Home Journals Progress in Geophysics
Progress in Geophysics

Abbreviation (ISO4): Prog Geophy      Editor in chief:

About  /  Aim & scope  /  Editorial board  /  Indexed  /  Contact  / 

Reservoir porosity prediction using the VAE-BiGRU-Attention model: an example study of middle-low permeability sandstone reservoir

  • BinXin ZENG , 1, 2, 3 ,
  • Hui XIAO , 1, 2, 3, * ,
  • ZiMei HAO 1, 2, 3 ,
  • HuanHuan LIU 4
Expand
  • 1 School of Earth Sciences and Engineering, Xi'an Shiyou University, Xi'an 710065, China
  • 2 Shaanxi Key Laboratory of Petroleum Accumulation Geology, Xi'an Shiyou University, Xi'an 710065, China
  • 3 Key Laboratory of Intelligent Geophysical Exploration for Oil and Gas Resources of Shaanxi Higher Education Institutions, Xi'an 710065, China
  • 4 School of Mining Engineering, Heilongjiang University of Science and Technology, Harbin 150022, China

Received date: 2024-06-12

  Online published: 2025-05-09

Copyright

Copyright ©2025 Progress in Geophysics. All rights reserved.

Abstract

Porosity is an indispensable key physical parameter in reservoir evaluation, and there exists a complex and potential relationship between well logging curves and porosity. In previous studies, incomplete feature extraction of well logging curves and simple model construction have limited the accuracy of porosity prediction. To improve the prediction accuracy, this study innovatively combines Variational Auto-Encoder (VAE), Bidirectional Gated Recurrent Unit (BiGRU), and Attention mechanism to construct the VAE-BiGRU-Attention model. VAE can effectively learn the latent representation of data, enhancing data representation capability; BiGRU excels at capturing sequential data information, particularly suitable for handling the feature of porosity changing with depth; and the introduction of the Attention mechanism dynamically calculates the attention Attention weights of each time step, allowing the model to more accurately focus on key features and achieve better prediction results. To verify the effectiveness of the model, this paper is compared with Deep Neural Network (DNN), Recurrent Neural Network (RNN), and BiGRU-Attention through comparative experiments. The results show that the VAE-BiGRU-Attention model has a Mean Squared Error (MSE) of 0.995, Mean Absolute Error (MAE) of 0.698, and Root Mean Square Error (RMSE) of 0.998. Compared to other models, it exhibits significant improvement, effectively enhancing the accuracy of porosity prediction and providing a more reliable method for reservoir porosity prediction.

Cite this article

BinXin ZENG , Hui XIAO , ZiMei HAO , HuanHuan LIU . Reservoir porosity prediction using the VAE-BiGRU-Attention model: an example study of middle-low permeability sandstone reservoir[J]. Progress in Geophysics, 2025 , 40(2) : 658 -669 . DOI: 10.6038/pg2025II0097

0 引言

在储层评价中,孔隙度是关键的物性参数.通常,通过高压压汞、核磁共振、扫描电镜等技术获取孔隙度,但这些方法耗时且成本高昂(Onyekuru et al., 2022; 张兆辉等, 2012).随着机器学习的发展,利用测井曲线预测孔隙度成为新方法(陈彦虎等, 2017).然而,不同深度地层的非均质性和复杂性,以及测井曲线的非线性特征和不同曲线间的相关性差异,给机器学习在孔隙度预测中的应用带来了挑战.
近年来,随着机器学习技术的飞速发展,国内外学者纷纷通过不同模型对储层孔隙度进行预测.人工神经网络(Artificial Neural Network, ANN)的出现,为解决非线性问题提供了有效途径.早期的ANN如单层感知器、自适应线性神经元等,虽在一定程度上提升了预测性能,但受限于网络结构与训练算法,存在过拟合与训练速度慢等缺陷(刘争平和何永富, 1995).
随着深度学习的崛起,其强大的非线性特征提取与数据解释能力引领了新一代机器学习的潮流(Hinton et al., 2006).变分自编码器(Variational Auto-Encoders, VAE)结合自编码器与变分推断,能学习数据的潜在表示并生成新样本(Ahn and Choe, 2021; Kingma and Welling, 2013).然而,作为生成模型,VAE在预测任务上的优势并不显著.卷积神经网络(Convolutional Neural Network, CNN)在机器视觉中表现出色,其强大的特征提取能力在预测任务中也得到了体现(Huang et al., 2017; 杨柳青等, 2019).然而,CNN在处理具有时序特征的序列数据时,其准确性往往受限.
循环神经网络(Recurrent Neural Network, RNN)的提出,有效解决了时序数据的处理问题.RNN作为递归神经网络,在序列数据处理上具有显著优势(Socher et al., 2011).但随着研究深入,人们发现RNN存在梯度消失与梯度爆炸等问题,限制了其在长序列数据处理中的应用.因此,长短期记忆循环神经网络(Long Short-Term Memory, LSTM)与双向长短期记忆网络(Bidirectional Long Short-Term Memory, BiLSTM)等改进结构应运而生.LSTM通过引入门控机制,有效捕捉长期依赖关系,解决了梯度问题(Graves, 2012; 张海涛等, 2022).而BiLSTM则进一步扩展,能同时考虑序列的前后依赖关系(安鹏等, 2019; 刘俊等, 2022).
此外,为提高计算效率,门控循环单元(Gated Recurrent Unit, GRU)与双向门控循环单元(Bidirectional Gated Recurrent Unit, BiGRU)也被提出.相较于LSTM,GRU具有更少的门控单元,因而计算效率更高(Shewalkar et al., 2019; Schuster and Paliwal, 1997).BiGRU则是对GRU的扩展,同样考虑了序列的前后信息.然而,尽管这些模型在特征提取上有所改进,但对于多参数数据间的特征提取仍存在不足,且对原始数据仍有较大依赖性.
在总结前人经验的基础上,本文提出了一种创新的VAE-BiGRU-Attention模型,旨在更精准地提取测井曲线中的隐藏特征,捕捉相邻深度间的关联,并降低模型对原始数据的依赖,从而提升储层孔隙度的预测精度.该模型融合了变分自编码器(VAE)与双向门控循环单元(BiGRU)的优势.VAE的引入不仅增强了对潜在特征的提取能力,而且通过其良好的数据表征能力,有效减少了BiGRU对原始数据的直接依赖.而BiGRU的序列数据处理与预测能力,则使得模型能够更好地处理复杂的时序数据.进一步地,模型中引入了Attention机制(Zheng et al., 2022; Vaswani et al., 2017).BiGRU负责编码输入序列的信息,形成隐状态表示.Attention机制则根据编码器的输出和解码器当前状态,动态计算每个时间步的注意力权重.这样,模型能够更精准地聚焦于与当前生成位置相关的输入部分,提高了对输入序列中不同位置信息的利用效率.因此,VAE-BiGRU-Attention模型不仅增强了数据特征的提取能力,还提高了对输入信息的利用效率,使得生成的数据更加准确和连贯.

1 VAE-BiGRU-Attention模型

1.1 VAE模型

VAE是一种生成式模型,同时也是一种用于无监督学习的深度学习模型.它结合了自编码器变分推断的思想,旨在学习数据的潜在表示并生成新的数据点,其一般结构如图 1所示.
图1 变分自编码器基本结构

Fig 1 Basic structure of the variational autoencoder

图 1中VAE中编码器部分将输入数据x通过编码器网络Qϕ(z|x)映射为潜在变量z的分布参数(均值μ和方差σ).这个过程可以看作是将数据x编码为一个潜在表示z的过程.从Qϕ(z|x)的分布中采样一个潜在变量z,通常使用重参数化技巧,即从标准正态分布中采样一个随机向量$ \boldsymbol{\epsilon}$,然后计算$z=\boldsymbol{\mu}+\boldsymbol{\sigma} \odot \boldsymbol{\epsilon} $,其中⊙表示逐元素乘法.解码器部分将采样得到的潜在变量z通过解码器网络Pθ(x|z)映射回数据空间,生成一个重建样本x′.解码器的目标是尽可能准确地重构输入数据x.

1.2 BiGRU-Attention模型

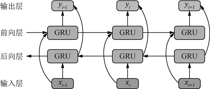
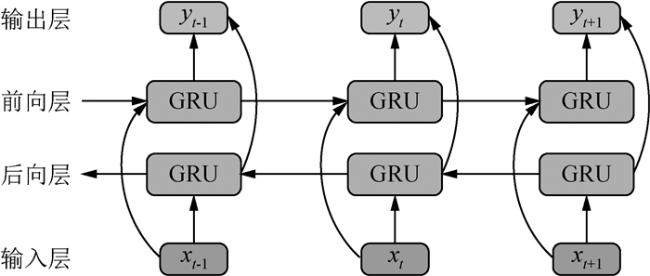
BiGRU作为一种循环神经网络模型,通过其双向结构,能够有效地捕捉序列数据中的长期依赖关系,对时序数据进行全面的建模,其一般结构如图 2所示.
图2 BiGRU模型结构

Fig 2 BiGRU model structure

图 2可知,BiGRU模型由两个独立的GRU单元组成,一个按照时间序列正向处理数据,另一个按照时间序列的逆向处理数据.模型会计算对应的前向和后向隐藏状态.前向计算通常涉及使用输入和前一个时间步骤的隐藏状态来计算当前时间步骤的隐藏状态,而后向计算则使用输入和后一个时间步骤的隐藏状态.
GRU单元如图 3所示,从图 3中可发现,每个GRU单元包含一个更新门和一个重置门,用于控制信息的流动.其数学表达式如下:
图3 GRU结构

Fig 3 GRU structure

重置门rt
$r_t=\sigma\left(W_{\mathrm{r}} \cdot\left[h_{t-1}, x_t\right]\right), $
候选隐藏状态$\tilde{h}_t $
$\tilde{h}_t=\tan h\left(W \cdot\left[r_t \odot h_{t-1}, x_t\right]\right), $
更新门zt
$z_t=\sigma\left(W_{\rm z} \cdot\left[h_{t-1}, x_t\right]\right), $
更新隐藏状态ht
$h_t=\left(1-z_t\right) \odot \tilde{h}_t+z_t \odot h_{t-1}, $
其中,xt表示输入序列的第t个时间步的测井曲线数据,ht-1表示上一个时间步的隐藏状态,WrWzW分别表示重置门、更新门和候选隐藏状态的权重参数,σ为sigmoid函数,⊙表示逐元素乘法.
本文中的注意力机制是基于点积注意力实现的.下面是基于点积注意力的BiGRU-Attention模型数学推导过程:
假设我们有一个BiGRU模型,其中包含正向GRU和反向GRU.对于每个时间步t,我们有正向GRU的隐藏状态htforward和反向GRU的隐藏状态htbackward,并将它们连接起来形成BiGRU的隐藏状态:
$h_t^{\text {BiGRU }}=\left[h_t^{\text {forward }} ; h_t^{\text {backward }}\right] .$
首先需要计算注意力分数(Score):
$e_t=\boldsymbol{q}^{\mathrm{T}} \cdot h_t^{\mathrm{BiGRU}}, $
这里e表示查询向量q和BiGRU模型在时间步t的隐藏状态htBiGRU之间的点积,即它们的相似度分数.T为序列的长度.
然后计算注意力权重:
$\boldsymbol{\alpha}_t=\operatorname{softmax}\left(e_t\right)=\frac{\exp \left(e_t\right)}{\sum\limits_{j=1}^T \exp \left(e_j\right)}, $
这里α表示注意力权重向量.通过softmax函数对注意力分数进行归一化,得到每个时间步t的隐藏状态的注意力权重.
最后加权平均的输出:
$\text { output }=\sum\limits_{t=1}^T \alpha_t h_t^{\mathrm{BiGRU}}, $
这里output就是经过注意力机制加权处理后的BiGRU的隐藏状态,用于后续的任务.
BiGRU-Attention模型(王伟等, 2019)的整体结构是将BiGRU的隐藏状态作为Attention机制的输入得到加权平均的输出,然后再经过全连接层进行预测.

1.3 VAE-BiGRU-Attention模型

VAE-BiGRU-Attention模型将VAE的解码器替换为BiGRU-Attention模型,赋予了VAE预测能力.其基本结构如图 4所示.在该模型中,首先使用VAE编码器将输入的测井曲线数据x转换为潜在变量z,然后将z输入到BiGRU-Attention模型中.BiGRU模型用于对序列数据进行建模,而Attention机制则用于对BiGRU的隐藏状态进行加权计算.最终,利用全连接层进行预测.
图4 VAE-BiGRU-Attention模型结构

Fig 4 The VAE-BiGRU-Attention model structure

在重参数化后,为增加模型的鲁棒性以及降低过拟合的影响,模型中引入了高斯噪声注入的正则化方法(Gulcehre et al., 2016).在数学推导中,如果以均值为0、方差为σ2的高斯分布噪声添加到输入数据中,则其表达式为:
$x_{\text {noisy }}=x+\boldsymbol{\epsilon}, $
其中,x为重参数化后测井曲线数据,$ \boldsymbol{\epsilon}$是服从N(0, σ2)的随机变量.
模型在引入Attention机制前增加了Dropout层,增加模型的泛化性,防止模型过拟合.它的原理是在训练过程中随机将一部分神经元的输出置为0,即“丢弃”,这样可以减少神经元之间的共适应性,使得网络更加健壮.

2 实验与分析

实验可分为三大部分(图 5):
图5 工作流程图

Fig 5 Workflow diagram

(1) 数据预处理:采用斯皮尔曼相关性分析法对不同测井曲线与孔隙度之间的相关性进行分析.通过筛选与孔隙度相关性较强的测井曲线,并进行相应的数据处理(Pohjalainen et al., 2015; 李贺男等, 2022),包括孔隙度系列测井曲线和其他多元数据的综合分析,以确保数据的准确性和可靠性.
(2) 模型构建与训练:利用VAE的编码器部分对处理后的测井曲线数据进行编码,并通过重参数化方法提取潜在特征.在潜在特征中注入高斯噪声以增强模型鲁棒性.将潜在特征与BiGRU层连接,利用BiGRU作为解码器对数据进行解码.在解码过程中,引入Dropout层以防止过拟合,并引入Attention机制对剩余数据进行加权处理以捕捉与当前时刻相关的部分.最后,通过全连接层输出解码后的数据.训练过程中采用Adagrad(Adaptive Gradient Algorithm)优化器,并利用贝叶斯优化算法对模型参数进行调优.
(3) 模型评估:采用多种评估指标包括均方误差(Mean Squared Error, MSE)、平均绝对误差(Mean Absolute Error, MAE)、均方根误差(Root Mean Squared Error, RMSE)对模型进行评估.将训练后的模型与DNN、传统RNN等模型进行对比,并使用R2指标对模型进行综合评价,以确保模型的准确性和可靠性.

2.1 数据描述及划分

本文数据以某油田20口井的测井数据作为数据集.该区块为中-低渗砂岩储层,储层孔隙度介于6.8%~18.7%, 渗透率为0.184×10-3~989.620×10-3 μm2.井眼环境校正和井间标准化等处理过程已由数据提供方完成,经过基本的数据清洗后共有27140条数据.选择其中最后一口井作为测试集数据,测试集数据为1222条.

2.2 数据相关性分析

在储层孔隙度预测等任务中,测井曲线和孔隙度之间存在复杂的非线性关系.为了减少相关性不大的特征对模型训练的干扰,并了解数据集中各个特征之间的相关程度,本文采用斯皮尔曼相关系数(Spearman Correlation Coefficient)从孔隙度系列曲线以及其他多元数据中选取与孔隙度相关性较大的曲线.
相关性分析中皮尔逊相关系数较为常见,相比于皮尔逊相关系数,斯皮尔曼相关系数在处理非线性强的数据时具有更强的鲁棒性和适用性,能够更有效地发现变量之间的关联性.且斯皮尔曼相关系数对数据的分布没有要求,不受变量量表的影响,适用于各种类型的数据,包括有序和无序数据(Hauke and Kossowski, 2011; Myers and Sirois, 2004),表达式为:
$\rho=1-\frac{6 \sum d^2}{n\left(n^2-1\right)}, $
其中,n表示样本数量,ρ表示斯皮尔曼相关系数,取值范围在-1到1之间.当ρ为1时,表示两个变量完全正相关;当ρ为-1时,表示两个变量完全负相关;当ρ为0时,表示两个变量没有线性相关关系.
观察图 6图 7,根据图 6中数值的大小表示相关性的强弱,以及图 7中颜色和大小的变化表示相关性的强度,可以得出以下结论:密度(DEN)、自然伽马(GR)、电阻率(RT)与孔隙度呈负相关,声波(AC)、补偿中子(CNL)、自然电位(SP)与孔隙度呈正相关,而井径(CAL)与孔隙度几乎无相关性.基于这些观察结果,最终选取了DEN、AC、CNL、GR、SP作为训练参数,以POR作为最终预测目标.其中,由于RT曲线与孔隙度的相关性较小,因此被排除在外.
图6 Spearman相关系数线性图

Fig 6 Spearman correlation coefficient linear plot

图7 Spearman相关系数热图

Fig 7 Heatmap of spearman correlation coefficients

2.3 数据标准化

为提高模型的性能和稳定性,对优选后的测井曲线数据进行标准化处理(Urolagin et al., 2021).其中标准化方法采用Z-Score标准化,它是基于每个特征的均值和标准差进行数据的标准化处理,对于每个特征,Z-Score方法都会计算该特征所有样本的均值和标准差,然后对该特征进行标准化,使得每个特征的均值为0,标准差为1,即转换后的特征符合标准正态分布(表 1),表达式为:
$z=\frac{x-\mu}{\sigma}, $
表1 数据集部分数据

Table 1 Partial data for the dataset

CNL DEN SP AC GR POR
0.654 0.464 0.608 -1.275 1.627 -0.532
0.477 0.173 0.601 -1.137 0.766 -0.424
-0.024 -0.137 0.596 -0.961 0.0378 -0.285
…… …… …… …… …… ……
-1.553 0.175 -0.064 -0.736 -0.231 -0.081
-1.499 0.103 -0.006 -0.511 -0.116 -0.005
-1.468 0.124 0.053 -0.375 -0.007 -0.028
其中x是原始数据,μ是数据的均值,σ是数据的标准差.

2.4 模型训练与参数选择

构建VAE-BiGRU-Attention模型,将处理好的测井曲线数据输入模型,其中以DEN、AC、CNL、GR、SP作为特征输入,以POR作为预测目标进行预测.为实验公平,本文中所有模型均用Adagrad优化器进行模型训练与优化.Adagrad是一种自适应学习率优化算法,旨在针对每个参数提供不同的学习率(Duchi et al., 2011),更新规则如下:
$\theta_{t+1, i}=\theta_{t, i}-\frac{\eta}{\sqrt{G_{t, i i}+\epsilon}} \cdot g_{t, i}, $
其中,θt, i表示第i个参数在时间步t的取值,η是学习率,gt, i是参数的梯度,Gt, ii是历史梯度的平方和,$\epsilon $是为了数值稳定性而添加的小常数(通常取值很小,如10-8).
本文未使用Adam优化器.尽管Adam优化器在许多深度学习应用中更为常见,但从图 8中测试集损失曲线的变化情况可以看出,相较于本文构建的模型,Adam优化器可能导致过拟合,并且最终训练效果不佳.
图8 Adam优化器的训练与测试损失

Fig 8 Training and testing loss of Adam optimizer

为对模型参数进行优化,本文采用了贝叶斯参数优化算法.贝叶斯优化算法原理基于贝叶斯定理和高斯过程.其主要思想是通过建立目标函数的代理模型(Pelikan, 2005),在每次迭代中根据观测数据更新代理模型,然后利用代理模型进行下一步的参数选择.这样可以在参数空间中智能地选择下一个参数点,以尽快找到目标函数的最优解.模型参数优化范围如表 2所示.
表2 神经网络超参数选择情况

Table 2 Hyperparameter selection of neural networks

超参数 实验设置
批处理参数 64~256
学习率 10-4~10-1
BiGRU层神经元 16~256
编码器层神经元 16~128
Dropout率 0~0.5
梯度累积初始值 0.01~0.5
BiGUR层数 1~8
经过贝叶斯算法寻优并结合某些经验参数值进行综合筛选,最终确定当批处理参数为256,学习率为0.01,BiGRU层神经元个数为64,编码器层神经元个数为16,Dropout率为0.18,优化器的梯度累积初始值为0.08,BiGUR层数为2时,模型训练效果最好.
最终训练效果如图 9所示,可见模型已经收敛.其最终训练损失与测试损失分别为0.0747,0.0398.
图9 VAE-BiGRU-Attention模型的训练与测试损失

Fig 9 Training and testing loss of the VAE-BiGRU-attention model

2.5 实验结果与分析

模型训练结束后,将测试集数据输入到已经训练好的模型中进行预测,并对预测结果进行逆标准化.模型真实值与预测值情况如图 10所示.
图10 随深度变化下不同模型真实值与预测值的对比图

Fig 10 Comparison of actual and predicted values of different models with depth

观察图 10可发现,预测值很好地捕捉到了随深度变化下孔隙度之间的变化趋势.其中最终预测结果的均方误差为0.995(表 3),证明模型在孔隙度预测上具有很好的效果.相较于其他模型,以均方误差为例,该模型的提升分别为:9.79%、29.47%、39.99%.
表3 测试集中不同模型的误差值

Table 3 Error values for different models in the test set

VAE-BiGRU-Attention BiGRU-Attention DNN RNN
MSE 0.995 1.103 1.411 1.658
MAE 0.698 0.721 0.860 0.942
RMSE 0.998 1.050 1.188 1.288
为了验证模型的适用性,本文使用了新数据集对模型进行验证,预测结果如图 11所示.观察图 11可知,当应用于陌生数据集时,模型的预测效果并未出现明显变化.真实值与预测值之间没有很大的差异,其均方误差为1.465(图 12),相对于测试集增长了大约0.5,证明模型具有很好的稳定性和泛化能力.
图11 新数据集时不同模型真实值与预测值的对比图

Fig 11 Comparison of actual and predicted values of different models on the new dataset

图12 不同模型的MSE、MAE、RMSE堆叠图

Fig 12 Stacked chart of MSE, MAE, and RMSE for different models

本文是以中-低渗储层的数据为例,对于孔隙度大于20%的特征捕捉较少(图 12).但当面对变异性较大的数据时,相较于其他模型,VAE-BiGRU-Attention模型表现出了更好的稳定性,并没有出现较大波动.

2.6 模型评估

本文采用均方误差、平均绝对误、均方根误差对模型进行评价与对比.这三个指标是常用的模型评价指标,用于衡量机器学习模型在预测任务中的性能,其值越小代表了模型预测效果更好.三者的表达式分别为:
$\text { MSE }=\frac{1}{n} \sum\limits_{i=1}^n\left(y_i-\hat{y}_i\right)^2, $
$\text { MAE }=\frac{1}{n} \sum\limits_{i=1}^n\left|y_i-\hat{y}_i\right|, $
$\text { RMSE }=\sqrt{\frac{1}{n} \sum\limits_{i=1}^n\left(y_i-\hat{y}_i\right)^2}, $
其中,n是样本数量,yi是真实值,$\hat{y}_i $是模型的预测值.
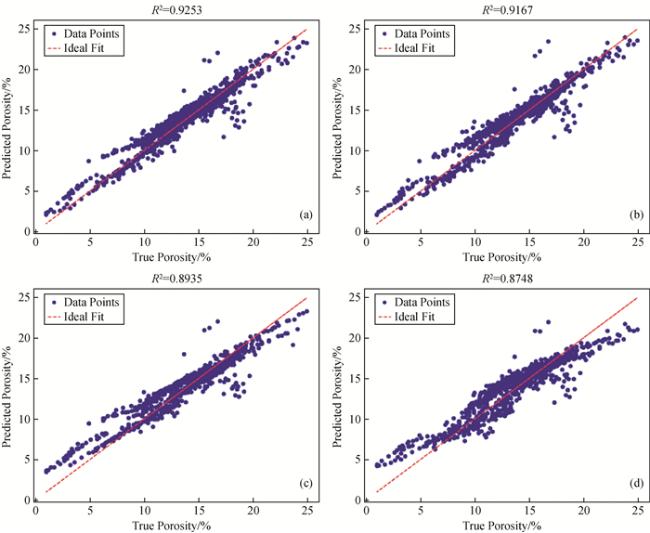
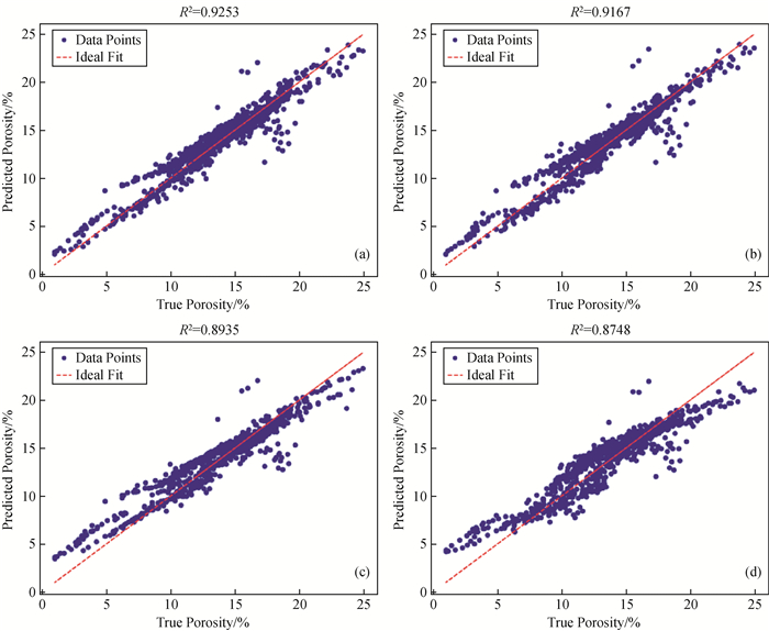
图13 不同模型的R2

Fig 13 R-squared values of different models

(a)VAE-BiGRU-Attention; (b)BiGRU-Attention; (c)DNN; (d)RNN.

利用以上方法对测试集的预测结果与真实结果进行误差计算,最终的误差结果如表 3所示.观察表 3可知,对于测试集数据,VAE-BIGRU-Attention模型与BiGRU-Attention、DNN、RNN模型相比较的具有较好的提升,其提升比分别为MSE:9.79%、29.47%、39.99%;MAE:3.24%、18.78%、25.88%;RMSE:5.03%、16.02%、22.53%.
为了更好地验证模型的适用性,本文收集了一口新井的数据用于验证.图 12显示了各模型的MSE、MAE、RMSE结果,观察图像可知,相较于其他模型,VAE-BiGRU-Attention模型在新的数据集的预测效果上依旧有着不错的提升,其预测结果(见图 11) 成功捕捉到了孔隙度的变化趋势,证明VAE-BiGRU-Attention模型相对于BiGRU-Attention、DNN、RNN模型有着更好的适用性和泛化能力.
最后,为对模型进行整体性的评价,本文采用R2指标反映模型对数据的拟合程度.R2(R-squared)是一种用于衡量回归模型拟合优度的统计指标,表示目标变量的变异有多少能被预测变量解释.其取值范围从0到1,越接近1表示模型对数据的拟合越好,解释力越强.其表达式如下:
$R^2=1-\frac{S S_{\mathrm{res}}}{S S_{\mathrm{tot}}}, $
其中,SSres是残差平方和(Residual Sum of Squares),表示模型预测值与实际值之间的差异的平方和; SStot是总平方和(Total Sum of Squares),表示因变量与其均值之间的差异的平方和.
观察图 13可知,VAE-BiGRU-Attention模型在储层孔隙度预测任务中表现最优,能够更好的解释孔隙度的变异性.其R2值为0.9253,明显高于BiGRU-Attention模型(R2=0.9167)、DNN模型(R2=0.8935)和RNN模型(R2=0.8748),说明VAE-BiGRU-Attention模型拟合程度更为突出,具有更强的预测能力和泛化能力,在中-低渗砂岩储层中有着更好的应用效果.

3 结论

(1) VAE-BiGRU-Attention模型结合了变分自编码器的潜在特征学习能力、双向门控循环单元对序列信息的有效捕捉能力以及注意力机制对关键特征的聚焦能力,使得模型能够更准确地学习和表征复杂的测井曲线与孔隙度之间的关联.
(2) 通过在新数据集上的验证,VAE-BiGRU-Attention模型依然保持了较好的预测效果,没有出现明显的性能下降,表明其具有良好的泛化能力和稳定性.
(3) 相较于传统的深度学习模型(如DNN、RNN)和BiGRU-Attention模型,VAE-BiGRU-Attention模型表现出更高的R2值(0.9253),证明其在孔隙度预测上具有更好的拟合程度和预测准确性.
(4) 模型依旧有着不足,如对于孔隙度大于20%的情况时,VAE-BiGRU-Attention模型虽然相对于其他模型表现出了更好的稳定性,但预测效果上依旧不是很精确.所以在未来的研究中可以考虑对变异性较大的数据进行分类训练,并将其集成到模型中,以构建一种更为强大且适用于大多数储层的模型.

感谢审稿专家提出的修改意见和编辑部的大力支持!

Ahn Y , Choe J . Reliable channel reservoir characterization and uncertainty quantification using variational autoencoder and ensemble smoother with multiple data assimilation. Journal of Petroleum Science and Engineering, 2022, 209: 109816

DOI

An P , Cao D P , Zhao B Y , et al. Reservoir physical parameters prediction based on LSTM recurrent neural network. Progress in Geophysics, 2019, 34 (5): 1849- 1858.

DOI

Chen Y H , Hu J , Jiang L C , et al. Quantitative pre-diction of fractured porosity by using conventional logging curves. Special Oil & Gas Reservoirs, 2017, 24 (6): 7- 11.

DOI

Duchi J , Hazan E , Singer Y . Adaptive subgradient methods for online learning and stochastic optimization. Journal of Machine Learning Research, 2011, 12: 2121- 2159.

Graves A. 2012. Long short-term memory. //Graves A. Supervised Sequence Labelling with Recurrent neural Networks. Berlin, Heidelberg: Springer, 37-45, doi: 10.1007/978-3-642-24797-2_4.

Gulcehre C, Moczulski M, Denil M, et al. 2016. Noisy activation functions. //Proceedings of the 33rd International Conference on Machine Learning. New York: JMLR. org, 3059-3068.

Hauke J , Kossowski T . Comparison of values of Pearson's and Spearman's correlation coefficients on the same sets of data. Quaestiones Geographicae, 2011, 30 (2): 87- 93.

DOI

Hinton G E , Osindero S , Teh Y W . A fast learning algorithm for deep belief nets. Neural Computation, 2006, 18 (7): 1527- 1554.

DOI

Huang G, Liu Z, Van Der Maaten L, et al. 2017. Densely connected convolutional networks. //Proceedings of the IEEE Conference on Computer Vision and Pattern Recognition. Honolulu: IEEE, 4700-4708.

Kingma D P, Welling M. 2013. Auto-encoding Variational Bayes. doi: 10.48550/arXiv.1312.6114.

Li H N , Duan Z Y , Zheng G J , et al. Reservoir parameter prediction method based on CNN-LSTM-VAE hybrid model. Progress in Geophysics, 2022, 37 (5): 1969- 1976.

DOI

Liu J , Cao J X , Ding W N , et al. Research on reservoir porosity prediction method based on bidirectional longshort-term memory neural network. Progress in Geophysics, 2022, 37 (5): 1993- 2000.

DOI

Liu Z P , He Y F . Application of artificial neural networks in log analysis. Acta Geophysica Sinica, 1995, 38 (S1): 323- 330.

Myers L, Sirois M J. 2014. Spearman correlation coefficients, differences between. //Wiley StatsRef: Statistics Reference Online. Washington: John Wiley & Sons.

Onyekuru S O , Iwuagwu J C , Ulasi A , et al. Calibration of petrophysical evaluation results of clastic reservoirs using core data, in the offshore depobelt, Niger Delta, Nigeria. Modeling Earth Systems and Environment, 2022, 8 (3): 3033- 3046.

DOI

Pelikan M. 2005. Bayesian optimization algorithm. //Pelikan M. Hierarchical Bayesian Optimization Algorithm: Toward A New Generation of Evolutionary Algorithms. Berlin, Heidelberg: Springer, 31-48, doi: 10.1007/978-3-540-32373-0_3.

Pohjalainen J , Räsänen O , Kadioglu S . Feature selection methods and their combinations in high-dimensional classification of speaker likability, intelligibility and personality traits. Computer Speech & Language, 2015, 29 (1): 145- 171.

DOI

Schuster M , Paliwal K K . Bidirectional recurrent neural networks. IEEE Transactions on Signal Processing, 1997, 45 (11): 2673- 2681.

DOI

Shewalkar A , Nyavanandi D , Ludwig S A . Performance evaluation of deep neural networks applied to speech recognition: RNN, LSTM and GRU. Journal of Artificial Intelligence and Soft Computing Research, 2019, 9 (4): 235- 245.

DOI

Socher R, Lin C C Y, Ng A Y, et al. 2011. Parsing natural scenes and natural language with recursive neural networks. //Proceedings of the 28th International Conference on Machine Learning. Washington: Omnipress, 129-136.

Urolagin S , Sharma N , Datta T K . A combined architecture of multivariate LSTM with Mahalanobis and Z-Score transformations for oil price forecasting. Energy, 2021, 231: 120963

DOI

Vaswani A, Shazeer N, Parmar N, et al. 2017. Attention is all you need. //Proceedings of the 31st International Conference on Neural Information Processing Systems. Long Beach: Curran Associates Inc.

Wang W , Sun Y X , Qi Q J , et al. Text sentiment classification model based on BiGRU-attention neural network. Application Research of Computers, 2019, 36 (12): 3558- 3564.

DOI

Yang L Q , Chen W , Zha B . Prediction and application of reservoir porosity by convolutional neural network. Progress in Geophysics, 2019, 34 (4): 1548- 1555.

DOI

Zhang H T , Yang X M , Chen Z , et al. Log data reconstruction method based on enhanced bidirectional long short-term memory neural network. Progress in Geophysics, 2022, 37 (3): 1214- 1222.

DOI

Zhang Z H , Gao C Q , Liu J J . Calculation method of porosity based on formation component analysis. Lithologic Reservoirs, 2012, 24 (1): 97- 99. 97-99, 107

DOI

Zheng W F, Cheng P Y, Cai Z T, et al. 2022. Research on network attack detection model based on BiGRU-attention. //Proceedings of the 4th International Conference on Frontiers Technology of Information and Computer (ICFTIC). Qingdao: IEEE, 979-982, doi: 10.1109/ICFTIC57696.2022.10075310.

, 丹平 , 宝银 , 等. 基于LSTM循环神经网络的储层物性参数预测方法研究. 地球物理学进展, 2019, 34 (5): 1849- 1858.

DOI

彦虎 , , 龙聪 , 等. 利用常规测井曲线定量预测裂缝型孔隙度. 特种油气藏, 2017, 24 (6): 7- 11.

DOI

贺男 , 中钰 , 桂娟 , 等. 基于CNN-LSTM-VAE混合模型的储层参数预测方法. 地球物理学进展, 2022, 37 (5): 1969- 1976.

DOI

, 俊兴 , 蔚楠 , 等. 基于双向长短期记忆神经网络的储层孔隙度预测方法研究. 地球物理学进展, 2022, 37 (5): 1993- 2000.

DOI

争平 , 永富 . 人工神经网络在测井解释中的应用. 地球物理学报, 1995, 38 (S1): 323- 330.

, 玉霞 , 庆杰 , 等. 基于BiGRU-attention神经网络的文本情感分类模型. 计算机应用研究, 2019, 36 (12): 3558- 3564.

DOI

柳青 , , . 利用卷积神经网络对储层孔隙度的预测研究与应用. 地球物理学进展, 2019, 34 (4): 1548- 1555.

DOI

海涛 , 小明 , , 等. 基于增强双向长短时记忆神经网络的测井数据重构. 地球物理学进展, 2022, 37 (3): 1214- 1222.

DOI

兆辉 , 楚桥 , 娟娟 . 基于地层组分分析的储层孔隙度计算方法研究. 岩性油气藏, 2012, 24 (1): 97- 99. 97-99, 107

DOI

Outlines

/