Home Journals Progress in Geophysics
Progress in Geophysics

Abbreviation (ISO4): Prog Geophy      Editor in chief:

About  /  Aim & scope  /  Editorial board  /  Indexed  /  Contact  / 

Two dimensional numerical simulation of shallow archaeological targets using high-frequency electromagnetic method

  • QiLin LI , 1, 2 ,
  • FangLi LIN 3 ,
  • YongChao ZHANG 4 ,
  • GuangJie WANG , 1, 2, * ,
  • Ruo WANG 1 ,
  • JinSheng YU 5
Expand
  • 1 Innovation Academy for Earth Science, CAS, Institute of Geology and Geophysics, Chinese Academy of Sciences, Beijing 100029, China
  • 2 School of Earth and Planetary Sciences, University of Chinese Academy of Sciences, Beijing 100049, China
  • 3 Henan Normal University, Xinxiang 453007, China
  • 4 Safety Branch of Coal Science and Technology Research Institute Co., Ltd., Beijing 100013, China
  • 5 Beijing Champion JY Technology Co., Ltd., Beijing 102200, China

Received date: 2024-04-28

  Online published: 2025-05-09

Copyright

Copyright ©2025 Progress in Geophysics. All rights reserved.

Abstract

Electromagnetic detection has become an important means of archaeological geophysics due to its good resolution of good conductors, small terrain limitations, and high work efficiency. The detection depth and resolution are important factors that constrain the development of electromagnetic archaeological exploration. Domestic and foreign scholars have conducted more research on combining electromagnetic methods with other methods (such as magnetic method, seismic exploration, gravity exploration, etc.) to compensate for the limitations of electromagnetic methods in the field of archaeological exploration, while there are few references to analyze archaeological target models from the perspective of method innovation. This article mainly uses finite element method and combines archaeological target models to conduct two-dimensional forward simulation of high-frequency electromagnetic methods proposed in the field of archaeological exploration in recent years. Firstly, a definite solution equation is derived based on boundary conditions. Secondly, shallow, weak, and small archaeological target models are established and triangulated. For this model, the electromagnetic field components and apparent resistivity response characteristics of anomalous bodies were studied under different resistivity, burial depth, and receiving frequency. The results show that: (1) the resolution of high-frequency electromagnetic method for low resistivity bodies (24%) is much higher than that for high resistivity bodies (10%). However, due to the shallow burial depth and high observation frequency of archaeological relics, both low and high resistivity archaeological relics have a response, which is also the advantage of high-frequency electromagnetic method for archaeological research; (2) For shallow high resistivity target models, within the design frequency band, the higher the frequency, the more obvious the apparent resistivity response curve, and the Hz curve pattern is opposite to the apparent resistivity.

Cite this article

QiLin LI , FangLi LIN , YongChao ZHANG , GuangJie WANG , Ruo WANG , JinSheng YU . Two dimensional numerical simulation of shallow archaeological targets using high-frequency electromagnetic method[J]. Progress in Geophysics, 2025 , 40(2) : 849 -860 . DOI: 10.6038/pg2025HH0499

0 引言

考古工作是弘扬中华优秀传统文化、增强文化自信的重要支撑.考古遗迹的发掘离不开考古调查与勘探.传统的考古勘探方法是以洛阳铲为主的钻探,这种方法不仅效率低,而且容易对遗址造成不同程度的干扰和破坏,因此考古调查亟需引入一种无损高效的勘探技术.地球物理探测技术因高效经济、无损便捷等优点,成为考古无损调查的重要手段之一(蒋宏耀和张立敏, 1997; 赵文轲等, 2012; 石战结等, 2016李彦恒等,2021).目前常用的地球物理考古探测手段有:地震考古(蒋宏耀和张立敏, 2000; Valenta and Dohnal, 2007; 姚大全等, 2012; 石战结等, 2016; 胡秀等, 2023)、磁法考古(林金鑫等, 2011, 2014; 赵文轲和田钢, 2013; 王传雷等, 2018; 曹伟等, 2021; 李能韬和黄宝春, 2022; Grassi et al., 2023)、重力考古(王谦身等, 1995; 蒋宏耀和张立敏, 1997; 袁炳强等, 2015; Urrutia-Fucugauchi et al., 2019)、电磁法考古(席道瑛等, 2004; 闫永利等, 2004; 武军杰等, 2007; 沈鸿雁等, 2008; 戴田宇和谢尚平, 2015; 别康等, 2016; 宗鑫等, 2016; Tang et al., 2018; 李奇霖等, 2023).而电磁法因对良导体有较好的分辨能力、受地形限制小、工作效率高等优点成为考古地球物理主要方法之一(蒋宏耀和张立敏, 2000).许多学者将传统电磁法推广到考古领域.戴田宇和谢尚平(2015)使用高密度电法在江西某墓葬勘探出墓道结构并圈出可能存在陪葬品的区域;余天祥(2019)将高密度电法与探地雷达结合在浙江大型贵族墓葬群某陵寝推断出主墓的埋深和规模;沈鸿雁等(2008)使用高密度电阻率法和探地雷达在山西晋阳古城进行地球物理试探性探测,并在城墙探测中积累一定经验;闫永利等(2004)使用二维电阻率法反演出商丘夯土城墙的埋深与几何形态;别康等(2016)将电阻率法推广到杭州市区吴越捍海塘遗址;武军杰等(2007)使用定源回线瞬变电磁探测技术推测了二周时期陕西某古墓金属陪葬品的埋藏区域;席道瑛等(2004)将探地雷达推广到宋代窑址的探测并指出探地雷达在探测窑址时存在的问题;李淑玲等(2005)提出一种CSAMT地形校正方法并应用在秦皇陵考古探测中,成功反演出秦皇陵某测线视电阻率断面图.
目前将传统的电磁勘探方法推广到考古领域的案例较多,但仍未形成一种适合小规模、浅层和弱电磁异常特征的考古电磁探测系统.基于此现状,国内外相关学者进行了一定的研究.Tang等(2018)开发了同时测量视电导率与视磁化率的多频电磁感应系统,并在两个遗址开展了五个频点的试验;Simon等(2019)在甚低频理论基础上提出在频率大于20 kHz后引入介电常数以实现精细探测目的,并使用多频探测仪器(GEM-2)在希腊某考古遗址进行试验;李奇霖等(2023)正演模拟了基于电容器储能技术的时间域电磁法在浅层探测的可行性;曹文静等(2023)提出了适用于考古探测的高频电磁法,与其他电磁方法不同,这种方法工作频率介于CSAMT与GPR之间,频率范围为10~500 kHz,在满足考古目标探测深度的同时,有效提高了空间分辨率,适用于50 m以内的考古探测.
为进一步论证高频电磁法探测有效性和分析其分辨能力,本文建立二维考古目标模型,基于三角形网格剖分策略,采用有限元正演方法,对不同电阻率和不同频率的考古异常体模型进行正演模拟,分析并总结了高频电磁场各分量及视电阻率的响应特征,希望为今后浅层探测的工作方法设计、探测设备研发参数设定以及数据处理起到指导作用.

1 有限元定解方程

目前地球物理电磁问题以宏观电磁场理论为基础,均可通过Maxwell方程组描述.鉴于本文主要讨论各向同性浅、弱、小目标体的频率域电磁场响应特征,故选取频域表现形式的Maxwell方程组.假设时谐因子为e-iωt,Maxwell方程组可简化为:
$\nabla \times \boldsymbol{E}=-\mathrm{i} \omega \boldsymbol{B}, $
$\nabla \times \boldsymbol{H}=-\mathrm{i} \omega \boldsymbol{D}+\boldsymbol{J}+\boldsymbol{J}_s, $
$\nabla \cdot \boldsymbol{B}=0, $
$\nabla \cdot \boldsymbol{D}=\boldsymbol{\rho}.$
为保证解的唯一性,Maxwell方程组需转化为两种极化模式单独计算(Nabighian and Corbett, 1987; 朴化荣, 1990),即:横电(TE)和横磁(TM)模式. 假设构造沿y方向,z方向垂直向下,电磁场只沿xz有变化,模型如图 1所示.结合本构方程与梯度、散度定义,可将TETM模式方程简化为:
$\nabla \cdot(c \nabla u)+\gamma u=f, $
对于TE模式,式(5)中,u=Ex$ c=\frac{1}{\mathrm{i} \omega \mu}$γ=σ-iωεf表示激励源;对于TM模式,式(5)中,u=Hxc= $ \frac{1}{\sigma-\mathrm{i} \omega \varepsilon}, \gamma=\mathrm{i} \omega \mu$.
鉴于二维有限元模型计算所需时间较短,占用内存可以忽略,故本文选用适当增大模型施加第一类边界条件.
通过式(5)求出水平方向电场与磁场后,再利用式(6)即可求出卡尼亚视电阻率:
$\rho_{\mathrm{a}}=\frac{|Z|^2}{\omega \mu}=\frac{1}{\omega \mu} \frac{\left|E_x\right|^2}{\left|H_y\right|^2} .$

2 浅层考古目标模型电磁场响应特征分析

场的特征是指导考古探测工作方法设计、探测设备研发参数设定以及后期数据处理中异常体解译的重要保证,更是反演的基础.为此,本文以图 1模型为例,分析了异常体不同电阻率和不同接收频率下电磁场响应特征.
图1 二维考古模型示意图

Fig 1 Schematic diagram of a two-dimensional archaeological model

2.1 二维考古模型建立与观测系统参数

许多考古遗存(比如:红烧土、城壕等)埋藏较浅,通常在地表 20 m以浅;而许多遗址顶部在距地表 0.3 m处基本到达文化层.鉴于此深度范围,结合史前墓葬等考古遗存规模,本文建立了异常体规模为3 m×1 m,顶部埋藏深度为0.3 m至20 m,整个模型规模为100 m×100 m,如图 1所示.具体物性参数在各小节中具体给出.
在异常体上方布置100 m长的观测线,异常体位于测线的中心处.为便于分析异常体的特征,对异常体附近测点点距进行不同程度加密.在异常体上方,点距为0.25 m,为防止点距突变对响应曲线造成影响,在异常体周围设置一系列过渡性点距,在距异常体中心点1.5 m至5 m处,点距为0.5 m;在距异常体中心点5 m至10 m处,点距为5 m,测线其余位置点距为10 m.分别计算每个测点处x方向电场、yz方向磁场以及卡尼亚视电阻率.同时为进一步表征观测系统对异常体的分辨能力,引入式(7)表征系统对异常体的分辨率:
$R P=\frac{u_{\mathrm{a}}-u_{\mathrm{b}}}{u_{\mathrm{b}}} \times 100 \% \;, $
式中,ua表示归一化以后的异常体响应幅值,ub表示归一化以后背景体响应幅值.

2.2 不同电阻率电磁场响应特征分析

考古遗存赋存环境会使其电阻率不同,比如未被水浸泡的城墙比被水浸泡的城墙电阻率高.针对这种情况,本文模拟了高阻异常体和低阻异常体两种情况.其中,高阻异常体的模型参数为:0.3 m埋深、200 kHz,背景体的电阻率为50 Ω · m,异常体的电阻率分别为:100 Ω · m、200 Ω · m、300 Ω · m和500 Ω · m模拟结果如图 2图 5所示.低阻异常体的模型参数为:0.3 m埋深、200 kHz,背景体的电阻率为500 Ω · m,异常体的电阻率分别为:50 Ω · m、100 Ω · m、200 Ω · m和300 Ω · m.模拟结果如图 6图 9所示.
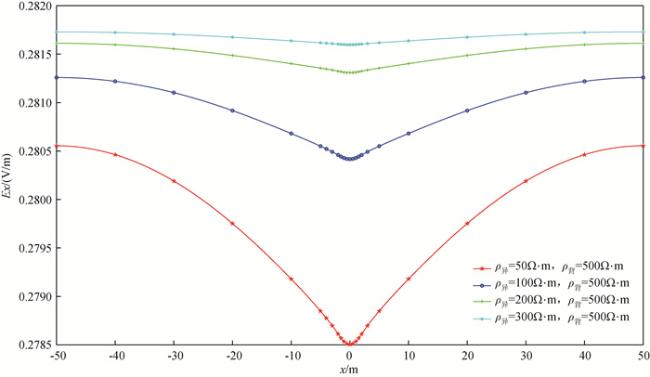
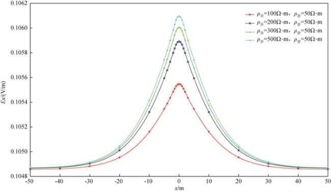
图2 0.3 m埋深、200 kHz下不同高阻异常体沿地面测线Ex响应曲线图

Fig 2 The Ex response curve of different high resistance anomalous bodies along ground survey lines at a depth of 0.3 m and 200 kHz

图3 0.3 m埋深、200 kHz下不同高阻异常体沿地面测线Hy响应曲线图

Fig 3 The Hy response curve of different high resistance anomalous bodies along ground survey lines at a depth of 0.3 m and 200 kHz

图4 0.3 m埋深、200 kHz下不同高阻异常体沿地面测线Hz响应曲线图

Fig 4 The Hz response curve of different high resistance anomalous bodies along ground survey lines at a depth of 0.3 m and 200 kHz

图5 0.3 m埋深、200 kHz下不同高阻异常体沿地面测线视电阻率响应曲线图

Fig 5 Response curve of apparent resistivity along ground survey lines for different high resistance anomalous bodies at a depth of 0.3 m and 200 kHz

图6 0.3 m埋深、200 kHz下不同低阻异常体沿地面测线Ex响应曲线图

Fig 6 The Ex response curve of different low resistance anomalous bodies along ground survey lines at a depth of 0.3 m and 200 kHz

图7 0.3 m埋深、200 kHz下不同低阻异常体沿地面测线Hy响应曲线图

Fig 7 The Hy response curve of different low resistance anomalous bodies along ground survey lines at a depth of 0.3 m and 200 kHz

图8 0.3 m埋深、200 kHz下不同低阻异常体沿地面测线Hz响应曲线图

Fig 8 The Hz response curve of different low resistance anomalous bodies along ground survey lines at a depth of 0.3 m and 200 kHz

图9 0.3 m埋深、200 kHz下不同低阻异常体沿地面测线视电阻率响应曲线图

Fig 9 Response curve of apparent resistivity along ground survey lines for different low resistance anomalous bodies at a depth of 0.3 m and 200 kHz

从模拟结果可以看出:(1)不同电阻率均会导致ExHyHz和视电阻率曲线形态发生改变,异常体和背景体电阻率差异越大,响应越明显;(2)Ex强度比Hy高1个量级,比Hz高3个量级,但Hz在异常体x方向边界处强度最大,Hy对电阻率横向差异反应灵敏;(3)视电阻率的响应幅度比Hy分量和Ex分量的响应幅度大,说明用视电阻率曲线更易分辨出有无异常体;(4)以背景体和异常体存在10倍电阻率差异为例,从响应幅度看,无论是视电阻率还是Hy,高频电磁法对低阻体的分辨率(24%)远大于高阻体(10%),但是由于考古遗存通常埋藏较浅,且观测频率高,因此考古遗存无论是低阻还是高阻都有响应,这也是高频电磁法考古的优势.

2.3 不同频率电磁场各分量特征分析

在频率域电磁法中,频率决定了探测深度.为进一步探讨不同频率条件下浅层考古遗存的响应特征,本文分析了接收频率分别为10 kHz、20 kHz、50 kHz、100 kHz、200 kHz和500 kHz、异常体电阻率为500 Ω · m、背景体电阻率为50 Ω · m,埋深为0.3 m的电磁场分量及视电阻率的响应特征,结果如图 10图 13所示.
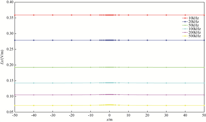
图10 0.3 m埋深下高阻异常体不同频率沿地面测线Ex响应曲线图

Fig 10 Response curve of high resistance anomalous body at different frequencies along ground measurement line Ex at a burial depth of 0.3 m

图11 0.3 m埋深下高阻异常体不同频率沿地面测线Hy响应曲线图

Fig 11 Response curve of high resistance anomalous body at different frequencies along ground measurement line Hy at a burial depth of 0.3 m

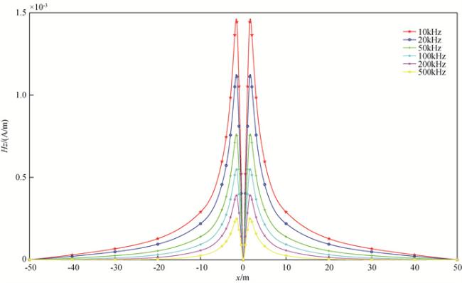
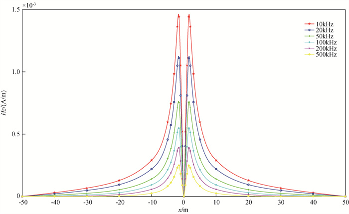
图12 0.3 m埋深下高阻异常体不同频率沿地面测线Hz响应曲线图

Fig 12 Response curve of high resistance anomalous body at different frequencies along ground measurement line Hz at a burial depth of 0.3 m

图13 0.3 m埋深下高阻异常体不同频率沿地面测线视电阻率响应曲线图

Fig 13 Response curve of apparent resistivity along ground survey lines at different frequencies for high resistance anomalous bodies buried at a depth of 0.3 meters

图 10图 11图 12图 13分别为x方向电场分量,yz方向磁场分量及视电阻率响应曲线,从图中可看出:(1)不同频率下,电场强度与磁场强度有明显的差异;(2)在此模型下,频率越低,ExHyHz强度越大,视电阻率强度越小,说明Ex对视电阻率的贡献远大于Hy对视电阻率的贡献.

3 结论

(1) 通过对高阻与低阻异常体的正演模拟,发现高频电磁法对低阻体的分辨能力(24%)远大于高阻体(10%),但是由于考古遗存通常埋藏较浅,且观测频率高,因此考古遗存无论是低阻还是高阻都有响应,这也是高频电磁法考古的优势.
(2) 通过对浅层考古目标模型的一系列正演模拟,发现频率越高,视电阻率响应曲线越明显,Hz曲线规律则与视电阻率相反;而在设计频段内,垂直磁场分量响应强度在考古目标体边界附近达到极值,水平磁场分量与视电阻率响应强度在异常体中心处达到极值,说明高频电磁法能有效反映考古异常体规模.
以上结论说明,高频电磁法对不同环境下的考古埋藏遗存均有很好的反映,是一种值得在考古勘探领域推广并发展的方法.

感谢审稿专家提出的修改意见和编辑部的大力支持!

Bie K, Shi Z J, Tian G. 2016. Capacitive coupled resistivity method and its application in archaeological exploration of urban sites. //Annual Meeting of Chinese Geoscience Union in 2016 (in Chinese). Beijing: Chinese Geophysical Society, 1.

Cao W J , Wang R , Wang G J , et al. 3D numerical simulation study on high frequency electromagnetic method in archaeological exploration. Progress in Geophysics, 2023, 38 (3): 1305- 1316.

DOI

Dai T Y , Xie S P . Application of resistivity technique in the relic archaeology. Progress in Geophysics, 2015, 30 (6): 2885- 2891.

DOI

Grassi S , Morreale G , Lanteri R , et al. Integration of geophysical survey data for the identification of new archaeological remains in the subsoil of the Akrai Greek site (Sicily, Italy). Heritage, 2023, 6 (2): 979- 992.

DOI

Hu X , Lu P , Li Y L , et al. Prehistoric damaging earthquake promoted the decline of "Heluo Ancient State" in Early China. Science China Earth Sciences, 2023, 66 (5): 1120- 1132.

DOI

Jiang H Y , Zhang L M . Development of archaeogeophysics in China. Chinese Journal of Geophysics, 1997, 40 (S1): 379- 385.

Jiang H Y , Zhang L M . Archaeological Geophysics (in Chinese). Beijing: Science Press, 2000,

Li N T , Huang B C . Insight into reliability of archeomagnetic Paleointensity isolated from pottery materials. Chinese Journal of Geophysics, 2022, 65 (7): 2613- 2621.

DOI

Li Q L , Kang H M , Wang G J , et al. Study on the TEM response forward calculation of uniform half-space pulse current. Progress in Geophysics, 2023, 38 (3): 1152- 1160.

DOI

Li S L , Sun H Y , Lin T L . A comparison of topographic correction and interpretation methods for controllable source audio frequency magnetotelluric archeological data. Geophysical and Geochemical Exploration, 2005, 29 (6): 541- 544. 541-544, 556

DOI

Li Y H , Wang G J , Xu X W , et al. Geophysical application of cosmic-ray muon detection technology. Progress in Geophysics, 2021, 36 (2): 753- 758.

DOI

Lin J X , Tian G , Wang B B , et al. Integrated geophysical survey for palaeo-drainage system at Liangzhu sites. Journal of Zhejiang University (Engineering Science), 2011, 45 (5): 954- 960.

DOI

Lin J X , Tian G , Shi Z J . Geophysical prospecting study of the satellite tomb in Xixia mausoleum site. Geotechnical Investigation & Surveying, 2014, 42 (7): 87- 93.

Nabighian M N , Corbett J D . Electromagnetic Methods in Applied Geophysics: Volume 1, Theory. Tulsa: Society of Exploration Geophysicists, 1987,

Piao H R . Principles of Electromagnetic Sounding Method (in Chinese). Beijing: Geological Publishing House, 1990,

Shen H Y , Yuan B Q , Xiao Z X , et al. Geophysical exploration for archaeology in the ancient city of Jinyang, China. Progress in Geophysics, 2008, 23 (4): 1291- 1298.

Shi Z J, Tian G, Wang B B, et al. 2016. New progress in archaeological geophysical exploration technology research. //Annual Meeting of Chinese Geoscience Union in 2016 (in Chinese). Beijing: Chinese Geophysical Society, 3.

Simon F X , Tabbagh A , Donati J C , et al. Permittivity mapping in the VLF-LF range using a multi-frequency EMI device: first tests in archaeological prospection. Near Surface Geophysics, 2019, 17 (1): 27- 41.

DOI

Tang P P , Chen F L , Jiang A H , et al. Multi-frequency electromagnetic induction survey for archaeological prospection: approach and results in Han Hangu pass and Xishan Yang in China. Surveys in Geophysics, 2018, 39 (6): 1285- 1302.

DOI

Urrutia-Fucugauchi J , Pérez-Cruz L , Alvarado-Velázquez O , et al. Gravity survey of the Mesoamerican cuicuilco archaeological site, southern basin of Mexico. Arqueologia Iberoamericana, 2019, 42: 3- 8.

DOI

Valenta J , Dohnal J . 3D seismic travel time surveying a comparison of the time-term method and tomography (an example from an archaeological site). Journal of Applied Geophysics, 2007, 63 (1): 46- 58.

DOI

Wang C L , Lu W M , Wang H S , et al. A case study of magnetic survey and evaluation of wooden wrecks. Geophysical and Geochemical Exploration, 2018, 42 (4): 708- 711.

DOI

Wang Q S , Zhou W H , Wu C Z , et al. The application of microgra vimetry in archaeological engineering-prospection of underground palace of Mao Ling mausoleum of Ming dynasty. Progress in Geophysics, 1995, 10 (2): 85- 94.

Wu J J , G Y , Zhao J X . An allication of tem to archeological investigation for metal funerary obfects. Computing Techniques for Geophysical and Geochemical Exploration, 2007, 29 (S1): 47- 50. 47-50, 13

Xi D Y , Wan X L , Xue Y W , et al. Looking for relics of Jun kiln of Song dynasty with georadar. Chinese Journal of Rock Mechanics and Engineering, 2004, 23 (1): 112- 115.

DOI

Yan Y L , Ma X B , Di Q Y , et al. 2D resistivity inversion of perturbation in the layered-earth. Chinese Journal of Geophysics, 2004, 47 (6): 1139- 1144.

DOI

Yao D Q , Shao J , Chen A G , et al. Vestige of prehistoric earthquake to be found in Yangshao site of Xinjie, Lantian county, Shanxi province. Progress in Geophysics, 2012, 27 (2): 804- 808.

DOI

Yu T X . Study on geophysical prospecting new techniques and applications of Large ancient mausoleums (in Chinese). Hangzhou: Zhejiang University, 2019,

Yuan B Q , Liu S Y , Yu G M , et al. Gravity and magnetic field feature for archaeology in site of the emperor Qinshihuang mausoleum, China. Earth Science—Journal of China University of Geosciences, 2015, 40 (10): 1616- 1620.

DOI

Zhao W K , Tian G , Wang B B , et al. Archaeological geophysics-an emerging scientific archaeological prospection technique. Science, 2012, 64 (3): 13- 16.

DOI

Zhao W K , Tian G . Geophysical explorations on buried ruins of the ancient walls. Science, 2013, 65 (2): 38- 41.

DOI

Zong X , Wang X Y , Liu C S , et al. Experiments and applications of ground penetrating radar in the investigation of subsurface archaeological interest. Journal of Geo-Information Science, 2016, 18 (2): 272- 281.

DOI

别康, 石战结, 田钢. 2016. 电容耦合式电阻率法及其在城市遗址考古勘探中的应用. //2016中国地球科学联合学术年会论文集. 北京: 中国地球物理学会, 1.

曹伟, 刘青松, 卿昊, 等. 2021. 无人机磁测联合采样分析建立的预考古调查. //2021年中国地球科学联合学术年会论文集. 1.

文静 , , 光杰 , 等. 高频电磁法在考古勘探中的3D数值模拟研究. 地球物理学进展, 2023, 38 (3): 1305- 1316.

DOI

田宇 , 尚平 . 高密度电阻率法在葬墓考古的应用. 地球物理学进展, 2015, 30 (6): 2885- 2891.

DOI

, , 有利 , 等. 史前地震加速早期中国"河洛古国"的衰落. 中国科学: 地球科学, 2023, 53 (5): 1115- 1127.

宏耀 , 立敏 . 我国考古地球物理学的发展. 地球物理学报, 1997, 40 (S1): 379- 385.

宏耀 , 立敏 . 考古地球物理学. 北京: 科学出版社, 2000,

能韬 , 宝春 . 陶瓷材料地磁场古强度研究的可靠性探索. 地球物理学报, 2022, 65 (7): 2613- 2621.

DOI

奇霖 , 慧敏 , 光杰 , 等. 均匀半空间脉冲电流的TEM响应正演计算研究. 地球物理学进展, 2023, 38 (3): 1152- 1160.

DOI

淑玲 , 鸿雁 , 天亮 . 可控源音频大地电磁考古资料的地形校正、解释方法效果对比. 物探与化探, 2005, 29 (6): 541- 544. 541-544, 556

DOI

彦恒 , 光杰 , 锡伟 , 等. 宇宙线μ子探测技术在地球物理学中的应用. 地球物理学进展, 2021, 36 (2): 753- 758.

DOI

金鑫 , , 帮兵 , 等. 良渚遗址古水系调查中的综合地球物理方法. 浙江大学学报(工学版), 2011, 45 (5): 954- 960.

DOI

金鑫 , , 战结 . 西夏陵陪葬墓的地球物理考古勘探研究. 工程勘察, 2014, 42 (7): 87- 93.

化荣 . 电磁测深法原理. 北京: 地质出版社, 1990,

鸿雁 , 炳强 , 忠祥 , 等. 晋阳古城遗址考古地球物理特征. 地球物理学进展, 2008, 23 (4): 1291- 1298.

石战结, 田钢, 王帮兵, 等. 2016. 考古地球物理探测技术研究新进展. //2016中国地球科学联合学术年会论文集. 北京: 中国地球物理学会, 3.

传雷 , 维民 , 洪松 , 等. 磁法探测木质沉船的应用实例. 物探与化探, 2018, 42 (4): 708- 711.

DOI

谦身 , 文虎 , 传真 , 等. 微重力方法在考古工程中的应用——明茂陵地下陵殿探查. 地球物理学进展, 1995, 10 (2): 85- 94.

军杰 , 国印 , 敬洗 . 瞬变电磁技术探测古墓陪葬金属器皿的应用效果. 物探化探计算技术, 2007, 29 (S1): 47- 50. 47-50, 13

道瑛 , 新林 , 彦伟 , 等. 用地质雷达寻找宋代钧窑遗址. 岩石力学与工程学报, 2004, 23 (1): 112- 115.

DOI

永利 , 晓冰 , 青云 , 等. 层状介质二维电阻率扰动反演方法. 地球物理学报, 2004, 47 (6): 1139- 1144.

DOI

大全 , , 安国 , 等. 陕西蓝田新街仰韶遗址史前地震遗迹的发现和初析. 地球物理学进展, 2012, 27 (2): 804- 808.

DOI

余天祥. 2019. 大型古墓葬的地球物理探测新技术及应用研究[硕士论文]. 杭州: 浙江大学.

炳强 , 士毅 , 国明 , 等. 秦始皇帝陵遗址考古重磁力场特征. 地球科学——中国地质大学学报, 2015, 40 (10): 1616- 1620.

DOI

文轲 , , 帮兵 , 等. 新兴的科技考古勘探方法——考古地球物理. 科学, 2012, 64 (3): 13- 16.

DOI

文轲 , . 地下古城墙遗址的地球物理探测. 科学, 2013, 65 (2): 38- 41.

DOI

, 心源 , 传胜 , 等. 探地雷达在地下考古遗存探测中的实验与应用. 地球信息科学学报, 2016, 18 (2): 272- 281.

DOI

Outlines

/