPa上升至3 MPa时,含水饱和度的下降幅度逐渐减小,束缚水饱和度是指含水饱和度不再变化时岩样中的残余含水饱和度,详见图 6.这一研究表明,以束缚水为主的储层在射孔后基本不产水或产水量极小.
图6 LX-46井半渗透隔板毛管压力曲线(陈鑫等,2022)

Fig 6 Capillary pressure curve of semi-permeable diaphragm in well LX-46 (Chen et al., 2022)

压汞法毛管压力实验可有效提供储层孔隙系统信息,特别适用于致密储层中小孔喉的精确测量,能够详细反映孔隙与喉道的数量、尺寸及其分布范围(王跃祥等,2023).同时,压汞法还揭示了储层中束缚水和可动水的分布情况(朱华银等,2016),为储层产水能力的评估提供了重要依据.通过压汞法建立了精确的束缚水饱和度计算模型,实现对储层产水情况的定量分析.此外,毛管压力曲线的形态还能用于辅助判断地层水的赋存状态(孟德伟等,2016).不同类型地层水的压汞曲线特征详见图 7.
图7 具有不同赋存状态地层水的岩石样品压汞曲线特征(孟德伟等,2016)

(a)自由水赋存状态压汞曲线特征, 苏39井,3848.9 m, ϕ=13.9%,K=1.24×10-3 μm2; (b)滞留水赋存状态压汞曲线特征, 苏164井,3657.7 m, ϕ=8.4%, K=0.6×10-3 μm2; (c)束缚水赋存状态压汞曲线特征,苏166井,3642.2 m, ϕ=3.8%,K=0.04×10-3 μm2.

Fig 7 Characteristics of Hg compression curves of rock samples with different fugitive states of formation water (Meng et al., 2016)

(a)Occurrence state of movable water and characteristics of mercury intrusion porosimetry curve in well Su-39, 3848.9 m, ϕ=13.9%, K=1.24×10-3 μm; (b)Occurrence state of trapped water and characteristics of mercury intrusion porosimetry curve in well Su-164, 3657.7 m, ϕ=8.4%, K=0.6×10-3 μm; (c)Occurrence state of irreducible Water and characteristics of mercury intrusion porosimetry curve in well Su-166, 3642.2 m, ϕ=3.8%, K=0.04×10-3 μm.

毛管压力实验能够识别潜在的水封区域及储层的产水潜力,适用于分析岩石微观孔隙结构,揭示孔隙大小和连通性的特征.对于复杂孔隙结构的致密储层,选择适当的驱替压力可揭示微细孔喉对气水流动的影响.此外,毛管压力实验可与其他方法(如核磁共振实验、气驱水实验)结合,提供更全面的储层特性评价.

1.3 产出水特征分析

致密砂岩气藏以低孔隙度、低渗透率、低丰度及大面积展布为主要特征,产出水不仅直接影响气田的开发效率与经济效益,还关乎气田水侵的防治与生产制度的优化调整.气藏出水的地层水源多样化,不同水源的流动特性进一步加剧了气水分布的非均质性,导致气藏储量动用不均,最终降低了气藏的可采储量(窦伟坦等,2010王金等,2016).为分析气藏产水机理,前人提出了一系列方法以识别产出水来源及特征.这些方法包括但不限于:水样化学成分测试、生产水气比分析、历史生产数据分析、气井返排率分析以及各种地层水地球化学特征的综合评价(梁积伟等,2013李功强等,2017).产出水特征分析具体分析方法及适用性详见表 6.
表6 产水特征分析方法分类及适用性

Table 6 Produced water characterization methods and applicability

方法名称 具体分析 适用性
水样化学成分测试 凝析水产出时矿化度低,地层水产出时矿化度显著增大,结合钠氯系数、脱硫系数和变质系数等离子组合系数对比分析,以确定地层水的分类. 能明显区分凝析水,但单凭水型无法详细分析产水来源,需结合其他方法.
生产水气比 (Water-Gas Ratio) 凝析水产出:WGR低且稳定;束缚水产出:WGR有上升趋势且产气量稳定;层间水产出:WGR显著上升且产气量下降. WGR与气井产水程度呈正相关,可大致判断产出水类型,但需结合其他方法进一步分析产水机理.
生产动态 凝析水产出:投产即出水,产水量小且稳定,井口压力缓慢下降;束缚水产出:产水量小幅上升,产气量稳定,井口压力下降缓慢;层间水产出:产水量大幅增加,产气量下降,井口压力明显下降. 该方法能较为准确地判断地层水类型,但分析周期长,可能导致气井水侵严重.
返排率 通过分析不同类型水的返排率确定阈值.压裂液返排率最高,束缚水返排率最低,可动水的返排率介于两者之间. 返排率分析能有效识别储层的产出水类型,但需结合其他方法深入分析产水机理.
产出水地层条件下的体积分数 李锦等(2012)提出的方法,不同产水类型下该体积分数差异明显.凝析水时体积分数最小,束缚水时略有增加,层间水时显著增加. 该方法可根据区块特征计算体积分数,作为辅助验证产出水类型的手段.
产出水特征分析方法在判断产水类型和揭示产水机理方面具有重要作用.陈林等(2013)在礁滩气藏研究中应用水样化学分析技术,利用矿化度、Na+/Cl-系数及其他离子浓度的变化来有效区分地层水和凝析水.特别是对地层水类型的识别有较高的准确性.李功强等(2017)则通过CaCl2型地层水的特征,推断其气藏的封闭性,促进了天然气的聚集与保存.周俊杰等(2011)在大牛地低渗气田的研究中,采用生产水气比(WGR)来识别不同类型的产水情况.研究表明,WGR值的上升通常意味着地层水入侵,而稳定的WGR值则表明凝析水的产出.这与表 6中关于WGR分析方法的描述相一致.生产过程中,通过监测井口压力、产气量和产水量的变化可以分析产水特征.例如,周俊杰等(2011)的研究表明,产水量增加并伴随产气量下降时,通常意味着层间水的存在.此外,崔明明等(2018)指出,苏里格气田的层间水入侵常伴随着井口压力的显著下降.通过长期的生产动态分析,这种方法能够准确识别产水类型.李锦等(2012)研究了不同类型水的返排率,发现压裂液的返排率较高,而束缚水的返排率较低.此方法可有效识别储层中不同来源的水,尤其在压裂作业初期表现出良好的应用效果.李锦等还提出了通过产出水在地层条件下的体积分数来识别气井产水来源的有效方法.该方法基于气体从地下向地面流动时,体积因压力和温度变化而膨胀,通过将流体体积换算为地层条件下的体积,并计算水占总流体体积的比例,判断产出水的来源.该方法特别适用于低渗透气藏,尤其在气井生产过程中,当产水量较大或较小时,通过计算体积分数可以有效辅助判断水的来源,再结合水样化学分析、生产动态等其他方法,能够更加精确地识别气井的产水特征及来源.
不同于前述两类方法,产水特征分析方法基于对实际生产数据的分析或计算,能够直接确定产出水的类型.由于仅凭此方法难以深入解析产水机理,通常需要结合理论模型与实验分析共同判断储层的产水原因.因此,该方法多作为产水机理研究中的辅助工具.

2 结论与展望

致密砂岩气藏具有低孔隙度、低渗透率、复杂孔喉结构及气水两相赋存关系和渗流特征复杂等特性,给产水机理的研究带来了诸多挑战.本文首次系统地将致密砂岩气藏产水机理的研究方法归纳为三类:理论及建立模型分析、实验分析以及产出水特征分析,其中实验分析法是目前研究产水机理的主要手段.这种分类有助于更全面地理解不同研究方法的优势、局限性及其适用场景.深入探讨了各方法的特点及适用性,并提出了改进建议.基于上述分析,本文得出以下结论与展望.

2.1 结论

(1) 实验分析法是研究致密砂岩气藏产水机理的主流方法,但实验室条件与现场环境的差异可能限制其现场应用.因此,实际研究中需将理论分析、实验分析与产出水特征分析相结合,共同验证储层的产水机理,确保研究的准确性.
(2) 理论分析法通过储层气水赋存理论或模型,从宏观和微观两个层面揭示气水在储层中的分布、流动和相互作用.实验分析法能够直观研究储层的产水机理,并通过实验结果进行验证.产出水特征分析法则辅助判断产水类型和产水机理.
(3) 理论分析法基于假设和简化,难以全面捕捉实际储层的复杂性与非均质性,高度抽象的模型可能无法反映储层的细节.实验分析法难以完全模拟储层环境,实验数据需要结合地质与工程数据进行校正与解释,这增加了数据处理的复杂性,也可能导致实验结果与现场情况存在偏差.产出水特征分析法虽然直接利用现场数据,但难以定性分析气水赋存状态和产水机理,更多依赖经验判断,需与其他方法结合进行综合分析.

2.2 展望

(1) 致密砂岩储层的产水机理复杂,为了更精确地预测和评估产水情况,需充分发挥不同方法的优势进行交叉验证.结合不同区块的储层特性建立适合的模型,并通过反复验证提高模型的准确性.同时,改进实验流程,减少实验误差,提高气水分布的观测精度.结合化学或同位素分析技术与大数据,增强对产出水来源和特征的识别,精确辅助判断产水类型与机理.
(2) 加强现场数据的采集精度,增加实验次数和规模,结合实验与数值模拟以获取更全面的数据集.利用这些数据进行模型的校准和验证,提升模型的适用性.同时,建立致密砂岩气藏产水机理的综合数据库,运用机器学习或人工智能算法进行数据分析,从中提取与产水机理相关的趋势,提高未来研究的准确性.

感谢审稿专家提出的修改意见和编辑部的大力支持!

Bahrami N, Dousi N, Lashari A. 2015. Evaluation of damage mechanisms in tight gas reservoirs: integration of laboratory experiments and field data with numerical simulation. //SPE Offshore Europe Conference and Exhibition. Aberdeen, Scotland, UK: SPE, doi: 10.2118/175433-MS.

Cao R Y , Ye L Y , Lei Q H , et al. Gas-water flow behavior in water-bearing tight gas reservoirs. Geofluids, 2017, 2017: 9745795

DOI

Chen F H , Wang Z D , Fu S S , et al. Research on transformation of connate water to movable water in water-bearing tight gas reservoirs. Energies, 2023, 16 (19): 6961

DOI

Chen L , Zhang Y C , Tang T , et al. Analysis and identification of producing water source in reef-bank gas reservoirs. Fault-Block Oil & Gas Field, 2013, 20 (4): 481- 484.

DOI

Chen X , Ma L T , Shi C L , et al. Water occurrence and identification method of the water-bearing degree of tight sandstone reservoirs in the Linxing Block. Geology and Exploration, 2022, 58 (6): 1331- 1340.

DOI

Cui M M , Wang Z X , Fan A P , et al. Characteristics of formation water and gas-water relation in Southwest Sulige Gas Field, Ordos Basin. Natural Gas Geoscience, 2018, 29 (9): 1364- 1375.

DOI

Dong H K , Li X F , Cheng S Q . Pressure-sensitive effect study of movable water saturation in gas reservoirs by block model. Natural Gas Industry, 2004, 24 (12): 111- 112.

DOI

Dou W T , Liu X S , Wang T . The origin of formation water and the regularity of gas and water distribution for the Sulige gas field, Ordos Basin. Acta Petrolei Sinica, 2010, 31 (5): 767- 773.

DOI

Elputranto R , Akkutlu I Y . Near-fracture capillary end effect on shale-gas and water production. SPE Journal, 2020, 25 (4): 2041- 2054.

DOI

Fan J J, Zhou H M, Liu S B, et al. 2013. Gas-water two phases flow characterization and its influencing factors in low permeability tight sandstone. //Unconventional Resources Technology Conference. Denver, Colorado: SEG, 2665-2671, doi: 10.1190/urtec2013-278.

Fu X , Agostini F , Skoczylas F , et al. Experimental study of the stress dependence of the absolute and relative permeabilities of some tight gas sandstones. International Journal of Rock Mechanics and Mining Sciences, 2015, 77: 36- 43.

DOI

Gao S S , Hou J R , Yang H Z , et al. Water production mechanism of Xujiahe low-permeability sandstone gas reservoirs in Middle Sichuan Basin. Natural Gas Industry, 2012, 32 (11): 40- 42.

DOI

Gao S S , Ye L Y , Xiong W , et al. Seepage mechanism and strategy for development of large and low permeability and tight sandstone gas reservoirs with water content. Journal of Oil and Gas Technology, 2013, 35 (7): 93- 99.

DOI

Guo C H , Zhou W , Kang Y L , et al. A comprehensive estimation method on the origin of water produced in gas wells of Jingbian gas field. Natural Gas Industry, 2007, 27 (10): 97- 99.

DOI

Guo P , Huang W G , Jiang Y W , et al. Research on the irreducible and movable water of tight sandstone gas reservoir. Natural Gas Industry, 2006, 26 (10): 99- 101.

DOI

Guo P , Xu Y G , Chen Z Y , et al. New ideas obtained from laboratory study of flowing mechanisms in low-permeability reservoirs. Natural Gas Industry, 2007, 27 (7): 86- 88.

DOI

Heng Y. 2018. Gas-water distribution and the countermeasures of water-government based on reservoir architecture-taking the low permeability sandstone reservoirs of the 8th member of Xiashihezi Formation[Ph. D. thesis] (in Chinese). Chengdu: Chengdu University of Technology.

Hu Y , Shao Y , Lu Y L , et al. Experimental study on occurrence models of water in pores and the influencing to the development of tight gas reservoir. Natural Gas Geoscience, 2011, 22 (1): 176- 181.

Hu Y , Li X Z , Lu X G , et al. Varying law of water saturation in the depletion-drive development of sandstone gas reservoirs. Petroleum Exploration and Development, 2014, 41 (6): 723- 726.

DOI

Huang W G , Guo P , Jiang Y W , et al. Movable water experiments of Qiao-Bai gas reservoirs. Natural Gas Exploration and Development, 2005, 28 (2): 39- 42.

DOI

Ji W, Liu Z D, Xiang W, et al. 2024. Calculation of T2 cutoff value by integrating Gaussian function and reservoir classification fitting method. Progress in Geophysics (in Chinese), 1-11. http://kns.cnki.net/kcms/detail/11.2982.P.20241205.1026.027.html.

Karadimitriou N K, Hassanizadeh S M. 2012. A review of micromodels and their use in two-phase flow studies. Vadose Zone Journal, 11(3): vzj2011.0072, doi: 10.2136/vzj2011.0072.

Kong L R , Qu Z H , Wan F B , et al. Experiments of two fluid phase displacement in sandstone micromodels. Petroleum Exploration and Development, 1991, 12 (4): 79- 85.

Lai F P , Li Z P , Wei H X , et al. Characterization of the generalized permeability jail in tight reservoirs by analyzing relative-permeability curves and numerical simulation. Petroleum Science, 2023, 20 (5): 2939- 2950.

DOI

Li G Q , Chen Y L , Jia H C , et al. Occurrence and distribution characteristics of fluids in tight sandstone reservoirs in the Shilijiahan zone, northern Ordos Basin. Natural Gas Industry, 2017, 37 (2): 11- 18.

DOI

Li G X , Lei Z D , Dong W H , et al. Progress, challenges and prospects of unconventional oil and gas development of CNPC. China Petroleum Exploration, 2022, 27 (1): 1- 11.

DOI

Li H B , Guo H K , Li H J , et al. Thickness analysis of bound water film in tight reservoir. Natural Gas Geoscience, 2015, 26 (1): 186- 192.

DOI

Li J , Wang X H , Zhu L Y , et al. A study of comprehensive discriminant methods of the source of water-yielding in gas reservoirs. Natural Gas Geoscience, 2012, 23 (6): 1185- 1190.

Liang J W , Li R X , Chen Y L . Geochemical behaviors and genesis of formation water in 8th Member of Xiashihezi Formation in western Sulige gas field, Ordos Basin. Oil and Gas Geology, 2013, 34 (5): 625- 630.

DOI

Lionel C , Fu X W , Ioannis N , et al. An experimental study of secondary oil migration. AAPG Bulletin, 1992, 76 (5): 638- 650.

DOI

Liu D X , Yue X A , Hou J R , et al. Experimental study of adsorded water layer on solid particle surface. Acta Mineralogica Sinica, 2005, 25 (1): 15- 19.

DOI

Liu G F , Wang W J , Zhang H L , et al. Study on calculation method of irreducible water saturation in tight sandstone gas reservoirs based on fractal theory. Journal of Shaanxi University of Science and Technology, 2017, 35 (1): 110- 113.

DOI

Mehmani A , Milliken K , Prodanovié M . Predicting flow properties in diagenetically-altered media with multi-scale process-based modeling: A Wilcox Formation case study. Marine and Petroleum Geology, 2019, 100: 179- 194.

DOI

Meng D W , Jia A L , Ji G , et al. Water and gas distribution and its controlling factors of large scale tight sand gas: A case study of western Sulige gas field, Ordos Basin, NW China. Petroleum Exploration and Development, 2016, 43 (4): 607- 614. 607-614, 635

DOI

Mo S Y , He S L , Lei G , et al. Effect of the drawdown pressure on the relative permeability in tight gas: A theoretical and experimental study. Journal of Natural Gas Science and Engineering, 2015, 24: 264- 271.

DOI

Montemagno C D , Gray W G . Photoluminescent volumetric imaging: A technique for the exploration of multiphase flow and transport in porous media. Geophysical Research Letters, 1995, 22 (4): 425- 428.

DOI

Qu Z H , Kong L R . Study on the formation of residual water with transparent porous models. Petroleum Geology & Experiment, 1986, 8 (1): 72- 78.

DOI

Shanley K W , Cluff R M , Robinson J W . Factors controlling prolific gas production from low-permeability sandstone reservoirs: Implications for resource assessment, prospect development, and risk analysis. AAPG Bulletin, 2004, 88 (8): 1083- 1121.

DOI

Sheng J , Sun W , Duan B H , et al. Water lock effect mechanism of tight sandstone gas reservoir: An example of the He 8 Reservoir of the Upper Paleozoic in the southeast region of Sulige gasfield. Natural Gas Geoscience, 2015, 26 (10): 1972- 1978.

DOI

Shi P Y , Xu S H , Feng J M , et al. Log identification of fluid types in tight sandstone reservoirs using an improved Stacking algorithm. Progress in Geophysics, 2024, 39 (1): 280- 290.

DOI

Shi Q. 2019. Activation characteristics of bound water in tight gas reservoirs and development strategies. //Proceedings of the 31st National Natural Gas Academic Annual Conference (2019) (in Chinese). Hefei, 436-444, doi: 10.26914/c.cnkihy.2019.071472.

Sima L Q , Wang C , Wang L , et al. Effect of pore structure on the seepage characteristics of tight sandstone reservoirs: A case study of Upper Jurassic Penglaizhen Fm reservoirs in the western Sichuan Basin. Natural Gas Industry, 2016, 36 (12): 18- 25.

DOI

Sun H F , Wang X L , Cheng Y C , et al. The application of water source identification to control water breakthrough in gas wells of the Sebei gas field. Natural Gas Industry, 2009, 29 (7): 76- 78.

DOI

Sun L D , Zou C N , Jia A L , et al. Development characteristics and orientation of tight oil and gas in China. Petroleum Exploration and Development, 2019, 46 (6): 1015- 1026.

DOI

Tian J , Kang Y L , You L J , et al. Investigation on water phase trapping mechanisms in tight gas reservoirs: Pore-scale visualization observation and core-scale flooding analysis. Journal of Petroleum Science & Engineering, 2021, 198: 108185

DOI

Tian L , He S L , Liu S J , et al. Features of gas and water distribution in the Xujiahe formation gas reservoir of Guang'an area. Natural Gas Industry, 2009, 29 (6): 23- 26.

DOI

Tian W B , Li A F , Ren X X , et al. The threshold pressure gradient effect in the tight sandstone gas reservoirs with high water saturation. Fuel, 2018, 226: 221- 229.

DOI

Wang C. 2017. Pore structure evaluation and microscopic gas-water occurrence mechanism of tight sandstone reservoirs in Penglaizhen Formation, Western Sichuan[Master's thesis] (in Chinese). Chengdu: Southwest Petroleum University.

Wang J , Kang Y S , Jiang S Y , et al. Reasons for water production difference of CBM wells in Shouyang Block, Qinshui Basin, and prediction on favorable areas. Natural Gas Industry, 2016, 36 (8): 52- 59.

DOI

Wang L , Yang S L , Peng X , et al. Visual experiments on the occurrence characteristics of multi-type reservoir water in fracture-cavity carbonate gas reservoir. Acta Petrolei Sinica, 2018, 39 (6): 686- 696.

DOI

Wang R F , Chen M Q . Characteristics and influencing factors of movable fluid in ultra-low permeability sandstone reservoir. Acta Petrolei Sinica, 2008, 29 (4): 558- 561. 558-561, 566

DOI

Wang X M , Zhao J Z , Liu X S . Occurrence state and production mechanism of formation water in tight sandstone reservoirs of Sulige area, Ordos Basin. Petroleum Geology & Experiment, 2012, 34 (4): 400- 405.

DOI

Wang Y X , Xie B , Lai Q , et al. Evaluation of pore structure and classification in tight gas reservoir based on NMR logging. Progress in Geophysics, 2023, 38 (2): 759- 767.

DOI

Wang L Y , Yang H Z , Ye L Y , et al. Movable water saturation used for the forecast of water production features in gas wells in the Xujiahe Formation of Middle Sichuan Basin. Natural Gas Industry, 2012, 32 (11): 47- 50.

DOI

Wu J B , Wang R F , Yang C , et al. Micro nano pore throat CT imaging ball stick model of tight sandstone gas reservoir in Ordos Basin. Progress in Geophysics, 2023, 38 (1): 337- 347.

DOI

Xiao X , Wang Z H , Ye Y F , et al. Novel porosity prediction method for tight sandstone reservoirs: a case study of member of He8, Ordos Basin, Northern China. Progress in Geophysics, 2024, 39 (4): 1597- 1606.

DOI

Xie Y G, Shi H Q, Li X L, et al. 2024. Study on microscopic damage characteristics of fracturing fluids in different types of tight sandstone reservoirs based on nuclear magnetic resonance technology. Progress in Geophysics (in Chinese), 1-13. http://kns.cnki.net/kcms/detail/11.2982.p.20240905.1738.042.html.

Xiong Z, Gao H, Liu J, et al. 2018. Study on microscopic seepage and water production mechanism in tight sandstone gas reservoirs of Western Sulige. //2018 China Oil & Gas Development Technology Conference (in Chinese). Beijing: Chinese Petroleum Society, 306-315.

Xu W P , Wu C D , Guan P , et al. Prediction of free water in the unconsolidated sandstone reservoir in the quaternary gas field, Qaidam Basin. Natural Gas Geoscience, 2012, 23 (5): 952- 955.

Yang M P , Li Y , Peng C Z . Analysis of stress sensitivity for irreducible water of gas reservoir. Natural Gas Geoscience, 2004, 15 (4): 391- 394.

DOI

Yang Y , Gu D Y , Lian Y X , et al. Mechanisms and prevention & control countermeasures of water breakthrough in horizontal wells in multi-layer unconsolidated sandstone gas reservoirs: A case study of the Tainan Gas Field in the Qaidam Basin. Natural Gas Industry, 2019, 39 (5): 85- 92.

DOI

Ye L Y , Gao S S , Xiong W , et al. Demonstration of mobile water saturation as evaluation parameter of low permeability sandstone gas reservoir. Journal of Oil and Gas Technology, 2011, 33 (1): 57- 59.

DOI

Ye L Y , Gao S S , Yang H Z , et al. Water production mechanism and development strategy of tight sandstone gas reservoirs. Natural Gas Industry, 2015, 35 (2): 41- 46.

DOI

Zeng J B , Zheng Q W , Xie X Q , et al. New method of saturation calculation based on NMR experiment and application. Progress in Geophysics, 2023, 38 (3): 1228- 1237.

DOI

Zhang C , Zhang C M , Zhang Z S , et al. Comparative experimental study of the core irreducible water saturation of tight gas reservoir. Natural Gas Geoscience, 2016, 27 (2): 352- 358.

Zhang H T , Shi Z . Characteristic of water bearing formation and well logging identification method of gas reservoir in Sulige gas field. Journal of Jilin University (Earth Science Edition), 2010, 40 (2): 447- 454.

DOI

Zhang J, Gao S S, Ye L Y, et al. 2019a. Relationship Between Reservoir Movable Water Saturation and Gas Reservoir Water Production Characteristics. //Proceedings of the 31st National Natural Gas Academic Annual Conference (2019), (02 Gas Reservoir Development) (in Chinese). Hefei, 70-80.

Zhang J , Li X Z , Gao S S , et al. Water production mechanism of tight sandstone gas reservoir and its influence on percolation capacity. Natural Gas Geoscience, 2019b, 30 (10): 1519- 1530.

DOI

Zhang J , Li X Z , Shen W J , et al. Study of the effect of movable water saturation on gas production in tight sandstone gas reservoirs. Energies, 2020, 13 (18): 4645

DOI

Zhang J. 2021. Research on production mechanism and main controlling factors of pore water in tight sandstone gas reservoirs[Ph. D. thesis] (in Chinese). Langfang: University of Chinese Academy of Sciences (Institute of Porous Flow and Fluid Mechanics, China National Petroleum Corporation & Chinese Academy of Sciences).

Zhang L N , Li X P , Zhao C S , et al. The judgement on the origin and the phase state in underground reservoir of produced water in gas well. Journal of Daqing Petroleum Institute, 1993, 17 (2): 107- 111.

Zhang R , Gao Y , Zhang Y B , et al. Gas and water seepage of tight gas and its application in well production analysis. Geofluids, 2023, 2023: 5157780

DOI

Zhang W , Han X G , Xu W , et al. Water production analysis and water-control production of gas wells in eastern Sulige gasfield. Special Oil & Gas Reservoirs, 2016, 23 (5): 103- 105.

DOI

Zhang P P . Application of physical simulation of seepage mechanism to the study of reasons of water breakthrough in gas wells: A case study of the Sebei gas field. Natural Gas Industry, 2009, 29 (7): 64- 67.

DOI

Zhang X Q , Dai Z , Liu L , et al. Application of theory of water film to reform the reservoir in tight and low permeability sandstone. Journal of Mineralogy and Petrology, 1998, 18 (S1): 161- 163.

Zhong T , Xia Y , Liu C X , et al. High watercut characteristics and water-producing mechanisms in tight sandstone gas reservoirs, Xihu sag, East China Sea. Natural Gas Exploration and Development, 2018, 41 (3): 75- 80.

DOI

Zhou J J , Li Y C , Song D B , et al. Water production pattern of Daniudi low-permeability gas field, Ordos Basin. Oil and Gas Geology, 2011, 32 (6): 946- 951.

DOI

Zhou N W , Lu S F , Zhang P F , et al. Tight gas charging and accumulation mechanisms and mathematical model. Petroleum Exploration and Development, 2023, 50 (6): 1411- 1425.

DOI

Zhou Y Q , Zhang J J , Zhang G Z , et al. Research on rock physical modeling and "sweet spot" prediction methods for tight sandstone reservoirs. Progress in Geophysics, 2025, 40 (1): 255- 265.

DOI

Zhu H Y , Zhou J , Wan Y J , et al. Microscopic mechanism study of gas-water flow in porous media. Petroleum Geology & Experiment, 2004, 26 (6): 571- 573.

DOI

Zhu H Y , Xu X , An L Z , et al. An experimental on occurrence and mobility of pore water in tight gas reservoirs. Acta Petrolei Sinica, 2016, 37 (2): 230- 236.

DOI

Zou C N , Lin M J , Ma F , et al. Development, challenges and strategies of natural gas industry under carbon neutral target in China. Petroleum Exploration and Development, 2024, 51 (2): 418- 435.

DOI

, 友彩 , , 等. 礁滩气藏产水来源分析与识别. 断块油气田, 2013, 20 (4): 481- 484.

DOI

, 立涛 , 长林 , 等. 临兴区块致密砂岩储层水赋存状态及气层含水程度识别方法. 地质与勘探, 2022, 58 (6): 1331- 1340.

DOI

明明 , 宗秀 , 爱萍 , 等. 鄂尔多斯盆地苏里格气田西南部地层水特征与气水关系. 天然气地球科学, 2018, 29 (9): 1364- 1375.

DOI

红坤 , 相方 , 时清 . 利用方块模型研究气藏可动水饱和度的压敏效应. 天然气工业, 2004, 24 (12): 111- 112.

DOI

伟坦 , 新社 , . 鄂尔多斯盆地苏里格气田地层水成因及气水分布规律. 石油学报, 2010, 31 (5): 767- 773.

DOI

树生 , 吉瑞 , 洪志 , 等. 川中地区须家河组低渗透砂岩气藏产水机理. 天然气工业, 2012, 32 (11): 40- 42.

DOI

树生 , 礼友 , , 等. 大型低渗致密含水气藏渗流机理及开发对策. 石油天然气学报, 2013, 35 (7): 93- 99.

DOI

春华 , , 毅力 , 等. 靖边气田气井产水成因综合判断方法. 天然气工业, 2007, 27 (10): 97- 99.

DOI

, 伟岗 , 贻伟 , 等. 致密气藏束缚与可动水研究. 天然气工业, 2006, 26 (10): 99- 101.

DOI

, 永高 , 召佑 , 等. 对低渗气藏渗流机理实验研究的新认识. 天然气工业, 2007, 27 (7): 86- 88.

DOI

衡勇. 2018. 基于储层构型分析的气水分布规律及治水对策研究——以苏里格南区盒8段低渗砂岩气藏为例[博士论文]. 成都: 成都理工大学.

, , 永亮 , 等. 低渗气藏储层孔隙中水的赋存模式及对气藏开发的影响. 天然气地球科学, 2011, 22 (1): 176- 181.

, 熙喆 , 祥国 , 等. 砂岩气藏衰竭开采过程中含水饱和度变化规律. 石油勘探与开发, 2014, 41 (6): 723- 726.

DOI

伟岗 , , 怡伟 , 等. 桥白气藏可动水实验研究. 天然气勘探与开发, 2005, 28 (2): 39- 42.

DOI

嵇雯, 刘之的, 向威, 等. 2025. 融合高斯函数与储层分类拟合法计算T2截止值. 地球物理学进展, 1-11, http://kns.cnki.net/kcms/detail/11.2982.P.20241205.1026.027.html.

令荣 , 志浩 , 发宝 , 等. 砂岩微观孔隙模型两相驱替实验. 石油勘探与开发, 1991, 12 (4): 79- 85.

功强 , 雨霖 , 会冲 , 等. 鄂尔多斯盆地北部十里加汗区带致密砂岩储层流体赋存状态及分布特征. 天然气工业, 2017, 37 (2): 11- 18.

DOI

国欣 , 征东 , 伟宏 , 等. 中国石油非常规油气开发进展、挑战与展望. 中国石油勘探, 2022, 27 (1): 1- 11.

DOI

海波 , 和坤 , 海舰 , 等. 致密储层束缚水膜厚度分析. 天然气地球科学, 2015, 26 (1): 186- 192.

DOI

, 新海 , 黎鹞 , 等. 气藏产水来源综合判别方法研究. 天然气地球科学, 2012, 23 (6): 1185- 1190.

积伟 , 荣西 , 玉良 . 鄂尔多斯盆地苏里格气田西部盒8段地层水地球化学特征及成因. 石油与天然气地质, 2013, 34 (5): 625- 630.

DOI

德新 , 湘安 , 吉瑞 , 等. 固体颗粒表面吸附水层厚度实验研究. 矿物学报, 2005, 25 (1): 15- 19.

DOI

广峰 , 文举 , 红玲 , 等. 基于分形理论的致密气藏束缚水饱和度计算模型研究. 陕西科技大学学报, 2017, 35 (1): 110- 113.

DOI

德伟 , 爱林 , , 等. 大型致密砂岩气田气水分布规律及控制因素——以鄂尔多斯盆地苏里格气田西区为例. 石油勘探与开发, 2016, 43 (4): 607- 614. 607-614, 635

DOI

志浩 , 令荣 . 用透明孔隙模型研究油层残余水的形成. 石油实验地质, 1986, 8 (1): 72- 78.

DOI

, , 宝虹 , 等. 致密砂岩气藏水锁效应机理探析——以苏里格气田东南区上古生界盒8段储层为例. 天然气地球科学, 2015, 26 (10): 1972- 1978.

DOI

鹏宇 , 思慧 , 加明 , 等. 基于改进Stacking算法的致密砂岩储层测井流体识别. 地球物理学进展, 2024, 39 (1): 280- 290.

DOI

石强. 2019. 致密气层束缚水"活化"特征及开发对策. //第31届全国天然气学术年会(2019). 合肥, 436-444, doi: 10.26914/c.cnkihy.2019.071472.

司马 立强 , , , 等. 致密砂岩储层孔隙结构对渗流特征的影响——以四川盆地川西地区上侏罗统蓬莱镇组储层为例. 天然气工业, 2016, 36 (12): 18- 25.

DOI

虎法 , 小鲁 , 艳春 , 等. 水源识别技术在涩北气田气井出水中的应用. 天然气工业, 2009, 29 (7): 76- 78.

DOI

龙德 , 才能 , 爱林 , 等. 中国致密油气发展特征与方向. 石油勘探与开发, 2019, 46 (6): 1015- 1026.

DOI

, 顺利 , 胜军 , 等. 广安地区须家河组气藏气水分布特征. 天然气工业, 2009, 29 (6): 23- 26.

DOI

王超. 2017. 川西蓬莱镇组致密砂岩储层孔隙结构评价及气水微观赋存机理研究[硕士论文]. 成都: 西南石油大学.

, 永尚 , 杉钰 , 等. 沁水盆地寿阳区块煤层气井产水差异性原因分析及有利区预测. 天然气工业, 2016, 36 (8): 52- 59.

DOI

, 胜来 , , 等. 缝洞型碳酸盐岩气藏多类型储层内水的赋存特征可视化实验. 石油学报, 2018, 39 (6): 686- 696.

DOI

瑞飞 , 明强 . 特低渗透砂岩储层可动流体赋存特征及影响因素. 石油学报, 2008, 29 (4): 558- 561. 558-561, 566

DOI

晓梅 , 靖舟 , 新社 . 苏里格地区致密砂岩地层水赋存状态和产出机理探讨. 石油实验地质, 2012, 34 (4): 400- 405.

DOI

跃祥 , , , 等. 基于核磁共振测井的致密气储层孔隙结构评价与分类. 地球物理学进展, 2023, 38 (2): 759- 767.

DOI

丽影 , 洪志 , 礼友 , 等. 利用可动水饱和度预测川中地区须家河组气井产水特征. 天然气工业, 2012, 32 (11): 47- 50.

DOI

建彪 , 瑞飞 , , 等. 鄂尔多斯盆地致密砂岩气藏微观孔喉球棍模型表征方法. 地球物理学进展, 2023, 38 (1): 337- 347.

DOI

, 志红 , 云飞 , 等. 致密砂岩储层孔隙度预测方法研究. 地球物理学进展, 2024, 39 (4): 1597- 1606.

DOI

解永刚, 石华强, 李小玲, 等. 2025. 基于核磁共振技术的不同类型致密砂岩储层压裂液微观伤害特征研究. 地球物理学进展, 1-13. http://kns.cnki.net/kcms/detail/11.2982.p.20240905.1738.042.html.

熊哲, 高航, 刘俊, 等. 2018. 苏里格西区致密砂岩气藏微观渗流产水机理研究. //2018中国油气开发技术大会. 北京: 中国石油学会, 306-315.

文平 , 朝东 , , 等. 柴达木盆地第四系疏松砂岩天然气储层可动水预测方法研究. 天然气地球科学, 2012, 23 (5): 952- 955.

满平 , , 彩珍 . 气藏储层含束缚水的应力敏感性分析. 天然气地球科学, 2004, 15 (4): 391- 394.

DOI

, 端阳 , 运晓 , 等. 多层疏松砂岩气藏水平井出水机理及防控对策——以柴达木盆地台南气田为例. 天然气工业, 2019, 39 (5): 85- 92.

DOI

礼友 , 树生 , , 等. 可动水饱和度作为低渗砂岩气藏储层评价参数的论证. 石油天然气学报, 2011, 33 (1): 57- 59.

DOI

礼友 , 树生 , 洪志 , 等. 致密砂岩气藏产水机理与开发对策. 天然气工业, 2015, 35 (2): 41- 46.

DOI

静波 , 庆伟 , 晓庆 , 等. 基于核磁实验的饱和度计算新方法及其应用. 地球物理学进展, 2023, 38 (3): 1228- 1237.

DOI

, 超谟 , 占松 , 等. 致密气储层岩心束缚水饱和度实验对比. 天然气地球科学, 2016, 27 (2): 352- 358.

海涛 , . 苏里格气田储层含水特征与测井识别方法. 吉林大学学报(地球科学版), 2010, 40 (2): 447- 454.

DOI

张杰, 高树生, 叶礼友, 等. 2019a. 储层可动水饱和度与气藏产水特征关系研究. //第31届全国天然气学术年会(2019)论文集(02气藏开发). 合肥, 70-80.

, 熙喆 , 树生 , 等. 致密砂岩气藏产水机理及其对渗流能力的影响. 天然气地球科学, 2019b, 30 (10): 1519- 1530.

DOI

张杰. 2021. 致密砂岩气藏孔隙水产出机理与主控因素研究[博士论文]. 廊坊: 中国科学院大学(中国科学院渗流流体力学研究所).

丽囡 , 笑萍 , 春森 , 等. 气井产出水的来源及地下相态的判断. 大庆石油学院学报, 1993, 17 (2): 107- 111.

, 兴刚 , , 等. 苏东气井产水原因分析及控水生产研究. 特种油气藏, 2016, 23 (5): 103- 105.

DOI

培平 . 用渗流机理物理模拟技术研究气田出水机理——以涩北气田为例. 天然气工业, 2009, 29 (7): 64- 67.

DOI

学庆 , , , 等. 水膜理论在致密低渗透砂岩储层改造中的应用. 矿物岩石, 1998, 18 (S1): 161- 163.

, , 创新 , 等. 东海西湖凹陷致密砂岩气藏高含水特征及产水机理探讨. 天然气勘探与开发, 2018, 41 (3): 75- 80.

DOI

俊杰 , 颖川 , 东斌 , 等. 鄂尔多斯盆地大牛地低渗气田产水规律. 石油与天然气地质, 2011, 32 (6): 946- 951.

DOI

雨晴 , 佳佳 , 广智 , 等. 致密砂岩储层岩石物理建模及"甜点"预测. 地球物理学进展, 2025, 40 (1): 255- 265.

DOI

华银 , , 玉金 , 等. 多孔介质中气水渗流的微观机理研究. 石油实验地质, 2004, 26 (6): 571- 573.

DOI

华银 , , 来志 , 等. 致密气藏孔隙水赋存状态与流动性实验. 石油学报, 2016, 37 (2): 230- 236.

DOI

才能 , 敏捷 , , 等. 碳中和目标下中国天然气工业进展、挑战及对策. 石油勘探与开发, 2024, 51 (2): 418- 435.

DOI

Outlines

/